Abstract
In this communication, we report the synthesis and cholinesterase (ChE)/monoamine oxidase (MAO) inhibition of 19 quinolinones (QN1-19) and 13 dihydroquinolinones (DQN1-13) designed as potential multitarget small molecules (MSM) for Alzheimer’s disease therapy. Contrary to our expectations, none of them showed significant human recombinant MAO inhibition, but compounds QN8, QN9, and DQN7 displayed promising human recombinant acetylcholinesterase (hrAChE) and butyrylcholinesterase (hrBuChE) inhibition. In particular, molecule QN8 was found to be a potent and quite selective non-competitive inhibitor of hrAChE (IC50 = 0.29 µM), with Ki value in nanomolar range (79 nM). Pertinent docking analysis confirmed this result, suggesting that this ligand is an interesting hit for further investigation.
1. Introduction
Alzheimer’s disease (AD), a pathology of ageing affecting mainly the elderly [1], is a multifactorial, neurodegenerative disease characterized by a progressive decline of memory and cognitive faculties [2]. Although the aetiology of AD is unknown, oxidative stress, deficit of neurotransmitters, and neuronal death seem to play a critical role [3]. To date, all the efforts directed to find the origin of the disease have failed [4,5], but as the number of suffering people is dramatically increasing, there is a strong and urgent social need for therapeutic solutions. Acetylcholinesterase inhibitors (AChEI) such as donepezil, rivastigmine, and galantamine, able to increase the level of biogenic amines in the brain, or memantine, a non-competitive antagonist of the N-Methyl-D-Aspartate (NMDA) receptor, are the only drugs currently administered to AD patients [6]. In spite of their limitations, we think that the use of AChEI should be the starting point for designing more efficient clinical candidates for AD therapy. To do this, the concept and application of multitarget small molecules (MSM) [7] design strategy seem to us the best way to cope with it. The ability of MSM to simultaneously modulate receptors or inhibit the enzymatic systems involved in the progress of AD are the key factors of this approach [8,9]. However, the proof that this approach is possible for complex diseases such as AD still has to be confirmed [10].
In a recent communication [11] we expanded the pharmacological profile of contilisant (Figure 1), our most advanced lead compound for AD. We showed that contilisant is an antioxidant, permeable, strong neuroprotective agent, able to increase the level of acetylcholine by inhibiting the cholinesterases (ChE) and monoamine oxidases (MAO), and modulating very specifically the histamine-3 (H3R) and sigma-1 (S1R) receptors. In addition, contilisant overcomes the efficiency of donepezil in the in vivo tests on suitable AD animal models [11].
Figure 1.
Structure of contilisant, brexpiprazole, “quinolinones” (I), and “dihydroquinolinones” (II), the new MSM designed in this work.
However, in our current research project, one of the main concerns was the irreversible MAO inhibition shown by contilisant (Figure 1). Although this could be a point of debate [12], we decided to design new ligands behaving pharmacologically like contilisant, but acting as MAO-reversible inhibitors. In order to do this, we planned to substitute the N-methyl propargyl MAO-irreversible inhibition motif by a typical MAO-reversible pharmacophore, using it at the same time as the heterocyclic core instead of the indole ring. A number of options were possible to achieve these goals, as coumarins [13], chromones [14], and chalcones [15] are well known reversible and selective MAO-B inhibitors.
Thus, this simple design and recent communication on related chromenones [16] led us to select “quinolinones” (I, QN) and “dihydroquinolinones” (II, DQN) (Figure 1) as the MSM of choice, on the basis of the availability of the starting materials, as well as the simple synthetic schemes to synthesize them. Quinolinones have been previously described, with the antipsychotic drug “brexpiprazole” [17] (Figure 1) being one of the best known examples. Dihydroquinolinones (Figure 1) bearing different terminal amines have been reported as S1R antagonists for the potential use as analgesics [18], and as new MSM showing ChE/MAO inhibition [19,20] and histamine 3 receptor antagonism [21] for the treatment of AD.
In this work we describe the synthesis and biological evaluation of all these compounds designed as MSM for AD therapy, an effort that has allowed us to identify compound QN8 (Figure 2) as a potent, selective and non-competitive human recombinant acetylcholinesterase (hrAChE) inhibitor.
Figure 2.
Structures of the “quinolinones” (QN1-19) described in this work.
2. Results and Discussion
2.1. Chemistry
Prompted by our experience in the area, we submitted this project to the ASL (Automated Synthesis Lab) as part of the Eli Lilly’s Open Innovation Drug Discovery program [22], as this was an opportunity to synthesize compounds remotely, explore novel synthetic approaches, improve reaction efficiency, and test the feasibility of automatic synthetic processes to maximize the yield of targeted compounds. The proposal was accepted, and we started the remote synthesis of the designed ligands (Figure 2 and Figure 3).
