Novel Applications of NSAIDs: Insight and Future Perspectives in Cardiovascular, Neurodegenerative, Diabetes and Cancer Disease Therapy
Abstract
1. Introduction
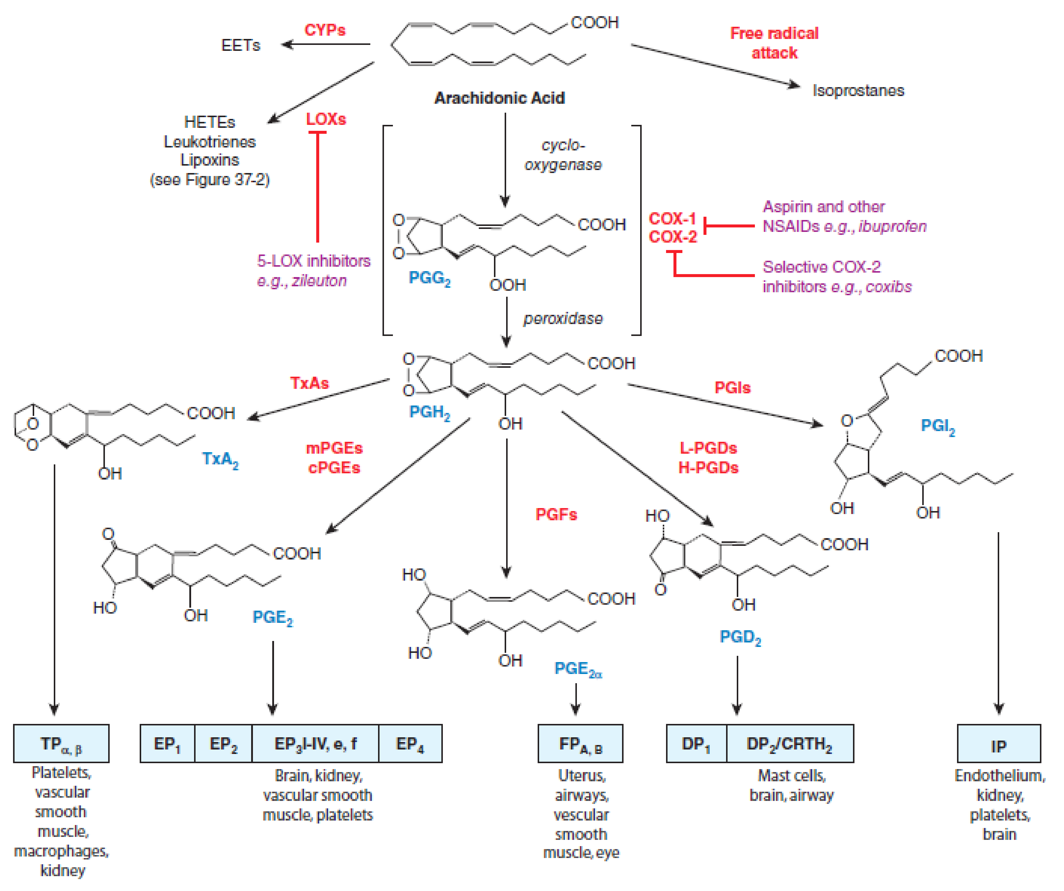
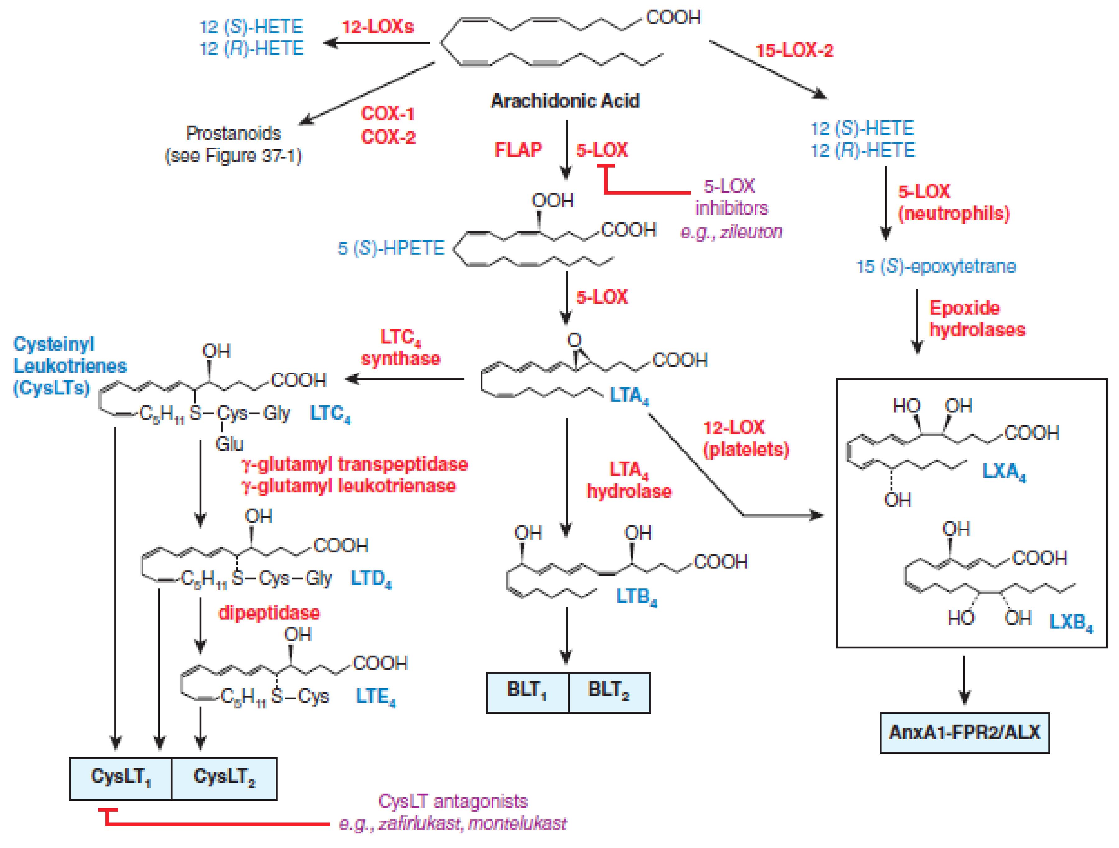
2. Mechanism of Action and Classification of NSAIDs
3. Neurodegenerative Diseases
3.1. Alzheimer’s Disease
3.2. Clinical Evidence
3.3. Parkinson Disease
3.4. Amyotrophic Lateral Sclerosis
3.5. Clinical Evidence
4. Anticancer Action
Clinical Evidence
5. Cardio Effects
Clinical Evidence
6. Diabetes
7. Conclusions
Funding
Institutional Review Board Statement
Informed Consent Statement
Data Availability Statement
Conflicts of Interest
Abbreviations
| 15(S)-hydroperoxyeicosatetraenoic acid | (15(S)-HpETE) |
| 1-methyl-4-phenyl-1,2,3,6-tetrahydropyridine | (MPTP) |
| 78-kDa glucose-regulated protein | (GRP78) |
| Adenomatous polyposis coli | (APC) |
| Adenosine triphosphate | (ATP) |
| AMP-activated protein kinase | (AMPK) |
| Amyloid beta | (Aβ) |
| Amyloid precursor protein | (APP) |
| Amyotrophic lateral sclerosis | (ALS) |
| Arachidonate 5-lipoxygenase | (5-LOX) |
| Arachidonic acid | (AA) |
| Binding immunoglobulin protein | (BiP) |
| Blood brain barrier | (BBB) |
| Breast cancer | (BC) |
| C/EBP homologous protein | (CHOP) |
| CCAAT/enhancer-binding proteins | (C/EBPs) |
| Colorectal cancer | (CRC) |
| Coronary artery disease | (CAD) |
| Damage-regulated autophagy modulator | (DRAM) |
| DNA damage-inducible gene 153 | (GADD153) |
| Docosahexaenoic acid | (DHA) |
| Extracellular signal-regulated kinase | (ERK) |
| Hepatocyte growth factor | (HGF) |
| IL-1 receptor antagonist | (IL-1ra) |
| Interleukin-1 | (IL-1) |
| Interleukin-6 | (IL-6) |
| Creatine kinase muscle type | (CK-MB) |
| Large family of hydrolase enzymes that bind to the nucleotide guanosine triphosphate | (Rho-GTPases) |
| Lipoxins | (LXs) |
| Low-density lipoprotein receptor deficient | (LDLR−/−) |
| Matrix metalloproteinase 9 | (MMP-9) |
| Met tyrosine kinase | (TK) |
| Mitogen-activated protein kinase | (MAPK) |
| Natural-killer group 2 member D | (NKG2D) |
| Neural stem progenitor cells | (NSCs) |
| Nitric oxide | (NO) |
| Non-steroidal anti-inflammatory drugs | (NSAIDs) |
| NSAID activated gene | (NAG-1) |
| Nuclear factor kappa-light-chain-enhancer of activated B cells | (NF-κB) |
| Parkinson Disease | (PD) |
| Peroxisome proliferator-activated receptor delta | (PPARδ) |
| Peroxisome proliferator-activated receptor-γ | (PPAR γ) |
| Prostacyclin | (PGI2) |
| Prostaglandin F2α | (PGF2α) |
| Prostaglandins | (PGs) |
| Reactive nitrogen species | (RNS) |
| Reactive oxygen species | (ROS) |
| Slow reacting substance in anaphylaxis | (SRS-A) |
| The mammalian target of rapamycin | (mTOR) |
| The phosphatidylinositol-3-kinase | (PI3K)/Akt |
| Thromboxane | (TxA2) |
| Tumor necrosis factor-alfa | (TNF-α) |
| Tumor protein | (P53) |
| Type 2 diabetes | (T2DM) |
| UL16-binding protein 1 | (ULBP-1) |
| α-synuclein | (α-syn) |
References
- Vane, J.R. The fight against rheumatism: From willow bark to COX-1 sparing drugs. J. Physiol. Pharmacol. 2000, 51, 573–586. [Google Scholar] [PubMed]
- Stone, E. XXXII. An account of the success of the bark of the willow in the cure of agues. In a letter to the Right Honourable George Earl of Macclesfield, President of RS from the Rev. Mr. Edward Stone, of Chipping-Norton in Oxfordshire. Phil. Trans. R. Soc. 1763, 53, 195–200. [Google Scholar]
- Sneader, W. The discovery of aspirin: A reappraisal. Br. Med. J. 2000, 321, 1591–1594. [Google Scholar] [CrossRef] [PubMed]
- Prescott, L. The third Lilly Prize Lecture. University of London, January, 1979. The nephrotoxicity and hepatotoxicity of antipyretic analgesics. Br. J. Clin. Pharmacol. 1979, 7, 453–462. [Google Scholar] [CrossRef]
- Wright, V. Historical overview of NSAIDs. Eur. J. Rheumatol. Inflamm. 1993, 13, 4–6. [Google Scholar]
- Pasero, G.; Marson, P. A short history of anti-rheumatic therapy-V. Analgesics. Reumatismo 2011, 63, 55–60. [Google Scholar] [CrossRef][Green Version]
- Vane, J.R. Inhibition of prostaglandin synthesis as a mechanism of action for aspirin-like drugs. Nat. New Biol. 1971, 231, 232–235. [Google Scholar] [CrossRef]
- Botting, R.M. Vane’s discovery of the mechanism of action of aspirin changed our understanding of its clinical pharmacology. Pharmacol. Rep. 2010, 62, 518–525. [Google Scholar] [CrossRef]
- Shampo, M.A.; Kyle, R.A.; Steensma, D. John Robert Vane—British Pharmacologist and Nobel Laureate. Mayo Clin. Proc. 2013, 88, e71. [Google Scholar] [CrossRef]
- Vane, J.R.; Botting, R.M. Anti-Inflammatory Drugs and Their Mechanism of Action. Inflamm. Res. 1998, 42, 78–87. [Google Scholar] [CrossRef]
- Coles, L.S.; Fries, J.F.; Kraines, R.G.; Roth, S.H. From experiment to experience: Side effects of nonsteroidal anti-inflammatory drugs. Am. J. Med. 1983, 74, 820–828. [Google Scholar] [CrossRef]
- Fries, J. Toward an understanding of NSAID-related adverse events: The contribution of longitudinal data. Scand. J. Rheumatol. 1996, 102, 3–8. [Google Scholar] [CrossRef]
- Änggård, E.; Samuelsson, B. Biosynthesis of Prostaglandins from Arachidonic Acid in Guinea Pig Lung: Prostaglandins and related factors 38. J. Biol. Chem. 1965, 240, 3518–3521. [Google Scholar] [CrossRef]
