Platinum and Palladium Complexes as Promising Sources for Antitumor Treatments
Abstract
1. Introduction
2. Cisplatin and Its Derivatives Commonly Used in Cancer Treatment
3. Modifications of Platinum- and Palladium-Based Molecules
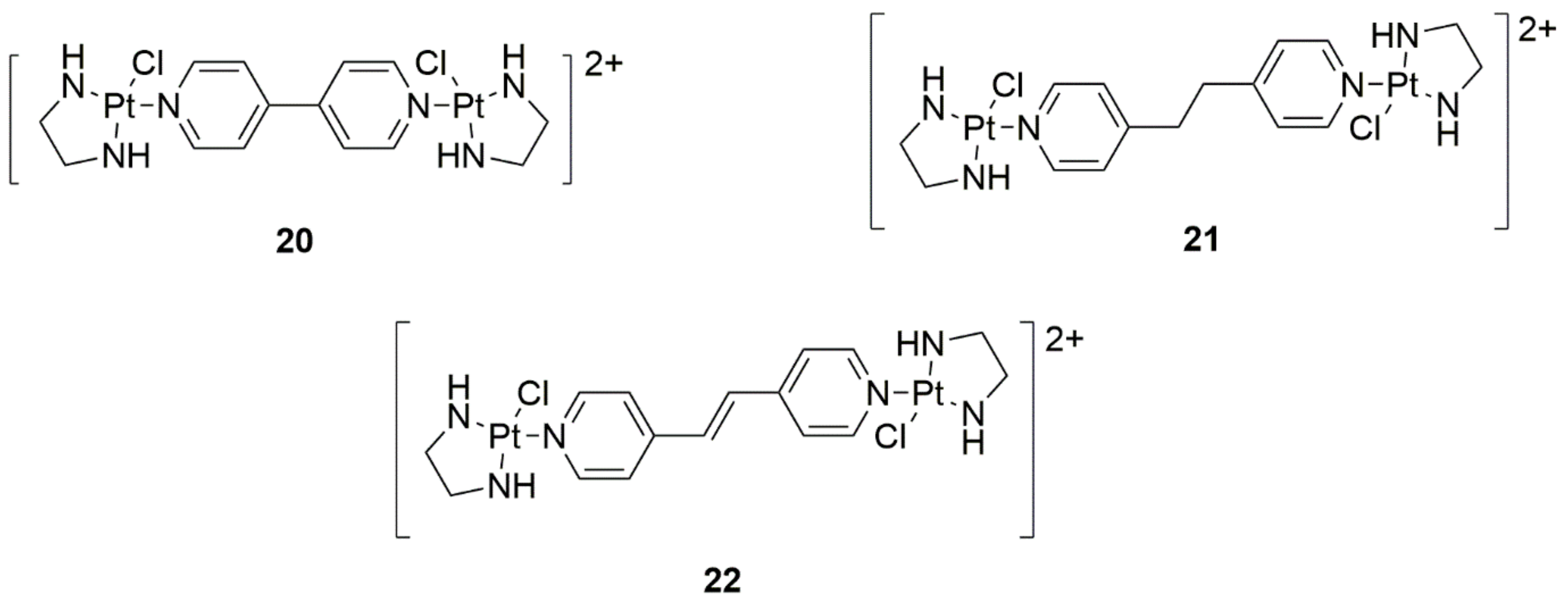
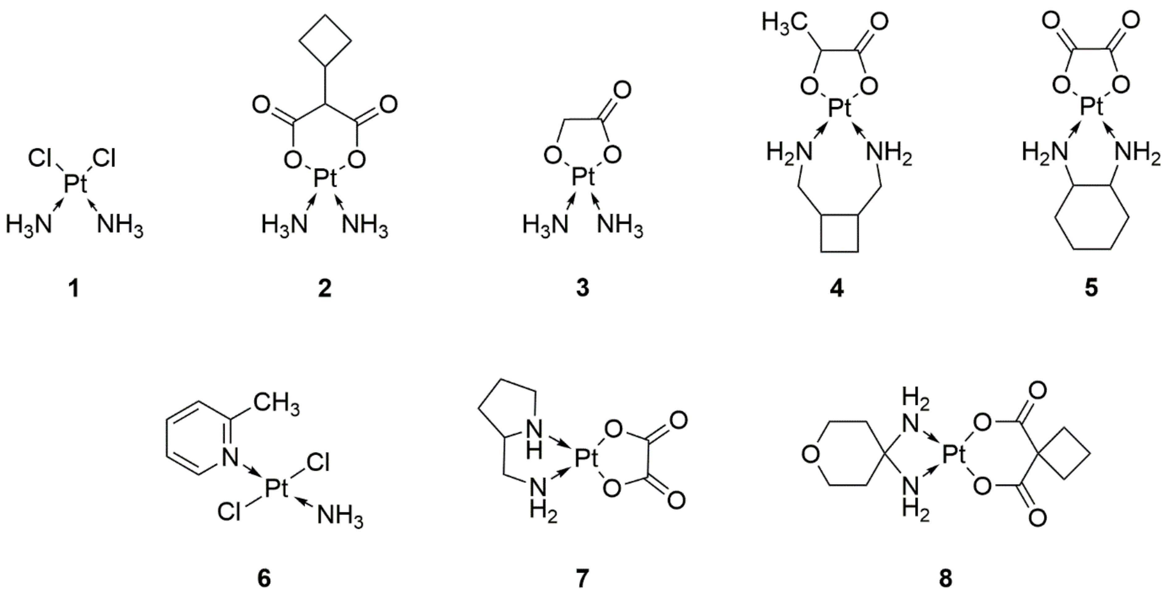
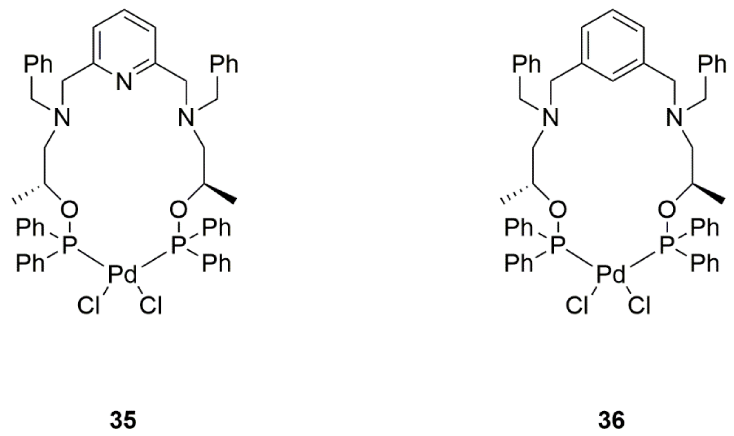
3.1. Platinum-Based Compounds
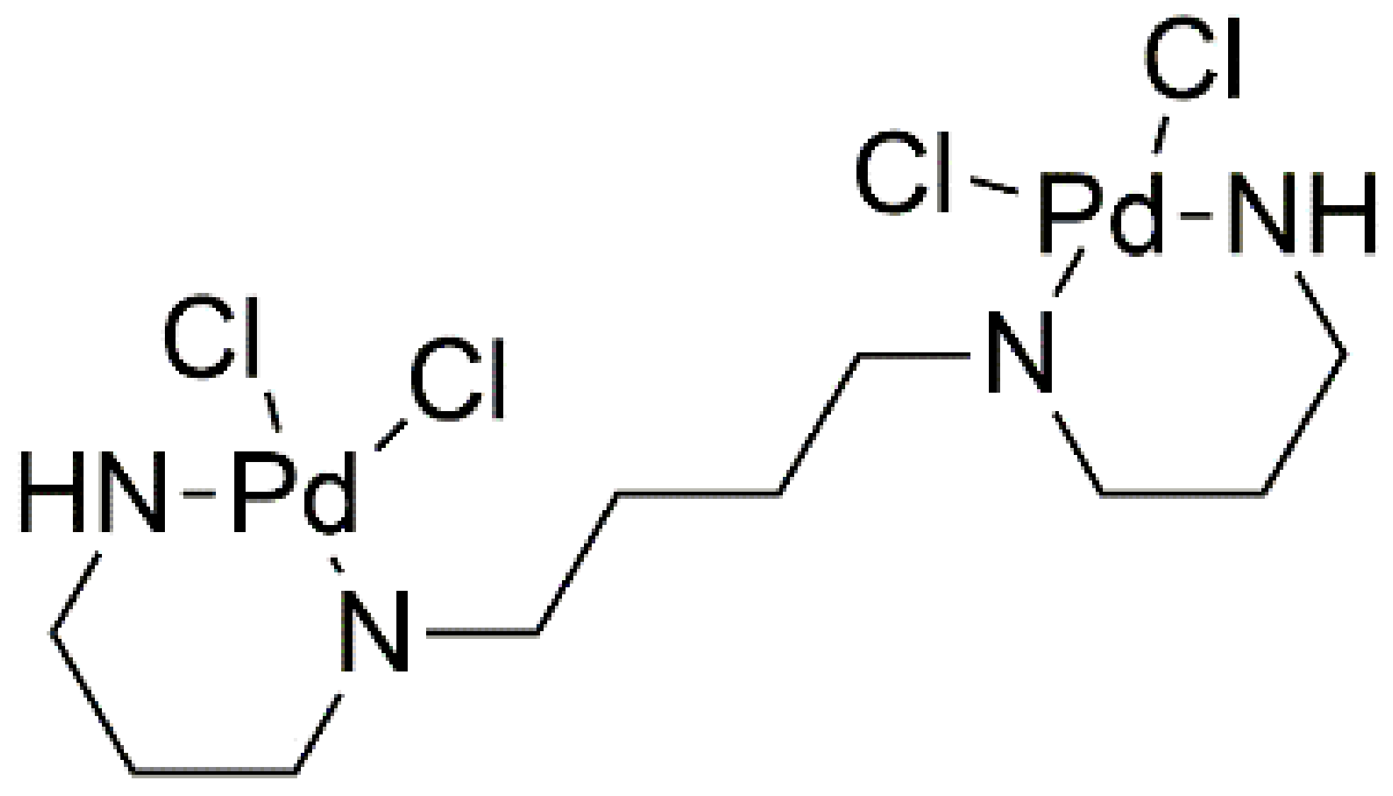
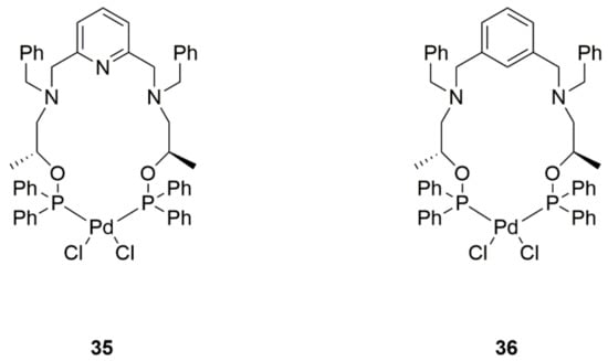
3.2. Palladium-Based Compounds
4. Synergism of Biologically Active Compounds with Platinum- and Palladium-Based Molecules
5. Nanocarriers of Platinum and Palladium Complexes
6. Platinum and Palladium Compounds in Clinical Trials
7. Summary
Author Contributions
Funding
Institutional Review Board Statement
Informed Consent Statement
Data Availability Statement
Conflicts of Interest
References
- Kauffman, G.B.; Pentimalli, R.; Doldi, S.; Hall, M.D. Michele Peyrone (1813–1883), Discoverer of Cisplatin. Platin. Met. Rev. 2010, 54, 250–256. [Google Scholar] [CrossRef]
- Rosenberg, B. Platinum Complexes for the Treatment of Cancer. Interdiscip. Sci. Rev. 1978, 3, 134–147. [Google Scholar] [CrossRef]
- Rosenberg, B.; VanCamp, L.; Trosko, J.E.; Mansour, V.H. Platinum compounds: A new class of potent antitumour agents. Nature 1969, 222, 385–386. [Google Scholar] [CrossRef] [PubMed]
- Hainsworth, J.D.; Johnson, D.H.; Greco, F.A. Cisplatin-based combination chemotherapy in the treatment of poorly differentiated carcinoma and poorly differentiated adenocarcinoma of unknown primary site: Results of a 12-year experience. J. Clin. Oncol. 1992, 10, 912–922. [Google Scholar] [CrossRef]
- Gilligan, T.; Lin, D.W.; Aggarwal, R.; Chism, D.; Cost, N.; Derweesh, I.H.; Emamekhoo, H.; Feldman, D.R.; Geynisman, D.M.; Hancock, S.L.; et al. Testicular Cancer, Version 2.2020, NCCN Clinical Practice Guidelines in Oncology. J. Natl. Compr. Cancer Netw. 2019, 17, 1529–1554. [Google Scholar] [CrossRef]
- Ray-Coquard, I.; Morice, P.; Lorusso, D.; Prat, J.; Oaknin, A.; Pautier, P.; Colombo, N. Non-epithelial ovarian cancer: ESMO Clinical Practice Guidelines for diagnosis, treatment and follow-up. Ann. Oncol. 2018, 29 (Suppl. S4), iv1–iv18. [Google Scholar] [CrossRef] [PubMed]
- Bokarica, P.; Hrkac, A.; Gilja, I.R.J.; Witjes, A.; Lebret, T.; Compérat, E.M. Updated 2016 EAU Guidelines on Muscle-invasive and Metastatic Bladder Cancer. Eur. Urol. 2017, 72, e45. [Google Scholar] [CrossRef]
- Iglesias Docampo, L.C.; Arrazubi Arrula, V.; Baste Rotllan, N.; Carral Maseda, A.; Cirauqui Cirauqui, B.; Escobar, Y.; Lambea Sorrosal, J.J.; Pastor Borgoñón, M.; Rueda, A.; Cruz Hernández, J.J. SEOM clinical guidelines for the treatment of head and neck cancer (2017). Clin. Transl. Oncol. 2018, 20, 75–83. [Google Scholar] [CrossRef]
- Postmus, P.E.; Kerr, K.M.; Oudkerk, M.; Senan, S.; Waller, D.A.; Vansteenkiste, J.; Escriu, C.; Peters, S. Early and locally advanced Non-Small-Cell Lung Cancer (NSCLC): ESMO Clinical Practice Guidelines for diagnosis, treatment and follow-up. Ann. Oncol. 2017, 28, iv1–iv21. [Google Scholar] [CrossRef] [PubMed]
- Marth, C.; Landoni, F.; Mahner, S.; McCormack, M.; Gonzalez-Martin, A.; Colombo, N. Cervical cancer: ESMO Clinical Practice Guidelines for diagnosis, treatment and follow-up. Ann. Oncol. 2017, 28, iv72–iv83. [Google Scholar] [CrossRef]
- Oun, R.; Moussa, Y.E.; Wheate, N.J. The side effects of platinum-based chemotherapy drugs: A review for chemists. Dalton Trans. 2018, 47, 6645–6653. [Google Scholar] [CrossRef] [PubMed]
- Abu-Surrah, A.; Al-Sa’doni, H.; Abdalla, M. Palladium-based chemotherapeutic agents:Routes toward complexes with good antitumoractivity. Cancer Ther. 2008, 6, 1. [Google Scholar]
- Ashiq, M.; Mohsin, M.; Bari, S.; Mukhtar, F. Chemistry of Platinum and Palladium Metal Complexes in Homogeneous and Heterogeneous Catalysis: A Mini Review. Int. J. Sci. Basic Appl. Res. 2013, 7, 50–61. [Google Scholar]
- Bond, G. Relativistic Phenomena in the Chemistry of the Platinum Group Metals: Effects on coordination and chemisorption in homogeneous and heterogeneous catalysis. Platinum. Metals Rev. 2000, 44, 146–155. [Google Scholar]
- Abu-Surrah, A.S.; Kettunen, M. Platinum group antitumor chemistry: Design and development of new anticancer drugs complementary to cisplatin. Curr. Med. Chem. 2006, 13, 1337–1357. [Google Scholar] [CrossRef]
- Jahromi, E.Z.; Divsalar, A.; Saboury, A.A.; Khaleghizadeh, S.; Mansouri-Torshizi, H.; Kostova, I. Palladium complexes: New candidates for anti-cancer drugs. J. Iran. Chem. Soc. 2016, 13, 967–989. [Google Scholar] [CrossRef]
- Briz, O.; Serrano, M.A.; Rebollo, N.; Hagenbuch, B.; Meier, P.J.; Koepsell, H.; Marin, J.J. Carriers involved in targeting the cytostatic bile acid-cisplatin derivatives cis-diammine-chloro-cholylglycinate-platinum(II) and cis-diammine-bisursodeoxycholate-platinum(II) toward liver cells. Mol. Pharmacol. 2002, 61, 853–860. [Google Scholar] [CrossRef]
