PVDF and P(VDF-TrFE) Electrospun Scaffolds for Nerve Graft Engineering: A Comparative Study on Piezoelectric and Structural Properties, and In Vitro Biocompatibility
Abstract
:1. Introduction
2. Results
2.1. Effect of the Polymer Type and Concentration on the Scaffold Morphology
2.2. Effect of the Electrospinning on the Structural Changes and Phase Transformation
| Raman Peak Position, cm−1 | Peak Assignment | Ref. | |||
|---|---|---|---|---|---|
| PVDF Pellet | PVDF Fibre Mat | P(VDF-TrFE) Powder | P(VDF-TrFE) Fibre Mat | ||
| 266 (shoulder) | 266 | 268 | 268 | α CF2 t; CF2 w | [44] |
| 286 | 286 | 285 (shoulder) | 285 (shoulder) | α CF2 t; CF2 w | |
| 363 | 365 | 365 | 365 | n.a. | |
| 412 | 412 | 411 | 411 | α CF2 r; CF2 r | |
| 488 | 480–488 | 476 | 476 | CF2 δ; CF2 w | |
| 513 | 513 | 511 | 511 | α CF2 δ | |
| 536 | 534 (shoulder) | α CF2 δ | |||
| 610 | 603 | 600–610 | 590–615 | α CF2 δ; CCC δ | |
| 642 | 643 | n.a. | |||
| 768 | α CF2 δ; CCC δ | ||||
| 797 | 790–812 | α CH2 r | [45] | ||
| 807 | 807 | β CH2 r | [44] | ||
| 839 | 839 | CH2 r; CF2 νa | |||
| 845 | 845 | β CF2 νs | [45] | ||
| 878 | 881 | 883 | 884 | α CC νa; CF2 νs β CC νa; CF2 νs | [44] |
| 1057 | 1048 (shoulder) | 1048 (shoulder) | 1048 (shoulder) | α CF2 νs; CH2 w | |
| 1076 (shoulder) | 1077 | 1080 | 1080 | CC νa; CF2 w; CH2 w | |
| 1148 | α CC νa; CF2 νs | ||||
| 1170 | 1170 | 1171 | CF2 νa | [46] | |
| 1198 | 1198 | α CF2 νa; CH2 w | [44] | ||
| 1276 (shoulder) | 1276 | 1288 | 1288 | CF2 νs; CC νs; CCC δ | [44,45] |
| 1293 | 1293 (shoulder) | α CF2 νa; CF2 r | [44] | ||
| 1329 | 1330 | Combination of modes, α theory | [46,47] | ||
| 1346/1363 | 1346/1363 | Conformational or chemical defects | [47] | ||
| 1404 | 1404 | 1402 | 1402 | CH2 δ; CH2 w; CC νa | [44] |
| 1431 | 1432 | 1431 | 1432 | CH2 δ; CH2 w | |
| 2971 (shoulder) | 2973 | 2973 | CH2 νs | [45] | |
| 2980 | 2976 | α (CH2) νs | [44] | ||
| 3010 | 3010 | β CH2 νa | [45] | ||
| 3021 | 3015 | α CH2 νa | [44] | ||
2.3. Effect of the Polymer Type and Concentration on the Piezoelectric Module d33
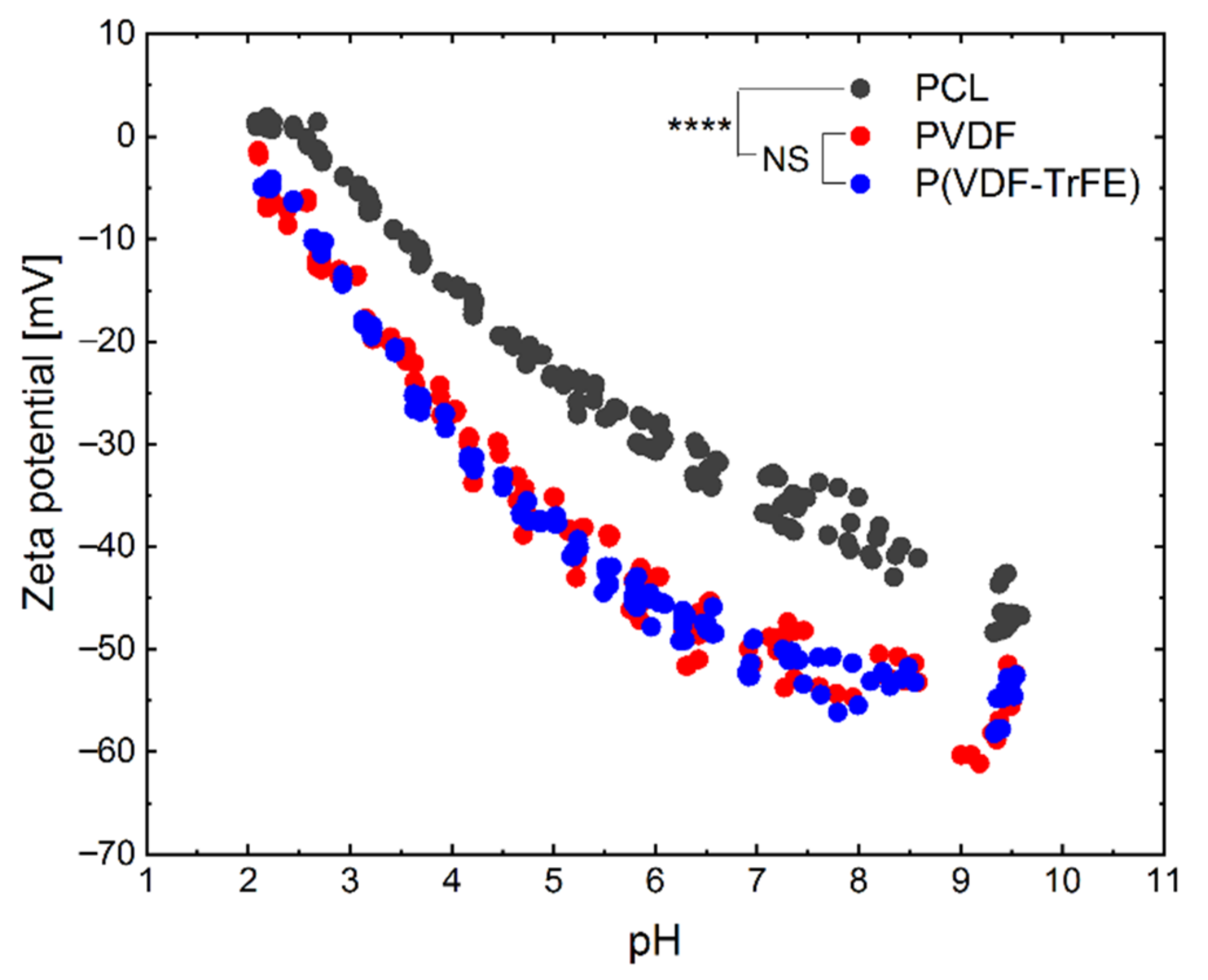
2.4. Effect of the Polymer Type on the Zeta Potential
2.5. In Vitro Biocompatibility of the Produced Scaffolds with Peripheral Glia Cells
2.5.1. nrSCs Growth on the Scaffolds
2.5.2. ahSCs Growth on the Scaffolds
2.5.3. Cytotoxicity towards Schwann Cells (SCs) and Cell Metabolic Activity of SCs
2.5.4. Qualitative Evaluation of Sensory Neurite Outgrowth
3. Discussion
3.1. Electrospun PVDF Scaffolds Are Similar to P(VDF-TrFE) Ones in Terms of the Structural Properties and Piezoelectric Activity
3.2. PVDF and P(VDF-TrFE) Electrospun Scaffolds Are Biocompatible with Schwann Cells and Neurite Outgrowth In Vitro
4. Concluding Remarks
5. Materials and Methods
5.1. Preparation of the Scaffolds Using Electrospinning
5.2. Morphological Characterisation
5.3. Development and Validation of the Modified Dynamic Impact Load Machine
5.4. Measurement of the Piezoelectric Module d33
5.5. Raman Microscopy
5.6. Zeta Potential Measurements
5.7. In Vitro Evaluation of the Produced Electrospun Scaffolds
5.7.1. Cell Cultivation