- Ferreira, S.H.; Moncada, S.; Vane, J.R. Prostaglandins and the mechanism of analgesia produced by aspirin like drugs. Ann. R. Coll. Surg. Engl. 1974, 55, 287. [Google Scholar]
- Moncada, S.; Ferreira, S.H.; Vane, J.R. Bioassay of prostaglandins and biologically active substances derived from arachidonic acid. Adv. Prostaglandin Thromboxane Res. 1978, 5, 211–236. [Google Scholar]
- Moncada, S.; Ferreira, S.H.; Vane, J.R. Inhibition of prostaglandin biosynthesis as the mechanism of analgesia of aspirin-like drugs in the dog knee joint. Eur. J. Pharmacol. 1975, 31, 250–260. [Google Scholar] [CrossRef]
- Ferreira, S.H.; Moncada, S.; Vane, J.R. Indomethacin and aspirin abolish prostaglandin release from the spleen. Nat. New Biol. 1971, 231, 237–239. [Google Scholar] [CrossRef]
- Higgs, G.A.; Mugridge, K.G.; Moncada, S.; Vane, J.R. Inhibition of tissue damage by the arachidonate lipoxygenase inhibitor BW755C. Proc. Natl. Acad. Sci. USA 1984, 81, 2890–2892. [Google Scholar] [CrossRef]
- Ricciotti, E.; Fitzgerald, G.A. Prostaglandins and inflammation. Arterioscler. Thromb. Vasc. Biol. 2011, 31, 986–1000. [Google Scholar] [CrossRef]
- Blain, H.; Jouzeau, J.Y.; Netter, P.; Jeandel, C. Les anti-inflammatoires non steroidiens inhibiteurs selectifs de la cyclooxygenase 2. Interet et perspectives. Rev. Med. Interne 2000, 21, 978–988. [Google Scholar] [CrossRef]
- Brune, K.; Hinz, B. The discovery and development of antiinflammatory drugs. Arthritis Rheum. 2004, 50, 2391–2399. [Google Scholar] [CrossRef]
- Seaver, B.; Smith, J.R. Inhibition of COX isoforms by nutraceuticals. J. Herb. Pharmacother. 2004, 4, 11–18. [Google Scholar] [CrossRef]
- Atchison, J.W.; Herndon, C.M.; Rusie, E. NSAIDs for musculoskeletal pain management: Current perspectives and novel strategies to improve safety. J. Manag. Care Pharm. 2013, 19, 1–9. [Google Scholar] [CrossRef]
- Bannwarth, B. Gastrointestinal tolerance of nonsteroidal anti-inflammatory Agents. Drugs 2000, 59, 17–23. [Google Scholar] [CrossRef]
- Singh, G. Recent considerations in nonsteroidal anti-inflammatory drug gastropathy. Am. J. Med. 1998, 105, 31S–38S. [Google Scholar] [CrossRef]
- Kendall, B.J.; Peura, D.A. NSAID-associated gastrointestinal damage and the elderly. GI disease in the elderly series: Article five in the series. Pract. Gastroenterol. 1993, 17, 13–20. [Google Scholar]
- Committee on Safety of Medicines. Non-steroidal anti-inflammatory drugs and serious gastrointestinal adverse reactions. Br. Med. J. 1986, 292, 1190–1191. [Google Scholar] [CrossRef][Green Version]
- Schlegel, S.I. General characteristics of nonsteroidal anti-inflammatory drugs. In Drugs for Rheumatic Disease; Paulus, H.E., Furst, D.E., Dromgoole, S.H., Eds.; Churchill Livingstone: London, UK, 1987; Volume 1, pp. 203–255. [Google Scholar]
- Kowalski, M.L.; Woessner, K.; Sanak, M. Approaches to the diagnosis and management of patients with a history of nonsteroidal anti-inflammatory drug-related urticaria and angioedema. J. Allergy Clin. Immunol. 2015, 136, 245–251. [Google Scholar] [CrossRef]
- Praveen Rao, P.N.; Knaus, E.E. Evolution of nonsteroidal anti-inflammatory drugs (NSAIDs): Cyclooxygenase (COX) inhibition and beyond. J. Pharm. Pharm. Sci. 2008, 11, 81s–110s. [Google Scholar]
- Simmons, D.L.; Botting, R.M.; Hla, T. Cyclooxygenase isozymes: The biology of prostaglandin synthesis and inhibition. Pharmacol. Rev. 2004, 56, 387–437. [Google Scholar] [CrossRef]
- Smyth, E.M.; Grosser, T.; Wang, M.; Yu, Y.; FitzGerald, G.A. Prostanoids in health and disease. J. Lipid Res. 2009, 50, S423–S428. [Google Scholar] [CrossRef] [PubMed]
- Gilston, V.; Blake, D.R.; Winyard, P.G. Inflammatory mediators, free radicals and gene transcription. Free Radic. Inflamm. 2000, 83–98. [Google Scholar] [CrossRef]
- Arend, W.P.; Dayer, J.-M. Inhibition of the production and effects of interleukins-1 and tumor necrosis factor α in rheumatoid arthritis. Arthritis Rheum. 1995, 38, 151–160. [Google Scholar] [CrossRef] [PubMed]
- Lone, A.M.; Taskén, K. Proinflammatory and immunoregulatory roles of eicosanoids in T cells. Front. Immunol. 2013, 4, 130. [Google Scholar] [CrossRef]
- Leone, S.; Ottani, A.; Bertolini, A. Dual Acting Anti-Inflammatory Drugs. Curr. Top. Med. Chem. 2007, 7, 265–275. [Google Scholar] [CrossRef]
- Bertolini, A.; Ottani, A.; Sandrini, M. Selective COX-2 Inhibitors and Dual Acting Anti-inflammatory Drugs: Critical Remarks. Curr. Med. Chem. 2005, 9, 1033–1043. [Google Scholar] [CrossRef]
- Fiorucci, S.; Meli, R.; Bucci, M.; Cirino, G. Dual inhibitors of cyclooxygenase and 5-lipoxygenase. A new avenue in anti-inflammatory therapy? Biochem. Pharmacol. 2001, 62, 1433–1438. [Google Scholar] [CrossRef]
- Celotti, F.; Durand, T. The metabolic effects of inhibitors of 5-lipoxygenase and of cyclooxygenase 1 and 2 are an advancement in the efficacy and safety of anti-inflammatory therapy. Prostaglandins Other Lipid Mediat. 2003, 71, 147–162. [Google Scholar] [CrossRef]
- Celotti, F.; Laufer, S. Anti-inflammatory drugs: New multitarget compounds to face an old problem. The dual inhibition concept. Pharmacol. Res. 2001, 43, 429–436. [Google Scholar] [CrossRef]
- Ling, Q.L.; Murdoch, E.; Ruan, K.H. How can we address the controversies surrounding the use of NSAIDS in neurodegeneration? Future Med. Chem. 2016, 8, 1153–1155. [Google Scholar] [CrossRef]