- Kelland, L. The resurgence of platinum-based cancer chemotherapy. Nat. Rev. Cancer 2007, 7, 573–584. [Google Scholar] [CrossRef] [PubMed]
- Ali, I.; Wani, W.A.; Saleem, K.; Haque, A. Platinum compounds: A hope for future cancer chemotherapy. Anticancer Agents Med. Chem. 2013, 13, 296–306. [Google Scholar] [CrossRef] [PubMed]
- Barefoot, R.R. Speciation of platinum compounds: A review of recent applications in studies of platinum anticancer drugs. J. Chromatogr. B Biomed. Sci. Appl. 2001, 751, 205–211. [Google Scholar] [CrossRef]
- Saris, C.P.; van de Vaart, P.J.; Rietbroek, R.C.; Blommaert, F.A. In vitro formation of DNA adducts by cisplatin, lobaplatin and oxaliplatin in calf thymus DNA in solution and in cultured human cells. Carcinogenesis 1996, 17, 2763–2769. [Google Scholar] [CrossRef] [PubMed]
- Pasetto, L.M.; D’Andrea, M.R.; Brandes, A.A.; Rossi, E.; Monfardini, S. The development of platinum compounds and their possible combination. Crit. Rev. Oncol. Hematol. 2006, 60, 59–75. [Google Scholar] [CrossRef] [PubMed]
- Cao, Q.; Zhou, D.J.; Pan, Z.Y.; Yang, G.G.; Zhang, H.; Ji, L.N.; Mao, Z.W. CAIXplatins: Highly Potent Platinum(IV) Prodrugs Selective Against Carbonic Anhydrase IX for the Treatment of Hypoxic Tumors. Angew. Chem. Int. Ed. Engl. 2020, 59, 18556–18562. [Google Scholar] [CrossRef]
- Liu, Z.; Li, Z.; Du, T.; Chen, Y.; Wang, Q.; Li, G.; Liu, M.; Zhang, N.; Li, D.; Han, J. Design, synthesis and biological evaluation of dihydro-2-quinolone platinum(iv) hybrids as antitumor agents displaying mitochondria injury and DNA damage mechanism. Dalton Trans. 2021, 50, 362–375. [Google Scholar] [CrossRef] [PubMed]
- Adams, M.; Sullivan, M.P.; Tong, K.K.H.; Goldstone, D.C.; Hanif, M.; Jamieson, S.M.F.; Hartinger, C.G. Mustards-Derived Terpyridine-Platinum Complexes as Anticancer Agents: DNA Alkylation vs Coordination. Inorg. Chem. 2021, 60, 2414–2424. [Google Scholar] [CrossRef]
- Eslami Moghadam, M.; Jafari, A.; Kiani Khashandaragh, R.; Divsalar, A.; Ghasemzadeh, M. Three anticancer Pt complexes with glycine derivatives: Synthesis, bioactivity on MCF-7 cell line, ADME prediction, DFT, MEP, and molecular docking. J. Iran. Chem. Soc. 2021. [Google Scholar] [CrossRef]
- Doğan, U.; Özcan, Ö.; Alaca, G.; Arı, A.; Günnaz, S.; Yalçın, H.T.; Şahin, O.; İrişli, S. Novel Benzimidazole- Platinum(II) Complexes: Synthesis, Characterization, Antimicrobial and Anticancer Activity. J. Mol. Struct. 2021, 1229, 129785. [Google Scholar] [CrossRef]
- Rimoldi, I.; Coccè, V.; Facchetti, G.; Alessandri, G.; Brini, A.T.; Sisto, F.; Parati, E.; Cavicchini, L.; Lucchini, G.; Petrella, F.; et al. Uptake-release by MSCs of a cationic platinum(II) complex active in vitro on human malignant cancer cell lines. Biomed. Pharmacother. 2018, 108, 111–118. [Google Scholar] [CrossRef]
- Ma, Z.Y.; Song, X.Q.; Hu, J.J.; Wang, D.B.; Ding, X.J.; Liu, R.P.; Dai, M.L.; Meng, F.Y.; Xu, J.Y. Ketoplatin in triple-negative breast cancer cells MDA-MB-231: High efficacy and low toxicity, and positive impact on inflammatory microenvironment. Biochem. Pharmacol. 2021, 188, 114523. [Google Scholar] [CrossRef] [PubMed]
- He, C.; Heidari Majd, M.; Shiri, F.; Shahraki, S. Palladium and platinum complexes of folic acid as new drug delivery systems for treatment of breast cancer cells. J. Mol. Struct. 2021, 1229, 129806. [Google Scholar] [CrossRef]
- Facchetti, G.; Ferri, N.; Lupo, M.G.; Giorgio, L.; Rimoldi, I. Monofunctional PtII Complexes Based on 8-Aminoquinoline: Synthesis and Pharmacological Characterization. Eur. J. Inorg. Chem. 2019, 2019, 3389–3395. [Google Scholar] [CrossRef]
- Gęgotek, A.; Ambrożewicz, E.; Bielawska, A.; Bielawski, K.; Cyuńczyk, M.; Skrzydlewska, E. Dinuclear berenil-platinum (II) complexes as modulators of apoptosis in human MCF-7 and MDA-MB231 breast cancer cells. Anticancer Agents Med. Chem. 2014, 14, 1179–1186. [Google Scholar] [CrossRef]
- Franich, A.A.; Živković, M.D.; Ilić-Tomić, T.; Đorđević, I.S.; Nikodinović-Runić, J.; Pavić, A.; Janjić, G.V.; Rajković, S. New minor groove covering DNA binding mode of dinuclear Pt(II) complexes with various pyridine-linked bridging ligands and dual anticancer-antiangiogenic activities. J. Biol. Inorg. Chem. 2020, 25, 395–409. [Google Scholar] [CrossRef] [PubMed]
- Li, C.; Zhao, X.; Liu, W.; Yin, F.; Hu, J.; Zhang, G.; Chen, G. DNA Structural Distortions Induced by a Monofunctional Trinuclear Platinum Complex with Various Cross-Links Using Molecular Dynamics Simulation. J. Chem. Inf. Model. 2020, 60, 1700–1708. [Google Scholar] [CrossRef] [PubMed]
- Enjun, G.; Cong, L.; Mingchang, Z.; Huakuan, L.; Qiong, W.; Lei, L. Current Development of Pd(II) Complexes as Potential Antitumor Agents. Anticancer Agents Med. Chem. 2009, 9, 356–368. [Google Scholar] [CrossRef]
