Regulation of Autophagic Signaling by Mechanical Loading and Inflammation in Human PDL Fibroblasts
Abstract
1. Introduction
2. Results
2.1. Effects of Mechanical and Inflammatory Stimulation on Autophagy
2.2. Influences of Mechanical Force Application and Inflammation on the mTOR Signaling Pathway
2.3. Regulation of Collagen 1 Gene Expression by Mechanical and Inflammatory Stimulation
2.4. Influence of Mechanical and Inflammatory Stimulation on Gene Expression of Proliferation Marker Ki67
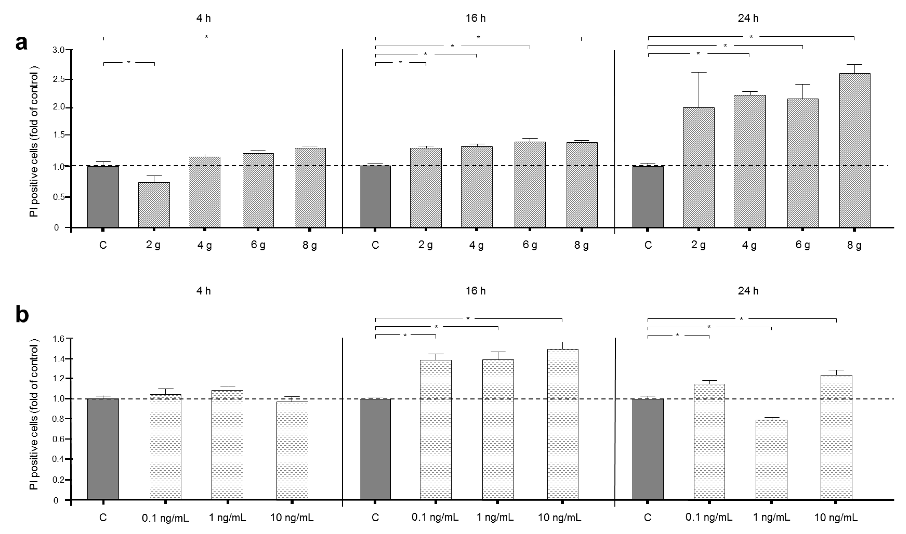
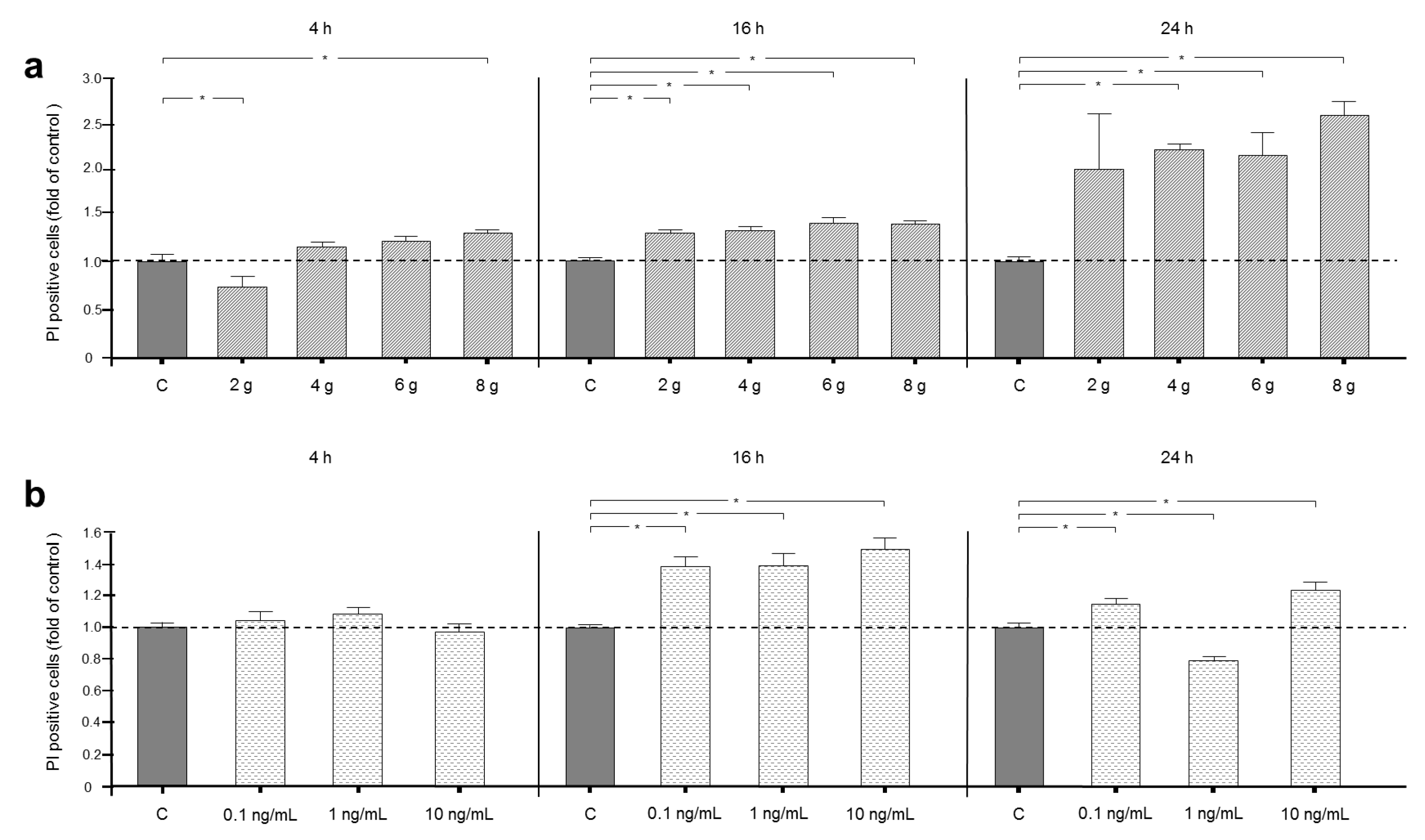
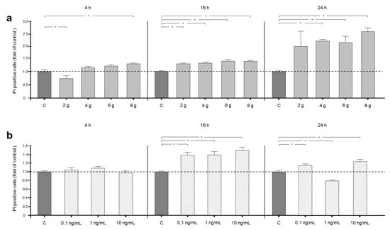
2.5. Effects of Mechanical and Inflammatory Stimulation on Cell Death
3. Discussion
4. Materials and Methods
4.1. Cell Culture Process
4.2. Cell Stimulation
4.3. Autophagy Detection
4.4. Antibody Array
4.5. Analysis of Gene Expression
4.6. Cell Death Detection
4.7. Statistical Analysis
Supplementary Materials
Author Contributions
Funding
Acknowledgments
Conflicts of Interest
References
- De Araujo, R.M.S.; Oba, Y.; Kuroda, S.; Tanaka, E.; Moriyama, K. RhoE regulates actin cytoskeleton organization in human periodontal ligament cells under mechanical stress. Arch. Oral Biol. 2014, 59, 187–192. [Google Scholar] [CrossRef] [PubMed]
- Barczyk, M.; Bolstad, A.I.; Gullberg, D. Role of integrins in the periodontal ligament: Organizers and facilitators. Periodontol 2000 2013, 63, 29–47. [Google Scholar] [CrossRef] [PubMed]
- Militi, A.; Cutroneo, G.; Favaloro, A.; Matarese, G.; Di Mauro, D.; Lauritano, F.; Centofanti, A.; Cervino, G.; Nicita, F.; Bramanti, A.; et al. An immunofluorescence study on VEGF and extracellular matrix proteins in human periodontal ligament during tooth movement. Heliyon 2019, 5, e02572. [Google Scholar] [CrossRef]
- Hudson, D.M.; Garibov, M.; Dixon, D.; Popowics, T.; Eyre, D.R. Distinct post-translational features of type I collagen are conserved in mouse and human periodontal ligament. J. Periodontal Res. 2017, 52, 1042–1049. [Google Scholar] [CrossRef] [PubMed]
- Kaku, M.; Yamauchi, M. Mechano-regulation of collagen biosynthesis in periodontal ligament. J. Prosthodont. Res. 2014, 58, 193–207. [Google Scholar] [CrossRef] [PubMed]