5.7.2. Cell Seeding onto the Scaffolds
5.7.3. Lactate Dehydrogenase Assay (LDH)
5.7.4. Water-Soluble Tetrazolium Assay (WST-1)
5.8. Neurite Outgrowth from Primary Dissociated Rat Dorsal Root Ganglia
5.8.1. Preparation and Cultivation of DRGs
5.8.2. Analysis of Neurite Outgrowth
5.9. Immunofluorescence Analysis
5.10. Statistical Analysis
Supplementary Materials
Author Contributions
Funding
Institutional Review Board Statement
Informed Consent Statement
Data Availability Statement
Acknowledgments
Conflicts of Interest
References
- Boecker, A.; Daeschler, S.C.; Kneser, U.; Harhaus, L. Relevance and Recent Developments of Chitosan in Peripheral Nerve Surgery. Front. Cell. Neurosci. 2019, 13, 104. [Google Scholar] [CrossRef] [Green Version]
- Colloca, L.; Ludman, T.; Bouhassira, D.; Baron, R.; Dickenson, A.H.; Yarnitsky, D.; Freeman, R.; Truini, A.; Attal, N.; Finnerup, N.B.; et al. Neuropathic pain. Nat. Rev. Dis. Primers 2017, 3, 17002. [Google Scholar] [CrossRef] [Green Version]
- Sandstrom, R. Peripheral Neuropathies. In Reference Module in Biomedical Sciences; Elsevier: Amsterdam, The Netherlands, 2014; ISBN 9780128012383. [Google Scholar]
- Haastert-Talini, K.; Assmus, H.; Antoniadis, G. Modern Concepts of Peripheral Nerve Repair; Springer International Publishing: Cham, Switzerland, 2017; ISBN 9783319523194. [Google Scholar]
- Wieringa, P.A.; Gonçalves de Pinho, A.R.; Micera, S.; van Wezel, R.J.A.; Moroni, L. Biomimetic Architectures for Peripheral Nerve Repair: A Review of Biofabrication Strategies. Adv. Healthc. Mater. 2018, 7, e1701164. [Google Scholar] [CrossRef]
- Faroni, A.; Mobasseri, S.A.; Kingham, P.J.; Reid, A.J. Peripheral nerve regeneration: Experimental strategies and future perspectives. Adv. Drug Deliv. Rev. 2015, 82–83, 160–167. [Google Scholar] [CrossRef]
- Dietzmeyer, N.; Förthmann, M.; Grothe, C.; Haastert-Talini, K. Modification of tubular chitosan-based peripheral nerve implants: Applications for simple or more complex approaches. Neural Regen. Res. 2020, 15, 1421–1431. [Google Scholar] [CrossRef]
- Hallgren, A.; Björkman, A.; Chemnitz, A.; Dahlin, L.B. Subjective outcome related to donor site morbidity after sural nerve graft harvesting: A survey in 41 patients. BMC Surg. 2013, 13, 39. [Google Scholar] [CrossRef] [Green Version]
- Gaudin, R.; Knipfer, C.; Henningsen, A.; Smeets, R.; Heiland, M.; Hadlock, T. Approaches to Peripheral Nerve Repair: Generations of Biomaterial Conduits Yielding to Replacing Autologous Nerve Grafts in Craniomaxillofacial Surgery. BioMed Res. Int. 2016, 2016, 3856262. [Google Scholar] [CrossRef] [PubMed] [Green Version]
- Wang, S.; Cai, L. Polymers for Fabricating Nerve Conduits. Int. J. Polym. Sci. 2010, 2010, 1–20. [Google Scholar] [CrossRef]
- Wrobel, S.; Serra, S.C.; Ribeiro-Samy, S.; Sousa, N.; Heimann, C.; Barwig, C.; Grothe, C.; Salgado, A.J.; Haastert-Talini, K. In vitro evaluation of cell-seeded chitosan films for peripheral nerve tissue engineering. Tissue Eng. Part A 2014, 20, 2339–2349. [Google Scholar] [CrossRef] [PubMed] [Green Version]