- Lleo, A.; Galea, E.; Sastre, M. Molecular targets of non-steroidal anti-inflammatory drugs in neurodegenerative diseases. Cell Mol. Life Sci. 2007, 64, 1403–1418. [Google Scholar] [CrossRef]
- Chatterjee, K.; Jana, S.; Choudhary, P.; Swarnakar, S. Triumph and tumult of matrix metalloproteinases and their crosstalk with eicosanoids in cancer. Cancer Metastasis Rev. 2018, 37, 279–288. [Google Scholar] [CrossRef]
- Chang, C.Y.; Li, J.R.; Wu, C.C.; Wang, J.D.; Liao, S.L.; Chen, W.Y.; Chen, C.J. Endoplasmic reticulum stress contributes to indomethacin-induced glioma apoptosis. Int. J. Mol. Sci. 2020, 21, 557. [Google Scholar] [CrossRef]
- Yu, C.; Li, W.B.; Liu, J.B.; Lu, J.W.; Feng, J.F. Autophagy: Novel applications of nonsteroidal anti-inflammatory drugs for primary cancer. Cancer Med. 2018, 7, 471–484. [Google Scholar] [CrossRef]
- Ciotu, C.I.; Fischer, M.J.M. Novel Analgesics with Peripheral Targets. Neurotherapeutics 2020, 17, 784–825. [Google Scholar] [CrossRef]
- Shadfar, S.; Hwang, C.J.; Lim, M.S.; Choi, D.Y.; Hong, J.T. Involvement of inflammation in Alzheimer’s disease pathogenesis and therapeutic potential of anti-inflammatory agents. Arch. Pharmacal. Res. 2015, 38, 2106–2119. [Google Scholar] [CrossRef]
- Ahmad, M.H.; Fatima, M.; Mondal, A.C. Influence of microglia and astrocyte activation in the neuroinflammatory pathogenesis of Alzheimer’s disease: Rational insights for the therapeutic approaches. J. Clin. Neurosci. 2019, 59, 6–11. [Google Scholar] [CrossRef]
- Park, J.C.; Han, S.H.; Mook-Jung, I. Peripheral inflammatory biomarkers in Alzheimer’s disease: A brief review. BMB Rep. 2020, 53, 10–19. [Google Scholar] [CrossRef]
- Sang, C.N.; Schmidt, W.K. Aligning New Approaches to Accelerate the Development of Non-opioid Analgesic Therapies. Neurotherapeutics 2020, 17, 765–769. [Google Scholar] [CrossRef]
- Chen, W.W.; Zhang, X.; Huang, W.J. Role of neuroinflammation in neurodegenerative diseases (Review). Mol. Med. Rep. 2016, 13, 3391–3396. [Google Scholar] [CrossRef]
- Jha, M.K.; Jeon, S.; Suk, K. Glia as a Link between Neuroinflammation and Neuropathic Pain. Immune Netw. 2012, 12, 41. [Google Scholar] [CrossRef]
- Solfrizzi, V.; D’Introno, A.; Colacicco, A.M.; Capurso, S.A.; Pietrarossa, G.; Santamato, V.; Capurso, A.P.F. Circulating biomarkers of cognitive decline and dementia. Clin. Chim. Acta 2006, 364, 91–112. [Google Scholar] [CrossRef]
- Rubio-Perez, J.M.; Morillas-Ruiz, J.M. A review: Inflammatory process in Alzheimer’s disease, role of cytokines. Sci. World J. 2012, 2012, 756357. [Google Scholar] [CrossRef]
- Small, D.H.; Klaver, D.W.; Foa, L. Presenilins and the γ-secretase: Still a complex problem. Mol. Brain 2010, 3, 1–6. [Google Scholar] [CrossRef]
- Ransohoff, R.M. How neuroinflammation contributes to neurodegeneration. Science 2016, 353, 777–783. [Google Scholar] [CrossRef]
- Ray, R.; Juranek, J.K.; Rai, V. RAGE axis in neuroinflammation, neurodegeneration and its emerging role in the pathogenesis of amyotrophic lateral sclerosis. Neurosci. Biobehav. Rev. 2016, 62, 48–55. [Google Scholar] [CrossRef]
- Subhramanyam, C.S.; Wang, C.; Hu, Q.; Dheen, S.T. Microglia-mediated neuroinflammation in neurodegenerative diseases. Semin. Cell Dev. Biol. 2019, 94, 112–120. [Google Scholar] [CrossRef]
- Niranjan, R. Recent advances in the mechanisms of neuroinflammation and their roles in neurodegeneration. Neurochem. Int. 2018, 120, 13–20. [Google Scholar] [CrossRef]
- Mcgeer, P.L.; Mcgeer, E.; Rogers, J.; Sibley, J. Anti-inflammatory drugs and Alzheimer disease. Lancet 1990, 335, 1037. [Google Scholar] [CrossRef]
- Veld, T.B.A.; Ruitenberg, A.; Hofman, A.; Launer, L.J.; van Duijn, C.M.; Stijnen, T. Nonsteroidal Antiinflammatory Drugs and the Risk of Alzheimer’s Disease. N. Engl. J. Med. 2001, 345, 1515–1521. [Google Scholar] [CrossRef]
- Martin, B.K.; Szekely, C.; Brandt, J.; Piantadosi, S.; Breitner, J.C.S.; Craft, S.; Evans, D.; Green, R. Cognitive function over time in the Alzheimer’s disease anti-inflammatory prevention trial (ADAPT): Results of a randomized, controlled trial of naproxen and celecoxib. Arch. Neurol. 2008, 65, 896–905. [Google Scholar] [PubMed]
- Breitner, J.C.; Baker, L.D.; Montine, T.J.; Meinert, C.L.; Lyketsos, C.G.; Ashe, K.H.; Brandt, J.; Craft, S.; Evans, D.E.; Green, R.C.; et al. Extended results of the Alzheimer’s disease anti-inflammatory prevention trial. Alzheimer’s Dement. 2011, 7, 402–411. [Google Scholar] [CrossRef] [PubMed]
- Angiolillo, D.J.; Weisman, S.M. Clinical Pharmacology and Cardiovascular Safety of Naproxen. Am. J. Cardiovasc. Drugs 2017, 17, 97–107. [Google Scholar] [CrossRef] [PubMed]
- Rogers, J.; Kirby, L.C.; Hempelman, S.R.; Berry, D.L.; McGeer, P.L.; Kaszniak, A.W. Clinical trial of indomethacin in alzheimer’s disease. Neurology 1993, 43, 1609–1611. [Google Scholar] [CrossRef] [PubMed]
- Pasqualetti, P.; Bonomini, C.; Dal Forno, G.; Paulon, L.; Sinforiani, E.; Marra, C.; Rossini, P.M. A randomized controlled study on effects of ibuprofen on cognitive progression of Alzheimer’s disease. Aging Clin. Exp. Res. 2009, 21, 102–110. [Google Scholar] [CrossRef] [PubMed]