- Marchesan, J.T.; Scanlon, C.S.; Soehren, S.; Matsuo, M.; Kapila, Y.L. Implications of cultured periodontal ligament cells for the clinical and experimental setting: A review. Arch. Oral Biol. 2011, 56, 933–943. [Google Scholar] [CrossRef]
- Tang, L.; Xian, C.-Y.; Wang, Y.-L. The MGF expression of osteoblasts in response to mechanical overload. Arch. Oral Biol. 2006, 51, 1080–1085. [Google Scholar] [CrossRef]
- Zhang, X.; Kohli, M.; Zhou, Q.; Graves, D.T.; Amar, S. Short- and Long-Term Effects of IL-1 and TNF Antagonists on Periodontal Wound Healing. J. Immunol. 2004, 173, 3514–3523. [Google Scholar] [CrossRef]
- Ullrich, N.; Schröder, A.; Jantsch, J.; Spanier, G.; Proff, P.; Kirschneck, C. The role of mechanotransduction versus hypoxia during simulated orthodontic compressive strain—an in vitro study of human periodontal ligament fibroblasts. Int. J. Oral Sci. 2019, 11, 1–10. [Google Scholar] [CrossRef]
- Kanzaki, H.; Chiba, M.; Shimizu, Y.; Mitani, H. Periodontal Ligament Cells Under Mechanical Stress Induce Osteoclastogenesis by Receptor Activator of Nuclear Factor κB Ligand Up-Regulation via Prostaglandin E2 Synthesis. J. Bone Miner. Res. 2002, 17, 210–220. [Google Scholar] [CrossRef]
- Memmert, S.; Damanaki, A.; Nogueira, A.V.B.; Eick, S.; Nokhbehsaim, M.; Papadopoulou, A.K.; Till, A.; Rath, B.; Jepsen, S.; Götz, W.; et al. Role of Cathepsin S in Periodontal Inflammation and Infection. Mediat. Inflamm. 2017, 2017, 1–10. [Google Scholar] [CrossRef] [PubMed]
- Memmert, S.; Nogueira, A.V.B.; Damanaki, A.; Nokhbehsaim, M.; Eick, S.; Divnic-Resnik, T.; Spahr, A.; Rath-Deschner, B.; Till, A.; Götz, W.; et al. Damage-regulated autophagy modulator 1 in oral inflammation and infection. Clin. Oral Investig. 2018, 22, 2933–2941. [Google Scholar] [CrossRef] [PubMed]
- King, J.S. Mechanical stress meets autophagy: Potential implications for physiology and pathology. Trends Mol. Med. 2012, 18, 583–588. [Google Scholar] [CrossRef] [PubMed]
- Antonioli, M.; Di Rienzo, M.; Piacentini, M.; Fimia, G.M. Emerging Mechanisms in Initiating and Terminating Autophagy. Trends Biochem. Sci. 2017, 42, 28–41. [Google Scholar] [CrossRef] [PubMed]
- Mariño, G.; Niso-Santano, M.; Baehrecke, E.H.; Kroemer, G. Self-consumption: The interplay of autophagy and apoptosis. Nat. Rev. Mol. Cell Biol. 2014, 15, 81–94. [Google Scholar] [CrossRef] [PubMed]
