Determination of CYP450 Expression Levels in the Human Small Intestine by Mass Spectrometry-Based Targeted Proteomics
Abstract
1. Introduction
2. Results
2.1. CYP2A6 and CYP4A11 Quantification Method Validation
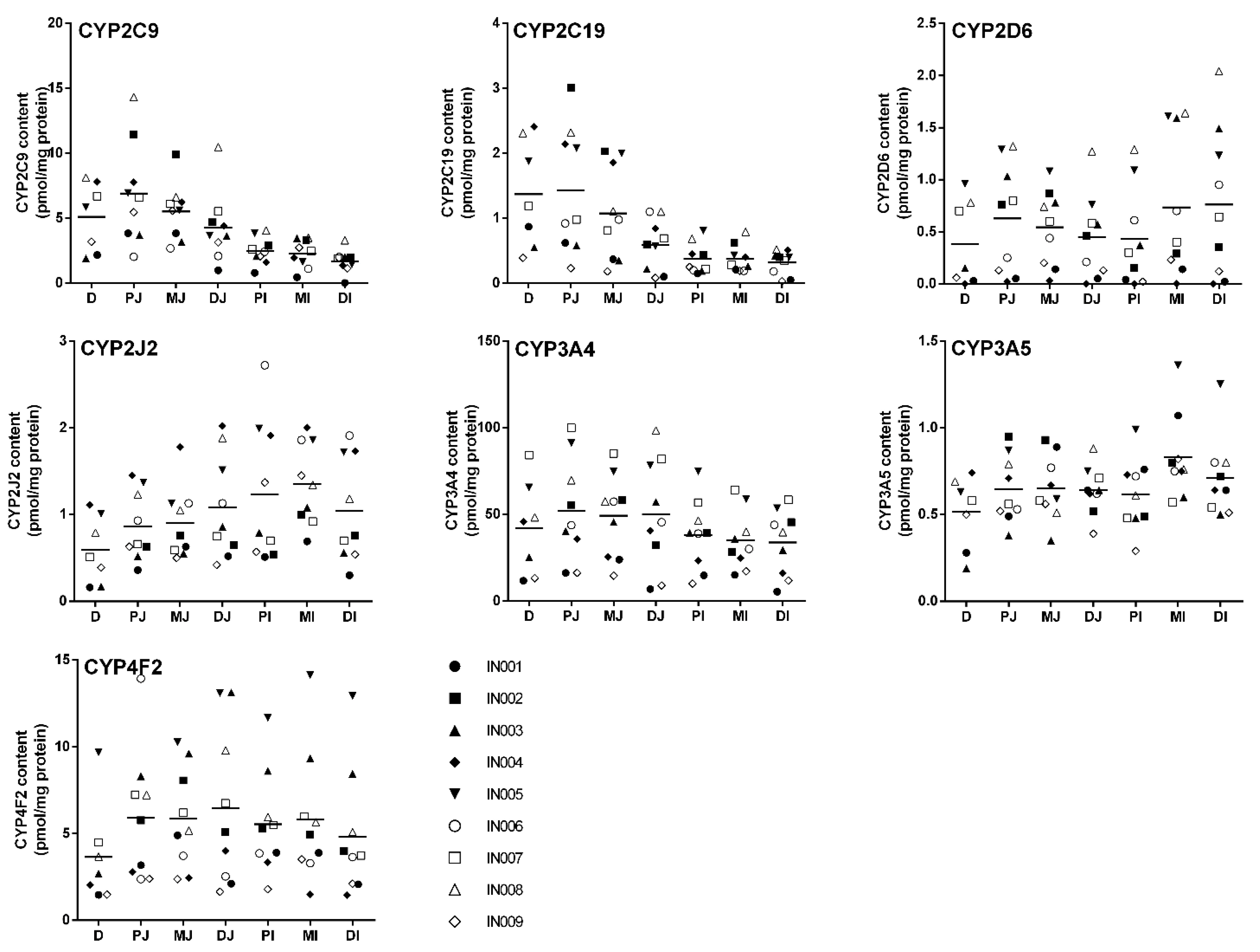
2.2. Absolute Intestinal Expression of CYP450 Isoforms
2.3. Correlation between Protein Expression, mRNA Levels and Enzyme Activity
2.4. Effect of Genotype, Sex, Age and Body-Mass Index (BMI) on CYP450 Protein Expression
3. Discussion
4. Materials and Methods
4.1. Chemicals and Reagents
4.2. Subjects
4.3. Human Intestinal Tissue Preparation
4.4. Intestinal Microsomes Preparation
4.5. LC-MS/MS-Based Protein Quantification
4.6. CYP2A6 and CYP4A11 Quantification
4.7. CYP450 mRNA Expression, CYP450 Activities and Genotypes
4.8. Data and Statistical Analysis
5. Conclusions
Supplementary Materials
Author Contributions
Funding
Institutional Review Board Statement
Informed Consent Statement
Data Availability Statement
Acknowledgments
Conflicts of Interest
Limitations of the Work
References
- Katsura, T.; Inui, K.-I. Intestinal Absorption of Drugs Mediated by Drug Transporters: Mechanisms and Regulation. Drug Metab. Pharmacokinet. 2003, 18, 1–15. [Google Scholar] [CrossRef][Green Version]
- Ding, X.; Kaminsky, L.S. Human Extrahepatic Cytochromes P450: Function in Xenobiotic Metabolism and Tissue-Selective Chemical Toxicity in the Respiratory and Gastrointestinal Tracts. Annu. Rev. Pharmacol. Toxicol. 2003, 43, 149–173. [Google Scholar] [CrossRef]
- Paine, M.F.; Hart, H.L.; Ludington, S.S.; Haining, R.L.; Rettie, A.E.; Zeldin, D.C. The human intestinal cytochrome P450 “pie”. Drug Metab. Dispos. 2006, 34, 880–886. [Google Scholar] [CrossRef]
- Varma, M.V.S.; Obach, R.S.; Rotter, C.; Miller, H.R.; Chang, G.; Steyn, S.J.; El-Kattan, A.; Troutman, M.D. Physicochemical Space for Optimum Oral Bioavailability: Contribution of Human Intestinal Absorption and First-Pass Elimination. J. Med. Chem. 2010, 53, 1098–1108. [Google Scholar] [CrossRef] [PubMed]
- Michaels, S.; Wang, M.Z. The Revised Human Liver Cytochrome P450 “Pie”: Absolute Protein Quantification of CYP4F and CYP3A Enzymes Using Targeted Quantitative Proteomics. Drug Metab. Dispos. 2014, 42, 1241–1251. [Google Scholar] [CrossRef]
- De Montellano, O.R.O. Cytochrome P450: Structure, Mechanism, and Biochemistry; Kluwer Academic/Plenum Publishers: New York, NY, USA, 2005. [Google Scholar]