Figure 3.
Structures of the “dihydroquinolinones” (DQN1-13) described in this work.
In this structure–activity relationship (SAR) analysis we had the opportunity to evaluate the biological activity of different amines at variable distances from the quinolinone and dihydroquinolinone cores. In Figure 2, we show the structures of the “quinolinones” QN1-19 that we prepared under Lilly’s ASL program. These 19 ligands contain a basic amine (morpholine, N-methylpiperazine, N-isopropylpiperazine, diethylamine, azepine, (R)-2-methylpyrrolidine, (S)-2-methylpyrrolidine, or N-methylpiperidine) linked at the quinolinone core by an alkoxy group of different sizes. Note that compounds QN7 and QN15-18 were prepared as formate salts. All these compounds are new (see the Materials and Methods section).
Similarly, in Figure 3, we show the structures of the “dihydroquinolinones” DQN1-13 that we synthesized remotely at Lilly’s ASL. These 13 compounds bear morpholine, N-methylpiperazine, N-isopropylpiperazine, diethylamine, or N-methylpiperidine as the amino motif, with the corresponding linkers to the 3,4-dihydroquinolin-2(1H)-one core (see the Materials and Methods section). Most of the compounds in Figure 3 are new, but the morpholine DQN1 [18], the N-isopropylpiperazines DQN6-8 [19], and the diethylamines DQN9 [21] and DQN10-12 [19] have been previously described in the literature.
A number of compounds in these families were prepared by Mitsunobu reaction of commercially available 7-hydroxyquinolin-2(1H)-one (1) (Scheme 1) and 7-hydroxy-3,4-dihydroquinolin-2(1H)-one (2) (Scheme 2) with the appropriate alcohol. Another set of compounds were synthesized by O-alkylation of compounds 1 and 2 with the corresponding halides in two steps (Scheme 1 and Scheme 2). The present design is very versatile, allowing us also to change the length of the linker connecting the heterocyclic core with the cyclic (or acyclic) amine.
Scheme 1.
Synthetic methods for the preparation of the “quinolinones” (QN1-19).
Scheme 2.
Synthetic methods for the preparation of the “dihydroquinolinones” (DQN1-13).
As described in the Materials and Methods section, starting from commercial 7-hydroxyquinolin-2(1H)-one (1) and the appropriate aminoalcohol, compounds QN6 (10%), QN10 (60%), QN11 (60%), QN14 (30%), and QN19 (30%) (Figure 2) were obtained by Mitsunobu reaction using cyanomethylenetributylphosphorane, in toluene at reflux (Scheme 1) [23]. Compounds QN1 (20%), QN2 (20%), QN3 (10%), QN4 (20%), QN5 (20%), QN7 (30%), QN8 (30%), QN9 (10%), QN12 (20%), QN13 (50%), QN15 (10%), QN16 (10%), QN17 (30%), and QN18 (10%) (Figure 2) were synthesized by reacting K2CO3, 7-hydroxyquinolin-2(1H)-one (1), and the corresponding 1,n-dibromoalkane in CH3CN at 50 °C, with the subsequent addition of the appropriate amine (Scheme 1) [24].
Starting from commercially available 7-hydroxy-3,4-dihydroquinolin-2(1H)-one (2) and the appropriate aminoalcohol, compounds DQN1 (80%), DQN2 (80%), DQN5 (30%), DQN9 (70%), and DQN13 (70%) (Figure 3) were obtained by Mitsunobu reaction using cyanomethylenetributylphosphorane in toluene at reflux (Scheme 2) [23]. Molecules DQN3 (30%), DQN4 (30%), DQN6 (20%), DQN7 (30%), DQN8 (30%), DQN10 (50%), DQN11 (60%), and DQN12 (50%) (Figure 3) were synthesized by reacting K2CO3, 7-hydroxy-3,4-dihydroquinolin-2(1H)-one (2), and the corresponding 1,n-dibromoalkane in CH3CN at 50 °C, with the subsequent addition of the appropriate amine (Scheme 2) [24].
All compounds showed proper analytical and spectroscopic data in good agreement with their structures.
2.2. Biological Evaluation
The compounds were screened for inhibition at human recombinant monoamine oxidases (hrMAO-A and hrMAO-B), human recombinant acetylcholinesterase (hrAChE) and human recombinant butyrylcholinesterase (hrBuChE), at two concentrations (1 and 10 µM). Clorgylin and pargylin were the standards used for hrMAO-A and hrMAO-B inhibition, respectively, at low concentrations (0.05 and 0.5 µM) due to their high ability to decrease MAO activity. Tacrine (1 and 10 µM) was chosen as the standard for hrAChE and hrBuChE inhibition.
The inhibition of hrMAO-A/B by novel compounds was rather weak compared with the standards used (data not shown).