- Gao, E.; Liu, L.; Zhu, M.; Huang, Y.; Guan, F.; Gao, X.; Zhang, M.; Wang, L.; Zhang, W.; Sun, Y. Synthesis, characterization, interaction with DNA, and cytotoxic effect in vitro of new mono- and dinuclear Pd(II) and Pt(II) complexes with benzo[d]thiazol-2-amine as the primary ligand. Inorg. Chem. 2011, 50, 4732–4741. [Google Scholar] [CrossRef]
- Carneiro, T.J.; Martins, A.S.; Marques, M.P.M.; Gil, A.M. Metabolic Aspects of Palladium(II) Potential Anti-Cancer Drugs. Front. Oncol. 2020, 10. [Google Scholar] [CrossRef]
- Scattolin, T.; Voloshkin, V.A.; Visentin, F.; Nolan, S.P. A critical review of palladium organometallic anticancer agents. Cell Rep. Phys. Sci. 2021, 2, 100446. [Google Scholar] [CrossRef]
- Shakur, D.A.; Al-Mugdadi, S.F.H.; Arif, I.S. Molecular mechanisms and immunomodulatory effects of platinum analogs on some genes and as anticancer drugs: Review article. J. Crit. Rev. 2020, 7, 81–83. [Google Scholar] [CrossRef]
- Al-Saif, F.A.; Al-Humaidi, J.Y.; Binjawhar, D.N.; Refat, M.S. Six new palladium(II) mixed ligand complexes of 2-, 3-, 4-monosubstituted derivative of pyridine ring with caffeine moiety: Synthesis, spectroscopic, morphological structures, thermal, antimicrobial and anticancer properties. J. Mol. Struct. 2020, 1218, 128547. [Google Scholar] [CrossRef]
- Majeed, S.R.; Amin, M.A.; Attaby, F.A.; Soliman, A.A. Palladium Complexes Based on 2-Hydrazinopyridine Ligand: Synthesis, Spectroscopic Studies, DFT Calculations, and Cytotoxicity. Biointerface Res. Appl. Chem. 2021, 11, 14316–14335. [Google Scholar] [CrossRef]
- Nyawade, E.; Sibuyi, N.; Meyer, M.; Lalancette, R.; Onani, M. Synthesis, characterization and anticancer activity of new 2-acetyl-5-methyl thiophene and cinnamaldehyde thiosemicarbazones and their palladium(II) complexes. Inorg. Chim. Acta 2021, 515, 120036. [Google Scholar] [CrossRef]
- Du, G.; Zhang, Z.; Lu, X.; Cai, W.; Wu, L.; Zhao, G. A novel palladium (II) complex with a ferrocene-based ligand: Synthesis, X-ray crystallography and in vitro anticancer activity study. Inorg. Chem. Commun. 2021, 126, 108448. [Google Scholar] [CrossRef]
- Tokgun, O.; Karakas, D.E.; Tan, S.; Karagür, E.R.; İnal, B.; Akca, H.; Durap, F.; Baysal, A.; Aydemir, M. Novel ruthenium and palladium complexes as potential anticancer molecules on SCLC and NSCLC cell lines. Chem. Pap. 2020, 74, 2883–2892. [Google Scholar] [CrossRef]
- Aliwaini, S.; Peres, J.; Kröger, W.L.; Blanckenberg, A.; de la Mare, J.; Edkins, A.L.; Mapolie, S.; Prince, S. The palladacycle, AJ-5, exhibits anti-tumour and anti-cancer stem cell activity in breast cancer cells. Cancer Lett. 2015, 357, 206–218. [Google Scholar] [CrossRef] [PubMed]
- Franich, A.A.; Živković, M.D.; Ćoćić, D.; Petrović, B.; Milovanović, M.; Arsenijević, A.; Milovanović, J.; Arsenijević, D.; Stojanović, B.; Djuran, M.I.; et al. New dinuclear palladium(II) complexes with benzodiazines as bridging ligands: Interactions with CT-DNA and BSA, and cytotoxic activity. J. Biol. Inorg. Chem. 2019, 24, 1009–1022. [Google Scholar] [CrossRef]
- Vojtek, M.; Gonçalves-Monteiro, S.; Pinto, E.; Kalivodová, S.; Almeida, A.; Marques, M.P.M.; Batista de Carvalho, A.L.M.; Martins, C.B.; Mota-Filipe, H.; Ferreira, I.; et al. Preclinical Pharmacokinetics and Biodistribution of Anticancer Dinuclear Palladium(II)-Spermine Complex (Pd(2)Spm) in Mice. Pharmaceuticals 2021, 14, 173. [Google Scholar] [CrossRef] [PubMed]
- Campbell, M.; Prankerd, R.J.; Davie, A.S.; Charman, W.N. Degradation of berenil (diminazene aceturate) in acidic aqueous solution. J. Pharm. Pharmacol. 2004, 56, 1327–1332. [Google Scholar] [CrossRef] [PubMed]
- Ishida, S.; Lee, J.; Thiele, D.J.; Herskowitz, I. Uptake of the anticancer drug cisplatin mediated by the copper transporter Ctr1 in yeast and mammals. Proc. Natl. Acad. Sci. USA 2002, 99, 14298–14302. [Google Scholar] [CrossRef]
- Saito, Y.; Okamoto, K.; Kobayashi, M.; Narumi, K.; Yamada, T.; Iseki, K. Magnesium attenuates cisplatin-induced nephrotoxicity by regulating the expression of renal transporters. Eur. J. Pharmacol. 2017, 811, 191–198. [Google Scholar] [CrossRef]
- Czarnomysy, R.; Radomska, D.; Muszyńska, A.; Hermanowicz, J.M.; Prokop, I.; Bielawska, A.; Bielawski, K. Evaluation of the Anticancer Activities of Novel Transition Metal Complexes with Berenil and Nitroimidazole. Molecules 2020, 25, 2860. [Google Scholar] [CrossRef] [PubMed]
- Wróblewska-Łuczka, P.; Grabarska, A.; Florek-Łuszczki, M.; Plewa, Z.; Łuszczki, J.J. Synergy, Additivity, and Antagonism between Cisplatin and Selected Coumarins in Human Melanoma Cells. Int. J. Mol. Sci. 2021, 22, 537. [Google Scholar] [CrossRef]