- De Sousa, I.P.; Bernkop-Schnurch, A. Pre-systemic metabolism of orally administered drugs and strategies to overcome it. J. Control. Release 2014, 192, 301–309. [Google Scholar] [CrossRef] [PubMed]
- Thummel, K.E.; Kunze, K.L.; Shen, D.D. Enzyme-catalyzed processes of first-pass hepatic and intestinal drug extraction. Adv. Drug Deliv. Rev. 1997, 27, 99–127. [Google Scholar] [CrossRef]
- Bardelmeijer, H.A.; Van Tellingen, O.; Schellens, J.H.; Beijnen, J.H. The oral route for the administration of cytotoxic drugs: Strategies to increase the efficiency and consistency of drug delivery. Investig. New Drugs 2000, 18, 231–241. [Google Scholar] [CrossRef]
- Thomas, V.H.; Bhattachar, S.; Hitchingham, L.; Zocharski, P.; Naath, M.; Surendran, N.; Stoner, C.L.; El-Kattan, A. The road map to oral bioavailability: An industrial perspective. Expert Opin. Drug Metab. Toxicol. 2006, 2, 591–608. [Google Scholar] [CrossRef]
- Doherty, M.M.; Charman, W.N. The mucosa of the small intestine: How clinically relevant as an organ of drug metabolism? Clin. Pharmacokinet. 2002, 41, 235–253. [Google Scholar] [CrossRef] [PubMed]
- Thirumaran, R.K.; Lamba, J.K.; Kim, R.B.; Urquhart, B.L.; Gregor, J.C.; Chande, N.; Fan, Y.; Qi, A.; Cheng, C.; Thummel, K.E.; et al. Intestinal CYP3A4 and midazolam disposition in vivo associate with VDR polymorphisms and show seasonal variation. Biochem. Pharmacol. 2012, 84, 104–112. [Google Scholar] [CrossRef] [PubMed]
- Gavhane, Y.N.; Yadav, A.V. Loss of orally administered drugs in GI tract. Saudi Pharm. J. 2012, 20, 331–344. [Google Scholar] [CrossRef] [PubMed]
- Abrahamsson, B.; Lennernäs, H. Application of the Biopharmaceutic Classification System Now and in the Future, in Drug Bioavailability: Estimation of Solubility, Permeability, Absorption and Bioavailability; Waterbeemd, H.V.D., Lennernas, H., Artursson, P., Eds.; Wiley-VCH: Weinhein, Germany, 2003; Volume 18, pp. 495–531. [Google Scholar]
- Lipinski, C. Drug-like properties and the causes of poor solubility and poor permeability. J. Pharmacol. Toxicol. Methods 2000, 44, 235–249. [Google Scholar] [CrossRef]
- El-Kattan, A.; Varma, M. Oral Absorption, Intestinal Metabolism and Human Oral Bioavailability. Top. Drug Metab. 2012, 10, 31087. [Google Scholar]