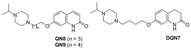
These compounds were then tested on hrAChE/hrBuChE [25,26]. As a result, compounds QN8, QN9, and DQN7 showed high hrAChE inhibition (88–95% at 10 µM concentration) and moderate hrBuChE inhibition (45–65% at 10 µM concentration).
On the basis of these data, three compounds (QN8, QN9, and DQN7) were chosen for IC50 determination in hrAChE and hrBuChE (Table 1, Figure 4 and Figure 5). Compound QN8 demonstrated the highest inhibition for hrAChE (IC50 = 0.29 ± 0.02 µM) with the highest selectivity for hrAChE (hrBuChE IC50 = 12.73 ± 0.45 µM), and was further tested in kinetic experiments (Figure 6) [27]. Compound QN8 resulted as a non-competitive inhibitor of hrAChE, with Ki value in nanomolar range (79 ± 7 nM). In comparison with donepezil, QN8 is six-fold less potent as hrAChEI (Table 1), and shows a Ki value two-fold higher than donepezil (Ki = 39 nM) [28].
Table 1.
Determination of IC50 for human recombinant acetylcholinesterase (hrAChE) and butyrylcholinesterase (hrBuChE) inhibition by ligands QN8, QN9, DQN7, and donepezil.
Figure 4.
IC50 determination for hrAChE inhibition by QN8, QN9, and DQN7.
Figure 5.
IC50 determination for hrBuChE inhibition by QN8, QN9, and DQN7.
Figure 6.
Inhibition kinetics of hrAChE by compound QN8.
Compounds DQN6-8 and DQN10-12 have been previously described and tested as MAO and ChE inhibitors [19]. We observed low hrMAO inhibition at 1 and 10 µM concentration (data not shown) and did not determine their IC50. In a formerly published study [19], hrMAO inhibition was reported in the double digit micromolar range for most of the compounds, but the source of MAOs was not mentioned or referenced.
Regarding the inhibition of the hChEs, the previous data [19] were different from ours, but used eel, equine, or rat AChE and BuChE enzymes. Because of the higher relevance, we think that only data determined for human enzymes should be considered for further investigation.
Our SAR design was based on two similar cores, a variable linker and a limited number of differently functionalized basic centres (Figure 2 and Figure 3). On the basis of the comparison between compounds QN8 (0.29 µM) and DQN7 (1.58 µM), the quinolinone core looked more potent than the semi-unsaturated dihydroquinolinone as hrAChE inhibitor. The isopropylpiperazine seemed also essential for the hrAChE activity with the butoxy group as the optimal linker between the core and basic centre. The branched isopropyl substituent boosted the hrAChE inhibition as observed when comparing QN8 (0.29 µM) with the methylpiperazine QN4 (low inhibition percentage). This assessment is also valid for the compounds QN9 (0.96 µM) and DQN7 (1.58 µM) vs. QN5 and DQN3 (low inhibition percentage). These SAR findings open new directions to develop further modified hrAChE inhibitors with hrBuChE selectivity.
2.3. Computational Chemistry: Docking of Compound QN8
To justify the observed in vitro enzymatic activity and shed light into the hrAChE active site and binding mode of compound QN8, we performed molecular docking studies using software AutoDock Vina 1.1.2 [29].
Compound QN8 showed quite high binding affinity (−10.3 kcal/mol), indicating a tight binding to the enzyme. The docking analysis revealed that compound QN8 spanned the narrow AChE active site interacting with the anionic subsite (AS) halfway down the gorge, and in the mouth of the gorge at the peripheral anionic site (PAS), but not with the catalytic triad (CT: residues His447, Glu334, and Ser203) of hAChE (Figure 7). In this binding mode, the quinolinone ring interacted with Trp86 (at the AS) and with Tyr337 via π–π stacking interactions. The diprotonated piperazine moiety interacted with Asp74 and Tyr341, at the PAS, via attractive charge and π-cation interactions, respectively. The oxygen ether formed a hydrogen bond with Gly121 in the oxyanion hole (OH), while Tyr124 formed a hydrogen bond with the hydrogen of one of the quaternized nitrogen of the piperazine moiety. In addition, some carbon hydrogen interactions were observed between the ligand and Thr83, Tyr124, and Ty337 (Figure 8).
Figure 7.
Binding mode of QN8 in the active site of hrAChE. Compound QN8 is rendered as sticks (carbon atoms in blue) and the side chain conformations of the mobile residues are illustrated in light blue. Catalytic triad (CT) is coloured in green, oxyanion hole (OH) in magenta, anionic subsite (AS) in orange except Trp86, the acyl binding pocket (ABP) in yellow, and peripheral anionic site (PAS) in light blue.
Figure 8.
2D schematic view of the interactions between QN8 and hrAChE.
