Clozapine Worsens Glucose Intolerance, Nonalcoholic Fatty Liver Disease, Kidney Damage, and Retinal Injury and Increases Renal Reactive Oxygen Species Production and Chromium Loss in Obese Mice
Abstract
:1. Introduction
2. Results
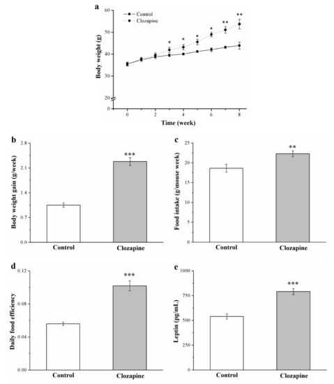
2.1. Clozapine Affects Food Efficiency, Food Intake, and Morphometric Parameters
2.2. Clozapine Increases Organ and Fat Pad Mass
2.3. Clozapine Increases Liver Fat Accumulation and Adipocyte Size
2.4. Clozapine Increases ALT and AST Levels as Well as FABP4 mRNA and SREBP1 mRNA
2.5. Clozapine Increases Serum and Hepatic Triglycerides, PNPLA3, and FASN But Decreases Hepatic Adiponectin
2.6. Clozapine Exacerbates Glucose Intolerance and Lowers Insulin Levels
2.7. Clozapine Reduces IS by Attenuating Expression of Phosphorylated Akt and Glucose Transporter 4
2.8. Effects on Organ and Tissue Chromium Levels and Urinary Chromium Loss
2.9. Clozapine Induces Renal Injury, Reduces the Amount of Antioxidant Enzymes in the Kidneys, and Raises Serum Creatinine and Blood Urea Nitrogen Levels
2.10. Clozapine Induces Retina Damage and Increases iNOS (Inducible Nitric Oxide Synthase), NF-κB (Nuclear Factor κB), and GLUT1 Expression But Reduces IκBα Expression in the Eyeballs
3. Discussion
4. Materials and Methods
4.1. Animals, HFD-Induced Obesity, and Clozapine Treatment
4.2. Measurement of Food Intake, Body Weight, and Insulin and Leptin Levels
4.3. Measurement of Serum AST, ALT, BUN, Creatinine, and Triglyceride Levels and Hepatic Triglyceride Levels
4.4. IPGTT
4.5. IR and IS Indices
4.6. Tissue Histology and Morphometry
4.7. Extraction of RNA and Real-Time Quantitative Polymerase Chain Reaction
4.8. Western Blotting
4.9. Chromium Concentration Analysis
4.10. Renal ROA, SOD, GPx, and Catalase Level Measurements
4.11. Statistical Analysis
5. Conclusions
Supplementary Materials
Author Contributions
Funding
Institutional Review Board Statement
Informed Consent Statement
Data Availability Statement
Acknowledgments
Conflicts of Interest
Abbreviations
| SGAs | Second-generation antipsychotics | 
| HFD | High fat diet | 
| SD | Standard diet | 
| EPS | Extrapyramidal side-effects | 
| T2DM | Type 2 diabetes mellitus | 
| NAFLD | Non-alcoholic fatty liver disease | 
| CKD | Chronic kidney disease | 
| RWAT | Retroperitoneal white adipose tissue | 
| EWAT | Epididymal white adipose tissue | 
| H&E | Hematoxylin and eosin | 
| ALT | Alanine aminotransferase | 
| AST | Aspartate aminotransferase | 
| FABP4 | Fatty acid-binding protein 4 | 
| SREBP1 | Sterol regulatory element–binding protein 1 | 
| FASN | Fatty acid synthase | 
| PNPLA3 | Patatin-like phospholipid domain containing protein 3 | 
| AUC | Area under the curves | 
| IR | Insulin resistance | 
| IS | Insulin sensitivity | 
| HOMA | Homeostatic model assessment | 
| GLUT | Gucose transport | 
| BUN | Blood urea nitrogen | 
| GPx | Glutathione peroxidase | 
| SOD | Superoxide dismutase | 
| ROS | Reactive oxygen species | 
| iNOS | Inducible nitric oxide synthase | 
| NF-κB | Nuclear factor κB | 
| INL | Inner nuclear layer | 
| IPL | Inner plexiform layer | 
| GCL | Ganglion cell layer | 
| DR | Diabetic retinopathy | 
| UCP1 | Uncoupling protein 1 | 
| PXR | Pregnane X receptor | 
| ABCC2 | ATP-binding cassette transporter isoform C2 | 
| FGF-21 | Fibroblast growth factor-21 | 
| IL-1β | Interleukin-1β | 
| IPGTT | Intraperitoneal glucose tolerance test | 
| TNF-α | Tumor necrosis factor-α | 
| IHC | Immunohistochemical | 
References
- Tan, M.S.A.; Honarparvar, F.; Falconer, J.R.; Parekh, H.S.; Pandey, P.; Siskind, D.J. A systematic review and meta-analysis of the association between clozapine and norclozapine serum levels and peripheral adverse drug reactions. Psychopharmacology 2021, 238, 615–637. [Google Scholar] [CrossRef]