- Glick, D.; Barth, S.; MacLeod, K.F. Autophagy: Cellular and molecular mechanisms. J. Pathol. 2010, 221, 3–12. [Google Scholar] [CrossRef]
- Salabei, J.K.; Hill, B.G. Autophagic regulation of smooth muscle cell biology. Redox Biol. 2015, 4, 97–103. [Google Scholar] [CrossRef]
- Memmert, S.; Damanaki, A.; Nokhbehsaim, M.; Nogueira, A.V.B.; Eick, S.; Cirelli, J.A.; Jäger, A.; Deschner, J. Regulation of somatostatin receptor 2 by proinflammatory, microbial and obesity-related signals in periodontal cells and tissues. Head Face Med. 2019, 15, 1–9. [Google Scholar] [CrossRef]
- Memmert, S.; Nogueira, A.V.B.; Damanaki, A.; Nokhbehsaim, M.; Rath-Deschner, B.; Götz, W.; Gölz, L.; Cirelli, J.A.; Till, A.; Jäger, A.; et al. Regulation of the autophagy-marker Sequestosome 1 in periodontal cells and tissues by biomechanical loading. J. Orofac. Orthop. Fortschritte der Kieferorthopädie 2019, 81, 10–21. [Google Scholar] [CrossRef]
- Chen, Y.; Yang, K.; Zhou, Z.; Wang, L.; Du, Y.; Wang, X.J. Mechanical Stress Modulates the RANKL/OPG System of Periodontal Ligament Stem Cells via α7 nAChR in Human Deciduous Teeth: An In Vitro Study. Stem Cells Int. 2019, 2019, 5326341. [Google Scholar] [CrossRef]
- Wang, H.; Liu, Y.; Wang, D.; Xu, Y.; Dong, R.; Yang, Y.; Lv, Q.; Chen, X.-G.; Zhang, Z. The Upstream Pathway of mTOR-Mediated Autophagy in Liver Diseases. Cells 2019, 8, 1597. [Google Scholar] [CrossRef] [PubMed]
- Matsumoto, C.S.; Almeida, L.O.; Guimarães, D.M.; Martins, M.D.; Papagerakis, P.; Papagerakis, S.; Leopoldino, A.M.; Castilho, R.M.; Squarize, C.H. PI3K-PTEN dysregulation leads to mTOR-driven upregulation of the core clock gene BMAL1 in normal and malignant epithelial cells. Oncotarget 2016, 7, 42393–42407. [Google Scholar] [CrossRef] [PubMed]
- Hannan, K.M.; Brandenburger, Y.; Jenkins, A.; Sharkey, K.; Cavanaugh, A.; Rothblum, L.; Moss, T.; Poortinga, G.; McArthur, G.A.; Pearson, R.B.; et al. mTOR-Dependent Regulation of Ribosomal Gene Transcription Requires S6K1 and Is Mediated by Phosphorylation of the Carboxy-Terminal Activation Domain of the Nucleolar Transcription Factor UBF†. Mol. Cell. Biol. 2003, 23, 8862–8877. [Google Scholar] [CrossRef] [PubMed]
- King, J.S.; Veltman, D.M.; Insall, R. The induction of autophagy by mechanical stress. Autophagy 2011, 7, 1490–1499. [Google Scholar] [CrossRef]