- Scharf, S.; Mander, A.; Ugoni, A.; Vajda, F.; Christophidis, N. A double-blind, placebo-controlled trial of diclofenac/misoprostol in Alzheimer’s disease. Neurology 1999, 53, 197–201. [Google Scholar] [CrossRef] [PubMed]
- Aisen, P.S.; Schmeidler, J.; Pasinetti, G.M. Randomized pilot study of nimesulide treatment in alzheimer’s disease. Neurology 2002, 58, 1050–1054. [Google Scholar] [CrossRef] [PubMed]
- Reines, S.A.; Block, G.A.; Morris, J.C.; Liu, G.; Nessly, M.L.; Lines, C.R.; Norman, B.A.; Baranak, C.C. Rofecoxib: No effect on Alzheimer’s disease in a 1-year, randomized, blinded, controlled study. Neurology 2004, 62, 66–71. [Google Scholar] [CrossRef]
- Gómez-Isla, T.; Blesa, R.; Boada, M.; Clarimón, J.; Del Domenech, G. A randomized, double-blind, placebo controlled-trial of triflusal in mild cognitive impairment: The TRIMCI study. Alzheimer Dis. Assoc. Disord. 2008, 22, 21–29. [Google Scholar] [CrossRef]
- Mintzer, J.E.; Wilcock, G.K.; Black, S.E.; Zavitzk, H.; Hendrix, S.B. MPC-7869 (R-flurbiprofen), a selective Ab42-lowering agent, delays time to clinically significant psychiatric events in Alzheimer_s disease (AD): Analysis from a 12-month phase 2 trial. Alzheimer’s Dement. 2006, 2–412. [Google Scholar]
- Uddin, S.; Kabir, T.; Jeandet, P.; Mathew, B.; Ashraf, G.M.; Perveen, A.; Bin-Jumah, M.N.; Mousa, S.A.; Abdel-Daim, M.M. Novel Anti-Alzheimer’s Therapeutic Molecules Targeting Amyloid Precursor Protein Processing. Oxidative Med. Cell. Longev. 2020, 2020, 1–19. [Google Scholar] [CrossRef]
- Weggen, S.; Eriksen, J.; Das, P.; Sagi, S.A.; Wang, R.; Pietrzik, C.U.; Findlay, K.A.; Smith, T.E.; Murphy, M.P.; Bulter, T.; et al. A subset of NSAIDs lower amyloidogenic Aβ42 independently of cyclooxygenase activity. Nat. Cell Biol. 2001, 414, 212–216. [Google Scholar] [CrossRef] [PubMed]
- Sastre, M.; Dewachter, I.; Landreth, G.E.; Willson, T.M.; Klockgether, T.; Van Leuven, F.; Heneka, M.T. Nonsteroidal Anti-Inflammatory Drugs and Peroxisome Proliferator-Activated Receptor-γ Agonists Modulate Immunostimulated Processing of Amyloid Precursor Protein through Regulation of β-Secretase. J. Neurosci. 2003, 23, 9796–9804. [Google Scholar] [CrossRef]
- Sastre, M.; Gentleman, S.M. NSAIDs: How they work and their prospects as therapeutics in Alzheimer’s disease. Front. Aging Neurosci. 2010. [Google Scholar] [CrossRef]
- Yang, L.; Mao, K.; Yu, H.; Chen, J. Neuroinflammatory Responses and Parkinson’ Disease: Pathogenic Mechanisms and Therapeutic Targets. J. Neuroimmune Pharmacol. 2020, 15, 830–837. [Google Scholar] [CrossRef]
- Heneka, M.T.; Carson, M.J.; El Khoury, J.; E Landreth, G.; Brosseron, F.; Feinstein, D.L.; Jacobs, A.H.; Wyss-Coray, T.; Vitorica, J.; Ransohoff, R.M.; et al. Neuroinflammation in Alzheimer’s disease. Lancet Neurol. 2015, 14, 388–405. [Google Scholar] [CrossRef]
- O’Bryant, S.E.; Zhang, F.; Johnson, L.; Hall, J.; Edwards, M.; Grammas, P.; Oh, E.; Lyketsos, C.G.; Rissman, R.A. A Precision Medicine Model for Targeted NSAID Therapy in Alzheimer’s Disease. J. Alzheimer’s Dis. 2018, 66, 97–104. [Google Scholar] [CrossRef]
- Panicker, N.; Saminathan, H.; Jin, H.; Neal, M.; Harischandra, D.S.; Gordon, R.; Kanthasamy, K.; Lawana, V.; Sarkar, S.; Luo, J.; et al. Fyn Kinase Regulates Microglial Neuroinflammatory Responses in Cell Culture and Animal Models of Parkinson’s Disease. J. Neurosci. 2015, 35, 10058–10077. [Google Scholar] [CrossRef] [PubMed]
- Pasinetti, G.M. Cyclooxygenase and inflammation in Alzheimer’s disease: Experimental approaches and clinical interventions. J. Neurosci. Res. 1998, 54, 1–6. [Google Scholar] [CrossRef]
- Corwin, C.; Nikolopoulou, A.; Pan, A.L.; Nunez-Santos, M.; Vallabhajosula, S.; Serrano, P. Prostaglandin D2/J2 signaling pathway in a rat model of neuroinflammation displaying progressive parkinsonian-like pathology: Potential novel therapeutic targets 11 Medical and Health Sciences 1109 Neurosciences. J. Neuroinflammation 2018, 15, 272. [Google Scholar] [CrossRef]
- L’Episcopo, F.; Tirolo, C.; Serapide, M.F.; Caniglia, S.; Testa, N.; Leggio, L.; Vivarelli, S.; Iraci, N.; Pluchino, S.; Marchetti, B. Microglia Polarization, Gene-Environment Interactions and Wnt/β-Catenin Signaling: Emerging Roles of Glia-Neuron and Glia-Stem/Neuroprogenitor Crosstalk for Dopaminergic Neurorestoration in Aged Parkinsonian Brain. Front. Aging Neurosci. 2018, 10, 12. [Google Scholar] [CrossRef] [PubMed]
- Liu, C.Y.; Wang, X.; Liu, C.; Zhang, H.L. Pharmacological Targeting of Microglial Activation: New Therapeutic Approach. Front. Cell. Neurosci. 2019, 13, 514. [Google Scholar] [CrossRef] [PubMed]
- Moore, A.H.; Bigbee, M.J.; Boynton, G.E.; Wakeham, C.M.; Rosenheim, H.M.; Staral, C.J.; Morrissey, J.L.; Hund, A.K. Non-Steroidal Anti-Inflammatory Drugs in Alzheimer’s Disease and Parkinson’s Disease: Reconsidering the Role of Neuroinflammation. Pharm. 2010, 3, 1812–1841. [Google Scholar] [CrossRef]
- Klegeris, A.; McGeer, P.L. Non-steroidal anti-inflammatory drugs (NSAIDs) and other anti-inflammatory agents in the treatment of neurodegenerative disease. Curr. Alzheimer Res. 2005, 2, 355–365. [Google Scholar] [CrossRef]
- Singh, A.; Tripathi, P.; Singh, S. Neuroinflammatory responses in Parkinson’s disease: Relevance of Ibuprofen in therapeutics. Inflammopharmacology 2020. [Google Scholar] [CrossRef]