 - Kane, J.M. Clinical efficacy of clozapine in treatment-refractory schizophrenia: An overview. Br. J. Psychiatry Suppl. 1992, 160, 41–45. [Google Scholar] [CrossRef]
 - Nucifora, F.C.; Mihaljevic, M.; Lee, B.J.; Sawa, A. Clozapine as a model for antipsychotic development. Neurotherapeutics 2017, 14, 750–761. [Google Scholar] [CrossRef] [Green Version]
 - Yuen, J.W.Y.; Kim, D.D.; Procyshyn, R.M.; Panenka, W.J.; Honer, W.G.; Barr, A.M. A focused review of the metabolic side-effects of clozapine. Front. Endocrinol. 2021, 12, 609240. [Google Scholar] [CrossRef] [PubMed]
 - Henderson, D.C.; Cagliero, E.; Copeland, P.M.; Borba, C.P.; Evins, A.E.; Hayden, D.; Weber, M.T.; Anderson, E.J.; Allison, D.B.; Daley, T.B.; et al. Glucose metabolism in patients with schizophrenia treated with atypical antipsychotic agents: A frequently sampled intravenous glucose tolerance test and minimal model analysis. Arch. Gen. Psychiatry 2005, 62, 19–28. [Google Scholar] [CrossRef] [Green Version]
 - Samanaite, R.; Gillespie, A.; Sendt, K.V.; McQueen, G.; MacCabe, J.H.; Egerton, A. Biological predictors of clozapine response: A systematic review. Front. Psychiatry 2018, 9, 327. [Google Scholar] [CrossRef]
 - Skelly, M.K.; Demler, T.L.; Lee, C. High-dose clozapine withdrawal: A case report and timeline of a single potential withdrawal seizure. Innov. Clin. Neurosci. 2019, 16, 22. [Google Scholar]
 - Okada, M.; Fukuyama, K.; Shiroyama, T.; Murata, M. A working hypothesis regarding identical pathomechanisms between clinical efficacy and adverse reaction of clozapine via the activation of connexin43. Int. J. Mol. Sci. 2020, 21, 7019. [Google Scholar] [CrossRef]
 - Chiappini, S.; Schifano, F.; Corkery, J.M.; Guirguis, A. Focus on clozapine withdrawal-and misuse-related cases as reported to the European Medicines Agency (EMA) pharmacovigilance database. Brain Sci. 2020, 10, 105. [Google Scholar] [CrossRef] [Green Version]
 - Lambert, C.; Panagiotopoulos, C.; Davidson, J.; Goldman, R.D. Second-Generation Antipsychotic Use in Pediatric Emergency Medicine. Pediatr. Emerg. Care 2021, 37, 161–164. [Google Scholar] [CrossRef] [PubMed]
 - Lund, B.C.; Perry, P.J.; Brooks, J.M.; Arndt, S. Clozapine use in patients with schizophrenia and the risk of diabetes, hyperlipidemia, and hypertension: A claims-based approach. Arch. Gen. Psychiatry 2001, 58, 1172–1176. [Google Scholar] [CrossRef] [Green Version]
 - Hasnain, M.; Vieweg, W.V.R.; Hollett, B. Weight gain and glucose dysregulation with second-generation antipsychotics and antidepressants: A review for primary care physicians. Postgrad. Med. 2012, 124, 154–167. [Google Scholar] [CrossRef]
 - Hägg, S.; Joelsson, L.; Mjörndal, T.; Spigset, O.; Dahlqvist, R. Prevalence of diabetes and impaired glucose tolerance in patients treated with clozapine compared with patients treated with conventional depot neuroleptic medications. J. Clin. Psychiatry 1998, 59, 294–299. [Google Scholar] [CrossRef]
 - Newcomer, J.W.; Haupt, D.W.; Fucetola, R.; Melson, A.K.; Schweiger, J.A.; Cooper, B.P.; Selke, G. Abnormalities in glucose regulation during antipsychotic treatment of schizophrenia. Arch. Gen. Psychiatry 2002, 59, 337–345. [Google Scholar] [CrossRef] [Green Version]
 - Massart, J.; Begriche, K.; Moreau, C.; Fromenty, B. Role of nonalcoholic fatty liver disease as risk factor for drug-induced hepatotoxicity. J. Clin. Transl. Res. 2017, 3, 212. [Google Scholar] [PubMed] [Green Version]
 - Carney, C.P.; Jones, L.; Woolson, R.F. Medical comorbidity in women and men with schizophrenia. J. Gen. Intern. Med. 2006, 21, 1133–1137. [Google Scholar] [CrossRef] [PubMed]
 - Hsu, J.H.; Chien, I.C.; Lin, C.H.; Chou, Y.J.; Chou, P. Increased risk of chronic liver disease in patients with schizophrenia: A population-based cohort study. Psychosomatics 2014, 55, 163–171. [Google Scholar] [CrossRef]
