RNA-Seq Data-Mining Allows the Discovery of Two Long Non-Coding RNA Biomarkers of Viral Infection in Humans
Abstract
1. Introduction
2. Results
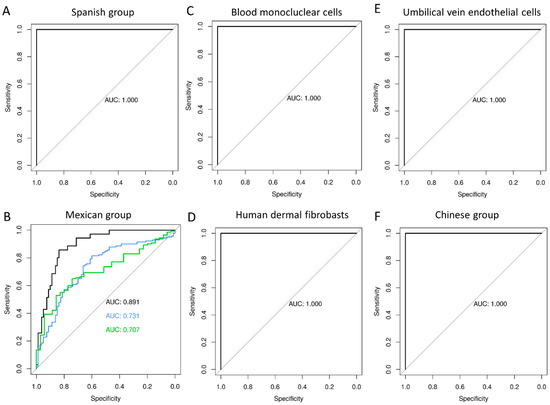
2.1. Evaluation of lncRNAs in the Context of Viral Infection
- Influenza versus controls (PRJNA230906), AUC = 100% (CI95%: 100–100%)
- Dengue versus controls (GSE98859), AUC = 100% (CI95%: 100–100%)
- Enterovirus/coxsakie virus (GSE94551) versus controls, AUC = 100% (CI95%: 100–100%)
- RV versus controls (PRJNA325575), AUC = 100% (CI95%: 100–100%)
- RV/norovirus/adenovirus versus controls (GSE69529), AUC = 89% (CI95%: 83–95%)
- E. coli/Salmonella/Shigella versus controls (GSE69529), AUC = 70% (CI95%: 62–79%)
- E. coli/Salmonella/Shigella versus RV/norovirus/adenovirus, AUC = 73% (CI95%: 66–80%)
- Varicella zoster versus controls (GSE121385), AUC = 100% (CI95%: 100–100%).
2.2. The efficiency of lncRNAs versus Other Minimal Transcriptomic Signatures
- Influenza versus controls (PRJNA230906), AUClncRNAs + IFI44L + FAM89A = 100% (CI95%: 100–100%),
- Dengue versus controls (GSE98859), AUClncRNAs + IFI44L + FAM89A = 100% (CI95%: 100–100%),
- Enterovirus/coxsakie virus (GSE94551) versus controls, AUClncRNAs + IFI44L + FAM89A = NE; meaning that at least one of the genes of the signature was not expressed (NE) and the score could not be calculated,
- RV versus healthy controls (PRJNA325575), AUClncRNAs + IFI44L + FAM89A = 100% (CI95%: 100–100%),
- RV/norovirus/adenovirus versus controls (GSE69529), AUClncRNAs + IFI44L + FAM89A = 85% (CI95%: 77–92%),
- E. coli/Salmonella/Shigella versus controls (GSE69529), AUClncRNAs + IFI44L + FAM89A = 75% (CI95%: 68–82%),
- E. coli/Salmonella/Shigella versus RV/norovirus/adenovirus, AUClncRNAs + IFI44L + FAM89A = 68% (CI95%: 58–78%),
- Varicella zoster versus controls (GSE121385), AUClncRNAs + IFI44L + FAM89A = 100% (CI95%: 100–100%).