- Klionsky, D.J.; Abdelmohsen, K.; Abe, A.; Abedin, M.J.; Abeliovich, H.; Arozena, A.A.; Adachi, H.; Adams, C.M.; Adams, P.D.; Adeli, K.; et al. Guidelines for the use and interpretation of assays for monitoring autophagy (3rd edition). Autophagy 2016, 12, 1–222. [Google Scholar] [CrossRef]
- Reiling, J.H.; Sabatini, D.M. Stress and mTORture signaling. Oncogene 2006, 25, 6373–6383. [Google Scholar] [CrossRef]
- Schröder, A.; Bauer, K.; Spanier, G.; Proff, P.; Wolf, M.; Kirschneck, C. Expression kinetics of human periodontal ligament fibroblasts in the early phases of orthodontic tooth movement. J. Orofac. Orthop. 2018, 79, 337–351. [Google Scholar] [CrossRef]
- Kirschneck, C.; Küchler, E.C.; Wolf, M.; Spanier, G.; Proff, P.; Schröder, A. Effects of the Highly COX-2-Selective Analgesic NSAID Etoricoxib on Human Periodontal Ligament Fibroblasts during Compressive Orthodontic Mechanical Strain. Mediat. Inflamm. 2019, 2019, 2514956. [Google Scholar] [CrossRef]
- Lapaquette, P.; Guzzo, J.; Bretillon, L.; Bringer, M.-A. Cellular and Molecular Connections between Autophagy and Inflammation. Mediat. Inflamm. 2015, 2015, 398483. [Google Scholar] [CrossRef]
- Cominelli, F.; Nast, C.C.; Llerena, R.; A Dinarello, C.; Zipser, R.D. Interleukin 1 suppresses inflammation in rabbit colitis. Mediation by endogenous prostaglandins. J. Clin. Investig. 1990, 85, 582–586. [Google Scholar] [CrossRef]
- Pietrocola, F.; Izzo, V.; Niso-Santano, M.; Vacchelli, E.; Galluzzi, L.; Maiuri, M.C.; Kroemer, G. Regulation of autophagy by stress-responsive transcription factors. Semin. Cancer Biol. 2013, 23, 310–322. [Google Scholar] [CrossRef] [PubMed]
- Xiang, X.; Zhao, J.; Xu, G.; Li, Y.; Zhang, W. mTOR and the differentiation of mesenchymal stem cells. Acta Biochim. Biophys. Sin. 2011, 43, 501–510. [Google Scholar] [CrossRef] [PubMed]
- Ekim, B.; Magnuson, B.; Acosta-Jaquez, H.A.; Keller, J.A.; Feener, E.P.; Fingar, D.C. mTOR Kinase Domain Phosphorylation Promotes mTORC1 Signaling, Cell Growth, and Cell Cycle Progression. Mol. Cell. Biol. 2011, 31, 2787–2801. [Google Scholar] [CrossRef] [PubMed]
- Song, F.; Jiang, D.; Wang, T.; Wang, Y.; Lou, Y.; Zhang, Y.; Ma, H.; Kang, Y. Mechanical Stress Regulates Osteogenesis and Adipogenesis of Rat Mesenchymal Stem Cells through PI3K/Akt/GSK-3β/β-Catenin Signaling Pathway. BioMed Res. Int. 2017, 2017, 6027402. [Google Scholar] [CrossRef] [PubMed]