- Haastert-Talini, K.; Geuna, S.; Dahlin, L.B.; Meyer, C.; Stenberg, L.; Freier, T.; Heimann, C.; Barwig, C.; Pinto, L.F.V.; Raimondo, S.; et al. Chitosan tubes of varying degrees of acetylation for bridging peripheral nerve defects. Biomaterials 2013, 34, 9886–9904. [Google Scholar] [CrossRef] [PubMed] [Green Version]
- Frost, H.K.; Andersson, T.; Johansson, S.; Englund-Johansson, U.; Ekström, P.; Dahlin, L.B.; Johansson, F. Electrospun nerve guide conduits have the potential to bridge peripheral nerve injuries in vivo. Sci. Rep. 2018, 8, 16716. [Google Scholar] [CrossRef] [Green Version]
- Yen, C.-M.; Shen, C.-C.; Yang, Y.-C.; Liu, B.-S.; Lee, H.-T.; Sheu, M.-L.; Tsai, M.-H.; Cheng, W.-Y. Novel electrospun poly(ε-caprolactone)/type I collagen nanofiber conduits for repair of peripheral nerve injury. Neural Regen. Res. 2019, 14, 1617–1625. [Google Scholar] [CrossRef]
- Duda, S.; Dreyer, L.; Behrens, P.; Wienecke, S.; Chakradeo, T.; Glasmacher, B.; Haastert-Talini, K. Outer electrospun polycaprolactone shell induces massive foreign body reaction and impairs axonal regeneration through 3D multichannel chitosan nerve guides. BioMed Res. Int. 2014, 2014, 835269. [Google Scholar] [CrossRef]
- Ribeiro, C.; Sencadas, V.; Correia, D.M.; Lanceros-Méndez, S. Piezoelectric polymers as biomaterials for tissue engineering applications. Colloids Surf. B Biointerfaces 2015, 136, 46–55. [Google Scholar] [CrossRef] [Green Version]
- Marino, A.; Genchi, G.G.; Mattoli, V.; Ciofani, G. Piezoelectric nanotransducers: The future of neural stimulation. Nano Today 2017, 14, 9–12. [Google Scholar] [CrossRef]
- Chen-Glasser, M.; Li, P.; Ryu, J.; Hong, S. Piezoelectric Materials for Medical Applications. In Piezoelectricity—Organic and Inorganic Materials and Applications; Vassiliadis, S.G., Matsouka, D., Eds.; InTech: London, UK, 2018; ISBN 9781789236460. [Google Scholar]
- Guo, L. Neural Interface Engineering: Linking the Physical World and the Nervous System, 1st ed.; Springer International Publishing: Cham, Switzerland, 2020; ISBN 9783030418540. [Google Scholar]
- Szentivanyi, A.; Chakradeo, T.; Zernetsch, H.; Glasmacher, B. Electrospun cellular microenvironments: Understanding controlled release and scaffold structure. Adv. Drug Deliv. Rev. 2011, 63, 209–220. [Google Scholar] [CrossRef]
- Jun, I.; Han, H.-S.; Edwards, J.R.; Jeon, H. Electrospun Fibrous Scaffolds for Tissue Engineering: Viewpoints on Architecture and Fabrication. Int. J. Mol. Sci. 2018, 19, 745. [Google Scholar] [CrossRef] [PubMed] [Green Version]
- Zernetsch, H.; Repanas, A.; Rittinghaus, T.; Mueller, M.; Alfred, I.; Glasmacher, B. Electrospinning and mechanical properties of polymeric fibers using a novel gap-spinning collector. Fibers Polym. 2016, 17, 1025–1032. [Google Scholar] [CrossRef]
- Kiselev, P.; Rosell-Llompart, J. Highly aligned electrospun nanofibers by elimination of the whipping motion. J. Appl. Polym. Sci. 2012, 125, 2433–2441. [Google Scholar] [CrossRef]
- Li, Y.; Liao, C.; Tjong, S.C. Electrospun Polyvinylidene Fluoride-Based Fibrous Scaffolds with Piezoelectric Characteristics for Bone and Neural Tissue Engineering. Nanomaterials 2019, 9, 952. [Google Scholar] [CrossRef] [Green Version]