- Clermont, V.; Grangeon, A.; Barama, A.; Turgeon, J.; Lallier, M.; Malaise, J.; Michaud, V. Activity and mRNA expression levels of selected cytochromes P450 in various sections of the human small intestine. Br. J. Clin. Pharmacol. 2019, 85, 1367–1377. [Google Scholar] [CrossRef]
- Drozdzik, M.; Busch, D.; Łapczuk-Romańska, J.; Müller, J.; Ostrowski, M.; Kurzawski, M.; Oswald, S. Protein Abundance of Clinically Relevant Drug-Metabolizing Enzymes in the Human Liver and Intestine: A Comparative Analysis in Paired Tissue Specimens. Clin. Pharmacol. Ther. 2017, 104, 515–524. [Google Scholar] [CrossRef]
- Paine, M.F.; Khalighi, M.; Fisher, J.M.; Shen, D.D.; Kunze, K.L.; Marsh, C.; Perkins, J.D.; Thummel, K.E. Characterization of interintestinal and intraintestinal variations in human CYP3A-dependent metabolism. J. Pharmacol. Exp. Ther. 1997, 283, 1552–1562. [Google Scholar]
- Pinto, A.G.; Horlander, J.; Chalasani, N.; Hamman, M.; Asghar, A.; Kolwankar, D.; Hall, S.D. Diltiazem inhibits human intestinal cytochrome P450 3A (CYP3A) activity in vivo without altering the expression of intestinal mRNA or protein. Br. J. Clin. Pharmacol. 2005, 59, 440–446. [Google Scholar] [CrossRef]
- Galetin, A.; Houston, J.B. Intestinal and Hepatic Metabolic Activity of Five Cytochrome P450 Enzymes: Impact on Prediction of First-Pass Metabolism. J. Pharmacol. Exp. Ther. 2006, 318, 1220–1229. [Google Scholar] [CrossRef] [PubMed]
- Fritz, A.; Busch, D.; Lapczuk, J.; Ostrowski, M.; Drozdzik, M.; Oswald, S. Expression of clinically relevant drug-metabolizing enzymes along the human intestine and their correlation to drug transporters and nuclear receptors: An intra-subject analysis. Basic Clin. Pharmacol. Toxicol. 2019, 124, 245–255. [Google Scholar] [CrossRef]
- Busch, D.; Fritz, A.; Partecke, L.I.; Heidecke, C.-D.; Oswald, S. LC–MS/MS method for the simultaneous quantification of intestinal CYP and UGT activity. J. Pharm. Biomed. Anal. 2018, 155, 194–201. [Google Scholar] [CrossRef]
- Miyauchi, E.; Tachikawa, M.; Declèves, X.; Uchida, Y.; Bouillot, J.-L.; Poitou, C.; Oppert, J.-M.; Mouly, S.; Bergmann, J.-F.; Terasaki, T.; et al. Quantitative Atlas of Cytochrome P450, UDP-Glucuronosyltransferase, and Transporter Proteins in Jejunum of Morbidly Obese Subjects. Mol. Pharm. 2016, 13, 2631–2640. [Google Scholar] [CrossRef]