- Ilson, D.H.; Forastiere, A.; Arquette, M.; Costa, F.; Heelan, R.; Huang, Y.; Kelsen, D.P. A phase II trial of paclitaxel and cisplatin in patients with advanced carcinoma of the esophagus. Cancer J. 2000, 6, 316–323. [Google Scholar] [CrossRef] [PubMed]
- Hamada, C.; Tanaka, F.; Ohta, M.; Fujimura, S.; Kodama, K.; Imaizumi, M.; Wada, H. Meta-analysis of postoperative adjuvant chemotherapy with tegafur-uracil in non-small-cell lung cancer. J. Clin. Oncol. 2005, 23, 4999–5006. [Google Scholar] [CrossRef] [PubMed]
- Park, S.H.; Lee, Y.; Han, S.H.; Kwon, S.Y.; Kwon, O.S.; Kim, S.S.; Kim, J.H.; Park, Y.H.; Lee, J.N.; Bang, S.M.; et al. Systemic chemotherapy with doxorubicin, cisplatin and capecitabine for metastatic hepatocellular carcinoma. BMC Cancer 2006, 6, 3. [Google Scholar] [CrossRef]
- Weigt, J.; Malfertheiner, P. Cisplatin plus gemcitabine versus gemcitabine for biliary tract cancer. Expert Rev. Gastroenterol. Hepatol. 2010, 4, 395–397. [Google Scholar] [CrossRef]
- Huang, Z.; Zhang, Y.; Li, H.; Zhou, Y.; Zhang, Q.; Chen, R.; Jin, T.; Hu, K.; Li, S.; Wang, Y.; et al. Vitamin D promotes the cisplatin sensitivity of oral squamous cell carcinoma by inhibiting LCN2-modulated NF-κB pathway activation through RPS3. Cell Death Dis. 2019, 10, 936. [Google Scholar] [CrossRef]
- Aktepe, O.H.; Şahin, T.K.; Güner, G.; Arik, Z.; Yalçin, Ş. Lycopene sensitizes the cervical cancer cells to cisplatin via targeting nuclear factor- kappa B (NF-κB) pathway. Turk. J. Med. Sci. 2021, 51, 368–374. [Google Scholar] [CrossRef]
- Ahmadi, Z.; Ashrafizadeh, M. Melatonin as a potential modulator of Nrf2. Fundam. Clin. Pharmacol. 2020, 34, 11–19. [Google Scholar] [CrossRef]
- Li, H.; Gao, C.; Liu, C.; Liu, L.; Zhuang, J.; Yang, J.; Zhou, C.; Feng, F.; Sun, C.; Wu, J. A review of the biological activity and pharmacology of cryptotanshinone, an important active constituent in Danshen. Biomed. Pharmacother. 2021, 137, 111332. [Google Scholar] [CrossRef] [PubMed]
- Jiang, G.; Liu, J.; Ren, B.; Zhang, L.; Owusu, L.; Liu, L.; Zhang, J.; Tang, Y.; Li, W. Anti-tumor and chemosensitization effects of Cryptotanshinone extracted from Salvia miltiorrhiza Bge. on ovarian cancer cells in vitro. J. Ethnopharmacol. 2017, 205, 33–40. [Google Scholar] [CrossRef] [PubMed]
- Xia, C.; Bai, X.; Hou, X.; Gou, X.; Wang, Y.; Zeng, H.; Huang, M.; Jin, J. Cryptotanshinone Reverses Cisplatin Resistance of Human Lung Carcinoma A549 Cells through Down-Regulating Nrf2 Pathway. Cell Physiol. Biochem. 2015, 37, 816–824. [Google Scholar] [CrossRef] [PubMed]
- Farkhondeh, T.; Folgado, S.L.; Pourbagher-Shahri, A.M.; Ashrafizadeh, M.; Samarghandian, S. The therapeutic effect of resveratrol: Focusing on the Nrf2 signaling pathway. Biomed. Pharmacother. 2020, 127, 110234. [Google Scholar] [CrossRef] [PubMed]
- Ashrafizadeh, M.; Fekri, H.S.; Ahmadi, Z.; Farkhondeh, T.; Samarghandian, S. Therapeutic and biological activities of berberine: The involvement of Nrf2 signaling pathway. J. Cell. Biochem. 2020, 121, 1575–1585. [Google Scholar] [CrossRef] [PubMed]
- Jiang, X.Y.; Zhu, X.S.; Xu, H.Y.; Zhao, Z.X.; Li, S.Y.; Li, S.Z.; Cai, J.H.; Cao, J.M. Diallyl trisulfide suppresses tumor growth through the attenuation of Nrf2/Akt and activation of p38/JNK and potentiates cisplatin efficacy in gastric cancer treatment. Acta Pharmacol. Sin. 2017, 38, 1048–1058. [Google Scholar] [CrossRef] [PubMed]
- Sharma, R.; Gatchie, L.; Williams, I.S.; Jain, S.K.; Vishwakarma, R.A.; Chaudhuri, B.; Bharate, S.B. Glycyrrhiza glabra extract and quercetin reverses cisplatin resistance in triple-negative MDA-MB-468 breast cancer cells via inhibition of cytochrome P450 1B1 enzyme. Bioorg. Med. Chem. Lett. 2017, 27, 5400–5403. [Google Scholar] [CrossRef]
- Wakamatsu, T.; Nakahashi, Y.; Hachimine, D.; Seki, T.; Okazaki, K. The combination of glycyrrhizin and lamivudine can reverse the cisplatin resistance in hepatocellular carcinoma cells through inhibition of multidrug resistance-associated proteins. Int. J. Oncol. 2007, 31, 1465–1472. [Google Scholar] [CrossRef]
- Liu, L.; Peng, Z.; Huang, H.; Xu, Z.; Wei, X. Luteolin and apigenin activate the Oct-4/Sox2 signal via NFATc1 in human periodontal ligament cells. Cell Biol. Int. 2016, 40, 1094–1106. [Google Scholar] [CrossRef]
- Whitfield, S. Synthesis and Characterization of Carbon Monoxide Producers Bipyridine Flavonolate Palladium(II) and Platinum(II) Complexes: Potential Anti-Cancer Agents. Master’s Thesis, Stephen F Austin State University, Nacogdoches, TX, USA, 2020. [Google Scholar]
- Prince, S.; Mapolie, S.; Blanckenberg, A. Palladium-Based Anti-Cancer Therapeutics. In Encyclopedia of Cancer; Schwab, M., Ed.; Springer: Berlin/Heidelberg, Germany, 2015; pp. 1–9. [Google Scholar] [CrossRef]
- Joksimović, N.; Janković, N.; Petronijević, J.; Baskić, D.; Popovic, S.; Todorović, D.; Zarić, M.; Klisurić, O.; Vraneš, M.; Tot, A.; et al. Synthesis, Anticancer Evaluation and Synergistic Effects with cisplatin of Novel Palladium Complexes: DNA, BSA Interactions and Molecular Docking Study. Med. Chem. 2020, 16, 78–92. [Google Scholar] [CrossRef]