- Kitsara, M.; Blanquer, A.; Murillo, G.; Humblot, V.; de Bragança Vieira, S.; Nogués, C.; Ibáñez, E.; Esteve, J.; Barrios, L. Permanently hydrophilic, piezoelectric PVDF nanofibrous scaffolds promoting unaided electromechanical stimulation on osteoblasts. Nanoscale 2019, 11, 8906–8917. [Google Scholar] [CrossRef]
- Martins, P.M.; Ribeiro, S.; Ribeiro, C.; Sencadas, V.; Gomes, A.C.; Gama, F.M.; Lanceros-Méndez, S. Effect of poling state and morphology of piezoelectric poly(vinylidene fluoride) membranes for skeletal muscle tissue engineering. RSC Adv. 2013, 3, 17938. [Google Scholar] [CrossRef] [Green Version]
- Adadi, N.; Yadid, M.; Gal, I.; Asulin, M.; Feiner, R.; Edri, R.; Dvir, T. Electrospun Fibrous PVDF-TrFe Scaffolds for Cardiac Tissue Engineering, Differentiation, and Maturation. Adv. Mater. Technol. 2020, 5, 1900820. [Google Scholar] [CrossRef]
- Hitscherich, P.; Wu, S.; Gordan, R.; Xie, L.-H.; Arinzeh, T.; Lee, E.J. The effect of PVDF-TrFE scaffolds on stem cell derived cardiovascular cells. Biotechnol. Bioeng. 2016, 113, 1577–1585. [Google Scholar] [CrossRef]
- Azimi, B.; Sorayani Bafqi, M.S.; Fusco, A.; Ricci, C.; Gallone, G.; Bagherzadeh, R.; Donnarumma, G.; Uddin, M.J.; Latifi, M.; Lazzeri, A.; et al. Electrospun ZnO/Poly(Vinylidene Fluoride-Trifluoroethylene) Scaffolds for Lung Tissue Engineering. Tissue Eng. Part A 2020, 26, 1312–1331. [Google Scholar] [CrossRef] [PubMed]
- Lee, Y.-S.; Wu, S.; Arinzeh, T.L.; Bunge, M.B. Enhanced noradrenergic axon regeneration into schwann cell-filled PVDF-TrFE conduits after complete spinal cord transection. Biotechnol. Bioeng. 2017, 114, 444–456. [Google Scholar] [CrossRef] [PubMed]
- Jiang, H.; Qian, Y.; Fan, C.; Ouyang, Y. Polymeric Guide Conduits for Peripheral Nerve Tissue Engineering. Front. Bioeng. Biotechnol. 2020, 8, 582646. [Google Scholar] [CrossRef] [PubMed]
- Wu, S.; Chen, M.-S.; Maurel, P.; Lee, Y.-S.; Bunge, M.B.; Arinzeh, T.L. Aligned fibrous PVDF-TrFE scaffolds with Schwann cells support neurite extension and myelination in vitro. J. Neural Eng. 2018, 15, 56010. [Google Scholar] [CrossRef] [PubMed]
- Lee, Y.-S.; Collins, G.; Arinzeh, T.L. Neurite extension of primary neurons on electrospun piezoelectric scaffolds. Acta Biomater. 2011, 7, 3877–3886. [Google Scholar] [CrossRef]
- Surmenev, R.A.; Chernozem, R.V.; Pariy, I.O.; Surmeneva, M.A. A review on piezo- and pyroelectric responses of flexible nano- and micropatterned polymer surfaces for biomedical sensing and energy harvesting applications. Nano Energy 2021, 79, 105442. [Google Scholar] [CrossRef]
- Sun, F.-C.; Dongare, A.M.; Asandei, A.D.; Pamir Alpay, S.; Nakhmanson, S. Temperature dependent structural, elastic, and polar properties of ferroelectric polyvinylidene fluoride (PVDF) and trifluoroethylene (TrFE) copolymers. J. Mater. Chem. C 2015, 3, 8389–8396. [Google Scholar] [CrossRef]
- Shao, H.; Fang, J.; Wang, H.; Lin, T. Effect of electrospinning parameters and polymer concentrations on mechanical-to-electrical energy conversion of randomly-oriented electrospun poly(vinylidene fluoride) nanofiber mats. RSC Adv. 2015, 5, 14345–14350. [Google Scholar] [CrossRef]