- Grangeon, A.; Clermont, V.; Barama, A.; Gaudette, F.; Turgeon, J.; Michaud, V. Development and validation of an absolute protein assay for the simultaneous quantification of fourteen CYP450s in human microsomes by HPLC-MS/MS-based targeted proteomics. J. Pharm. Biomed. Anal. 2019, 173, 96–107. [Google Scholar] [CrossRef] [PubMed]
- Couto, N.; Al-Majdoub, Z.M.; Gibson, S.; Davies, P.J.; Achour, B.; Harwood, M.D.; Carlson, G.; Barber, J.; Rostami-Hodjegan, A.; Warhurst, G. Quantitative Proteomics of Clinically Relevant Drug-Metabolizing Enzymes and Drug Transporters and Their Intercorrelations in the Human Small Intestine. Drug Metab. Dispos. 2020, 48, 245–254. [Google Scholar] [CrossRef]
- Gröer, C.; Busch, D.; Patrzyk, M.; Beyer, K.; Busemann, A.; Heidecke, C.; Drozdzik, M.; Siegmund, W.; Oswald, S. Absolute protein quantification of clinically relevant cytochrome P450 enzymes and UDP-glucuronosyltransferases by mass spectrometry-based targeted proteomics. J. Pharm. Biomed. Anal. 2014, 100, 393–401. [Google Scholar] [CrossRef] [PubMed]
- Schaefer, O.; Ohtsuki, S.; Kawakami, H.; Inoue, T.; Liehner, S.; Saito, A.; Sakamoto, A.; Ishiguro, N.; Matsumaru, T.; Terasaki, T.; et al. Absolute Quantification and Differential Expression of Drug Transporters, Cytochrome P450 Enzymes, and UDP-Glucuronosyltransferases in Cultured Primary Human Hepatocytes. Drug Metab. Dispos. 2011, 40, 93–103. [Google Scholar] [CrossRef] [PubMed]
- Fallon, J.K.; Neubert, H.; Goosen, T.; Smith, P.C. Targeted Precise Quantification of 12 Human Recombinant Uridine-Diphosphate Glucuronosyl Transferase 1A and 2B Isoforms Using Nano-Ultra-High-Performance Liquid Chromatography/Tandem Mass Spectrometry with Selected Reaction Monitoring. Drug Metab. Dispos. 2013, 41, 2076–2080. [Google Scholar] [CrossRef] [PubMed]
- Prasad, B.; Johnson, K.; Billington, S.; Lee, C.; Chung, G.W.; Brown, C.D.; Kelly, E.J.; Himmelfarb, J.; Unadkat, J.D. Abundance of Drug Transporters in the Human Kidney Cortex as Quantified by Quantitative Targeted Proteomics. Drug Metab. Dispos. 2016, 44, 1920–1924. [Google Scholar] [CrossRef]
- U.S. Department of Health and Human Services; Food and Drug Administration; Center for Drug Evaluation and Research (CDER); Center for Veterinary Medicine (CVM). Bioanalytical Method Validation. Guidance for Industry. 2018. Available online: https://www.fda.gov/files/drugs/published/Bioanalytical-Method-Validation-Guidance-for-Industry.pdf (accessed on 20 November 2021).