 - Lauressergues, E.; Staels, B.; Valeille, K.; Majd, Z.; Hum, D.W.; Duriez, P.; Cussac, D. Antipsychotic drug action on SREBPs-related lipogenesis and cholesterogenesis in primary rat hepatocytes. Naunyn-Schmiedeberg Arch. Pharmacol. 2010, 381, 427–439. [Google Scholar] [CrossRef]
 - Canfrán-Duque, A.; Casado, M.E.; Pastor, Ó.; Sánchez-Wandelmer, J.; de la Pena, G.; Lerma, M.; Busto, R. Atypical antipsychotics alter cholesterol and fatty acid metabolism in vitro. J. Lipid Res. 2013, 54, 310–324. [Google Scholar] [CrossRef] [Green Version]
 - Bilgic, S.; Azirak, S.; Guvenc, A.N.; Kocaman, N.; Ozer, M.K. The protective effect of thymoquinone over olanzapine-induced side effects in liver, and metabolic side effects. Bratisl. Lek. Listy. 2017, 118, 618–625. [Google Scholar] [CrossRef] [PubMed] [Green Version]
 - Cheng, C.Y.; Hong, C.J.; Tsai, S.J. Effects of subchronic clozapine administration on serum glucose, cholesterol and triglyceride levels, and body weight in male BALB/c mice. Life Sci. 2005, 76, 2269–2273. [Google Scholar] [CrossRef] [PubMed]
 - Nemani, K.L.; Greene, M.C.; Ulloa, M.; Vincenzi, B.; Copeland, P.M.; Al-Khadari, S.; Henderson, D.C. Clozapine, diabetes mellitus, cardiovascular risk and mortality: Results of a 21-year naturalistic study in patients with schizophrenia and schizoaffective disorder. Clin. Schizophr. Relat. Psychoses 2019, 12, 168–176. [Google Scholar] [CrossRef] [PubMed]
 - Hwang, S.J.; Tsai, J.C.; Chen, H.C. Epidemiology, impact and preventive care of chronic kidney disease in Taiwan. Nephrology 2010, 15, 3–9. [Google Scholar] [CrossRef]
 - Tzeng, N.S.; Hsu, Y.H.; Ho, S.Y.; Kuo, Y.C.; Lee, H.C.; Yin, Y.J.; Huang, H.L. Is schizophrenia associated with an increased risk of chronic kidney disease? A nationwide matched-cohort study. BMJ Open 2015, 5. [Google Scholar] [CrossRef] [PubMed] [Green Version]
 - Hwang, Y.J.; Dixon, S.N.; Reiss, J.P.; Wald, R.; Parikh, C.R.; Gandhi, S.; Garg, A.X. Atypical antipsychotic drugs and the risk for acute kidney injury and other adverse outcomes in older adults: A population-based cohort study. Ann. Intern. Med. 2014, 161, 242–248. [Google Scholar] [CrossRef]
 - Baig, M.R.; Navaira, E.; Escamilla, M.A.; Raventos, H.; Walss-Bass, C. Clozapine treatment causes oxidation of proteins involved in energy metabolism in lymphoblastoid cells: A possible mechanism for antipsychotic-induced metabolic alterations. J. Psychiatr. Pract. 2010, 16, 325–333. [Google Scholar] [CrossRef]
 - Zhang, X.Y.; Tan, Y.L.; Cao, L.Y.; Wu, G.Y.; Xu, Q.; Shen, Y.; Zhou, D.F. Antioxidant enzymes and lipid peroxidation in different forms of schizophrenia treated with typical and atypical antipsychotics. Schizophr. Res. 2006, 81, 291–300. [Google Scholar] [CrossRef] [PubMed]
 - Hunter, R.; Gaughan, T.; Queirazza, F.; McMillan, D.; Shankie, S. Clozapine-induced interstitial nephritis-a rare but important complication: A case report. J. Med. Case Rep. 2009, 3, 1–3. [Google Scholar] [CrossRef]
 - Chan, S.Y.; Cheung, C.Y.; Chan, P.T.; Chau, K.F. Clozapine-induced acute interstitial nephritis. Hong Kong Med. J. 2015, 21, 372–374. [Google Scholar] [CrossRef] [PubMed] [Green Version]
 - Mysona, B.A.; Shanab, A.Y.; Elshaer, S.L.; El-Remessy, A.B. Nerve growth factor in diabetic retinopathy: Beyond neurons. Expert Rev. Ophthalmol. 2014, 9, 99–107. [Google Scholar] [CrossRef]
 - Kowluru, R.A.; Chakrabarti, S.; Chen, S. Re-institution of good metabolic control in diabetic rats and activation of caspase-3 and nuclear transcriptional factor (NF-kB) in the retina. Acta Diabetol. 2004, 41, 194–199. [Google Scholar] [CrossRef] [PubMed]
 - Zhuo, C.; Ji, F.; Xiao, B.; Lin, X.; Chen, C.; Jiang, D.; Wang, W. Antipsychotic agent-induced deterioration of the visual system in first-episode untreated patients with schizophrenia maybe self-limited: Findings from a secondary small sample follow-up study based on a pilot follow-up study. Psychiatry Res. 2020, 286, 112906. [Google Scholar] [CrossRef]