- Ghosh, S.; Nitnavare, R.; Dewle, A.; Tomar, G.B.; Chippalkatti, R.; More, P.; Kitture, R.; Kale, S.; Bellare, J.; Chopade, B.A. Novel platinum-palladium bimetallic nanoparticles synthesized by Dioscorea bulbifera: Anticancer and antioxidant activities. Int. J. Nanomed. 2015, 10, 7477–7490. [Google Scholar] [CrossRef]
- Fahmy, S.A.; Fawzy, I.M.; Saleh, B.M.; Issa, M.Y.; Bakowsky, U.; Azzazy, H.M.E.-S. Green Synthesis of Platinum and Palladium Nanoparticles Using Peganum harmala L. Seed Alkaloids: Biological and Computational Studies. Nanomaterials 2021, 11, 965. [Google Scholar] [CrossRef]
- Ali, I. Nano anti-cancer drugs: Pros and cons and future perspectives. Curr. Cancer Drug Targets 2011, 11, 131–134. [Google Scholar] [CrossRef]
- Mitchell, M.J.; Billingsley, M.M.; Haley, R.M.; Wechsler, M.E.; Peppas, N.A.; Langer, R. Engineering precision nanoparticles for drug delivery. Nat. Rev. Drug Discov. 2021, 20, 101–124. [Google Scholar] [CrossRef] [PubMed]
- Ito, A.; Matsuoka, F.; Honda, H.; Kobayashi, T. Heat shock protein 70 gene therapy combined with hyperthermia using magnetic nanoparticles. Cancer Gene Ther. 2003, 10, 918–925. [Google Scholar] [CrossRef][Green Version]
- Bednarski, P.J.; Mackay, F.S.; Sadler, P.J. Photoactivatable platinum complexes. Anticancer Agents Med. Chem. 2007, 7, 75–93. [Google Scholar] [CrossRef]
- Blanco, E.; Shen, H.; Ferrari, M. Principles of nanoparticle design for overcoming biological barriers to drug delivery. Nat. Biotechnol. 2015, 33, 941–951. [Google Scholar] [CrossRef]
- Gabizon, A.A. Liposomal drug carrier systems in cancer chemotherapy: Current status and future prospects. J. Drug Target 2002, 10, 535–538. [Google Scholar] [CrossRef]
- Liu, Y.; Castro Bravo, K.M.; Liu, J. Targeted liposomal drug delivery: A nanoscience and biophysical perspective. Nanoscale Horiz. 2021, 6, 78–94. [Google Scholar] [CrossRef]
- Hak, A.; Ravasaheb Shinde, V.; Rengan, A.K. A review of advanced nanoformulations in phototherapy for cancer therapeutics. Photodiagnosis Photodyn. Ther. 2021, 33, 102205. [Google Scholar] [CrossRef]
- Van Hoogevest, P.; Tiemessen, H.; Metselaar, J.M.; Drescher, S.; Fahr, A. The Use of Phospholipids to Make Pharmaceutical Form Line Extensions. Eur. J. Lipid Sci. Technol. 2021, 123, 2000297. [Google Scholar] [CrossRef]
- Mi, P.; Miyata, K.; Kataoka, K.; Cabral, H. Clinical Translation of Self-Assembled Cancer Nanomedicines. Adv. Therap. 2020, 4, 2000159. [Google Scholar] [CrossRef]
- Rahman, M.; Beg, S.; Alam, K.; Jalees Ahmad, F. Nanomedicine for combinational anticancer drug therapeutics: Recent advances, challenges, and future perspectives. In Nanoformulation Strategies for Cancer Treatment; Elsevier: Amsterdam, The Netherlands, 2021; pp. 3–16. [Google Scholar] [CrossRef]
- Huang, X.; Tang, S.; Mu, X.; Dai, Y.; Chen, G.; Zhou, Z.; Ruan, F.; Yang, Z.; Zheng, N. Freestanding palladium nanosheets with plasmonic and catalytic properties. Nat. Nanotechnol. 2011, 6, 28–32. [Google Scholar] [CrossRef]
- Hari, B.N.V.; Kalaimagal, K.; Porkodi, R.; Gajula, P.K.; Ajay, J. Dendrimer: Globular Nanostructured Materials for Drug Delivery. Int. J. Pharm. Tech. Res. 2012, 4, 432–451. [Google Scholar]
- Prajapati, S.; Maurya, S.; Das, M.; Tilak, V.; Verma, K.; Dhakar, R.C. Dendrimers in drug delivery, diagnosis and therapy: Basics and potential applications. J. Drug Deliv. Ther. 2016, 6, 67–92. [Google Scholar] [CrossRef]
- Guo, X.L.; Kang, X.X.; Wang, Y.Q.; Zhang, X.J.; Li, C.J.; Liu, Y.; Du, L.B. Co-delivery of cisplatin and doxorubicin by covalently conjugating with polyamidoamine dendrimer for enhanced synergistic cancer therapy. Acta Biomater. 2019, 84, 367–377. [Google Scholar] [CrossRef] [PubMed]
- Yue, S.; Sun, K.; Li, S.; Liu, Y.; Zhu, Q.; Chen, Y.; Yuan, D.; Wen, T.; Ge, M.; Yu, Q. An Immunosensor for the Detection of Speckle-type Poz Domain Protein Based on Pioneering Jasmine-like Cu@l-asp Hybrid Nanoflowers and Palladium-platinum Nanoparticles. PREPRINT (Version 1). Res. Sq. 2021. [Google Scholar] [CrossRef]
- Achkar, I.W.; Abdulrahman, N.; Al-Sulaiti, H.; Joseph, J.M.; Uddin, S.; Mraiche, F. Cisplatin based therapy: The role of the mitogen activated protein kinase signaling pathway. J. Transl. Med. 2018, 16, 96. [Google Scholar] [CrossRef] [PubMed]
- Dasari, S.; Tchounwou, P.B. Cisplatin in cancer therapy: Molecular mechanisms of action. Eur. J. Pharmacol. 2014, 740, 364–378. [Google Scholar] [CrossRef]
- ClinicalTrials.gov. Anlotinib in Combination with PD1 with Gemcitabine Plus(+)Cisplatin for Unresectable or Metastatic Biliary Tract Cancer. Available online: https://clinicaltrials.gov/ct2/show/NCT04300959 (accessed on 25 May 2021).