- Solanki, M.S.; Pointon, A.; Jones, B.C.; Herbert, K. Cytochrome P450 2J2: Potential Role in Drug Metabolism and Cardiotoxicity. Drug Metab. Dispos. 2018, 46, 1053–1065. [Google Scholar] [CrossRef]
- Watkins, P.B.; Wrighton, S.A.; Schuetz, E.G.; Molowa, D.T.; Guzelian, P.S. Identification of glucocorticoid-inducible cytochromes P-450 in the intestinal mucosa of rats and man. J. Clin. Investig. 1987, 80, 1029–1036. [Google Scholar] [CrossRef] [PubMed]
- De Waziers, I.; Cugnenc, P.H.; Yang, C.S.; Leroux, J.P.; Beaune, P.H. Cytochrome P 450 isoenzymes, epoxide hydrolase and glutathione transferases in rat and human hepatic and extrahepatic tissues. J. Pharmacol. Exp. Ther. 1990, 253, 387–394. [Google Scholar]
- Zhang, Q.Y.; Dunbar, D.; Ostrowska, A.; Zeisloft, S.; Yang, J.; Kaminsky, L.S. Characterization of human small intestinal cytochromes P-450. Drug Metab. Dispos. 1999, 27, 804–809. [Google Scholar]
- Klose, T.S.; Blaisdell, J.A.; Goldstein, J.A. Gene structure of CYP2C8 and extrahepatic distribution of the human CYP2Cs. J. Biochem. Mol. Toxicol. 1999, 13, 289–295. [Google Scholar] [CrossRef]
- Läpple, F.; von Richter, O.; Fromm, M.F.; Richter, T.; Thon, K.P.; Wisser, H.; Griese, E.-U.; Eichelbaum, M.; Kivistö, K.T. Differential expression and function of CYP2C isoforms in human intestine and liver. Pharmacogenetics 2003, 13, 565–575. [Google Scholar] [CrossRef] [PubMed]
- Obach, R.S.; Zhang, Q.Y.; Dunbar, D.; Kaminsky, L.S. Metabolic Characterization of the Major Human Small Intestinal Cytochrome P450s. Drug Metab. Dispos. 2001, 29, 347–352. [Google Scholar]
- McDonald, M.G.; Rieder, M.J.; Nakano, M.; Hsia, C.K.; Rettie, A.E. CYP4F2 Is a Vitamin K1 Oxidase: An Explanation for Altered Warfarin Dose in Carriers of the V433M Variant. Mol. Pharmacol. 2009, 75, 1337–1346. [Google Scholar] [CrossRef] [PubMed]
- Sontag, T.J.; Parker, R.S. Cytochrome P450 ω-hydroxylase pathway of tocopherol catabolism. Novel mechanism of regulation of vitamin E status. J. Biol. Chem. 2002, 277, 25290–25296. [Google Scholar] [CrossRef]
- Ohtsuki, S.; Schaefer, O.; Kawakami, H.; Inoue, T.; Liehner, S.; Saito, A.; Ishiguro, N.; Kishimoto, W.; Ludwig-Schwellinger, E.; Ebner, T.; et al. Simultaneous Absolute Protein Quantification of Transporters, Cytochromes P450, and UDP-Glucuronosyltransferases as a Novel Approach for the Characterization of Individual Human Liver: Comparison with mRNA Levels and Activities. Drug Metab. Dispos. 2012, 40, 83–92. [Google Scholar] [CrossRef] [PubMed]