- Ramazani, E.; Tayarani-Najaran, Z.; Fereidoni, M. Celecoxib, indomethacin and ibuprofen prevent 6-hydroxydopamine-induced PC12 cell death through the inhibition of NFκB and SAPK/JNK pathways. Iran. J. Basic Med. Sci. 2019, 22, 477–484. [Google Scholar]
- Gagne, J.J.; Power, M.C. Anti-inflammatory drugs and risk of Parkinson disease: A meta-analysis. Neurology 2010, 74, 995–1002. [Google Scholar] [CrossRef]
- Chen, H.; Jacobs, E.; Schwarzschild, M.A.; McCullough, M.L.; Calle, E.E.; Thun, M.J.; Ascherio, A. Nonsteroidal antiinflammatory drug use and the risk for Parkinson’s disease. Ann. Neurol. 2005, 58, 963–967. [Google Scholar] [CrossRef]
- Etminan, M.; Suissa, S. NSAID Use and the Risk of Parkinsons Disease. Curr. Drug Saf. 2008, 18, 223–225. [Google Scholar] [CrossRef]
- Hernán, M.A.; Logroscino, G.; Rodríguez, L.A.G. Nonsteroidal anti-inflammatory drugs and the incidence of Parkinson disease. Neurology 2006, 66, 1097–1099. [Google Scholar] [CrossRef]
- Bower, J.H.; Maraganore, D.M.; Peterson, B.J.; Ahlskog, J.E.; Rocca, W.A. Immunologic diseases, anti-inflammatory drugs, and Parkinson disease: A case-control study. Neurology 2006, 67, 494–496. [Google Scholar] [CrossRef] [PubMed]
- Becker, C.; Jick, S.S.; Meier, C.R. NSAID use and risk of Parkinson disease: A population-based case-control study. Eur. J. Neurol. 2011, 18, 1336–1342. [Google Scholar] [CrossRef] [PubMed]
- Manthripragada, A.D.; Schernhammer, E.; Qiu, J.; Friis, S.; Wermuth, L.; Olsen, J.H.; Ritz, B. Non-Steroidal Anti-Inflammatory Drug Use and the Risk of Parkinson’s Disease. Neuroepidemiology 2011, 36, 155–161. [Google Scholar] [CrossRef]
- Driver, J.A.; Logroscino, G.; Lu, L.; Gaziano, J.M.; Kurth, T. Use of non-steroidal anti-inflammatory drugs and risk of Parkinson’s disease: Nested case-control study. BMJ 2011, 342, d198. [Google Scholar] [CrossRef]
- Ren, L.; Yi, J.; Yang, J.; Li, P.; Cheng, X.; Mao, P. Nonsteroidal anti-inflammatory drugs use and risk of Parkinson disease: A dose–response meta-analysis. Medicine 2018. [Google Scholar] [CrossRef]
- Etminan, M.; Carleton, B.C.; Samii, A. Non-steroidal anti-inflammatory drug use and the risk of Parkinson disease: A retrospective cohort study. J. Clin. Neurosci. 2008, 15, 576–577. [Google Scholar] [CrossRef]
- Poly, T.N.; Islam, M.M.; Yang, H.C.; Li, Y.C.J. Non-steroidal anti-inflammatory drugs and risk of Parkinson’s disease in the elderly population: A meta-analysis. Eur. J. Clin. Pharmacol. 2019, 75, 99–108. [Google Scholar] [CrossRef]
- Agius, L.M. Neuroinflammation as the proximate cause of signature pathogenic pattern progression in amyotrophic lateral sclerosis, aids, and multiple sclerosis. Pathol. Res. Int. 2012, 2012, 169270. [Google Scholar] [CrossRef]
- Lee, J.; Hyeon, S.J.; Im, H.; Ryu, H.; Kim, Y.; Ryu, H. Astrocytes and microglia as non-cell autonomous players in the pathogenesis of ALS. Exp. Neurobiol. 2016, 25, 233–240. [Google Scholar] [CrossRef] [PubMed]
- Fondell, E.; O’Reilly, E.J.; Fitzgerald, K.C.; Falcone, G.J.; McCullough, M.L.; Thun, M.J.; Park, Y.; Kolonel, L.N.; Ascherio, A. Non-steroidal anti-inflammatory drugs and amyotrophic lateral sclerosis: Results from five prospective cohort studies. Amyotroph. Lateral Scler. 2012, 13, 573–579. [Google Scholar] [CrossRef]
- Tsai, C.P.; Lin, F.C.; Lee, J.K.W.; Lee, C.T.C. Aspirin use associated with amyotrophic lateral sclerosis: A total population-based case-control study. J. Epidemiol. 2015, 25, 172–177. [Google Scholar] [CrossRef]
- Popat, R.A.; Tanner, C.M.; Eeden, S.K.V.D.; Bernstein, A.L.; Bloch, D.A.; Leimpeter, A.; McGuire, V.; Nelson, L.M. Effect of non-steroidal anti-inflammatory medications on the risk of amyotrophic lateral sclerosis. Amyotroph. Lateral Scler. 2007, 8, 157–163. [Google Scholar] [CrossRef]
- Chang, M.C.; Kwak, S.G.; Park, J.S.; Park, D. The effectiveness of nonsteroidal anti-inflammatory drugs and acetaminophen in reduce the risk of amyotrophic lateral sclerosis? A meta-analysis. Sci. Rep. 2020, 10, 14759. [Google Scholar] [CrossRef]
- Parepally, J.M.; Mandula, H.; Smith, Q.R. Brain uptake of nonsteroidal anti-inflammatory drugs: Ibuprofen, flurbiprofen, and indomethacin. Pharm. Res. 2006, 23, 873–881. [Google Scholar] [CrossRef]
- Zhou, Y.; Dial, E.J.; Doyen, R.; Lichtenberger, L.M. Effect of indomethacin on bile acid-phospholipid interactions: Implication for small intestinal injury induced by nonsteroidal anti-inflammatory drugs. Am. J. Physiol. Gastrointest. Liver Physiol. 2010, 298, G722–G731. [Google Scholar] [CrossRef]
- Ajmone-Cat, M.A.; Bernardo, A.; Greco, A.; Minghetti, L. Non-steroidal anti-inflammatory drugs and brain inflammation: Effects on microglial functions. Pharmaceuticals 2010, 3, 1949–1964. [Google Scholar] [CrossRef]
- Day, R.O.; Brooks, P.M. Variations in response to non-steroidal anti-inflammatory drugs. Br. J. Clin. Pharmacol. 1987, 23, 655–658. [Google Scholar] [CrossRef]
- Huguenin, S.; Vacherot, F.; Kheuang, L.; Fleury-Feith, J.; Jaurand, M.-C.; Bolla, M.; Riffaud, J.-P.; Chopin, M.K. Antiproliferative effect of nitrosulindac (NCX 1102), a new nitric oxide-donating non-steroidal anti-inflammatory drug, on human bladder carcinoma cell lines. Mol. Cancer Ther. 2004, 3, 291–298. [Google Scholar]