3. Discussion
4. Conclusions
5. Material and Methods
5.1. Sample Groups
5.2. Data Processing and Statistical Analysis
Supplementary Materials
Author Contributions
Funding
Acknowledgments
Conflicts of Interest
References
- Gill, J.M.; Fleischut, P.; Haas, S.; Pellini, B.; Crawford, A.; Nash, D.B. Use of antibiotics for adult upper respiratory infections in outpatient settings: A national ambulatory network study. Fam. Med. 2006, 38, 349–354. [Google Scholar]
- Fleming-Dutra, K.E.; Hersh, A.L.; Shapiro, D.J.; Bartoces, M.; Enns, E.A.; File, T.M., Jr.; Finkelstein, J.A.; Gerber, J.S.; Hyun, D.Y.; Linder, J.A.; et al. Prevalence of inappropriate antibiotic prescriptions among us ambulatory care visits, 2010–2011. JAMA 2016, 315, 1864–1873. [Google Scholar] [CrossRef]
- Zaman, S.B.; Hussain, M.A.; Nye, R.; Mehta, V.; Mamun, K.T.; Hossain, N. A review on antibiotic resistance: Alarm bells are ringing. Cureus 2017, 9, e1403. [Google Scholar] [CrossRef] [PubMed]
- Charalampous, T.; Kay, G.L.; Richardson, H.; Aydin, A.; Baldan, R.; Jeanes, C.; Rae, D.; Grundy, S.; Turner, D.J.; Wain, J.; et al. Nanopore metagenomics enables rapid clinical diagnosis of bacterial lower respiratory infection. Nat. Biotechnol. 2019, 37, 783–792. [Google Scholar] [CrossRef] [PubMed]
- Cookson, W.; Cox, M.J.; Moffatt, M.F. New opportunities for managing acute and chronic lung infections. Nat. Rev. Microbiol 2018, 16, 111–120. [Google Scholar] [CrossRef] [PubMed]
- Roson, B.; Carratala, J.; Verdaguer, R.; Dorca, J.; Manresa, F.; Gudiol, F. Prospective study of the usefulness of sputum gram stain in the initial approach to community-acquired pneumonia requiring hospitalization. Clin. Infect. Dis. 2000, 31, 869–874. [Google Scholar] [CrossRef]
- Martinón-Torres, F.; Salas, A.; Rivero-Calle, I.; Cebey-López, M.; Pardo-Seco, J.; Herberg, J.A.; Boeddha, N.P.; Klobassa, D.S.; Secka, F.; Paulus, S.; et al. Life-threatening infections in children in europe (the euclids project): A prospective cohort study. Lancet Child Adolesc. Health 2018, 2, 404–414. [Google Scholar] [CrossRef]
- Ramilo, O.; Allman, W.; Chung, W.; Mejias, A.; Ardura, M.; Glaser, C.; Wittkowski, K.M.; Piqueras, B.; Banchereau, J.; Palucka, A.K.; et al. Gene expression patterns in blood leukocytes discriminate patients with acute infections. Blood 2007, 109, 2066–2077. [Google Scholar] [CrossRef]
- van Houten, C.B.; de Groot, J.A.H.; Klein, A.; Srugo, I.; Chistyakov, I.; de Waal, W.; Meijssen, C.B.; Avis, W.; Wolfs, T.F.W.; Shachor-Meyouhas, Y.; et al. A host-protein based assay to differentiate between bacterial and viral infections in preschool children (opportunity): A double-blind, multicentre, validation study. Lancet Infect. Dis. 2017, 17, 431–440. [Google Scholar] [CrossRef]
- Srugo, I.; Klein, A.; Stein, M.; Golan-Shany, O.; Kerem, N.; Chistyakov, I.; Genizi, J.; Glazer, O.; Yaniv, L.; German, A.; et al. Validation of a novel assay to distinguish bacterial and viral infections. Pediatrics 2017, 140. [Google Scholar] [CrossRef]
- Mahajan, P.; Kuppermann, N.; Mejias, A.; Suarez, N.; Chaussabel, D.; Casper, T.C.; Smith, B.; Alpern, E.R.; Anders, J.; Atabaki, S.M.; et al. Association of rna biosignatures with bacterial infections in febrile infants aged 60 days or younger. JAMA 2016, 316, 846–857. [Google Scholar] [CrossRef] [PubMed]