- Song, F.; Wang, Y.; Jiang, D.; Wang, T.; Zhang, Y.; Ma, H.; Kang, Y. Cyclic Compressive Stress Regulates Apoptosis in Rat Osteoblasts: Involvement of PI3K/Akt and JNK MAPK Signaling Pathways. PLoS ONE 2016, 11, e0165845. [Google Scholar] [CrossRef]
- Muendlein, H.I.; Sarhan, J.; Liu, B.C.; Connolly, W.M.; Schworer, S.A.; Smirnova, I.; Tang, A.Y.; Ilyukha, V.; Pietruska, J.; Tahmasebi, S.; et al. Constitutive Interferon Attenuates RIPK1/3-Mediated Cytokine Translation. Cell Rep. 2020, 30, 699–713. [Google Scholar] [CrossRef]
- Yang, L.; Miao, L.; Liang, F.; Huang, H.; Teng, X.; Li, S.; Nuriddinov, J.; Selzer, M.E.; Hu, Y. The mTORC1 effectors S6K1 and 4E-BP play different roles in CNS axon regeneration. Nat. Commun. 2014, 5, 5416. [Google Scholar] [CrossRef]
- Bakker, A.D.; Gakes, T.; Hogervorst, J.M.; De Wit, G.M.; Klein-Nulend, J.; Jaspers, R.T. Mechanical Stimulation and IGF-1 Enhance mRNA Translation Rate in Osteoblasts Via Activation of the AKT-mTOR Pathway. J. Cell. Physiol. 2015, 231, 1283–1290. [Google Scholar] [CrossRef]
- Lee, K.-W.; Yook, J.-Y.; Son, M.-Y.; Kim, M.-J.; Koo, D.-B.; Han, Y.-M.; Cho, Y.S. Rapamycin Promotes the Osteoblastic Differentiation of Human Embryonic Stem Cells by Blocking the mTOR Pathway and Stimulating the BMP/Smad Pathway. Stem Cells Dev. 2010, 19, 557–568. [Google Scholar] [CrossRef]
- Li, Y.; Li, M.; Tan, L.; Huang, S.; Zhao, L.; Tang, T.; Liu, J.; Zhao, Z. Analysis of time-course gene expression profiles of a periodontal ligament tissue model under compression. Arch. Oral Biol. 2013, 58, 511–522. [Google Scholar] [CrossRef]
- Uchiyama, Y.; Shibata, M.; Koike, M.; Yoshimura, K.; Sasaki, M. Autophagy–physiology and pathophysiology. Histochem. Cell Biol. 2008, 129, 407–420. [Google Scholar] [CrossRef] [PubMed]
- Deschner, B.; Rath, B.; Jager, A.; Denecke, B.; Memmert, S.; Götz, W.; Deschner, J. Gene analysis of signal transduction factors and transcription factors in periodontal ligament cells following application of dynamic strain. J. Orofac. Orthop. 2012, 73, 486–497. [Google Scholar] [CrossRef] [PubMed]
- Yuan, Y.; Zhang, L.; Tong, X.; Zhang, M.; Zhao, Y.; Guo, J.; Lei, L.; Chen, X.; Tickner, J.; Xu, J.; et al. Mechanical Stress Regulates Bone Metabolism Through MicroRNAs. J. Cell. Physiol. 2016, 232, 1239–1245. [Google Scholar] [CrossRef] [PubMed]