- ClinicalTrials.gov. Efficacy and Safety of BCD-100 (Anti-PD-1) in Combination with Platinum-Based Chemotherapy with and without Bevacizumab as First-Line Treatment of Subjects with Advanced Cervical Cancer (FERMATA). Available online: https://clinicaltrials.gov/ct2/show/NCT03912415 (accessed on 25 May 2021).
- ClinicalTrials.gov. Carboplatin-Paclitaxel-Pembrolizumab in Neoadjuvant Treatment of Locally Advanced Cervical Cancer (MITO CERV 3). Available online: https://clinicaltrials.gov/ct2/show/NCT04238988 (accessed on 25 May 2021).
- ClinicalTrials.gov. Study of GSK3359609 with Pembrolizumab and 5-fluorouracil (5-FU)-Platinum Chemotherapy in Participants with Recurrent or Metastatic Head and Neck Squamous Cell Carcinoma (INDUCE-4). Available online: https://clinicaltrials.gov/ct2/show/NCT04428333 (accessed on 25 May 2021).
- ClinicalTrials.gov. A Study of Debio 1143 in Combination with Platinum-Based Chemotherapy and Standard Fractionation Intensity-Modulated Radiotherapy in Participants with Locally Advanced Squamous Cell Carcinoma of the Head and Neck, Suitable for Definitive Chemoradiotherapy. Available online: https://clinicaltrials.gov/ct2/show/NCT04459715 (accessed on 25 May 2021).
- ClinicalTrials.gov. Efficacy and Safety of Platinum-based Chemotherapy + Bevacizumab + Durvalumab, and Salvage SBRT for IV Non-Small Cell Lung Cancer Patients with EGFR Mutations After Failure of First Line Osimertinib: A Multicenter, Prospective, Phase II Clinical Study. Available online: https://clinicaltrials.gov/ct2/show/NCT04517526 (accessed on 25 May 2021).
- ClinicalTrials.gov. Inhibition of CArbonic Anhydrase in Combination with Platinum and Etoposide-based Radiochemotherapy in Patients with Localized Small Cell Lung Cancer (ICAR). Available online: https://clinicaltrials.gov/ct2/show/NCT03467360 (accessed on 25 May 2021).
- ClinicalTrials.gov. Study of Durvalumab in Combination with Platinum and Etoposide for the First Line Treatment of Patients with Extensive-stage Small Cell Lung Cancer (LUMINANCE). Available online: https://clinicaltrials.gov/ct2/show/NCT04774380 (accessed on 25 May 2021).
- ClinicalTrials.gov. Alotinib Plus Durvalumab-Platinum-Etoposide in First-line Treatment Extensive Small-cell Lung Cancer. Available online: https://clinicaltrials.gov/ct2/show/NCT04660097 (accessed on 25 May 2021).
- ClinicalTrials.gov. Toripalimab Combined with Double Platinum Based Chemotherapy for Potentially Resectable Non-driver Gene Mutation Non-small Cell Lung Cancer. Available online: https://clinicaltrials.gov/ct2/show/NCT04144608 (accessed on 25 May 2021).
- ClinicalTrials.gov. Datopotamab Deruxtecan (Dato-DXd) in Combination with Durvalumab with or without Platinum Chemotherapy in Subjects with Advanced or Metastatic Non-Small Cell Lung Cancer (TROPION-Lung04). Available online: https://clinicaltrials.gov/ct2/show/NCT04612751 (accessed on 25 May 2021).
- ClinicalTrials.gov. Pembrolizumab Combined with Double Platinum Based Chemotherapy for Potentially Resectable NSCLC. Available online: https://clinicaltrials.gov/ct2/show/NCT04324151 (accessed on 25 May 2021).
- ClinicalTrials.gov. Platinum-Based Chemotherapy and Durvalumab for the Treatment of Stage IIIB or IV Non-small Cell Lung Cancer. Available online: https://clinicaltrials.gov/ct2/show/NCT04262869 (accessed on 25 May 2021).
- ClinicalTrials.gov. A Study Evaluating the Safety and Efficacy of Neoadjuvant and Adjuvant Tiragolumab Plus Atezolizumab, with or without Platinum-Based Chemotherapy, in Participants with Previously Untreated Locally Advanced Resectable Stage II, IIIA, or Select IIIB Non-Small Cell Lung Cancer. Available online: https://clinicaltrials.gov/ct2/show/NCT04832854 (accessed on 25 May 2021).
- ClinicalTrials.gov. A Study of Osimertinib with or without Chemotherapy Versus Chemotherapy Alone as Neoadjuvant Therapy for Patients with EGFRm Positive Resectable Non-Small Cell Lung Cancer (NeoADAURA). Available online: https://clinicaltrials.gov/ct2/show/NCT04351555 (accessed on 25 May 2021).
- ClinicalTrials.gov. Platinum-Based Chemotherapy Plus Ramucirumab in Patients with Advanced NSCLC Who Have Progressed on First Line Anti-PD-1 Immunotherapy. Available online: https://clinicaltrials.gov/ct2/show/NCT03904108 (accessed on 25 May 2021).
- ClinicalTrials.gov. A Two-arm (Phase 2) Exploratory Study of Nivolumab Monotherapy or in Combination with Nab-Paclitaxel and Carboplatin in Early Stage NSCLC in China. Available online: https://clinicaltrials.gov/ct2/show/NCT04015778 (accessed on 25 May 2021).
- ClinicalTrials.gov. Dynamic PET/CT Evaluated the Response of Neoadjuvant Anti-PD1 Combination with Chemotherapy for Ⅱa-Ⅲb NSCLC (DYNAPET). Available online: https://clinicaltrials.gov/ct2/show/NCT04586465 (accessed on 25 May 2021).
- ClinicalTrials.gov. Durvalumab and Chemotherapy Induction Followed by Durvalumab and Radiotherapy in Large Volume Stage III NSCLC (BRIDGE). Available online: https://clinicaltrials.gov/ct2/show/NCT04765709 (accessed on 25 May 2021).
- ClinicalTrials.gov. Study of Toripalimab or Placebo Plus Chemotherapy as Treatment in Early Stage NSCLC. Available online: https://clinicaltrials.gov/ct2/show/NCT04158440 (accessed on 25 May 2021).
- ClinicalTrials.gov. Biomarker Analysis in High PD-L1 Expressing NSCLC Patients Treated with PD-1/PD-L1 Based Therapy with or without the Addition of Platinum Based Chemotherapy (BEACON-LUNG). Available online: https://clinicaltrials.gov/ct2/show/NCT04676386 (accessed on 25 May 2021).
- ClinicalTrials.gov. Efficacy and Safety of BCD-100 (Anti-PD-1) in Combination with Platinum-Based Chemotherapy as First Line Treatment in Patients with Advanced Non-Squamous NSCLC (DOMAJOR). Available online: https://clinicaltrials.gov/ct2/show/NCT03912389 (accessed on 25 May 2021).
- ClinicalTrials.gov. Nivolumab in Nasopharyngeal Cancer with Progression During or After Platinum-based Treatment (NIVONASO-21). Available online: https://clinicaltrials.gov/ct2/show/NCT04875611 (accessed on 25 May 2021).
- ClinicalTrials.gov. Platinum-doublet Chemotherapy and Nivolumab for the Treatment of Subjects with Neuroendocrine Neoplasms (NENs) of the Gastroenteropancreatic (GEP) Tract or of Unknown (UK) Origin. Available online: https://clinicaltrials.gov/ct2/show/NCT03980925 (accessed on 25 May 2021).
- ClinicalTrials.gov. NTX-301 Monotherapy in Advanced Solid Tumours and in Combination with Platinum-based Chemotherapy in Advanced Ovarian & Bladder Cancer and in Combination with Temozolomide in High-grade Glioma. Available online: https://clinicaltrials.gov/ct2/show/NCT04851834 (accessed on 25 May 2021).
- ClinicalTrials.gov. A Study to Evaluate the Combination of ATX-101 and Platinum-based Chemotherapy. Available online: https://clinicaltrials.gov/ct2/show/NCT04814875 (accessed on 25 May 2021).
- ClinicalTrials.gov. Mirvetuximab Soravtansine (IMGN853), in Folate Receptor Alpha (FRα) High Recurrent Ovarian Cancer (MIROVA). Available online: https://clinicaltrials.gov/ct2/show/NCT04274426 (accessed on 25 May 2021).