- Cozza, E.S.; Monticelli, O.; Marsano, E.; Cebe, P. On the electrospinning of PVDF: Influence of the experimental conditions on the nanofiber properties. Polym. Int. 2013, 62, 41–48. [Google Scholar] [CrossRef]
- Al Halabi, F.; Gryshkov, O.; Kuhn, A.I.; Kapralova, V.M.; Glasmacher, B. Force induced piezoelectric effect of polyvinylidene fluoride and polyvinylidene fluoride-co-trifluoroethylene nanofibrous scaffolds. Int. J. Artif. Organs 2018, 41, 811–822. [Google Scholar] [CrossRef] [PubMed]
- Stewart, M.; Cain, M.G. Direct Piezoelectric Measurement: The Berlincourt Method. In Characterisation of Ferroelectric Bulk Materials and Thin Films; Cain, M.G., Ed.; Springer: Dordrecht, The Netherlands, 2014; pp. 37–64. ISBN 9781402093104. [Google Scholar]
- Longbiao, H.; Xiujuan, F.; Triantafillos, K.; Feng, N.; Bo, Z.; Ping, Y. Comparison between Methods for the Measurement of the d33 Constant of Piezoelectric Materials. Available online: https://www.iiav.org/content/archives_icsv_last/2018_icsv25/content/papers/papers/full_paper_200_20180417042802186.pdf (accessed on 12 April 2021).
- Suresh, S.; Becker, A.; Glasmacher, B. Impact of Apparatus Orientation and Gravity in Electrospinning-A Review of Empirical Evidence. Polymers 2020, 12, 2448. [Google Scholar] [CrossRef] [PubMed]
- Kuhn, A.I.; Gryshkov, O.; Glasmacher, B. Effect of Solvents on Thermomechanical Properties and Piezoelectric Beta-phase of PVDF-TrFE Films. In Proceedings of the IEEE International Conference on Electrical Engineering and Photonics (EExPolytech), St. Petersburg, Russia, 15–16 October 2020; pp. 204–207. [Google Scholar]
- Motamedi, A.S.; Mirzadeh, H.; Hajiesmaeilbaigi, F.; Bagheri-Khoulenjani, S.; Shokrgozar, M. Effect of electrospinning parameters on morphological properties of PVDF nanofibrous scaffolds. Prog. Biomater. 2017, 6, 113–123. [Google Scholar] [CrossRef]
- Constantino, C.J.L.; Job, A.E.; Simões, R.D.; Giacometti, J.A.; Zucolotto, V.; Oliveira, O.N.; Gozzi, G.; Chinaglia, D.L. Phase transition in poly(vinylidene fluoride) investigated with micro-Raman spectroscopy. Appl. Spectrosc. 2005, 59, 275–279. [Google Scholar] [CrossRef] [PubMed]
- Tashiro, K.; Kobayashi, M. Vibrational spectroscopic study of the ferroelectric phase transition in vinylidene fluoride-trifluoroethylene copolymers: 1. Temperature dependence of the Raman spectra. Polymer 1988, 29, 426–436. [Google Scholar] [CrossRef]
- Cortili, G.; Zerbi, G. Chain conformations of polyvinylidene fluoride as derived from its vibrational spectrum. Spectrochim. Acta Part A Mol. Spectrosc. 1967, 23, 285–299. [Google Scholar] [CrossRef]
- Arrigoni, A.; Brambilla, L.; Bertarelli, C.; Serra, G.; Tommasini, M.; Castiglioni, C. P(VDF-TrFE) nanofibers: Structure of the ferroelectric and paraelectric phases through IR and Raman spectroscopies. RSC Adv. 2020, 10, 37779–37796. [Google Scholar] [CrossRef]
- Breite, D.; Went, M.; Prager, A.; Schulze, A. Tailoring Membrane Surface Charges: A Novel Study on Electrostatic Interactions during Membrane Fouling. Polymers 2015, 7, 2017–2030. [Google Scholar] [CrossRef] [Green Version]