- Chen, H.; Chen, L.; Cheng, B.; Jiang, C. Cyclic Mechanical Stretching Induces Autophagic Cell Death in Tenofibroblasts Through Activation of Prostaglandin E2 Production. Cell. Physiol. Biochem. 2015, 36, 24–33. [Google Scholar] [CrossRef]
- Ma, K.-G.; Shao, Z.-W.; Yang, S.-H.; Wang, J.; Wang, B.-C.; Xiong, L.-M.; Wu, Q.; Chen, S.-F. Autophagy is activated in compression-induced cell degeneration and is mediated by reactive oxygen species in nucleus pulposus cells exposed to compression. Osteoarthr. Cartil. 2013, 21, 2030–2038. [Google Scholar] [CrossRef]
- Vercammen, E.; Staal, J.; Broeke, A.V.D.; Haegman, M.; Vereecke, L.; Schotte, P.; Beyaert, R. Prolonged exposure to IL-1β and IFNγ induces necrosis of L929 tumor cells via a p38MAPK/NF-κB/NO-dependent mechanism. Oncogene 2008, 27, 3780–3788. [Google Scholar] [CrossRef]
- Mangan, D.F.; Welch, G.R.; Wahl, S.M. Lipopolysaccharide, tumor necrosis factor-alpha, and IL-1 beta prevent programmed cell death (apoptosis) in human peripheral blood monocytes. J. Immunol. 1991, 146, 1541–1546. [Google Scholar]
- Wolf, M.; Lossdörfer, S.; Craveiro, R.; Götz, W.; Jager, A. Regulation of macrophage migration and activity by high-mobility group box 1 protein released from periodontal ligament cells during orthodontically induced periodontal repair: An in vitro and in vivo experimental study. J. Orofac. Orthop. 2013, 74, 420–434. [Google Scholar] [CrossRef]
- Nakajima, R.; Yamaguchi, M.; Kojima, T.; Takano, M.; Kasai, K. Effects of compression force on fibroblast growth factor-2 and receptor activator of nuclear factor kappa B ligand production by periodontal ligament cells in vitro. J. Periodontal Res. 2007, 43, 168–173. [Google Scholar] [CrossRef]
- De Araujo, R.M.S.; Oba, Y.; Moriyama, K. Identification of genes related to mechanical stress in human periodontal ligament cells using microarray analysis. J. Periodontal Res. 2007, 42, 15–22. [Google Scholar] [CrossRef]



| Antibody List and Phosphorylation Site | 2 g/cm2 /Control | 8 g/cm2 /Control | IL-1ß /Control | |
|---|---|---|---|---|
| 4E-BP1 (Phospho-Thr45) | 4E-BP1 (Ab-45) | 0.72 | 1.18 | 0.96 |
| 4E-BP1 (Phospho-Ser65) | 4E-BP1 (Ab-65) | 0.83 | 1.24 | 1.67 |