- Kaforou, M.; Herberg, J.A.; Wright, V.J.; Coin, L.J.M.; Levin, M. Diagnosis of bacterial infection using a 2-transcript host rna signature in febrile infants 60 days or younger. JAMA 2017, 317, 1577–1578. [Google Scholar] [CrossRef] [PubMed]
- Herberg, J.A.; Kaforou, M.; Wright, V.J.; Shailes, H.; Eleftherohorinou, H.; Hoggart, C.J.; Cebey-López, M.; Carter, M.J.; Janes, V.A.; Gormley, S.; et al. Diagnostic test accuracy of a 2-transcript host rna signature for discriminating bacterial vs viral infection in febrile children. JAMA 2016, 316, 835–845. [Google Scholar] [CrossRef] [PubMed]
- Bhattacharya, S.; Rosenberg, A.F.; Peterson, D.R.; Grzesik, K.; Baran, A.M.; Ashton, J.M.; Gill, S.R.; Corbett, A.M.; Holden-Wiltse, J.; Topham, D.J.; et al. Transcriptomic biomarkers to discriminate bacterial from nonbacterial infection in adults hospitalized with respiratory illness. Sci. Rep. 2017, 7, 6548. [Google Scholar] [CrossRef] [PubMed]
- Sampson, D.L.; Fox, B.A.; Yager, T.D.; Bhide, S.; Cermelli, S.; McHugh, L.C.; Seldon, T.A.; Brandon, R.A.; Sullivan, E.; Zimmerman, J.J.; et al. A four-biomarker blood signature discriminates systemic inflammation due to viral infection versus other etiologies. Sci. Rep. 2017, 7, 2914. [Google Scholar] [CrossRef] [PubMed]
- Barral-Arca, R.; Gómez-Carballa, A.; Cebey-López, M.; Bello, X.; Martinón-Torres, F.; Salas, A. A meta-analysis of multiple whole blood gene expression data unveils a diagnostic host-response transcript signature for respiratory syncytial virus. Int. J. Mol. Sci. 2020, 21, 1831. [Google Scholar] [CrossRef]
- Salas, A.; Pardo-Seco, J.; Barral-Arca, R.; Cebey-López, M.; Gómez-Carballa, A.; Rivero-Calle, I.; Pischedda, S.; Curras-Tuala, M.J.; Amigo, J.; Gómez-Rial, J.; et al. Whole exome sequencing identifies new host genomic susceptibility factors in empyema caused by streptococcus pneumoniae in children: A pilot study. Genes (Basel) 2018, 9, 240. [Google Scholar] [CrossRef]
- Borghini, L.; Png, E.; Binder, A.; Wright, V.J.; Pinnock, E.; de Groot, R.; Hazelzet, J.; Emonts, M.; Van der Flier, M.; Schlapbach, L.J.; et al. Identification of regulatory variants associated with genetic susceptibility to meningococcal disease. Sci. Rep. 2019, 9, 6966. [Google Scholar] [CrossRef]
- Davila, S.; Wright, V.J.; Khor, C.C.; Sim, K.S.; Binder, A.; Breunis, W.B.; Inwald, D.; Nadel, S.; Betts, H.; Carrol, E.D.; et al. Genome-wide association study identifies variants in the cfh region associated with host susceptibility to meningococcal disease. Nat. Genet. 2010, 42, 772–776. [Google Scholar]
- Martinon-Torres, F.; Png, E.; Khor, C.C.; Davila, S.; Wright, V.J.; Sim, K.S.; Vega, A.; Fachal, L.; Inwald, D.; Nadel, S.; et al. Natural resistance to meningococcal disease related to cfh loci: Meta-analysis of genome-wide association studies. Sci. Rep. 2016, 6, 35842. [Google Scholar] [CrossRef]
- Salas, A.; Pardo-Seco, J.; Cebey-López, M.; Gómez-Carballa, A.; Obando-Pacheco, P.; Rivero-Calle, I.; Curras-Tuala, M.J.; Amigo, J.; Gómez-Rial, J.; Martinón-Torres, F.; et al. Whole exome sequencing reveals new candidate genes in host genomic susceptibility to respiratory syncytial virus disease. Sci. Rep. 2017, 7, 15888. [Google Scholar] [CrossRef] [PubMed]