- Jiang, Y.-W.; Gao, G.; Jia, H.-R.; Zhang, X.; Cheng, X.; Wang, H.-Y.; Liu, P.; Wu, F.-G. Palladium Nanosheets as Safe Radiosensitizers for Radiotherapy. Langmuir 2020, 36, 11637–11644. [Google Scholar] [CrossRef] [PubMed]
- Levinson, A.W. Chapter 12—Controversies in Prostate Cancer. In Early Diagnosis and Treatment of Cancer Series: Prostate Cancer; Su, L.-M., Ed.; W.B. Saunders: Philadelphia, PA, USA, 2010; pp. 229–250. [Google Scholar] [CrossRef]
- Redmond, K.J.; Wharam, M.D., Jr.; Schachat, A.P. Chapter 151—Choroidal Metastases. In Retina, 5th ed.; Ryan, S.J., Sadda, S.R., Hinton, D.R., Schachat, A.P., Sadda, S.R., Wilkinson, C.P., Wiedemann, P., Schachat, A.P., Eds.; W.B. Saunders: London, UK, 2013; pp. 2324–2329. [Google Scholar] [CrossRef]
- ClinicalTrials.gov. CivaDerm(TM) Surface Therapy Pilot Study. Available online: https://clinicaltrials.gov/ct2/show/NCT04480645 (accessed on 25 May 2021).
- ClinicalTrials.gov. A Registry Study of Permanent Breast Seed Implant. Available online: https://clinicaltrials.gov/ct2/show/NCT01106521 (accessed on 25 May 2021).
- ClinicalTrials.gov. Feasibility Study to Treat Lung Cancer with the Permanently Implantable LDR CivaSheet®. Available online: https://clinicaltrials.gov/ct2/show/NCT03290534 (accessed on 25 May 2021).
- ClinicalTrials.gov. Initial Feasibility Study to Treat Resectable Pancreatic Cancer with a Planar LDR Source. Available online: https://clinicaltrials.gov/ct2/show/NCT03109041 (accessed on 25 May 2021).
- ClinicalTrials.gov. Ultrasound-Guided Implant Radiation Therapy in Treating Patients with Locally Recurrent Prostate Cancer Previously Treated with External-Beam Radiation Therapy. Available online: https://clinicaltrials.gov/ct2/show/NCT00450411 (accessed on 25 May 2021).
- ClinicalTrials.gov. Pd-103 Dose De-Escalation for Early Stage Prostate Cancer: A Prospective Randomized Trial. Available online: https://clinicaltrials.gov/ct2/show/NCT00247312 (accessed on 25 May 2021).
- ClinicalTrials.gov. Linear Source Registry for Prostate Cancer (CaRePC). Available online: https://www.clinicaltrials.gov/ct2/show/NCT02516709 (accessed on 25 May 2021).
- ClinicalTrials.gov. Hormone Therapy Followed By Internal Radiation Therapy in Treating Patients with Locally Recurrent Prostate Cancer. Available online: https://clinicaltrials.gov/ct2/show/NCT00032006 (accessed on 25 May 2021).
- ClinicalTrials.gov. Surgery Versus Internal Radiation in Treating Patients with Stage II Prostate Cancer. Available online: https://clinicaltrials.gov/ct2/show/NCT00023686 (accessed on 25 May 2021).
- ClinicalTrials.gov. Interstitial Brachytherapy with or without External-Beam Radiation Therapy in Treating Patients with Prostate Cancer. Available online: https://clinicaltrials.gov/ct2/show/NCT00063882 (accessed on 25 May 2021).
- ClinicalTrials.gov. Implant Radiation Therapy or Surgery in Treating Patients with Prostate Cancer. Available online: https://clinicaltrials.gov/ct2/show/NCT01098331 (accessed on 25 May 2021).
- ClinicalTrials.gov. Androgen Suppression Plus Radiation Therapy in Treating Patients with Prostate Cancer. Available online: https://clinicaltrials.gov/ct2/show/NCT00006359 (accessed on 25 May 2021).
- ClinicalTrials.gov. Registry of Sarcoma Patients Treated with Permanently Implantable LDR CivaSheet®. Available online: https://clinicaltrials.gov/ct2/show/NCT04033081 (accessed on 25 May 2021).




















| NCT Identification Number | Study Title | Clinical Trial Status | Type of Cancer | Study Design | References |
|---|---|---|---|---|---|
| NCT04300959 | Anlotinib in combination with PD1 with gemcitabine plus(+)cisplatin for unresectable or metastatic biliary tract cancer | Phase 2 recruiting b | Biliary tract cancer | Randomized, open-label, parallel assignment | [92] |
| NCT03912415 | Efficacy and safety of BCD-100 (anti-PD-1) in combination with platinum-based chemotherapy with and without bevacizumab as first-line treatment of subjects with advanced cervical cancer (FERMATA) | Phase 3 recruiting a | Cervical cancer | Randomized, double-blind (participant, investigator), placebo-controlled, parallel assignment | [93] |
| NCT04238988 | Carboplatin-paclitaxel-pembrolizumab in neoadjuvant treatment of locally advanced cervical cancer (MITO CERV 3) | Phase 2 not yet recruiting b | Locally advanced cervical cancer | Open-label, single-group assignment | [94] |
| NCT04428333 | Study of GSK3359609 with pembrolizumab and 5-fluorouracil (5-FU)-platinum chemotherapy in participants with recurrent or metastatic head and neck squamous cell carcinoma (INDUCE-4) | Phase 2/3 active, not recruiting b | Head and neck cancer | Randomized, double-blind (participant, investigator), placebo-controlled, parallel assignment | [95] |
| NCT04459715 | A study of Debio 1143 in combination with platinum-based chemotherapy and standard fractionation intensity-modulated radiotherapy in participants with locally advanced squamous cell carcinoma of the head and neck, suitable for definitive chemoradiotherapy | Phase 3 recruiting b | Squamous cell carcinoma of the head and neck | Randomized, quadruple-blind (participant, care provider, investigator, outcomes assessor), placebo-controlled, parallel assignment | [96] |
| NCT04517526 | Efficacy and safety of platinum-based chemotherapy + bevacizumab + durvalumab, and salvage SBRT for IV non-small cell lung cancer patients with EGFR mutations after failure of first line osimertinib: a multicenter, prospective, Phase II clinical study | Phase 2 not yet recruiting b | Lung cancer stage IV, EGFR-mutant, TKI, PD-L1, SBRT | Open-label, single-group assignment | [97] |
| NCT03467360 | Inhibition of carbonic anhydrase in combination with platinum and etoposide-based radiochemotherapy in patients with localized small cell lung cancer (ICAR) | Phase 1 recruiting a | Small cell lung cancer (SCLC) | Open-label, single-group assignment | [98] |
| NCT04774380 | Study of durvalumab in combination with platinum and etoposide for the first line treatment of patients with extensive-stage small cell lung cancer (LUMINANCE) | Phase 3 not yet recruiting c | Extensive-stage small cell lung cancer (SCLC) | Open-label, single-group assignment | [99] |
| NCT04660097 | Anlotinib plus durvalumab-platinum-etoposide in first-line treatment extensive small-cell lung cancer | Phase 2 not yet recruiting c | Extensive-stage small cell lung cancer (SCLC) | Open-label, single-group assignment | [100] |
| NCT04144608 | Toripalimab combined with double platinum based chemotherapy for potentially resectable non-driver gene mutation non-small cell lung cancer | Phase 2 recruiting a | Advanced non-small cell lung cancer (NSCLC) | Open-label, single-group assignment | [101] |
| NCT04612751 | Datopotamab deruxtecan (Dato-DXd) in combination with durvalumab with or without platinum chemotherapy in subjects with advanced or metastatic non-small cell lung cancer (TROPION-Lung04) | Phase 1 recruiting b | Advanced and metastatic non-small cell lung cancer (NSCLC) | Open-label, sequential assignment | [102] |
| NCT04324151 | Pembrolizumab combined with double platinum based chemotherapy for potentially resectable NSCLC | Recruiting b | Non-small cell lung cancer (NSCLC) | Retrospective observational cohort study | [103] |
| NCT04262869 | Platinum-based chemotherapy and durvalumab for the treatment of stage IIIB or IV non-small cell lung cancer | Phase 2 recruiting b | Non-small cell lung cancer (NSCLC) | Non-randomized, open-label, parallel assignment | [104] |
| NCT04832854 | A study evaluating the safety and efficacy of neoadjuvant and adjuvant tiragolumab plus atezolizumab, with or without platinum-based chemotherapy, in participants with previously untreated locally advanced resectable stage II, IIIA, or select IIIB non-small cell lung cancer | Phase 2 recruiting c | Non-small cell lung cancer (NSCLC) | Non-randomized, open-label, parallel assignment | [105] |