| AKT (Phospho-Thr308) | AKT (Ab-308) | 0.71 | 0.86 | 1.09 |
| AKT1 (Phospho-Ser124) | AKT1 (Ab-124) | 1.39 | 1.67 | 1.60 |
| AKT1 (Phospho-Thr450) | AKT1 (Ab-450) | 1.15 | 1.40 | 1.52 |
| AKT1 (Phospho-Tyr474) | AKT1 (Ab-474) | 0.98 | 0.73 | 1.03 |
| AMPK1/AMPK2 (Phospho-Thr183/172) | AMPK1/AMPK2 (Ab-183/172) | 1.08 | 0.74 | 0.99 |
| BAD (Phospho-Ser112) | BAD (Ab-112) | 0.89 | 0.99 | 0.73 |
| BAD (Phospho-Ser91/128) | BAD (Ab-91/128) | 0.90 | 1.63 | 1.23 |
| ERK3 (Phospho-Ser189) | ERK3 (Ab-189) | 1.35 | 1.97 | 1.40 |
| GSK3α (Phospho-Ser21) | GSK3α (Ab-21) | 0.82 | 0.76 | 0.70 |
| GSK3β (Phospho-Ser9) | GSK3β (Ab-9) | 0.77 | 0.68 | 0.64 |
| Mnk1 (Phospho-Thr385) | Mnk1 (Ab-385) | 1.16 | 1.66 | 1.36 |
| P70S6K (Phospho-Thr229) | P70S6K (Ab-229) | 1.53 | 1.25 | 1.54 |
| P70S6K (Phospho-Ser418) | P70S6K (Ab-418) | 1.99 | 2.21 | 2.33 |
| P70S6K beta (Phospho-Ser423) | P70S6K beta (Ab-423) | 1.30 | 1.60 | 1.18 |
| P90RSK (Phospho-Thr359/Ser363) | P90RSK (Ab-359/363) | 2.23 | 1.54 | 2.36 |
| PI3-kinase p85-subunit alpha/gamma (Phospho-Tyr467/Tyr199) | PI3-kinase p85-subunit alpha/gamma (Ab-467/199) | 1.14 | 1.70 | 1.60 |
| PP2A-alpha (Phospho-Tyr307) | PP2A-alpha (Ab-307) | 1.32 | 1.17 | 1.90 |
| PPAR-gamma (Phospho-Ser112) | PPAR-gamma (Ab-112) | 1.43 | 2.08 | 2.43 |
| PTEN (Phospho-Ser370) | PTEN (Ab-370) | 1.91 | 1.50 | 2.05 |
| PTEN (Phospho-Ser380) | PTEN (Ab-380) | 0.83 | 0.97 | 1.67 |
| PTEN (Phospho-Ser380/Thr382/Thr383) | PTEN (Ab-380/382/383) | 1.51 | 2.02 | 1.47 |
| Rho/Rac guanine nucleotide exchange factor 2 (Phospho-Ser885) | Rho/Rac guanine nucleotide exchange factor 2 (Ab-885) | 0.99 | 1.66 | 1.13 |
| RSK1/2/3/4 (Phospho-Ser221/227/218/232) | RSK1/2/3/4 (Ab-221/227/218/232) | 1.24 | 1.52 | 1.36 |
| Tuberin/TSC2 (Phospho-Thr1462) | Tuberin/TSC2 (Ab-1462) | 1.08 | 0.70 | 0.92 |
| Tuberin/TSC2 (Phospho-Ser939) | Tuberin/TSC2 (Ab-939) | 1.27 | 0.73 | 1.20 |
| Antibody List | 2 g/cm2 /Control | 8 g/cm2 /Control | IL-1β /Control |
|---|---|---|---|
| 4E-BP1 (Ab-65) | 1.34 | 0.94 | 0.65 |
| 4E-BP1 (Phospho-Thr45) | 0.61 | 1.12 | 0.81 |
| AKT (Ab-308) | 0.85 | 0.68 | 0.71 |
| AKT (Ab-473) | 0.88 | 0.69 | 0.87 |
| AKT (Phospho-Thr308 | 0.60 | 0.58 | 0.77 |
| AKT1 (Ab-124) | 0.78 | 0.73 | 0.73 |
| AKT1 (Phospho-Tyr474) | 0.80 | 0.71 | 0.82 |
| AKT1S1 (Ab-246) | 0.81 | 0.88 | 0.69 |