In conclusion, docking results based on the interactions of compound QN8 at the AS, PAS and OH are in good agreement with the experimental kinetic data, indicating and confirming a non-competitive type of inhibition.
2.4. Predicted Physico-Chemical Properties Analysis for Ligand QN8
The physico-chemical properties of ligand QN8 were evaluated with QikProp module of Schrodinger (QikProp, version 5.1, Schrodinger, LLC, New York, NY, 2017-1). The selected properties are known to influence metabolism, cell permeation, and bioavailability (Table 2).
Table 2.
Physico-chemical properties of compound QN8 calculated using QikProp. a.
Central Nervous System (CNS) drugs tend to be more lipophilic, less polar, less flexible, and have lower molecular weight and molecular volume than drugs used for other therapeutics. Usually, CNS drugs show values of molecular weight (MW) < 450, number of hydrogen bond donors < 3, number of hydrogen bond acceptors < 7, partition coefficient (QPlogPo/w) < 5, polar surface area (PSA) < 90 square Å, number of rotatable bonds < 8, and hydrogen bonds < 8.
The partition coefficient (QPlogPo/w), which is critical for estimation of absorption within the body, is 2.449 for ligand QN8. A value that ranges 1 to 3 is most favourable for blood–brain barrier (BBB) penetration and CNS activity. The gut–blood barrier permeability was predicted using Caco-2 cell permeability (QPPCaco) as model and it showed good value at 87.998 (<25 poor, >500 great). Further, the prediction for human serum albumin binding using QPlogKhsa showed that the value for QN8 lay within the expected range (from −1.5 to 1.5). Likewise, the brain/blood partition coefficient (QPlogBB) showed a satisfactory value (Table 2). The percentage of oral drug absorption predicted for the test compound was adequate, with a high percentage (>70%) of human oral absorption, indicating their possibilities in oral drug formulation.
The predicted properties of compound QN8 (Table 2) were in the ranges defined by QikProp for 95% of known oral drugs and also satisfied the Lipinski’s rule of five [30]. In conclusion, on the basis of the physico-chemical properties shown in Table 2, compound QN8 shows characteristics that are typical of a drug-like molecule with potential BBB permeability.
3. Materials and Methods
3.1. Chemistry
3.1.1. General Methods
1H-NMR (400 MHz) spectra were recorded on a Bruker Avance III 400 NMR spectrometer (Bruker, Billerica, MA, USA). Chemical shifts δ are given in parts per million referring to the signal centre using the solvent peaks for reference: DMSO-d6 2.49 ppm. LC/MS were recorded in an Agilent HP1100 liquid chromatography system (Agilent Technologies, Santa Clara, CA, USA). Electrospray mass spectrometry measurements (acquired in positive mode) were performed on a mass selective detector quadrupole spectrometer interfaced to the HP1100 HPLC. The conditions followed were as follows: column: HPH Phenomenex Kinetix EVO 2.6u, 2.1 × 30 mm; flow rate: 0.85 mL/min; gradient: 5–100% B; run time: 2 min; solvent A: 10 mM ammonium bicarbonate (pH = 10); solvent B: acetonitrile. The purity of all products, as checked with LC/MS using a diode array detector coupled to a mass spectrometer, was higher than 95%.
3.1.2. General Procedures for the Synthesis of Quinolinones (QNs)
(a) General Procedure A via Mitsunobu reaction: A mixture of 7-hydroxyquinolin-2(1H)-one (0.5 mmol), the appropriate aminoalcohol (0.5 mmol), and cyanomethylenetributylphosphorane (0.7 mmol) in toluene (5 mL) was heated at 100 °C for 16 h. The reaction mixture was diluted with methanol and loaded into 10 g Strong Cation Exchange (SCX) column. Resin was washed with methanol, and crude product was eluted in 2N ammonia in methanol before evaporation of the solvent. The residue was purified by column chromatography (CH2Cl2/MeOH (from 1% to 5%)).
(b) General Procedure B via O-Alkylation: Step 1. A mixture of potassium carbonate (2.5 mmol), 7-hydroxyquinolin-2(1H)-one (0.5 mmol), and the corresponding 1,n-dibromoalkane (1.0 mmol) in acetonitrile (5 mL) was heated at 50 °C for 20 h. After cooling, acetonitrile (10 mL) was added, the inorganic salts were filtered off, and the solvent was evaporated. Step 2. To a stirred solution of the crude intermediate in acetonitrile (5 mL), we added the appropriate amine (2.0 mmol). After stirring at 50 °C for 15 h, we diluted the reaction mixture with methanol and loaded it into 10 g SCX resin. Resin was washed with methanol, and crude product was eluted with 2N ammonia in methanol before evaporation of the solvent. The residue was purified by column chromatography (CH2Cl2/MeOH (from 1% to 5%)).