- Michaud, V.; Frappier, M.; Dumas, M.-C.; Turgeon, J. Metabolic Activity and mRNA Levels of Human Cardiac CYP450s Involved in Drug Metabolism. PLoS ONE 2010, 5, e15666. [Google Scholar] [CrossRef]
- Strohalm, M.; Hassman, M.; Košata, B.; Kodíček, M. mMass data miner: An open source alternative for mass spectrometric data analysis. Rapid Commun. Mass Spectrom. 2008, 22, 905–908. [Google Scholar] [CrossRef]


| Protein | Duodenum | Proximal Jejunum | Medial Jejunum | Distal Jejunum | Proximal Ileum | Medial Ileum | Distal Ileum | p Value | |||||||||||||||||||||
|---|---|---|---|---|---|---|---|---|---|---|---|---|---|---|---|---|---|---|---|---|---|---|---|---|---|---|---|---|---|
| Mean | SD | Min–Max | N | Mean | SD | Min–Max | N | Mean | SD | Min–Max | N | Mean | SD | Min Max | N | Mean | SD | Min Max | N | Mean | SD | Min Max | N | Mean | SD | Min Max | N | ||
| CYP1A1 | ND | ND | ND | ND | ND | ND | ND | ||||||||||||||||||||||
| CYP1A2 | ND | ND | ND | ND | ND | ND | ND | ||||||||||||||||||||||
| CYP1B1 | ND | ND | ND | ND | ND | ND | ND | ||||||||||||||||||||||
| CYP2A6 | ND | ND | ND | ND | ND | ND | ND | ||||||||||||||||||||||
| CYP2B6 | ND | ND | ND | ND | ND | ND | ND | ||||||||||||||||||||||
| CYP2C19 | 1.4 a,b,c,d | 0.83 | 0.39–2.4 | 7 | 1.4 e,f,g,h | 0.97 | 0.23–3.0 | 9 | 1.1 | 0.73 | 0.18–2.0 | 9 | 0.59 a,e | 0.37 | 0.08–1.1 | 9 | 0.38 b,f | 0.24 | 0.15–0.81 | 9 | 0.38 c,g | 0.19 | 0.19–0.79 | 9 | 0.32 d,h | 0.18 | 0.03–0.52 | 9 | 0.011 |
| CYP2C8 | ND | ND | ND | ND | ND | ND | ND | ||||||||||||||||||||||
| CYP2C9 | 5.1 a | 2.6 | 1.9–8.1 | 7 | 6.9 b,c,d | 3.9 | 2.0–14 | 9 | 5.5 e,f,g | 2.2 | 2.7–9.9 | 9 | 4.3 | 3.2 | 0.97–10 | 9 | 2.5 b,e | 1.0 | 0.78–4.0 | 9 | 2.3 c,f | 1.1 | 0.44–3.5 | 9 | 1.7 a,d,g | 0.74 | 0–3.3 | 8 | 0.002 |
| CYP2D6 | 0.38 | 0.41 | 0–0.96 | 7 | 0.62 | 0.53 | 0.02–1.3 | 9 | 0.54 | 0.36 | 0.03–1.1 | 9 | 0.45 | 0.39 | 0–1.3 | 9 | 0.43 | 0.48 | 0–1.3 | 8 | 0.73 | 0.69 | 0–1.6 | 8 | 0.76 | 0.69 | 0–2.0 | 8 | 0.193 |
| CYP2E1 | ND | ND | ND | ND | ND | ND | ND | ||||||||||||||||||||||
| CYP2J2 | 0.59 a,b,c,d,e,f | 0.38 | 0.16–1.1 | 7 | 0.86 a,g | 0.40 | 0.36–1.5 | 9 | 0.90 b,h | 0.41 | 0.50–1.8 | 9 | 1.1 c | 0.50 | 0.42–2.0 | 8 | 1.2 d | 0.80 | 0.50–2.7 | 9 | 1.4 e,g,h | 0.47 | 0.69–2.0 | 9 | 1.0 f | 0.57 | 0.30–1.9 | 9 | <0.001 |