- Gregory, H.; Phillips, J.B. Materials for peripheral nerve repair constructs: Natural proteins or synthetic polymers? Neurochem. Int. 2021, 143, 104953. [Google Scholar] [CrossRef] [PubMed]
- Powell, R.; Eleftheriadou, D.; Kellaway, S.; Phillips, J.B. Natural Biomaterials as Instructive Engineered Microenvironments That Direct Cellular Function in Peripheral Nerve Tissue Engineering. Front. Bioeng. Biotechnol. 2021, 9, 674473. [Google Scholar] [CrossRef]
- Reid, A.J.; de Luca, A.C.; Faroni, A.; Downes, S.; Sun, M.; Terenghi, G.; Kingham, P.J. Long term peripheral nerve regeneration using a novel PCL nerve conduit. Neurosci. Lett. 2013, 544, 125–130. [Google Scholar] [CrossRef]
- Arinzeh, T.; Collins, G.; Lee, Y.-S. Method of Tissue Repair Using a Piezoelectric Scaffold. US Patent US9476026B2, 12 October 2012. [Google Scholar]
- Li, M.; Zhang, P.; Zhang, D. PVDF piezoelectric neural conduit incorporated pre-differentiated adipose-derived stem cells may accelerate the repair of peripheral nerve injury. Med. Hypotheses 2018, 114, 55–57. [Google Scholar] [CrossRef]
- Delaviz, H.; Faghihi, A.; Azizzadeh Delshad, A.; Bahadori, M.H.; Mohamadi, J.; Roozbehi, A. Repair of peripheral nerve defects using a polyvinylidene fluoride channel containing nerve growth factor and collagen gel in adult rats. Cell J. 2011, 13, 137–142. [Google Scholar]
- Xu, F.; Zhang, K.; Zhou, Y.; Qu, Z.; Wang, H.; Zhang, Y.; Zhou, H.; Yan, C. Facile preparation of highly oriented poly(vinylidene fluoride) uniform films and their ferro- and piezoelectric properties. RSC Adv. 2017, 7, 17038–17043. [Google Scholar] [CrossRef] [Green Version]
- Martín, J.; Zhao, D.; Lenz, T.; Katsouras, I.; de Leeuw, D.M.; Stingelin, N. Solid-state-processing of δ-PVDF. Mater. Horiz. 2017, 4, 408–414. [Google Scholar] [CrossRef] [Green Version]
- Metwally, S.; Ferraris, S.; Spriano, S.; Krysiak, Z.J.; Kaniuk, Ł.; Marzec, M.M.; Kim, S.K.; Szewczyk, P.K.; Gruszczyński, A.; Wytrwal-Sarna, M.; et al. Surface potential and roughness controlled cell adhesion and collagen formation in electrospun PCL fibers for bone regeneration. Mater. Des. 2020, 194, 108915. [Google Scholar] [CrossRef]
- Budama-Kilinc, Y.; Ozdemir, B.; Zorlu, T.; Gok, B.; Can Egil, A. Nanobiomaterials for Neural Regenerative Medicine. In Neural Regenerative Nanomedicine; Elsevier: Amsterdam, The Netherlands, 2020; pp. 25–45. ISBN 9780128202234. [Google Scholar]
- Castaño, O.; Sachot, N.; Xuriguera, E.; Engel, E.; Planell, J.A.; Park, J.-H.; Jin, G.-Z.; Kim, T.-H.; Kim, J.-H.; Kim, H.-W. Angiogenesis in bone regeneration: Tailored calcium release in hybrid fibrous scaffolds. ACS Appl. Mater. Interfaces 2014, 6, 7512–7522. [Google Scholar] [CrossRef] [PubMed]
- Zimmermann, R.; Freudenberg, U.; Schweiß, R.; Küttner, D.; Werner, C. Hydroxide and hydronium ion adsorption—A survey. Curr. Opin. Colloid Interface Sci. 2010, 15, 196–202. [Google Scholar] [CrossRef]
- Ico, G. Development and Utilization of Piezoelectric Scaffold Systems for the Modulation of the Physico-Chemical Microenvironment of the Cells to Enhance Their Regenerative Behaviors. Available online: https://escholarship.org/uc/item/4dd2k3q8 (accessed on 30 March 2021).