(c) General Procedure C via O-Alkylation: Step 1. A mixture of potassium carbonate (2.5 mmol), 7-hydroxyquinolin-2(1H)-one (0.5 mmol), and the corresponding 1,n-dibromoalkane (1.0 mmol) in acetonitrile (5 mL) was heated at 50 °C for 20 h. After cooling, acetonitrile (10 mL) was added, the inorganic salts were filtered off, and the solvent was evaporated. Step 2. To a stirred solution of the crude intermediate in acetonitrile (5 mL), we added the appropriate amine (0.5 mmol). After stirring at 50 °C for 15 h, we diluted the reaction mixture with methanol and loaded it into 10 g SCX resin. Resin was washed with methanol, and crude product was eluted with 2N ammonia in methanol before evaporation of the solvent. The residue was purified by column chromatography (CH2Cl2/MeOH (from 1% to 5%)).
7-(3-Morpholinopropoxy)quinolin-2(1H)-one (QN1). Following General Procedure B, the reaction of a mixture of potassium carbonate (345.5 mg, 2.5 mmol), 7-hydroxyquinolin-2(1H)-one (80.6 mg, 0.5 mmol), and 1,3-dibromopropane (202 mg, 1.0 mmol) in acetonitrile (5 mL) afforded a crude intermediate that was suspended in acetonitrile (5 mL), and treated with morpholine (174.3 mg, 2.0 mmol) to give compound QN1 (22.73 mg, 20% yield). 1H-NMR (400 MHz, DMSO-d6) δ: 11.55 (br s, 1H), 7.81 (d, J = 9.5 Hz, 1H), 7.59 (dd, J = 8.3, 1.3 Hz, 1H), 6.79–6.75 (m, 2H), 6.30 (d, J = 9.5 Hz, 1H), 4.05 (t, J = 6.5 Hz, 2H), 3.58–3.54 (m, 4H), 2.40–2.37 (m, 6H), 1.91–1.86 (m, 2H). LC/MS m/z 289.2 (M + H), tR = 0.65 min.
7-(4-Morpholinobutoxy)quinolin-2(1H)-one (QN2). Following General Procedure B, the reaction of a mixture of potassium carbonate (345.5 mg, 2.5 mmol), 7-hydroxyquinolin-2(1H)-one (80.6 mg, 0.5 mmol), and 1,4-dibromobutane (216 mg, 1.0 mmol) in acetonitrile (5 mL) afforded a crude intermediate that was suspended in acetonitrile (5 mL), and treated with morpholine (174.3 mg, 2.0 mmol) to give compound QN2 (20.53 mg, 20% yield). 1H-NMR (400 MHz, DMSO-d6) δ: 11.55 (br s, 1H), 7.80 (d, J = 9.5 Hz, 1H), 7.55 (dd, J = 8.4, 1.3 Hz, 1H), 6.79–6.76 (m, 2H), 6.29 (d, J = 9.5 Hz, 1H), 4.03 (t, J = 6.4 Hz, 2H), 3.56-3.52 (m, 4H), 2.33–2.30 (m, 6H), 1.76–1.73 (m, 2H), 1.58–1.55 (m, 2H). LC/MS m/z 303.2 (M + H), tR = 0.71 min.
7-(5-Morpholinopentyloxy)quinolin-2(1H)-one(QN3). Following General Procedure C, the reaction of a mixture of potassium carbonate (345.5 mg, 2.5 mmol, 7-hydroxyquinolin-2(1H)-one (80.6 mg, 0.5 mmol), and 1,5-dibromopentane (230 mg, 1.0 mmol) in acetonitrile (5 mL) afforded a crude intermediate that was suspended in acetonitrile (5 mL), and treated with morpholine (43.6 mg, 0.5 mmol) to give compound QN3 (19.87 mg, 10% yield). 1H-NMR (400 MHz, DMSO-d6) δ: 11.56 (br s, 1H), 7.80 (d, J = 9.5 Hz, 1H), 7.55 (dd, J = 8.3, 1.3 Hz, 1H), 6.79–6.76 (m, 2H), 6.30 (d, J = 9.5 Hz, 1H), 4.01 (t, J = 6.5 Hz, 2H), 3.56–3.52 (m, 4H), 2.30–2.26 (m, 6H), 1.76–1.73 (m, 2H), 1.54–1.37 (m, 4H). LC/MS m/z 317.2 (M + H), tR = 0.77 min.