 - Okamura, T.; Fujioka, H.; Ayajiki, K. Effects of nipradilol on alpha-adrenoceptor function in ocular arteries. Pharmacology 2002, 65, 110–118. [Google Scholar] [CrossRef]
 - Chang, G.R.; Hou, P.H.; Yang, W.C.; Wang, C.M.; Fan, P.S.; Liao, H.J.; Chen, T.P. Doxepin exacerbates nonalcoholic fatty liver disease, glucose intolerance, renal damage, and increases urinary chromium loss in obese mice. Pharmacuticals 2021, 14, 267. [Google Scholar] [CrossRef] [PubMed]
 - Chang, G.R.; Chiu, Y.S.; Wu, Y.Y.; Lin, Y.C.; Hou, P.H.; Mao, F.C. Rapamycin impairs HPD-induced beneficial effects on glucose homeostasis. Br. J. Pharmacol. 2015, 172, 3793–3804. [Google Scholar] [CrossRef] [Green Version]
 - Wang, Y.; Hong, J.; Shi, M.; Guo, L.; Liu, L.; Tang, H.; Liu, X. Triphenyl phosphate disturbs the lipidome and induces endoplasmic reticulum stress and apoptosis in JEG-3 cells. Chemosphere 2021, 275, 129978. [Google Scholar] [CrossRef] [PubMed]
 - Sun, D.; Zhao, T.; Zhang, Q.; Wu, M.; Zhang, Z. Fat mass and obesity-associated protein regulates lipogenesis via m 6 A modification in fatty acid synthase mRNA. Cell Biol. Int. 2021, 45, 334–344. [Google Scholar] [CrossRef] [PubMed]
 - Trépo, E.; Romeo, S.; Zucman-Rossi, J.; Nahon, P. PNPLA3 gene in liver diseases. J. Hepatol. 2016, 65, 399–412. [Google Scholar] [CrossRef] [Green Version]
 - Xu, A.; Wang, Y.; Keshaw, H.; Xu, L.Y.; Lam, K.S.; Cooper, G.J. The fat-derived hormone adiponectin alleviates alcoholic and nonalcoholic fatty liver diseases in mice. J. Clin. Investig. 2003, 112, 91–100. [Google Scholar] [CrossRef] [Green Version]
 - Chang, G.R.; Chen, W.K.; Hou, P.H.; Mao, F.C. Isoproterenol exacerbates hyperglycemia and modulates chromium distribution in mice fed with a high fat diet. J. Trace Elem. Med. Biol. 2017, 44, 315–321. [Google Scholar] [CrossRef]
 - Mitrofanova, A.; Burke, G.; Merscher, S.; Fornoni, A. New insights into renal lipid dysmetabolism in diabetic kidney disease. World J. Diabetes 2021, 12, 524–540. [Google Scholar] [CrossRef]
 - Abd El-Twab, S.M.; Hozayen, W.G.; Hussein, O.E.; Mahmoud, A.M. 18β-Glycyrrhetinic acid protects against methotrexateinduced kidney injury by up-regulating the Nrf2/ARE/HO-1 pathway and endogenous antioxidants. Ren. Fail. 2016, 38, 1516–1527. [Google Scholar] [CrossRef]
 - Antonetti, D.A.; Silva, P.S.; Stitt, A.W. Current understanding of the molecular and cellular pathology of diabetic retinopathy. Nat. Rev. Endocrinol. 2021, 17, 195–206. [Google Scholar] [CrossRef]
 - Kowluru, R.A.; Tang, J.; Kern, T.S. Abnormalities of retinal metabolism in diabetes and experimental galactosemia: VII. Effect of long-term administration of antioxidants on the development of retinopathy. Diabetes 2001, 50, 1938–1942. [Google Scholar] [CrossRef] [Green Version]
 - Joussen, A.M.; Poulaki, V.; Le, M.L.; Koizumi, K.; Esser, C.; Janicki, H.; Adamis, A.P. A central role for inflammation in the pathogenesis of diabetic retinopathy. FASEB J. 2004, 18, 1450–1452. [Google Scholar] [CrossRef] [PubMed]
 - Kumagai, A.K. Glucose transport in brain and retina: Implications in the management and complications of diabetes. Diabetes Metab. Res. Rev. 1999, 15, 261–273. [Google Scholar] [CrossRef]
 - Chang, G.R.; Chiu, Y.S.; Wu, Y.Y.; Chen, W.Y.; Liao, J.W.; Chao, T.H.; Mao, F.C. Rapamycin protects against high fat diet-induced obesity in C57BL/6J mice. J. Pharmacol. Sci. 2009, 109, 496–503. [Google Scholar] [CrossRef] [PubMed]
 - Lee, D.H.; Park, S.H.; Lee, E.; Seo, H.D.; Ahn, J.; Jang, Y.J.; Ha, T.Y.; Im, S.S.; Jung, C.H. Withaferin A exerts an anti-obesity effect by increasing energy expenditure through thermogenic gene expression in high-fat diet-fed obese mice. Phytomedicine 2021, 82, 153457. [Google Scholar] [CrossRef]