- Yan, Y.; Ye, W.; Chen, Q.; Yang, L.; Zhang, L.; Liu, Y.; Zhou, X.; Wang, G. Differential expression profile of long non-coding rna in the stenosis tissue of arteriovenous fistula. Gene 2018, 664, 127–138. [Google Scholar] [CrossRef] [PubMed]
- Barral-Arca, R.; Pardo-Seco, J.; Martinón-Torres, F.; Salas, A. A 2-transcript host cell signature distinguishes viral from bacterial diarrhea and it is influenced by the severity of symptoms. Sci. Rep. 2018, 8, 8043. [Google Scholar] [CrossRef] [PubMed]
- Gómez-Carballa, A.; Cebey-López, M.; Pardo-Seco, J.; Barral-Arca, R.; Rivero-Calle, I.; Pischedda, S.; Curras-Tuala, M.J.; Gómez-Rial, J.; Barros, F.; Martinón-Torres, F.; et al. A qpcr expression assay of ifi44l gene differentiates viral from bacterial infections in febrile children. Sci. Rep. 2019, 9, 11780. [Google Scholar] [CrossRef] [PubMed]
- Consortium, E.P.; Birney, E.; Stamatoyannopoulos, J.A.; Dutta, A.; Guigo, R.; Gingeras, T.R.; Margulies, E.H.; Weng, Z.; Snyder, M.; Dermitzakis, E.T.; et al. Identification and analysis of functional elements in 1% of the human genome by the encode pilot project. Nature 2007, 447, 799–816. [Google Scholar] [CrossRef] [PubMed]
- Salas, A.; Marco-Puche, G.; Trivino, J.C.; Gomez-Carballa, A.; Cebey-Lopez, M.; Rivero-Calle, I.; Vilanova-Trillo, L.; Rodriguez-Tenreiro, C.; Gomez-Rial, J.; Martinon-Torres, F. Strong down-regulation of glycophorin genes: A host defense mechanism against rotavirus infection. Infect. Genet. Evol. 2016, 44, 403–411. [Google Scholar] [CrossRef]
- Carninci, P.; Yasuda, J.; Hayashizaki, Y. Multifaceted mammalian transcriptome. Curr. Opin. Cell Biol. 2008, 20, 274–280. [Google Scholar] [CrossRef]
- Geisler, S.; Coller, J. Rna in unexpected places: Long non-coding rna functions in diverse cellular contexts. Nat. Rev. Mol. Cell Biol. 2013, 14, 699–712. [Google Scholar] [CrossRef]
- Mercer, T.R.; Dinger, M.E.; Mattick, J.S. Long non-coding rnas: Insights into functions. Nat. Rev. Genet. 2009, 10, 155–159. [Google Scholar] [CrossRef]
- Heward, J.A.; Lindsay, M.A. Long non-coding rnas in the regulation of the immune response. Trends Immunol. 2014, 35, 408–419. [Google Scholar] [CrossRef]
- Peng, X.; Gralinski, L.; Armour, C.D.; Ferris, M.T.; Thomas, M.J.; Proll, S.; Bradel-Tretheway, B.G.; Korth, M.J.; Castle, J.C.; Biery, M.C.; et al. Unique signatures of long noncoding rna expression in response to virus infection and altered innate immune signaling. mBio 2010, 1. [Google Scholar] [CrossRef] [PubMed]
- Gomez, J.A.; Wapinski, O.L.; Yang, Y.W.; Bureau, J.F.; Gopinath, S.; Monack, D.M.; Chang, H.Y.; Brahic, M.; Kirkegaard, K. The nest long ncrna controls microbial susceptibility and epigenetic activation of the interferon-gamma locus. Cell 2013, 152, 743–754. [Google Scholar] [CrossRef] [PubMed]
- Zhang, Q.; Chen, C.Y.; Yedavalli, V.S.; Jeang, K.T. Neat1 long noncoding rna and paraspeckle bodies modulate hiv-1 posttranscriptional expression. mBio 2013, 4, e00596–e00612. [Google Scholar] [CrossRef] [PubMed]