7-[4-(4-Methylpiperazin-1-yl)butoxy]quinolin-2(1H)-one(QN4). Following General Procedure B, the reaction of a mixture of potassium carbonate (345.5 mg, 2.5 mmol), 7-hydroxyquinolin-2(1H)-one (80.6 mg, 0.5 mmol), and 1,4-dibromobutane (216 mg, 1.0 mmol) in acetonitrile (5 mL) afforded a crude intermediate that was suspended in acetonitrile (5 mL), and treated with N-methylpiperazine (200.3 mg, 2.0 mmol) to give compound QN4 (29.38 mg, 20% yield). 1H-NMR (400 MHz, DMSO-d6) δ: 11.56 (br s, 1H), 7.80 (d, J = 9.5 Hz, 1H), 7.55 (dd, J = 8.4, 1.3 Hz, 1H), 6.83–6.76 (m, 2H), 6.29 (d, J = 9.5 Hz, 1H), 4.02 (t, J = 6.4 Hz, 2H), 2.37–2.27 (m, 7H), 2.14 (s, 3H), 1.75–1.73 (m, 2H), 1.57–1.55 (m, 2H) (the missing 3H must be hidden under the DMSO-d6 signal). LC/MS m/z 316.2 (M + H), tR = 0.68 min.
7-[5-(4-Methylpiperazin-1-yl)pentyloxy]quinolin-2(1H)-one(QN5). Following General Procedure C, the reaction of a mixture of potassium carbonate (345.5 mg, 2.5 mmol), 7-hydroxyquinolin-2(1H)-one (80.6 mg, 0.5 mmol), and 1,5-dibromopentane (230 mg, 1.0 mmol) in acetonitrile (5 mL) afforded a crude intermediate that was suspended in acetonitrile (5 mL), and treated with N-methylpiperazine (50.08 mg, 0.5 mmol) to give compound QN5 (27.16 mg, 20% yield). 1H-NMR (400 MHz, DMSO-d6) δ: 11.48 (br s, 1H), 7.80 (d, J = 9.4 Hz, 1H), 7.59 (dd, J = 8.4, 1.3 Hz, 1H), 6.78–6.76 (m, 2H), 6.29 (d, J = 9.4 Hz, 1H), 4.00 (t, J = 6.4 Hz, 2H), 2.32–2.26 (m, 10H), 2.14 (s, 3H), 1.75–1.72 (m, 2H), 1.44–1.41 (m, 4H). LC/MS m/z 330.2 (M + H), tR = 0.73 min.
7-[2-(4-Isopropylpiperazin-1-yl)ethoxy]quinolin-2(1H)-one(QN6). Following General Procedure A, 7-hydroxyquinolin-2(1H)-one (80.6 mg, 0.5 mmol) and 2-(4-isopropylpiperazin-1-yl)ethan-1-ol (86.1 mg, 0.5 mmol) were reacted with cyanomethylenetributylphosphorane (169 mg, 0.7 mmol) in toluene (5 mL) to give compound QN6 (20.91 mg, 10% yield). 1H-NMR (400 MHz, DMSO-d6) δ: 11.53 (br s, 1H), 7.81 (d, J = 9.4 Hz, 1H), 7.56 (dd, J = 8.4, 1.4 Hz, 1H), 6.82–6.79 (m, 2H), 6.30 (d, J = 9.4 Hz, 1H), 4.10 (t, J = 5.8 Hz, 2H), 2.70 (t, J = 5.8 Hz, 2H), 2.59–2.27 (m, 9H), 0.96 (d, J = 6.3 Hz, 6H). LC/MS m/z 316.2 (M + H), tR = 0.69 min.
7-[3-(4-Isopropylpiperazin-1-yl)propoxy]quinolin-2(1H)-one formate salt(QN7). Following General Procedure B, the reaction of a mixture of potassium carbonate (345.5 mg, 2.5 mmol), 7-hydroxyquinolin-2(1H)-one (80.6 mg, 0.5 mmol), and 1,3-dibromopropane (202 mg, 1.0 mmol) in acetonitrile (5 mL) afforded a crude intermediate that was suspended in acetonitrile (5 mL), and treated with 1-isopropylpiperazine (256.4 mg, 2.0 mmol) to give compound QN7 as free base. Treatment with 0.1% formic acid/H2O afforded compound QN7 (46.98 mg, 30% yield). 1H-NMR (400 MHz, DMSO-d6) δ: 11.56 (s, 1H), 7.81 (d, J = 9.5 Hz, 1H), 7.55 (dd, J = 8.5, 1.3 Hz, 1H), 6.81–6.79 (m, 2H), 6.30 (d, J = 9.5 Hz, 1H), 4.06 (t, J = 5.9 Hz, 2H), 2.59–2.38 (m, 11H), 1.90–1.87 (m, 2H), 0.96 (d, J = 6.5 Hz, 6H). LC/MS m/z 330.2 (M + H), tR = 0.27 min.