 - Crane, J.D.; Palanivel, R.; Mottillo, E.P.; Bujak, A.L.; Wang, H.; Ford, R.J.; Steinberg, G.R. Inhibiting peripheral serotonin synthesis reduces obesity and metabolic dysfunction by promoting brown adipose tissue thermogenesis. Nat. Med. 2015, 21, 166–172. [Google Scholar] [CrossRef] [PubMed] [Green Version]
 - Ahima, R.S.; Qi, Y.; Singhal, N.S.; Jackson, M.B.; Scherer, P.E. Brain adipocytokine action and metabolic regulation. Diabetes 2006, 55, S145–S154. [Google Scholar] [CrossRef] [PubMed] [Green Version]
 - Unger, R.H. Minireview: Weapons of lean body mass destruction: The role of ectopic lipids in the metabolic syndrome. Endocrinology 2003, 144, 5159–5165. [Google Scholar] [CrossRef] [PubMed] [Green Version]
 - Bhatt, H.B.; Smith, R.J. Fatty liver disease in diabetes mellitus. Hepatobiliary Surg. Nutr. 2015, 4, 101–108. [Google Scholar] [PubMed]
 - Bayard, M.; Holt, J.; Boroughs, E. Nonalcoholic fatty liver disease. Am. Fam. Physician 2006, 73, 1961–1968. [Google Scholar] [PubMed]
 - Clark, J.M.; Brancati, F.L.; Diehl, A.M. The prevalence and etiology of elevated aminotransferase levels in the United States. Am. J. Gastroenterol. 2003, 98, 960–967. [Google Scholar] [CrossRef]
 - Hou, P.H.; Chang, G.R.; Chen, C.P.; Lin, Y.L.; Chao, I.S.; Shen, T.T.; Mao, F.C. Long-term administration of olanzapine induces adiposity and increases hepatic fatty acid desaturation protein in female C57BL/6J mice. Iran. J. Basic. Med. Sci. 2018, 21, 495–501. [Google Scholar] [PubMed]
 - Yang, J.W.; Kim, H.S.; Im, J.H.; Kim, J.W.; Jun, D.W.; Lim, S.C.; Lee, K.; Choi, J.M.; Kim, S.K.; Kang, K.W. GPR119: A promising target for nonalcoholic fatty liver disease. FASEB J. 2016, 30, 324–335. [Google Scholar] [CrossRef] [Green Version]
 - Milner, K.L.; van der Poorten, D.; Xu, A.; Bugianesi, E.; Kench, J.G.; Lam, K.S.; George, J. Adipocyte fatty acid binding protein levels relate to inflammation and fibrosis in nonalcoholic fatty liver disease. Hepatology 2009, 49, 1926–1934. [Google Scholar] [CrossRef] [PubMed]
 - Ding, L.; Li, J.; Song, B.; Xiao, X.; Zhang, B.; Qi, M.; Wang, Z. Curcumin rescues high fat diet-induced obesity and insulin sensitivity in mice through regulating SREBP pathway. Toxicol. Appl. Pharmacol. 2016, 304, 99–109. [Google Scholar] [CrossRef] [PubMed]
 - Knebel, C.; Buhrke, T.; Sussmuth, R.; Lampen, A.; Marx-Stoelting, P.; Braeuning, A. Pregnane X receptor mediates steatotic effects of propiconazole and tebuconazole in human liver cell lines. Arch. Toxicol. 2019, 93, 1311–1322. [Google Scholar] [CrossRef]
 - Benedict, M.; Zhang, X. Non-alcoholic fatty liver disease: An expanded review. World J. Hepatol. 2017, 9, 715–732. [Google Scholar] [CrossRef]
 - Lamon-Fava, S.; Wilson, P.W.; Schaefer, E.J. Impact of body mass index on coronary heart disease risk factors in men and women: The Framingham Offspring Study. Arterioscler. Thromb. Vasc. Biol. 1996, 16, 1509–1515. [Google Scholar] [CrossRef] [PubMed]
 - Chang, G.R.; Wu, Y.Y.; Chiu, Y.S.; Chen, W.Y.; Liao, J.W.; Hsu, H.M.; Chao, T.H.; Hung, S.W.; Mao, F.C. Long-term administration of rapamycin reduces adiposity, but impairs glucose tolerance in high-fat diet-fed KK/HlJ mice. Basic Clin. Pharmacol. Toxicol. 2009, 105, 188–198. [Google Scholar] [CrossRef]
 - Rudling, M. PPARalpha is a key regulator of hepatic FGF21. Biochem Biophys Res. 2007, 360, 437–440. [Google Scholar]
 - Xu, J.; Lloyd, D.J.; Hale, C.; Stanislaus, S.; Chen, M.; Sivits, G.; Véniant, M.M. Fibroblast growth factor 21 reverses hepatic steatosis, increases energy expenditure, and improves insulin sensitivity in diet-induced obese mice. Diabetes 2009, 58, 250–259. [Google Scholar] [CrossRef] [PubMed] [Green Version]
 - Mobbs, C.V.; Makimura, H. Block the FAS, lose the fat. Nat. Med. 2002, 8, 335–336. [Google Scholar] [CrossRef]