- Gebril, S.M.; Ito, Y.; Shibata, M.; Maemura, K.; Abu-Dief, E.E.; Hussein, M.R.A.; Abdelaal, U.M.; Elsayed, H.M.; Otsuki, Y.; Higuchi, K. Indomethacin can induce cell death in rat gastric parietal cells through alteration of some apoptosis- and autophagy-associated molecules. Int. J. Exp. Pathol. 2020, 101, 230–247. [Google Scholar] [CrossRef]
- Fecker, L.F.; Stockfleth, E.; Nindl, I.; Ulrich, C.; Forschner, T.; Eberle, J. The role of apoptosis in therapy and prophylaxis of epithelial tumours by nonsteroidal anti-inflammatory drugs (NSAIDs). Br. J. Dermatol. 2007, 156, 25–33. [Google Scholar] [CrossRef]
- Chiou, S.K.; Hoa, N.; Hodges, A. Sulindac sulfide induces autophagic death in gastric epithelial cells via Survivin down-regulation: A mechanism of NSAIDs-induced gastric injury. Biochem. Pharmacol. 2011, 81, 1317–1323. [Google Scholar] [CrossRef] [PubMed]
- Gao, J.; Liu, X.; Rigas, B. Nitric oxide-donating aspirin induces apoptosis in human colon cancer cells through induction of oxidative stress. Proc. Natl. Acad. Sci. USA 2005, 102, 17207–17212. [Google Scholar] [CrossRef] [PubMed]
- Hundley, T.R.; Rigas, B. Nitric oxide-donating aspirin inhibits colon cancer cell growth via mitogen-activated protein kinase activation. J. Pharmacol. Exp. Ther. 2006, 316, 25–34. [Google Scholar] [CrossRef]
- Hynes, J., Jr.; Leftheris, K. Small Molecule p38 Inhibitors: Novel Structural Features and Advances from 2002–2005. Curr. Top. Med. Chem. 2005, 5, 967–985. [Google Scholar] [CrossRef]
- Kashfi, K.; Rigas, B. Non-COX-2 targets and cancer: Expanding the molecular target repertoire of chemoprevention. Biochem. Pharmacol. 2005, 70, 969–986. [Google Scholar] [CrossRef]
- Rigas, B.; Shiff, S.J. Nonsteroidal anti-inflammatory drugs and the induction of apoptosis in colon cells: Evidence for PHS-dependent and PHS-independent mechanisms. Apoptosis 1999, 4, 373–381. [Google Scholar] [CrossRef]
- Wang, D.; Dubois, R.N. The role of COX-2 in intestinal inflammation and colorectal cancer. Oncogene 2010, 29, 781–788. [Google Scholar] [CrossRef] [PubMed]
- Qiu, W.; Wang, X.; Leibowitz, B.; Liu, H.; Barker, N.; Okada, H.; Oue, N.; Yasui, W.; Clevers, H.; Schoen, R.E.; et al. Chemoprevention by nonsteroidal anti-inflammatory drugs eliminates oncogenic intestinal stem cells via SMAC-dependent apoptosis. Proc. Natl. Acad. Sci. USA 2010, 107, 20027–20032. [Google Scholar] [CrossRef] [PubMed]
- Chan, A.T.; Ogino, S.; Fuchs, C.S. Aspirin and the Risk of Colorectal Cancer in Relation to the Expression of COX-2. N. Engl. J. Med. 2007, 356, 2131–2142. [Google Scholar] [CrossRef] [PubMed]
- Fischer, S.; Hawk, E.; Lubet, R. Non-steroidal anti-inflammatory drugs and coxibs in chemoprevention: A commentary based primarily on animal studies. Cancer Prev. Res. 2011, 4, 1728–1735. [Google Scholar] [CrossRef] [PubMed]
- Liggett, J.L.; Zhang, X.; Eling, T.E.; Baek, S.J. Anti-tumor activity of non-steroidal anti-inflammatory drugs: Cyclooxygenase-independent targets. Cancer Lett. 2014, 346, 217–224. [Google Scholar] [CrossRef]
- Eling, T.E.; Baek, S.J.; Shim, M.; Lee, C.H. NSAID activated gene (NAG-1), a modulator of tumorigenesis. J. Biochem. Mol. Biol. 2006, 39, 649–655. [Google Scholar] [CrossRef]
- Jang, T.J.; Kang, H.J.; Kim, J.R.; Yang, C.H. Non-steroidal anti-inflammatory drug activated gene (NAG-1) expression is closely related to death receptor-4 and -5 induction, which may explain sulindac sulfide induced gastric cancer cell apoptosis. Carcinogenesis 2004, 25, 1853–1858. [Google Scholar] [CrossRef][Green Version]
- Jang, T.J.; Kim, N.I.; Lee, C.H. Proapoptotic activity of NAG-1 is cell type specific and not related to COX-2 expression. Apoptosis 2006, 11, 1131–1138. [Google Scholar] [CrossRef]
- Wang, X.; Baek, S.J.; Eling, T.E. The diverse roles of nonsteroidal anti-inflammatory drug activated gene (NAG-1/GDF15) in cancer. Biochem. Pharmacol. 2013, 85, 597–606. [Google Scholar] [CrossRef]
- Kim, J.; Noh, M.H.; Hur, D.Y.; Kim, B.; Kim, Y.S.; Lee, H.K. Celecoxib upregulates ULBP 1 expression in lung cancer cells via the JNK/PI3K signaling pathway and increases susceptibility to natural killer cell cytotoxicity. Oncol. Lett. 2020, 20, 279. [Google Scholar] [CrossRef]
- Poku, R.A.; Jones, K.J.; van Baren, M.; Alan, J.K.; Amissah, F. Diclofenac enhances docosahexaenoic acid-induced apoptosis in vitro in lung cancer cells. Cancers 2020, 12, 1–19. [Google Scholar] [CrossRef]
- Duran, A.; Linares, J.F.; Galvez, A.S.; Wikenheiser, K.; Flores, J.M.; Diaz-Meco, M.T.; Moscat, J. The Signaling Adaptor p62 Is an Important NF-κB Mediator in Tumorigenesis. Cancer Cell 2008, 13, 343–354. [Google Scholar] [CrossRef]
- Luo, S.; Rubinsztein, D.C. Atg5 and Bcl-2 provide novel insights into the interplay between apoptosis and autophagy. Cell Death Differ. 2007, 12, 47–50. [Google Scholar] [CrossRef]
- He, T.C.; Chan, T.A.; Vogelstein, B.; Kinzler, K.W. PPARδ is an APC-regulated target of nonsteroidal anti-inflammatory drugs. Cell 1999, 99, 335–345. [Google Scholar] [CrossRef]
- Liu, M.; Li, C.-M.; Chen, Z.-F.; Ji, R.; Guo, Q.-H.; Li, Q.; Zhang, H.-L.; Zhou, Y.-N. Celecoxib regulates apoptosis and autophagy via the PI3K/Akt signaling pathway in SGC-7901 gastric cancer cells. Int. J. Mol. Med. 2014, 33, 1451–1458. [Google Scholar] [CrossRef]