- Guo, H.-F.; Li, Z.-S.; Dong, S.-W.; Chen, W.-J.; Deng, L.; Wang, Y.-F.; Ying, D.-J. Piezoelectric PU/PVDF electrospun scaffolds for wound healing applications. Colloids Surf. B Biointerfaces 2012, 96, 29–36. [Google Scholar] [CrossRef]
- Wu, C.-M.; Chou, M.-H.; Zeng, W.-Y. Piezoelectric Response of Aligned Electrospun Polyvinylidene Fluoride/Carbon Nanotube Nanofibrous Membranes. Nanomaterials 2018, 8, 420. [Google Scholar] [CrossRef] [PubMed] [Green Version]
- Campana, W.M. Schwann cells: Activated peripheral glia and their role in neuropathic pain. Brain Behav. Immun. 2007, 21, 522–527. [Google Scholar] [CrossRef] [PubMed] [Green Version]
- Geuna, S.; Raimondo, S.; Fregnan, F.; Haastert-Talini, K.; Grothe, C. In vitro models for peripheral nerve regeneration. Eur. J. Neurosci. 2016, 43, 287–296. [Google Scholar] [CrossRef] [PubMed]
- Chang, H.-I.; Wang, Y. Cell Responses to Surface and Architecture of Tissue Engineering Scaffolds. In Regenerative Medicine and Tissue Engineering—Cells and Biomaterials; Eberli, D., Ed.; InTech: London, UK, 2011; ISBN 9789533076638. [Google Scholar]
- Wen, X.; Tresco, P.A. Effect of filament diameter and extracellular matrix molecule precoating on neurite outgrowth and Schwann cell behavior on multifilament entubulation bridging device in vitro. J. Biomed. Mater. Res. A 2006, 76, 626–637. [Google Scholar] [CrossRef] [PubMed]
- Lins, L.C.; Wianny, F.; Livi, S.; Dehay, C.; Duchet-Rumeau, J.; Gérard, J.-F. Effect of polyvinylidene fluoride electrospun fiber orientation on neural stem cell differentiation. J. Biomed. Mater. Res. 2017, 105, 2376–2393. [Google Scholar] [CrossRef] [PubMed]
- Kim, Y.-T.; Haftel, V.K.; Kumar, S.; Bellamkonda, R.V. The role of aligned polymer fiber-based constructs in the bridging of long peripheral nerve gaps. Biomaterials 2008, 29, 3117–3127. [Google Scholar] [CrossRef] [Green Version]
- Yang, F.; Murugan, R.; Wang, S.; Ramakrishna, S. Electrospinning of nano/micro scale poly(L-lactic acid) aligned fibers and their potential in neural tissue engineering. Biomaterials 2005, 26, 2603–2610. [Google Scholar] [CrossRef]
- Lee, Y.J.; Cintora, P.; Arikkath, J.; Akinsola, O.; Kandel, M.; Popescu, G.; Best-Popescu, C. Quantitative assessment of neural outgrowth using spatial light interference microscopy. J. Biomed. Opt. 2017, 22, 66015. [Google Scholar] [CrossRef]
- Gaudet, A.D.; Popovich, P.G.; Ramer, M.S. Wallerian degeneration: Gaining perspective on inflammatory events after peripheral nerve injury. J. Neuroinflamm. 2011, 8, 110. [Google Scholar] [CrossRef] [PubMed] [Green Version]
- Kretschmer, T.; Antoniadis, G.; Assmus, H. (Eds.) Nervenchirurgie: Trauma, Tumor, Kompression; Springer: Berlin/Heidelberg, Germany, 2014; ISBN 9783642368950. [Google Scholar]
- Haastert-Talini, K. Peripheral Nerve Tissue Engineering: An Outlook on Experimental Concepts. In Modern Concepts of Peripheral Nerve Repair; Haastert-Talini, K., Assmus, H., Antoniadis, G., Eds.; Springer International Publishing: Cham, Switzerland, 2017; pp. 127–138. ISBN 9783319523187. [Google Scholar]
- Riosbaas, M.T.; Loh, K.J.; O’Bryan, G.; Loyola, B.R. In Situ Phase Change Characterization of PVDF Thin Films Using Raman Spectroscopy. In Sensors and Smart Structures Technologies for Civil, Mechanical, and Aerospace Systems; Lynch, J.P., Wang, K.-W., Sohn, H., Eds.; SPIE Smart Structures and Materials + Nondestructive Evaluation and Health Monitoring: San Diego, CA, USA, 2014. [Google Scholar]
- Haastert, K.; Grosskreutz, J.; Jaeckel, M.; Laderer, C.; Bufler, J.; Grothe, C.; Claus, P. Rat embryonic motoneurons in long-term co-culture with Schwann cells—A system to investigate motoneuron diseases on a cellular level in vitro. J. Neurosci. Methods 2005, 142, 275–284. [Google Scholar] [CrossRef]