 - Wu, C.F.; Hou, P.H.; Mao, F.C.; Su, Y.C.; Wu, C.Y.; Yang, W.C.; Lin, C.S.; Tsai, H.P.; Liao, H.Y.; Chang, G.R. Mirtazapine reduces adipocyte hypertrophy and increases glucose transporter expression in obese mice. Animals 2020, 10, 1423. [Google Scholar] [CrossRef] [PubMed]
 - Dorn, C.; Riener, M.O.; Kirovski, G.; Saugspier, M.; Steib, K.; Weiss, T.S.; Hellerbrand, C. Expression of fatty acid synthase in nonalcoholic fatty liver disease. Int. J. Clin. Exp. Pathol. 2010, 3, 505. [Google Scholar]
 - Kane, J.; Honigfeld, G.; Singer, J.; Meltzer, H. Clozapine for the treatment-resistant schizophrenic: A double-blind comparison with chlorpromazine. Arch. Gen. Psychiatry 1988, 45, 789–796. [Google Scholar] [CrossRef]
 - Keane, K.N.; Calton, E.K.; Carlessi, R.; Hart, P.H.; Newsholme, P. The bioenergetics of inflammation: insights into obesity and type 2 diabetes. Eur. J. Clin. Nutr. 2017, 71, 904–912. [Google Scholar] [CrossRef]
 - Yeh, C.Y.; Chen, C.K.; Hsu, H.J.; Wu, I.W.; Sun, C.Y.; Chou, C.C.; Lee, C.C.; Wang, L.J. Prescription of psychotropic drugs in patients with chronic renal failure on hemodialysis. Ren. Fail. 2014, 36, 1545–1549. [Google Scholar] [CrossRef] [Green Version]
 - Wu, H.; Ballantyne, C.M. Metabolic inflammation and insulin resistance in obesity. Circ. Res. 2020, 126, 1549–1564. [Google Scholar] [CrossRef] [PubMed]
 - Chang, G.R.; Hou, P.H.; Chen, W.K.; Lin, C.T.; Tsai, H.P.; Mao, F.C. Exercise affects blood glucose levels and tissue chromium distribution in high-fat diet-fed C57BL6 mice. Molecules 2020, 25, 1658. [Google Scholar] [CrossRef] [Green Version]
 - Newsholme, P.; Keane, K.N.; Carlessi, R.; Cruzat, V. Oxidative stress pathways in pancreatic β-cells and insulin-sensitive cells and tissues: Importance to cell metabolism, function, and dysfunction. Am. J. Physiol. Cell Physiol. 2019, 317, C420–C433. [Google Scholar] [CrossRef]
 - Tsai, H.P.; Hou, P.H.; Mao, F.C.; Chang, C.C.; Yang, W.C.; Wu, C.F.; Liao, H.J.; Lin, T.C.; Chou, L.S.; Hsiao, L.W.; et al. Risperidone exacerbates glucose intolerance, nonalcoholic fatty liver disease, and renal impairment in obese mice. Int. J. Mol. Sci. 2021, 22, 409. [Google Scholar] [CrossRef]
 - Eva, H.; Akter, Q.S.; Alam, M.K. Relationship between glycemic status and serum chromium level with type 2 diabetes mellitus. Mymensingh Med. J. 2020, 29, 183–186. [Google Scholar]
 - Elsaed, W.M.; Mohamed, H.A. Dietary zinc modifies diabetic-induced renal pathology in rats. Ren. Fail. 2017, 39, 246–257. [Google Scholar] [CrossRef] [Green Version]
 - Hsu, C.W.; Lee, Y.; Lee, C.Y.; Lin, P.Y. Neurotoxicity and nephrotoxicity caused by combined use of lithium and risperidone: A case report and literature review. BMC Pharmacol. Toxicol. 2016, 17, 59. [Google Scholar] [CrossRef] [Green Version]
 - Kamal, A. Estimation of blood urea (BUN) and serum creatinine level in patients of renal disorder. Indian J. Fundam. Appl. Life Sci. 2014, 4, 199–202. [Google Scholar]
 - Seki, M.; Nakayama, M.; Sakoh, T.; Yoshitomi, R.; Fukui, A.; Katafuchi, E.; Kitazono, T. Blood urea nitrogen is independently associated with renal outcomes in Japanese patients with stage 3–5 chronic kidney disease: A prospective observational study. BMC Nephrol. 2019, 20, 115. [Google Scholar] [CrossRef]
 - Cachofeiro, V.; Goicochea, M.; De Vinuesa, S.G.; Oubiña, P.; Lahera, V.; Luño, J. Oxidative stress and inflammation, a link between chronic kidney disease and cardiovascular disease: New strategies to prevent cardiovascular risk in chronic kidney disease. Kidney Int. 2008, 74, S4–S9. [Google Scholar] [CrossRef] [PubMed] [Green Version]
 - Ruggiero, D.; Lecomte, M.; Michoud, E.; Lagarde, M.; Wiernsperger, N. Involvement of cell-cell interactions in the pathogenesis of diabetic retinopathy. Diabetes Metab. J. 1997, 23, 30–42. [Google Scholar]
 - Sánchez-Thorin, J.C. The epidemiology of diabetes mellitus and diabetic retinopathy. Int. Ophthalmol. Clin. 1998, 38, 11–18. [Google Scholar] [CrossRef]