- Imamura, K.; Imamachi, N.; Akizuki, G.; Kumakura, M.; Kawaguchi, A.; Nagata, K.; Kato, A.; Kawaguchi, Y.; Sato, H.; Yoneda, M.; et al. Long noncoding rna neat1-dependent sfpq relocation from promoter region to paraspeckle mediates il8 expression upon immune stimuli. Mol. Cell 2014, 53, 393–406. [Google Scholar] [CrossRef] [PubMed]
- Mackall, C.; Lynn, R.; Weber, E.; Sotillo, E. Compositions and methods for inhibiting t cell exhaustion. Patent application no. 16/221,155, 14 December 2018. [Google Scholar]
- Maki, Y.; Bos, T.J.; Davis, C.; Starbuck, M.; Vogt, P.K. Avian sarcoma virus 17 carries the jun oncogene. Proc. Natl. Acad. Sci. USA 1987, 84, 2848–2852. [Google Scholar] [CrossRef] [PubMed]
- Gliddon, H.D.; Herberg, J.A.; Levin, M.; Kaforou, M. Genome-wide host rna signatures of infectious diseases: Discovery and clinical translation. Immunology 2018, 153, 171–178. [Google Scholar] [CrossRef] [PubMed]
- Byron, S.A.; Van Keuren-Jensen, K.R.; Engelthaler, D.M.; Carpten, J.D.; Craig, D.W. Translating rna sequencing into clinical diagnostics: Opportunities and challenges. Nat. Rev. Genet. 2016, 17, 257–271. [Google Scholar] [CrossRef]
- Du, Z.; Fei, T.; Verhaak, R.G.; Su, Z.; Zhang, Y.; Brown, M.; Chen, Y.; Liu, X.S. Integrative genomic analyses reveal clinically relevant long noncoding rnas in human cancer. Nat. Struct. Mol. Biol. 2013, 20, 908–913. [Google Scholar] [CrossRef]
- Tang, H.; Wu, Z.; Zhang, J.; Su, B. Salivary lncrna as a potential marker for oral squamous cell carcinoma diagnosis. Mol. Med. Rep. 2013, 7, 761–766. [Google Scholar] [CrossRef]
- Duan, W.; Du, L.; Jiang, X.; Wang, R.; Yan, S.; Xie, Y.; Yan, K.; Wang, Q.; Wang, L.; Zhang, X.; et al. Identification of a serum circulating lncrna panel for the diagnosis and recurrence prediction of bladder cancer. Oncotarget 2016, 7, 78850–78858. [Google Scholar] [CrossRef]
- Zhou, M.; Diao, Z.; Yue, X.; Chen, Y.; Zhao, H.; Cheng, L.; Sun, J. Construction and analysis of dysregulated lncrna-associated cerna network identified novel lncrna biomarkers for early diagnosis of human pancreatic cancer. Oncotarget 2016, 7, 56383–56394. [Google Scholar] [CrossRef] [PubMed]
- Yang, G.; Lu, X.; Yuan, L. Lncrna: A link between rna and cancer. Biochim. Biophys. Acta 2014, 1839, 1097–1109. [Google Scholar] [CrossRef] [PubMed]
- Conesa, A.; Madrigal, P.; Tarazona, S.; Gómez-Cabrero, D.; Cervera, A.; McPherson, A.; Szczesniak, M.W.; Gaffney, D.J.; Elo, L.L.; Zhang, X.; et al. A survey of best practices for rna-seq data analysis. Genome Biol. 2016, 17, 13. [Google Scholar] [CrossRef] [PubMed]
- Cebey-López, M.; Herberg, J.; Pardo-Seco, J.; Gómez-Carballa, A.; Martinon-Torres, N.; Salas, A.; Martinón-Sánchez, J.M.; Gormley, S.; Sumner, E.; Fink, C.; et al. Viral co-infections in pediatric patients hospitalized with lower tract acute respiratory infections. PLoS ONE 2015, 10, e0136526. [Google Scholar] [CrossRef]
- Barral-Arca, R.; Pardo-Seco, J.; Bello, X.; Martinón-Torres, F.; Salas, A. Ancestry patterns inferred from massive rnaseq data. RNA 2019, 25, 857–868. [Google Scholar] [CrossRef]