| NCT04351555 | A study of osimertinib with or without chemotherapy versus chemotherapy alone as neoadjuvant therapy for patients with EGFRm positive resectable non-small cell lung cancer (NeoADAURA) | Phase 3 recruiting b | Non-small cell lung cancer (NSCLC) | Randomized, double-blind (participant, investigator), placebo-controlled, parallel assignment | [106] |
| NCT03904108 | Platinum-based chemotherapy plus ramucirumab in patients with advanced NSCLC who have progressed on first line anti-PD-1 immunotherapy | Phase 3 recruiting a | Non-small cell lung cancer (NSCLC) | Open-label, single-group assignment | [107] |
| NCT04015778 | A two-arm (Phase 2) exploratory study of nivolumab monotherapy or in combination with nab-paclitaxel and carboplatin in early stage NSCLC in China | Phase 2 recruiting a | Non-small cell lung cancer (NSCLC) | Randomized, open-label, single-group assignment | [108] |
| NCT04586465 | Dynamic PET/CT evaluated the response of neoadjuvant anti-PD1 combination with chemotherapy for Ⅱa–Ⅲb NSCLC (DYNAPET) | Phase 2 not yet recruiting b | Non-small cell lung cancer (NSCLC), Stage IIA and IIIB | Open-label, single-group assignment | [109] |
| NCT04765709 | Durvalumab and chemotherapy induction followed by durvalumab and radiotherapy in large volume stage III NSCLC (BRIDGE) | Phase 2 not yet recruiting d | Non-Small Cell Lung Cancer (NSCLC), Stage III | Open-label, single-group assignment | [110] |
| NCT04158440 | Study of toripalimab or placebo plus chemotherapy as treatment in early stage NSCLC | Phase 3 recruiting a | Non-small cell lung cancer (NSCLC), Stage IIIA | Randomized, double-blind (participant, investigator), placebo-controlled, sequential assignment | [111] |
| NCT04676386 | Biomarker analysis in high PD-L1 expressing NSCLC patients treated with PD-1/PD-L1 based therapy with or without the addition of platinum based chemotherapy (BEACON-LUNG) | Recruiting c | Non-small cell lung cancer (NSCLC), Stage IIIC and IV | Prospective observational cohort study | [112] |
| NCT03912389 | Efficacy and safety of BCD-100 (Anti-PD-1) in combination with platinum-based chemotherapy as first line treatment in patients with advanced non-squamous NSCLC (DOMAJOR) | Phase 3 recruiting a | Non-squamous non-small cell lung cancer (NSCLC) | Randomized, double-blind (participant, investigator), placebo-controlled, parallel assignment | [113] |
| NCT04875611 | Nivolumab in nasopharyngeal cancer with progression during or after platinum-based treatment (NIVONASO-21) | Phase 2 not yet recruiting d(new) | Nasopharyngeal cancer | Open-label, single-group assignment | [114] |
| NCT03980925 | Platinum-doublet chemotherapy and nivolumab for the treatment of subjects with neuroendocrine neoplasms (NENs) of the gastroenteropancreatic (GEP) tract or of unknown (UK) origin | Phase 2 recruiting a | Neuroendocrine and Gastroenteropancreatic neuroendocrine cancer | Open-label, single-group assignment | [115] |
| NCT04851834 | NTX-301 monotherapy in advanced solid tumors and in combination with platinum-based chemotherapy in advanced ovarian & bladder cancer and in combination with temozolomide in high-grade glioma | Phase 1/2 not yet recruiting c | Advanced solid tumor; Platinum-resistant ovarian and bladder cancer; high-grade glioma | Non-randomized, open-label, sequential assignment | [116] |
| NCT04814875 | A study to evaluate the combination of ATX-101 and platinum-based chemotherapy | Phase 1/2 not yet recruiting c | Ovarian and Fallopian tube cancer; primary peritoneal carcinoma | Non-randomized, open-label, parallel assignment | [117] |
| NCT04274426 | Mirvetuximab soravtansine (IMGN853), in folate receptor alpha (FRα) high recurrent ovarian cancer (MIROVA) | Phase 2 not yet recruiting d | Recurrent epithelial ovarian, fallopian, or peritoneal carcinoma | Randomized, open-label, parallel assignment | [118] |
| NCT Identification Number | Study Title | Clinical Trial Status | Type of Cancer | Study Design | References |
|---|---|---|---|---|---|
| NCT04480645 | CivaDerm(TM) surface therapy pilot study | Early Phase 1 not yet recruiting a | Basal and squamous cell carcinoma | Open-label, single-group assignment | [122] |
| NCT01106521 | A registry study of permanent breast seed implant | Not applicable, recruiting | Breast cancer | Open-label, single-group assignment | [123] |
| NCT03290534 | Feasibility study to treat lung cancer with the permanently implantable LDR CivaSheet® | Phase 2 recruiting b | Lung cancer | Open-label, single-group assignment | [124] |
| NCT03109041 | Initial feasibility study to treat resectable pancreatic cancer with a planar LDR source | Phase 1 recruiting b | Pancreatic cancer | Open-label, single-group assignment | [125] |
| NCT00450411 | Ultrasound-guided implant radiation therapy in treating patients with locally recurrent prostate cancer previously treated with external-beam radiation therapy | Phase 2 active, not recruiting + | Prostate cancer | Open-label, single-group assignment | [126] |
| NCT00247312 | Pd-103 dose de-escalation for early stage prostate cancer: a prospective randomized trial | Phase 3 completed a | Prostate cancer | Randomized, open-label, parallel assignment | [127] |
| NCT02516709 | Linear source registry for prostate cancer (CaRePC) | recruiting b | Prostate cancer | Prospective observational cohort study | [128] |
| NCT00032006 | Hormone therapy followed by internal radiation therapy in treating patients with locally recurrent prostate cancer | Phase 2 completed a | Prostate cancer | Open-label, single-group assignment | [129] |
| NCT00023686 | Surgery versus internal radiation in treating patients with stage II prostate cancer | Phase 3 completed a | Prostate cancer | Randomized, open-label, parallel assignment | [130] |
| NCT00063882 | Interstitial brachytherapy with or without external-beam radiation therapy in treating patients with prostate cancer | Phase 3 active, not recruiting + | Prostate cancer | Randomized, open-label, parallel assignment | [131] |
| NCT01098331 | Implant radiation therapy or surgery in treating patients with prostate cancer | Not applicable, unknown * | Prostate cancer | Randomized, open-label | [132] |
| NCT00006359 | Androgen suppression plus radiation therapy in treating patients with prostate cancer | Phase 2 completed a | Prostate cancer | Non-randomized, open-label, single-group assignment | [133] |
| NCT04033081 | Registry of sarcoma patients treated with permanently implantable LDR CivaSheet® | Phase 4 recruiting b | Sarcoma | Open-label, single-group assignment | [134] |
Publisher’s Note: MDPI stays neutral with regard to jurisdictional claims in published maps and institutional affiliations. |
© 2021 by the authors. Licensee MDPI, Basel, Switzerland. This article is an open access article distributed under the terms and conditions of the Creative Commons Attribution (CC BY) license (https://creativecommons.org/licenses/by/4.0/).
Share and Cite
Czarnomysy, R.; Radomska, D.; Szewczyk, O.K.; Roszczenko, P.; Bielawski, K. Platinum and Palladium Complexes as Promising Sources for Antitumor Treatments. Int. J. Mol. Sci. 2021, 22, 8271. https://doi.org/10.3390/ijms22158271
Czarnomysy R, Radomska D, Szewczyk OK, Roszczenko P, Bielawski K. Platinum and Palladium Complexes as Promising Sources for Antitumor Treatments. International Journal of Molecular Sciences. 2021; 22(15):8271. https://doi.org/10.3390/ijms22158271
Chicago/Turabian StyleCzarnomysy, Robert, Dominika Radomska, Olga Klaudia Szewczyk, Piotr Roszczenko, and Krzysztof Bielawski. 2021. "Platinum and Palladium Complexes as Promising Sources for Antitumor Treatments" International Journal of Molecular Sciences 22, no. 15: 8271. https://doi.org/10.3390/ijms22158271
APA StyleCzarnomysy, R., Radomska, D., Szewczyk, O. K., Roszczenko, P., & Bielawski, K. (2021). Platinum and Palladium Complexes as Promising Sources for Antitumor Treatments. International Journal of Molecular Sciences, 22(15), 8271. https://doi.org/10.3390/ijms22158271