 - Kowluru, R.A. Retinopathy in a diet-induced type 2 diabetic rat model and role of epigenetic modifications. Diabetes 2020, 69, 689–698. [Google Scholar] [CrossRef] [PubMed]
 - Zheng, L.; Kern, T.S. Role of nitric oxide, superoxide, peroxynitrite and PARP in diabetic retinopathy. Front. Biosci. 2009, 14, 3974–3987. [Google Scholar] [CrossRef] [PubMed]
 - Zheng, L.; Szabó, C.; Kern, T.S. Poly (ADP-ribose) polymerase is involved in the development of diabetic retinopathy via regulation of nuclear factor-κB. Diabetes 2004, 53, 2960–2967. [Google Scholar] [CrossRef] [PubMed] [Green Version]
 - Kowluru, R.A.; Kowluru, V.; Xiong, Y.; Ho, Y.S. Overexpression of mitochondrial superoxide dismutase in mice protects the retina from diabetes-induced oxidative stress. Free Radic. Biol. Med. 2006, 41, 1191–1196. [Google Scholar] [CrossRef] [PubMed]
 - Ulas, M.; Orhan, C.; Tuzcu, M.; Ozercan, I.H.; Sahin, N.; Gencoglu, H.; Komorowski, J.R.; Sahin, K. Anti-diabetic potential of chromium histidinate in diabetic retinopathy rats. BMC Complement Altern. Med. 2015, 15, 16. [Google Scholar] [CrossRef] [Green Version]
 - Lu, L.; Seidel, C.P.; Iwase, T.; Stevens, R.K.; Gong, Y.Y.; Wang, X.; Campochiaro, P.A. Suppression of GLUT1; a new strategy to prevent diabetic complications. J. Cell. Physiol. 2013, 228, 251–257. [Google Scholar] [CrossRef] [PubMed]
 - May, M.; Beauchemin, M.; Vary, C.; Barlow, D.; Houseknecht, K.L. The antipsychotic medication, risperidone, causes global immunosuppression in healthy mice. PLoS ONE 2019, 14, e0218937. [Google Scholar] [CrossRef]
 - London, E.; Castonguay, T.W. High fructose diets increase 11-hydroxysteroid dehydrogenase type 1 in liver and visceral adipose in rats within 24-h exposure. Obesity 2011, 19, 925–932. [Google Scholar] [CrossRef]
 - Hallman, T.M.; Peng, M.; Meade, R.; Hancock, W.W.; Madaio, M.P.; Gasser, D.L. The mitochondrial and kidney disease phenotypes of kd/kd mice under germfree conditions. J. Autoimmun. 2006, 26, 1–6. [Google Scholar] [CrossRef] [PubMed] [Green Version]
 - Liu, R.Z.; Li, X.; Godbout, R. A novel fatty acid-binding protein (FABP) gene resulting from tandem gene duplication in mammals: Transcription in rat retina and testis. Genomics 2008, 92, 436–445. [Google Scholar] [CrossRef] [Green Version]
 - Miyazaki, T.; Shirakami, Y.; Kubota, M.; Ideta, T.; Kochi, T.; Sakai, H.; Shimizu, M. Sodium alginate prevents progression of non-alcoholic steatohepatitis and liver carcinogenesis in obese and diabetic mice. Oncotarget 2016, 7, 10448. [Google Scholar] [CrossRef] [Green Version]
 - Chen, B.Y.; Lin, D.P.C.; Wu, C.Y.; Teng, M.C.; Sun, C.Y.; Tsai, Y.T.; Chang, H.H. Dietary zerumbone prevents mouse cornea from UVB-induced photokeratitis through inhibition of NF-κB, iNOS, and TNF-α expression and reduction of MDA accumulation. Mol. Vis. 2011, 17, 854–863. [Google Scholar]
 - Taubmann, J.; Krishnacoumar, B.; Böhm, C.; Faas, M.; Müller, D.I.; Adam, S.; Scholtysek, C. Metabolic reprogramming of osteoclasts represents a therapeutic target during the treatment of osteoporosis. Sci. Rep. 2020, 10, 1–9. [Google Scholar] [CrossRef]
 - Attafi, I.M.; Bakheet, S.A.; Korashy, H.M. The role of NF-κB and AhR transcription factors in lead-induced lung toxicity in human lung cancer A549 cells. Toxicol. Mech. Methods 2020, 30, 197–207. [Google Scholar] [CrossRef] [PubMed]
 - Zeng, W.; Li, H.; Chen, Y.; Lv, H.; Liu, L.; Ran, J.; Li, H. Survivin activates NF-κB p65 via the IKKβ promoter in esophageal squamous cell carcinoma. Mol. Med. Rep. 2016, 13, 1869–1880. [Google Scholar] [CrossRef] [PubMed] [Green Version]
 - Huang, Z.; Zheng, D.; Pu, J.; Dai, J.; Zhang, Y.; Zhang, W.; Wu, Z. MicroRNA-125b protects liver from ischemia/reperfusion injury via inhibiting TRAF6 and NF-κB pathway. Biosci. Biotechnol. Biochem. 2019, 83, 829–835. [Google Scholar] [CrossRef]