- Kaneko, S.; Kaneko, M.; Fukushima, T. Enhanced antitumor effect of lower-dose and longer-term CPT-11 treatment in combination with low-dose celecoxib against neuroblastoma xenografts. Int. J. Clin. Oncol. 2013, 18, 116–125. [Google Scholar] [CrossRef]
- Crighton, D.; Wilkinson, S.; O’Prey, J.; Syed, N.; Smith, P.; Harrison, P.R.; Gasco, M.; Garrone, O.; Crook, T.; Ryan, K.M. DRAM, a p53-Induced Modulator of Autophagy, Is Critical for Apoptosis. Cell 2006, 126, 121–134. [Google Scholar] [CrossRef]
- Johnson, A.J.; Hsu, A.L.; Lin, H.P.; Song, X.; Chen, C.S. The cyclo-oxygenase-2 inhibitor celecoxib perturbs intracellular calcium by inhibiting endoplasmic reticulum Ca2+-ATPases: A plausible link with its anti-tumour effect and cardiovascular risks. Biochem. J. 2002, 366, 831–837. [Google Scholar] [CrossRef] [PubMed]
- Kroemer, G.; Mariño, G.; Levine, B. Autophagy and the Integrated Stress Response. Mol. Cell 2010, 40, 280–293. [Google Scholar] [CrossRef] [PubMed]
- Kim, Y.C.; Guan, K.L. MTOR: A pharmacologic target for autophagy regulation. J. Clin. Investig. 2015, 125, 25–32. [Google Scholar] [CrossRef] [PubMed]
- Chapuis, N.; Tamburini, J.; Green, A.S.; Willems, L.; Bardet, V.; Park, S.; Lacombe, C.; Mayeux, P.; Bouscary, D. Perspectives on inhibiting mTOR as a future treatment strategy for hematological malignancies. Leukemia 2010, 24, 1686–1699. [Google Scholar] [CrossRef]
- Nelson, J.E.; Harris, R.E. Inverse association of prostate cancer and non-steroidal anti-inflammatory drugs (NSAIDs): Results of a case-control study. Oncol. Rep. 2000, 7, 169–170. [Google Scholar] [CrossRef]
- Harris, R.E. Cyclooxygenase-2 (cox-2) blockade in the chemoprevention of cancers of the colon, breast, prostate, and lung. Inflammopharmacology 2009, 17, 55–67. [Google Scholar] [CrossRef]
- Harris, R. Inverse association of non-steroidal anti-inflammatory drugs and malignant melanoma among women. Oncol. Rep. 2001, 8, 655–657. [Google Scholar] [CrossRef]
- Harris, R.E.; Beebe-Donk, J.; Doss, H.; Burr Doss, D. Aspirin, ibuprofen, and other non-steroidal anti-inflammatory drugs in cancer prevention: A critical review of non-selective COX-2 blockade (review). Oncol. Rep. 2005, 13, 559–583. [Google Scholar] [CrossRef]
- Clarke, C.A.; Canchola, A.J.; Moy, L.M.; Neuhausen, S.L.; Chung, N.T.; Jr, J.V.L.; Bernstein, L. Regular and low-dose aspirin, other non-steroidal anti-inflammatory medications and prospective risk of HER2-defined breast cancer: The California Teachers Study. Breast Cancer Res. 2017, 19, 1–12. [Google Scholar] [CrossRef]
- Marshall, S.F.; Bernstein, L.; Anton-Culver, H.; Deapen, D.; Horn-Ross, P.L.; Mohrenweiser, H.; Peel, D.; Pinder, R.; Purdie, D.M.; Reynolds, P.; et al. Nonsteroidal Anti-Inflammatory Drug Use and Breast Cancer Risk by Stage and Hormone Receptor Status. J. Natl. Cancer Inst. 2005, 97, 805–812. [Google Scholar] [CrossRef]
- Gill, J.K.; Maskarinec, G.; Wilkens, L.R.; Pike, M.C.; Henderson, B.E.; Kolonel, L.N. Nonsteroidal Antiinflammatory Drugs and Breast Cancer Risk: The Multiethnic Cohort. Am. J. Epidemiol. 2007, 166, 1150–1158. [Google Scholar] [CrossRef]
- Cairat, M.; al Rahmoun, M.; Gunter, M.J.; Severi, G.; Dossus, L.; Fournier, A. Use of nonsteroidal anti-inflammatory drugs and breast cancer risk in a prospective cohort of postmenopausal women. Breast Cancer Res. 2020, 22, 118. [Google Scholar] [CrossRef]
- Bittoni, M.A.; Carbone, D.P.; Harris, R.E. Ibuprofen and fatal lung cancer: A brief report of the prospective results from the Third National Health and Nutrition Examination Survey (NHANES III). Mol. Clin. Oncol. 2017, 6, 917–920. [Google Scholar] [CrossRef]
- Jacob, S.; Laury-Kleintop, L.; Lanza-Jacoby, S. The Select Cyclooxygenase-2 Inhibitor Celecoxib Reduced the Extent of Atherosclerosis in Apo E−/− Mice. J. Surg. Res. 2008, 146, 135–142. [Google Scholar] [CrossRef]
- Catella-Lawson, F.; Reilly, M.; Kapoor, S.C.; Cucchiara, A.J.; Demarco, S.; Tournier, B.; Vyas, S.N.; Fitzgerald, G.A. Cyclooxygenase Inhibitors and the Antiplatelet Effects of Aspirin. New Engl. J. Med. 2001, 345, 1809–1817. [Google Scholar] [CrossRef]
- Burleigh, M.E.; Babaev, V.R.; Oates, J.A.; Harris, R.C.; Gautam, S.; Riendeau, D.; Marnett, L.J.; Morrow, J.D.; Fazio, S.; Linton, M.F. Cyclooxygenase-2 Promotes Early Atherosclerotic Lesion Formation in LDL Receptor–Deficient Mice. Circ. 2002, 105, 1816–1823. [Google Scholar] [CrossRef]
- Cipollone, F.; Prontera, C.; Pini, B.; Marini, M.; Fazia, M.; De Cesare, D.; Iezzi, A.; Ucchino, S.; Boccoli, G.; Saba, V.; et al. Overexpression of Functionally Coupled Cyclooxygenase-2 and Prostaglandin E Synthase in Symptomatic Atherosclerotic Plaques as a Basis of Prostaglandin E 2 -Dependent Plaque Instability. Circ. 2001, 104, 921–927. [Google Scholar] [CrossRef]
- Zhao, S.-P.; Deng, P.; Huang, H.-G.; Xu, Z.-M.; Dai, H.-Y.; Hong, S.-C.; Yang, J.; Zhou, H.-N. Expression of COX-2 mRNA in Peripheral Blood Monocytes from Patients with Acute Myocardial Infarction and Its Significance. Clin. Chem. 2005, 51, 2170–2173. [Google Scholar] [CrossRef][Green Version]
- Cuccurullo, C.; Mezzetti, A.; Cipollone, F. COX-2 and the vasculature: Angel of evil? Curr. Hypertens. Rep. 2007, 9, 73–80. [Google Scholar] [CrossRef]
- Press Release European Medicines Agency Concludes Action on COX-2 Inhibitors. Available online: http://www.emea.eu.int (accessed on 1 June 2021).