- DeBerg, H.A.; Zaidi, M.B.; Altman, M.C.; Khaenam, P.; Gersuk, V.H.; Campos, F.D.; Perez-Martinez, I.; Meza-Segura, M.; Chaussabel, D.; Banchereau, J.; et al. Shared and organism-specific host responses to childhood diarrheal diseases revealed by whole blood transcript profiling. PLoS ONE 2018, 13, e0192082. [Google Scholar] [CrossRef]
- Mei, B.; Ding, X.; Xu, H.Z.; Wang, M.T. Global gene expression changes in human peripheral blood after h7n9 infection. Gene 2014, 551, 255–260. [Google Scholar] [CrossRef]
- Oh, S.J.; Lim, S.; Song, M.J.; Ahn, J.H.; Lee, C.H.; Shin, O.S. Whole transcriptome analyses reveal differential mrna and microrna expression profiles in primary human dermal fibroblasts infected with clinical or vaccine strains of varicella zoster virus. Pathogens 2019, 8, 183. [Google Scholar] [CrossRef]
- Song, J.; Hu, Y.; Li, J.; Zheng, H.; Wang, J.; Guo, L.; Ning, R.; Li, H.; Yang, Z.; Fan, H.; et al. Different microrna profiles reveal the diverse outcomes induced by ev71 and ca16 infection in human umbilical vein endothelial cells using high-throughput sequencing. PLoS ONE 2017, 12, e0177657. [Google Scholar] [CrossRef]
- Durinck, S.; Moreau, Y.; Kasprzyk, A.; Davis, S.; De Moor, B.; Brazma, A.; Huber, W. Biomart and bioconductor: A powerful link between biological databases and microarray data analysis. Bioinform 2005, 21, 3439–3440. [Google Scholar] [CrossRef]
- Love, M.I.; Huber, W.; Anders, S. Moderated estimation of fold change and dispersion for rna-seq data with deseq2. Genome Biol. 2014, 15, 550. [Google Scholar] [CrossRef] [PubMed]
- Robin, X.; Turck, N.; Hainard, A.; Tiberti, N.; Lisacek, F.; Sanchez, J.C.; Muller, M. Proc: An open-source package for r and s+ to analyze and compare roc curves. BMC Bioinform. 2011, 12, 77. [Google Scholar] [CrossRef] [PubMed]
- López-Ratón, M.; Rodríguez-Álvarez, M.X.; Cadarso-Suárez, C.; Gude-Sampedro, F. Optimalcutpoints: An r package for selecting optimal cutpoints in diagnostic tests. J. Stat. Softw. 2014, 61, 1–36. [Google Scholar] [CrossRef]



| Database | Comparison | n | AUC | Sensitivity | Specificity | VS | |
|---|---|---|---|---|---|---|---|
| 2-LncRNA | |||||||
| CC | PRJNA230906 | virus vs. control | 4 | 1 (1–1) | 1 | 1 | 2.569 |
| MNC | GSE98859 | virus vs. control | 5 | 1 (1–1) | 1 | 1 | 4.939 |
| EC | GSE94551 | virus vs. control | 6 | 1 (1–1) | 1 | 1 | 4.043 |
| SC | PRJNA325575 | virus vs. control | 18 | 1 (1–1) | 1 | 1 | 7.535 |
| MC | GSE69529 | virus vs. control | 115 | 0.891 (0.833–0.950) | 0.857 | 0.838 | 8.350 |
| MC | GSE69529 | virus vs. bacteria | 220 | 0.731 (0.662–0.800) | 0.814 | 0.600 | 8.113 |
| MC | GSE69529 | bacteria vs. control | 175 | 0.707 (0.621–0.793) | 0.650 | 0.743 | 8.392 |
| VZF | GSE121385 | virus vs. control | 6 | 1 (1–1) | 1 | 1 | 15.015 |
| 2-LncRNA + IFI44L | |||||||
| CC | PRJNA230906 | virus vs. control | 4 | 1 (1–1) | 1 | 1 | 1.980 |
| MNC | GSE98859 | virus vs. control | 5 | 1 (1–1) | 1 | 1 | 2.596 |
| EC | GSE94551 | virus vs. control | NE | NE | NE | NE | NE |
| SC | PRJNA325575 | virus vs. control | 18 | 1 (1–1) | 1 | 1 | 3.227 |
| MC | GSE69529 | virus vs. control | 115 | 0.857 (0.784–0.929) | 0.800 | 0.850 | 6.133 |
| MC | GSE69529 | virus vs. bacteria | 220 | 0.724 (0.651–0.797) | 0.855 | 0.525 | 4.101 |