 - Mkhwanazi, B.N.; Serumula, M.R.; Myburg, R.B.; Van Heerden, F.R.; Musabayane, C.T. Antioxidant effects of maslinic acid in livers, hearts and kidneys of streptozotocin-induced diabetic rats: Effects on kidney function. Ren. Fail. 2014, 36, 419–431. [Google Scholar] [CrossRef]
 - Roques, B.B.; Leghait, J.; Lacroix, M.Z.; Lasserre, F.; Pineau, T.; Viguié, C.; Martin, P.G. The nuclear receptors pregnane X receptor and constitutive androstane receptor contribute to the impact of fipronil on hepatic gene expression linked to thyroid hormone metabolism. Biochem. Pharmacol. 2013, 86, 997–1039. [Google Scholar] [CrossRef]
 









| Variable | Control | Clozapine | 
|---|---|---|
| RWAT | ||
| Adipocyte diameter | ||
| 0–40 μm (%) | 13.88 ± 0.65 | 0 ± 0 *** | 
| 40–80 μm (%) | 50.01 ± 1.25 | 25.64 ± 1.07 *** | 
| 80–120 μm (%) | 36.11 ± 0.42 | 48.71 ± 1.12 *** | 
| >120 μm (%) | 0 ± 0 | 25.64 ± 0.96 *** | 
| EWAT | ||
| Adipocyte diameter | ||
| 0–40 μm (%) | 9.09 ± 0.47 | 0 ± 0 *** | 
| 40–80 μm (%) | 77.27 ± 0.94 | 27.27 ± 0.57 *** | 
| 80–120 μm (%) | 13.63 ± 1.03 | 38.18 ± 1.69 *** | 
| >120 μm (%) | 0 ± 0 | 56.67 ± 1.42 *** | 
| Variable | Control | Clozapine | 
|---|---|---|
| Chromium intake/mouse/week (μg) | 20.88 ± 1.29 | 25.00 ± 0.80 ** | 
| Blood (ng/mL) | 175.32 ± 8.51 | 100.24 ± 5.85 *** | 
| Bone (ng/g) | 382.37 ± 11.26 | 185.57 ± 7.62 *** | 
| Liver (ng/g) | 78.35 ± 6.27 | 59.48 ± 4.16 ** | 
| Muscle (ng/g) | 53.21 ± 3.98 | 42.36 ± 3.47 ** | 
| Epididymal fat pads (ng/g) | 49.63 ± 3.15 | 35.52 ± 2.71 *** | 
| Kidney (ng/g) | 100.49 ± 5.68 | 172.27 ± 4.15 *** | 
| Urine (ng/mL) | 48.26± 2.13 | 98.38 ± 2.48 *** | 
Publisher’s Note: MDPI stays neutral with regard to jurisdictional claims in published maps and institutional affiliations.  | 
© 2021 by the authors. Licensee MDPI, Basel, Switzerland. This article is an open access article distributed under the terms and conditions of the Creative Commons Attribution (CC BY) license (https://creativecommons.org/licenses/by/4.0/).
Share and Cite
Chang, G.-R.; Liu, H.-Y.; Yang, W.-C.; Wang, C.-M.; Wu, C.-F.; Lin, J.-W.; Lin, W.-L.; Wang, Y.-C.; Lin, T.-C.; Liao, H.-J.; et al. Clozapine Worsens Glucose Intolerance, Nonalcoholic Fatty Liver Disease, Kidney Damage, and Retinal Injury and Increases Renal Reactive Oxygen Species Production and Chromium Loss in Obese Mice. Int. J. Mol. Sci. 2021, 22, 6680. https://doi.org/10.3390/ijms22136680
Chang G-R, Liu H-Y, Yang W-C, Wang C-M, Wu C-F, Lin J-W, Lin W-L, Wang Y-C, Lin T-C, Liao H-J, et al. Clozapine Worsens Glucose Intolerance, Nonalcoholic Fatty Liver Disease, Kidney Damage, and Retinal Injury and Increases Renal Reactive Oxygen Species Production and Chromium Loss in Obese Mice. International Journal of Molecular Sciences. 2021; 22(13):6680. https://doi.org/10.3390/ijms22136680
Chicago/Turabian StyleChang, Geng-Ruei, Hsien-Yueh Liu, Wei-Cheng Yang, Chao-Min Wang, Ching-Fen Wu, Jen-Wei Lin, Wei-Li Lin, Yu-Chen Wang, Tzu-Chun Lin, Huei-Jyuan Liao, and et al. 2021. "Clozapine Worsens Glucose Intolerance, Nonalcoholic Fatty Liver Disease, Kidney Damage, and Retinal Injury and Increases Renal Reactive Oxygen Species Production and Chromium Loss in Obese Mice" International Journal of Molecular Sciences 22, no. 13: 6680. https://doi.org/10.3390/ijms22136680
APA StyleChang, G.-R., Liu, H.-Y., Yang, W.-C., Wang, C.-M., Wu, C.-F., Lin, J.-W., Lin, W.-L., Wang, Y.-C., Lin, T.-C., Liao, H.-J., Hou, P.-H., Chan, C.-H., & Lin, C.-F. (2021). Clozapine Worsens Glucose Intolerance, Nonalcoholic Fatty Liver Disease, Kidney Damage, and Retinal Injury and Increases Renal Reactive Oxygen Species Production and Chromium Loss in Obese Mice. International Journal of Molecular Sciences, 22(13), 6680. https://doi.org/10.3390/ijms22136680
        
                                                