7-[4-(4-Isopropylpiperazin-1-yl)butoxy]quinolin-2(1H)-one(QN8). Following General Procedure C, the reaction of a mixture of potassium carbonate (345.5 mg, 2.5 mmol), 7-hydroxyquinolin-2(1H)-one (80.6 mg, 0.5 mmol), and 1,4-dibromobutane (216 mg, 1.0 mmol) in acetonitrile (5 mL) afforded a crude intermediate that was suspended in acetonitrile (5 mL), and treated with 1-isopropylpiperazine (64.1 mg, 0.5 mmol) to give compound QN8 (49.56 mg, 30% yield). 1H-NMR (400 MHz, DMSO-d6) δ: 11.56 (br s, 1H), 7.80 (d, J = 9.5 Hz, 1H), 7.55 (dd, J = 8.3, 1.3 Hz, 1H), 6.79–6.77 (m, 2H), 6.29 (d, J = 9.5 Hz, 1H), 4.02 (t, J = 6.4 Hz, 2H), 2.58 (t, J = 6.5 Hz, 2H), 2.40–2.30 (m, 9H), 1.81–1.69 (m, 2H), 1.63–1.50 (m, 2H), 0.95 (d, J = 6.5 Hz, 6H). LC/MS m/z 344.2 (M + H), tR = 0.80 min.
7-[5-(4-Isopropylpiperazin-1-yl)pentyloxy]quinolin-2(1H)-one(QN9). Following General Procedure C, the reaction of a mixture of potassium carbonate (345.5 mg, 2.5 mmol), 7-hydroxyquinolin-2(1H)-one (80.6 mg, 0.5 mmol), and 1,5-dibromopentane (230 mg, 1.0 mmol) in acetonitrile (5 mL) afforded a crude intermediate that was suspended in acetonitrile (5 mL) and treated with 1-isopropylpiperazine (64.1 mg, 0.5 mmol) to give compound QN9 (22.19 mg, 10% yield). 1H-NMR (400 MHz, DMSO-d6) δ: 11.55 (br s, 1H), 7.80 (d, J = 9.5 Hz, 1H), 7.55 (dd, J = 8.3, 1,3 Hz, 1H), 6.80–6.77 (m, 2H), 6.29 (dd, J = 9.5 Hz, 1H), 4.00 (t, J = 6.4 Hz, 2H), 2.57-1.73 (m, 11H), 1.75–1.65 (m, 2H), 1.45-1.42 (m, 4H), 0.95 (d, J = 6.5 Hz, 6H). LC/MS m/z 358.2 (M + H), tR = 0.86 min.
7-[2-(Diethylamino)ethoxy]quinolin-2(1H)-one(QN10). Following General Procedure A, 7-hydroxyquinolin-2(1H)-one (80.6 mg, 0.5 mmol) and 2-(diethylamino)ethan-1-ol (58.6 mg, 0.5 mmol) were reacted with cyanomethylenetributylphosphorane (169 mg, 0.7 mmol), in toluene (5 mL, 47.3 mmol) to give compound QN10 (77.06 mg, 60% yield). 1H-NMR (400 MHz, DMSO-d6) δ: 11.56 (s, 1H), 7.81 (d, J = 9.4 Hz, 1H), 7.56 (dd, J = 8.4, 1.3 Hz, 1H), 6.79–6.77 (m, 2H), 6.30 (d, J = 9.4 Hz, 1H), 4.05 (t, J = 6.2 Hz, 2H), 2.80 (t, J = 6.2 Hz, 2H), 2.57 (q, J = 7.1 Hz, 4H), 0.99 (t, J = 7.1 Hz, 6H). LC/MS m/z 261.2 (M + H), tR = 0.78 min.
7-[3-(Diethylamino)propoxy]quinolin-2(1H)-one(QN11). Following General Procedure A, 7-hydroxyquinolin-2(1H)-one (80.6 mg, 0.5 mmol) and 3-(diethylamino)propan-1-ol (65.6 mg, 0.5 mmol) were reacted with cyanomethylenetributylphosphorane (169 mg, 0.7 mmol) in toluene (5 mL) to give compound QN11 (77.0 mg, 60% yield). 1H-NMR (400 MHz, DMSO-d6) δ: 11.51 (br s, 1H), 7.80 (d, J = 9.5 Hz, 1H), 7.55 (dd, J = 8.5, 1.3 Hz, 1H), 6.80–6.77 (m, 2H), 6.29 (d, J = 9.5 Hz, 1H), 4.04 (t, J = 6.3 Hz, 2H), 2.46 (q, J = 7.1 Hz, 4H), 1.84–1.81 (m, 2H), 0.95 (t, J = 7.1 Hz, 6H) (the missing 2H must be hidden under the DMSO-d6 signal). LC/MS m/z 275.2 (M + H), tR = 0.81 min.