| AKT2 (Phospho-Ser474) | 0.79 | 0.90 | 0.72 |
| mTOR (Ab-2446) | 0.90 | 0.71 | 0.93 |
| mTOR (Ab-2481) | 0.90 | 1.02 | 0.67 |
| mTOR (Phospho-Ser2481) | 0.89 | 0.79 | 0.75 |
| mTOR (Phospho-Thr2446) | 0.75 | 1.00 | 0.93 |
| P70S6K (Ab-229) | 0.77 | 0.95 | 0.74 |
| P70S6K (Ab-418) | 0.85 | 0.86 | 0.74 |
| P70S6K (Phospho-Thr389) | 1.35 | 1.53 | 1.28 |
| P70S6K beta (Ab-423) | 0.87 | 0.68 | 0.81 |
| PI3-kinase p85-subunit alpha/gamma (Ab-467/199) | 0.95 | 0.65 | 0.62 |
| PTEN (Ab-370) | 0.64 | 0.73 | 0.55 |
| PTEN (Ab-380) | 1.14 | 0.99 | 0.63 |
| PTEN (Ab-380/382/383) | 0.78 | 0.71 | 0.75 |
| P70S6K (Phospho-Thr389) | 1.35 | 1.53 | 1.28 |
Publisher’s Note: MDPI stays neutral with regard to jurisdictional claims in published maps and institutional affiliations. |
© 2020 by the authors. Licensee MDPI, Basel, Switzerland. This article is an open access article distributed under the terms and conditions of the Creative Commons Attribution (CC BY) license (http://creativecommons.org/licenses/by/4.0/).
Share and Cite
Blawat, K.; Mayr, A.; Hardt, M.; Kirschneck, C.; Nokhbehsaim, M.; Behl, C.; Deschner, J.; Jäger, A.; Memmert, S. Regulation of Autophagic Signaling by Mechanical Loading and Inflammation in Human PDL Fibroblasts. Int. J. Mol. Sci. 2020, 21, 9446. https://doi.org/10.3390/ijms21249446
Blawat K, Mayr A, Hardt M, Kirschneck C, Nokhbehsaim M, Behl C, Deschner J, Jäger A, Memmert S. Regulation of Autophagic Signaling by Mechanical Loading and Inflammation in Human PDL Fibroblasts. International Journal of Molecular Sciences. 2020; 21(24):9446. https://doi.org/10.3390/ijms21249446
Chicago/Turabian StyleBlawat, Kim, Alexandra Mayr, Miriam Hardt, Christian Kirschneck, Marjan Nokhbehsaim, Christian Behl, James Deschner, Andreas Jäger, and Svenja Memmert. 2020. "Regulation of Autophagic Signaling by Mechanical Loading and Inflammation in Human PDL Fibroblasts" International Journal of Molecular Sciences 21, no. 24: 9446. https://doi.org/10.3390/ijms21249446
APA StyleBlawat, K., Mayr, A., Hardt, M., Kirschneck, C., Nokhbehsaim, M., Behl, C., Deschner, J., Jäger, A., & Memmert, S. (2020). Regulation of Autophagic Signaling by Mechanical Loading and Inflammation in Human PDL Fibroblasts. International Journal of Molecular Sciences, 21(24), 9446. https://doi.org/10.3390/ijms21249446