- Haastert, K.; Mauritz, C.; Matthies, C.; Grothe, C. Autologous adult human Schwann cells genetically modified to provide alternative cellular transplants in peripheral nerve regeneration. J. Neurosurg. 2006, 104, 778–786. [Google Scholar] [CrossRef]
- Haastert, K.; Mauritz, C.; Chaturvedi, S.; Grothe, C. Human and rat adult Schwann cell cultures: Fast and efficient enrichment and highly effective non-viral transfection protocol. Nat. Protoc. 2007, 2, 99–104. [Google Scholar] [CrossRef]
- Bertrand, R.; Solary, E.; O’Connor, P.; Kohn, K.W.; Pommier, Y. Induction of a common pathway of apoptosis by staurosporine. Exp. Cell Res. 1994, 211, 314–321. [Google Scholar] [CrossRef] [PubMed]











| Main Characteristics of the Bands (Mean ± SD, n = 6) | ||||||||||
|---|---|---|---|---|---|---|---|---|---|---|
| 797 cm−1 (α PVDF) | 839 cm−1 (β PVDF) | 845 cm−1 (β P(VDF-TrFE)) | β/α Ratio | |||||||
| Intensity, arb. un. | FWHM, cm−1 | Area, % | Intensity, arb. un. | FWHM, cm−1 | Area, % | Intensity, arb. un. | FWHM, cm−1 | Area, % | Based on Equation (3) | |
| PVDF raw | 0.8 ± 0.1 | 11.7 ± 0.1 | 29.6 ± 2.6 | 0.3 ± 0.1 | 12.8 ± 0.2 | 10.9 ± 3.1 | - | - | - | 0.4 ± 0.1 |
| PVDF mat | 0.4 ± 0.1 | 13.0 ± 0.4 | 11.8 ± 1.4 | 0.8 ± 0.1 | 13.4 ± 0.5 | 27.6 ± 6.1 | - | - | - | 2.3 ± 0.6 |
| P(VDF-TrFE) raw | - | - | - | - | - | - | 0.9 ± 0.1 | 20.1 ± 0.1 | 52.6 ± 0.6 | - |
| P(VDF-TrFE) mat | - | - | - | - | - | - | 0.9 ± 0.1 | 21.0 ± 0.4 | 47.1 ± 1.6 | - |
| Scaffold Type | Concentration, wt% | Needle, Gauge | Applied Voltage, kV | Spinning Distance, cm | Flow Rate, mL/h | Collector Rotation Speed, rpm |
|---|---|---|---|---|---|---|
| PCL | 17 | 21G | 15 | 17 | 4 | 500 |
| PVDF | 10 | 27G | 12 | 16 | 2.5 | 500 |
| 15 | 15 | 16 | ||||
| 20 | 12 | 16 | ||||
| P(VDF-TrFE) | 10 | 21G | 24 | 26 | 2.5 | 500 |
| 15 | 20 | 17 | ||||
| 20 | 15 | 17 |
Publisher’s Note: MDPI stays neutral with regard to jurisdictional claims in published maps and institutional affiliations. |
© 2021 by the authors. Licensee MDPI, Basel, Switzerland. This article is an open access article distributed under the terms and conditions of the Creative Commons Attribution (CC BY) license (https://creativecommons.org/licenses/by/4.0/).
Share and Cite
Gryshkov, O.; AL Halabi, F.; Kuhn, A.I.; Leal-Marin, S.; Freund, L.J.; Förthmann, M.; Meier, N.; Barker, S.-A.; Haastert-Talini, K.; Glasmacher, B. PVDF and P(VDF-TrFE) Electrospun Scaffolds for Nerve Graft Engineering: A Comparative Study on Piezoelectric and Structural Properties, and In Vitro Biocompatibility. Int. J. Mol. Sci. 2021, 22, 11373. https://doi.org/10.3390/ijms222111373
Gryshkov O, AL Halabi F, Kuhn AI, Leal-Marin S, Freund LJ, Förthmann M, Meier N, Barker S-A, Haastert-Talini K, Glasmacher B. PVDF and P(VDF-TrFE) Electrospun Scaffolds for Nerve Graft Engineering: A Comparative Study on Piezoelectric and Structural Properties, and In Vitro Biocompatibility. International Journal of Molecular Sciences. 2021; 22(21):11373. https://doi.org/10.3390/ijms222111373
Chicago/Turabian StyleGryshkov, Oleksandr, Fedaa AL Halabi, Antonia Isabel Kuhn, Sara Leal-Marin, Lena Julie Freund, Maria Förthmann, Nils Meier, Sven-Alexander Barker, Kirsten Haastert-Talini, and Birgit Glasmacher. 2021. "PVDF and P(VDF-TrFE) Electrospun Scaffolds for Nerve Graft Engineering: A Comparative Study on Piezoelectric and Structural Properties, and In Vitro Biocompatibility" International Journal of Molecular Sciences 22, no. 21: 11373. https://doi.org/10.3390/ijms222111373
APA StyleGryshkov, O., AL Halabi, F., Kuhn, A. I., Leal-Marin, S., Freund, L. J., Förthmann, M., Meier, N., Barker, S.-A., Haastert-Talini, K., & Glasmacher, B. (2021). PVDF and P(VDF-TrFE) Electrospun Scaffolds for Nerve Graft Engineering: A Comparative Study on Piezoelectric and Structural Properties, and In Vitro Biocompatibility. International Journal of Molecular Sciences, 22(21), 11373. https://doi.org/10.3390/ijms222111373