| CYP3A4 | 42 | 27 | 12–84 | 7 | 52 | 30 | 16–100 | 9 | 49 a | 24 | 15–85 | 9 | 50 | 27 | 6.8–98 | 9 | 38 | 20 | 9.9–75 | 9 | 35 | 17 | 15–64 | 9 | 34 a | 16 | 5.3–58 | 9 | 0.035 |
| CYP3A5 | 0.52 | 0.21 | 0.19–0.74 | 7 | 0.64 | 0.19 | 0.38–0.95 | 9 | 0.65 | 0.19 | 0.35–0.93 | 9 | 0.64 | 0.13 | 0.39–0.88 | 9 | 0.62 | 0.21 | 0.29–0.99 | 9 | 0.83 | 0.24 | 0.57–1.4 | 9 | 0.71 | 0.27 | 0.50–1.3 | 9 | 0.13 |
| CYP3A7 | ND | ND | ND | ND | ND | ND | ND | ||||||||||||||||||||||
| CYP4A11 | ND | ND | ND | ND | ND | ND | ND | ||||||||||||||||||||||
| CYP4F2 | 3.6 a,b,c,d | 2.9 | 1.5–9.7 | 7 | 5.9 a | 3.8 | 2.4–14 | 9 | 5.9 b | 2.9 | 2.4–10 | 9 | 6.5 | 4.1 | 1.6–13 | 9 | 5.5 | 3.0 | 1.8–12 | 9 | 5.8 c | 3.8 | 1.5–14 | 9 | 4.8 d | 3.9 | 1.5–13 | 9 | 0.005 |
| Protein | Duodenum | Jejunum | Ileum | p Value | ||||||
|---|---|---|---|---|---|---|---|---|---|---|
| Mean | SD | Min–Max | Mean | SD | Min–Max | Mean | SD | Min–Max | ||
| CYP1A1 | ND | ND | ND | |||||||
| CYP1A2 | ND | ND | ND | |||||||
| CYP1B1 | ND | ND | ND | |||||||
| CYP2A6 | ND | ND | ND | |||||||
| CYP2B6 | ND | ND | ND | |||||||
| CYP2C19 | 1.4 a | 0.83 | 0.39–2.4 | 1.0 b | 0.63 | 0.08–3.0 | 0.36 a,b | 0.19 | 0.05–0.18 | 0.005 |
| CYP2C8 | ND | ND | ND | |||||||
| CYP2C9 | 5.1 a | 2.6 | 1.9–8.1 | 5.6 b | 2.7 | 0.97–14 | 2.1 a,b | 0.87 | 0–4.0 | 0.004 |
| CYP2D6 | 0.38 | 0.41 | 0–0.96 | 0.54 | 0.41 | 0–1.3 | 0.64 | 0.61 | 0–2.0 | 0.203 |
| CYP2E1 | ND | ND | ND | |||||||
| CYP2J2 | 0.59 a,b | 0.38 | 0.16–1.1 | 0.95 a | 0.45 | 0.36–2.0 | 1.2 b | 0.61 | 0.30–2.7 | 0.001 |
| CYP3A4 | 42 | 27 | 12–84 | 50 a | 27 | 6.8–100 | 36 a | 18 | 5.3–75 | 0.029 |
| CYP3A5 | 0.52 | 0.21 | 0.19–0.74 | 0.65 | 0.11 | 0.35–0.95 | 0.72 | 0.21 | 0.29–1.4 | 0.132 |
| CYP3A7 | ND | ND | ND | |||||||
| CYP4A11 | ND | ND | ND | |||||||
| CYP4F2 | 3.6 a,b | 2.9 | 1.5–9.7 | 6.1 a | 3.6 | 1.7–14 | 5.4 b | 3.5 | 1.5–14 | 0.005 |
| Protein | mRNA vs. Protein | Activity vs. Protein |
|---|---|---|
| CYP1A1 | - | - |
| CYP1A2 | - | - |
| CYP1B1 | - | - |
| CYP2A6 | - | - |
| CYP2B6 | - | - |
| CYP2C8 | - | - |
| CYP2C9 | 0.5307 * | 0.8179 * |
| CYP2C19 | 0.4940 * | 0.7278 * |
| CYP2D6 | 0.6342 * | 0.6750 * |
| CYP2E1 | - | - |
| CYP2J2 | 0.4130 * | 0.4378 * |
| CYP3A4 | 0.5066 * | 0.6918 * |
| CYP3A5 | −0.0664 | - |
| CYP3A7 | - | - |
| CYP4A11 | - | - |
| CYP4F2 | 0.2559 * | - |