- Gislason, G.H.; Jacobsen, S.; Rasmussen, J.N.; Rasmussen, S.; Buch, P.; Friberg, J.; Schramm, T.K.; Abildstrom, S.Z.; Køber, L.; Madsen, M.; et al. Risk of Death or Reinfarction Associated With the Use of Selective Cyclooxygenase-2 Inhibitors and Nonselective Nonsteroidal Antiinflammatory Drugs After Acute Myocardial Infarction. Circulation 2006, 113, 2906–2913. [Google Scholar] [CrossRef]
- Ozdol, C.; Gulec, S.; Rahimov, U.; Atmaca, Y.; Turhan, S.; Erol, C. Naproxen treatment prevents periprocedural inflammatory response but not myocardial injury after percutaneous coronary intervention. Thromb. Res. 2007, 119, 453–459. [Google Scholar] [CrossRef]
- Saadeddin, S.M. Percutaneous coronary intervention in the context of systemic inflammation: More injury and worse outcome. Med. Sci. Monit. 2003, 27, RA193–RA197. [Google Scholar]
- Pelliccia, F.; Pasceri, V.; Granatelli, A.; Pristipino, C.; Speciale, G.; Roncella, A.; Cianfrocca, C.; Mercuro, G.; Richichi, G. Safety and Efficacy of Short-Term Celecoxib Before Elective Percutaneous Coronary Intervention for Stable Angina Pectoris. Am. J. Cardiol. 2006, 98, 1461–1463. [Google Scholar] [CrossRef]
- Koo, B.-K.; Kim, Y.-S.; Park, K.-W.; Yang, H.-M.; Kwon, D.-A.; Chung, J.-W.; Hahn, J.-Y.; Lee, H.-Y.; Park, J.-S.; Kang, H.-J.; et al. Effect of celecoxib on restenosis after coronary angioplasty with a Taxus stent (COREA-TAXUS trial): An open-label randomised controlled study. Lancet 2007, 370, 567–574. [Google Scholar] [CrossRef]
- Chung, J.W.; Yang, H.M.; Park, K.W.; Lee, H.Y.; Park, J.S.; Kang, H.J. Long-term outcome of adjunctive celecoxib treatment after paclitaxel-eluting stent implantation for the complex coronary lesions: Two-year clinical follow-up of COREA-TAXUS trial. Circulation 2010, 3, 243–248. [Google Scholar] [CrossRef]
- Bally, M.; Beauchamp, M.E.; Abrahamowicz, M.; Nadeau, L.; Brophy, J.M. Risk of acute myocardial infarction with real-world NSAIDs depends on dose and timing of exposure. Pharmacoepidemiol. Drug Saf. 2018, 27, 69–77. [Google Scholar] [CrossRef]
- Wang, M.; Li, J.; Cai, J.; Cheng, L.; Wang, X.; Xu, P.; Li, G.; Liang, X. Overexpression of MicroRNA-16 Alleviates Atherosclerosis by Inhibition of Inflammatory Pathways. BioMed Res. Int. 2020, 2020, 1–12. [Google Scholar] [CrossRef]
- Zhang, Y.H.; He, K.; Shi, G. Effects of MicroRNA-499 On the Inflammatory Damage of Endothelial Cells during Coronary Artery Disease Via the Targeting of PDCD4 Through the NF-Κβ/TNF-α Signaling Pathway. Cell. Physiol. Biochem. 2017, 44, 110–124. [Google Scholar] [CrossRef] [PubMed]
- Schmidt, M.I.; Duncan, B.B.; Sharrett, A.R.; Lindberg, G.; Savage, P.J.; Offenbacher, S.; Azambuja, M.I.; Tracy, R.P.; Heiss, G. Markers of inflammation and prediction of diabetes mellitus in adults (Atherosclerosis Risk in Communities study): A cohort study. Lancet 1999, 353, 1649–1652. [Google Scholar] [CrossRef]
- Pradhan, A.D.; Manson, J.E.; Rifai, N.; Buring, J.E.; Ridker, P.M. C-reactive protein, interleukin 6, and risk of developing type 2 diabetes mellitus. J. Am. Med. Assoc. 2001, 286, 327–334. [Google Scholar] [CrossRef] [PubMed]
- Goldfine, A.B.; Silver, R.; Aldhahi, W.; Cai, D.; Tatro, E.; Lee, J.; Shoelson, S.E. Use of Salsalate to Target Inflammation in the Treatment of Insulin Resistance and Type 2 Diabetes. Clin. Transl. Sci. 2008, 1, 36–43. [Google Scholar] [CrossRef] [PubMed]
- Fleischman, A.; Shoelson, S.E.; Bernier, R.; Goldfine, A.B. Salsalate improves glycemia and inflammatory parameters in obese young adults. Diabetes Care 2008, 31, 289–294. [Google Scholar] [CrossRef] [PubMed]
- Eming, S.A.; Martin, P.; Tomic-Canic, M. Wound repair and regeneration: Mechanisms, signaling, and translation. Sci. Transl. Med. 2014, 6, 265sr6. [Google Scholar] [CrossRef]
- Mirza, R.E.; Fang, M.M.; Ennis, W.J.; Kohl, T.J. Blocking interleukin-1β induces a healing-associated wound macrophage phenotype and improves healing in type 2 diabetes. Diabetes 2013, 62, 2579–2587. [Google Scholar] [CrossRef]
- Mirza, R.E.; Fang, M.M.; Novak, M.L.; Urao, N.; Sui, A.; Ennis, W.J.; Koh, T.J. Macrophage PPARγ and impaired wound healing in type 2 diabetes. J. Pathol. 2015, 236, 433–444. [Google Scholar] [CrossRef]
- Salazar, J.J.; Ennis, W.J.; Koh, T.J. Diabetes medications: Impact on inflammation and wound healing. J. Diabetes Complicat. 2016, 30, 746–752. [Google Scholar] [CrossRef]


Publisher’s Note: MDPI stays neutral with regard to jurisdictional claims in published maps and institutional affiliations. |
© 2021 by the author. Licensee MDPI, Basel, Switzerland. This article is an open access article distributed under the terms and conditions of the Creative Commons Attribution (CC BY) license (https://creativecommons.org/licenses/by/4.0/).
Share and Cite
Kaduševičius, E. Novel Applications of NSAIDs: Insight and Future Perspectives in Cardiovascular, Neurodegenerative, Diabetes and Cancer Disease Therapy. Int. J. Mol. Sci. 2021, 22, 6637. https://doi.org/10.3390/ijms22126637
Kaduševičius E. Novel Applications of NSAIDs: Insight and Future Perspectives in Cardiovascular, Neurodegenerative, Diabetes and Cancer Disease Therapy. International Journal of Molecular Sciences. 2021; 22(12):6637. https://doi.org/10.3390/ijms22126637
Chicago/Turabian StyleKaduševičius, Edmundas. 2021. "Novel Applications of NSAIDs: Insight and Future Perspectives in Cardiovascular, Neurodegenerative, Diabetes and Cancer Disease Therapy" International Journal of Molecular Sciences 22, no. 12: 6637. https://doi.org/10.3390/ijms22126637
APA StyleKaduševičius, E. (2021). Novel Applications of NSAIDs: Insight and Future Perspectives in Cardiovascular, Neurodegenerative, Diabetes and Cancer Disease Therapy. International Journal of Molecular Sciences, 22(12), 6637. https://doi.org/10.3390/ijms22126637