| MC | GSE69529 | bacteria vs. control | 175 | 0.723 (0.623–0.824) | 0.790 | 0.714 | 6.883 |
| VZF | GSE121385 | virus vs. control | 6 | 1 (1–1) | 1 | 1 | 9.670 |
| 2-LncRNA + IFI44L + FAM89A | |||||||
| CC | PRJNA230906 | virus vs. control | 4 | 1 (1–1) | 1 | 1 | 2.328 |
| MNC | GSE98859 | virus vs. control | 5 | 1 (1–1) | 1 | 1 | 4.899 |
| EC | GSE94551 | virus vs. control | NE | NE | NE | NE | NE |
| SC | PRJNA325575 | virus vs. control | 18 | 1 (1–1) | 1 | 1 | 11.640 |
| MC | GSE69529 | virus vs. control | 115 | 0.850 (0.774–0.927) | 0.800 | 0.863 | 8.247 |
| MC | GSE69529 | virus vs. bacteria | 220 | 0.753 (0.684–0.822) | 0.630 | 0.788 | 7.469 |
| MC | GSE69529 | bacteria vs. control | 175 | 0.681 (0.579–0.783) | 0.710 | 0.714 | 8.773 |
| VZF | GSE121385 | virus vs. control | 6 | 1 (1–1) | 1 | 1 | 9.679 |
| FAM89A + IFI44L | |||||||
| CC | PRJNA230906 | virus vs. control | 4 | 1 (1–1) | 1 | 1 | −2.650 |
| MNC | GSE98859 | virus vs. control | 5 | 0.625 (0.500–0.875) | 1 | 0.250 | −0.091 |
| EC | GSE94551 | virus vs. control | NE | NE | NE | NE | NE |
| SC | PRJNA325575 | virus vs. control | 18 | 1 (1–1) | 1 | 1 | 4.715 |
| MC | GSE69529 | virus vs. control | 115 | 0.829 (0.749–0.910) | 0.771 | 0.825 | −3.764 |
| MC | GSE69529 | virus vs. bacteria | 220 | 0.745 (0.674–0.816) | 0.813 | 0.638 | −4.834 |
| MC | GSE69529 | bacteria vs. control | 175 | 0.647 (0.544–0.749) | 0.748 | 0.629 | −2.924 |
| VZF | GSE121385 | virus vs. control | 6 | 1 (1–1) | 1 | 1 | −2.270 |
© 2020 by the authors. Licensee MDPI, Basel, Switzerland. This article is an open access article distributed under the terms and conditions of the Creative Commons Attribution (CC BY) license (http://creativecommons.org/licenses/by/4.0/).
Share and Cite
Barral-Arca, R.; Gómez-Carballa, A.; Cebey-López, M.; Currás-Tuala, M.J.; Pischedda, S.; Viz-Lasheras, S.; Bello, X.; Martinón-Torres, F.; Salas, A. RNA-Seq Data-Mining Allows the Discovery of Two Long Non-Coding RNA Biomarkers of Viral Infection in Humans. Int. J. Mol. Sci. 2020, 21, 2748. https://doi.org/10.3390/ijms21082748
Barral-Arca R, Gómez-Carballa A, Cebey-López M, Currás-Tuala MJ, Pischedda S, Viz-Lasheras S, Bello X, Martinón-Torres F, Salas A. RNA-Seq Data-Mining Allows the Discovery of Two Long Non-Coding RNA Biomarkers of Viral Infection in Humans. International Journal of Molecular Sciences. 2020; 21(8):2748. https://doi.org/10.3390/ijms21082748
Chicago/Turabian StyleBarral-Arca, Ruth, Alberto Gómez-Carballa, Miriam Cebey-López, María José Currás-Tuala, Sara Pischedda, Sandra Viz-Lasheras, Xabier Bello, Federico Martinón-Torres, and Antonio Salas. 2020. "RNA-Seq Data-Mining Allows the Discovery of Two Long Non-Coding RNA Biomarkers of Viral Infection in Humans" International Journal of Molecular Sciences 21, no. 8: 2748. https://doi.org/10.3390/ijms21082748
APA StyleBarral-Arca, R., Gómez-Carballa, A., Cebey-López, M., Currás-Tuala, M. J., Pischedda, S., Viz-Lasheras, S., Bello, X., Martinón-Torres, F., & Salas, A. (2020). RNA-Seq Data-Mining Allows the Discovery of Two Long Non-Coding RNA Biomarkers of Viral Infection in Humans. International Journal of Molecular Sciences, 21(8), 2748. https://doi.org/10.3390/ijms21082748