| Subject | Sex | Age (Years) | BMI (kg/m2) | Cause of Death | Smoker | Comorbidities |
|---|---|---|---|---|---|---|
| IN001 | M | 73 | 31.3 | Cerebrovascular accident | No | Hypertension, hyperlipidemia, diabetes, coronaropathy |
| IN002 | F | 49 | 32.7 | Cerebrovascular accident | Yes | Multiple sclerosis, hypertension |
| IN003 | F | 75 | 24.0 | Cerebrovascular accident | Yes | Multiple sclerosis, glaucoma |
| IN004 | M | 42 | 25.9 | Anoxia | Yes | None |
| IN005 | M | 52 | 23.9 | Head trauma | Yes | Hypertension |
| IN006 | M | 27 | 20.5 | Anoxia | Yes | None |
| IN007 | F | 58 | 30.1 | Cerebrovascular accident | Yes | Hyperthyroidism |
| IN008 | F | 49 | 23.2 | Anoxia | NA | None |
| IN009 | F | 65 | 30.4 | Anoxia | No | Hypertension, diabetes, cholangiocarcinoma |
Publisher’s Note: MDPI stays neutral with regard to jurisdictional claims in published maps and institutional affiliations. |
© 2021 by the authors. Licensee MDPI, Basel, Switzerland. This article is an open access article distributed under the terms and conditions of the Creative Commons Attribution (CC BY) license (https://creativecommons.org/licenses/by/4.0/).
Share and Cite
Grangeon, A.; Clermont, V.; Barama, A.; Gaudette, F.; Turgeon, J.; Michaud, V. Determination of CYP450 Expression Levels in the Human Small Intestine by Mass Spectrometry-Based Targeted Proteomics. Int. J. Mol. Sci. 2021, 22, 12791. https://doi.org/10.3390/ijms222312791
Grangeon A, Clermont V, Barama A, Gaudette F, Turgeon J, Michaud V. Determination of CYP450 Expression Levels in the Human Small Intestine by Mass Spectrometry-Based Targeted Proteomics. International Journal of Molecular Sciences. 2021; 22(23):12791. https://doi.org/10.3390/ijms222312791
Chicago/Turabian StyleGrangeon, Alexia, Valérie Clermont, Azemi Barama, Fleur Gaudette, Jacques Turgeon, and Veronique Michaud. 2021. "Determination of CYP450 Expression Levels in the Human Small Intestine by Mass Spectrometry-Based Targeted Proteomics" International Journal of Molecular Sciences 22, no. 23: 12791. https://doi.org/10.3390/ijms222312791
APA StyleGrangeon, A., Clermont, V., Barama, A., Gaudette, F., Turgeon, J., & Michaud, V. (2021). Determination of CYP450 Expression Levels in the Human Small Intestine by Mass Spectrometry-Based Targeted Proteomics. International Journal of Molecular Sciences, 22(23), 12791. https://doi.org/10.3390/ijms222312791