7-[4-(Diethylamino)butoxy]quinolin-2(1H)-one(QN12). Following General Procedure B, the reaction of a mixture of potassium carbonate (345.5 mg, 2.5 mmol), 7-hydroxyquinolin-2(1H)-one (80.6 mg, 0.5 mmol), and 1,4-dibromobutane (216 mg, 1.0 mmol) in acetonitrile (5 mL) afforded a crude intermediate that was suspended in acetonitrile (5 mL), and treated with diethylamine (146.3 mg, 2.0 mmol) to give compound QN12 (27.81 mg, 20% yield). 1H-NMR (400 MHz, DMSO-d6) δ: 11.56 (s, 1H), 7.80 (d, J = 9.4 Hz, 1H), 7.56 (dd, J = 8.4, 1.3 Hz, 1H), 6.82–6.78 (m, 2H), 6.29 (d, J = 9.4 Hz, 1H), 4.02 (t, J = 6.6 Hz, 2H), 2.43 (q, J = 7.1 Hz, 4H), 1.77–1.71 (m, 2H), 1.57–1.51 (m, 2H), 0.95 (t, J = 7.1 Hz, 6H) (the missing 2H must be hidden under the DMSO-d6 signal). LC/MS m/z 289.2 (M + H), tR = 0.84 min.
7-[5-(Diethylamino)pentyloxy]quinolin-2(1H)-one(QN13). Following General Procedure B, the reaction of a mixture of potassium carbonate (345.5 mg, 2.5 mmol), 7-hydroxyquinolin-2(1H)-one (80.6 mg, 0.5 mmol), and 1,5-dibromopentane (230 mg, 1.0 mmol) in acetonitrile (5 mL) afforded a crude intermediate that was suspended in acetonitrile (5 mL), and treated with diethylamine (146.3 mg, 2.0 mmol) to give compound QN13 (82.72 mg, 50% yield). 1H-NMR (400 MHz, DMSO-d6) δ: 11.56 (br s, 1H), 7.80 (d, J = 9.5 Hz, 1H), 7.55 (dd, J = 8.3, 1.3 Hz, 1H), 6.80–6.77 (m, 2H), 6.29 (d, J = 9.5 Hz, 1H), 4.00 (t, J = 6.5 Hz, 2H), 2.49–2.35 (m, 6H), 1.79–1.73 (m, 2H), 1.46–1.38 (m, 4H), 0.94 (t, J = 7.1 Hz, 6H). LC/MS m/z 303.2 (M + H), tR = 0.90 min.
7-[2-(Azepan-1-yl)ethoxy]quinolin-2(1H)-one(QN14). Following General Procedure A, 7-hydroxyquinolin-2(1H)-one (80.6 mg, 0.5 mmol) and 2-(azepan-1-yl)ethan-1-ol (71.6 mg, 0.5 mmol) were reacted with cyanomethylenetributylphosphorane (169 mg, 0.7 mmol) in toluene (5 mL, 47.3 mmol) to give compound QN14 (46.52 mg, 30% yield). 1H-NMR (400 MHz, DMSO-d6) δ: 8.28 (d, J = 9.0 Hz, 1H), 7.62 (dd, J = 8.8, 0.7 Hz, 1H), 7.44–7.40 (m, 2H), 6.33 (d, J = 9.0 Hz, 1H), 4.19 (t, J = 5.7 Hz, 2H), 3.62–3.55 (m, 4H), 2.73 (t, J = 5.7 Hz, 2H), 2.49–2.43 (m, 8H). LC/MS m/z 287.2 (M + H), tR = 0.90 min.
(R)-7-[3-(2-Methylpyrrolidin-1-yl)propoxy]quinolin-2(1H)-oneformate salt(QN15). Following General Procedure B, the reaction of a mixture of potassium carbonate (345.5 mg, 2.5 mmol), 7-hydroxyquinolin-2(1H)-one (80.6 mg, 0.5 mmol), and 1,3-dibromopropane (202 mg, 1.0 mmol) in acetonitrile (5 mL) afforded a crude intermediate that was suspended in acetonitrile (5 mL) and treated with (R)-2-methylpyrrolidine (170.3 mg, 2.0 mmol) to give compound QN15 as a free base. Treatment with 0.1% formic acid/H2O afforded compound QN15 (18.05 mg, 10% yield). 1H-NMR (400 MHz, DMSO-d6) δ: 11.55 (s, 1H), 7.80 (d, J = 9.4 Hz, 1H), 7.55 (dd, J = 8.4, 1.3 Hz, 1H), 6.86–6.75 (m, 2H), 6.29 (d, J = 9.4 Hz, 1H), 4.05 (t, J = 6.4 Hz, 2H), 3.10–3.06 (m, 1H), 2.92–2.89 (m, 1H), 2.26–2.23 (m, 1H), 2.15–2.10 (m, 1H), 2.05–2.00 (m, 1H), 1.93–1.84 (m, 3H), 1.73–1.58 (m, 2H), 1.35–1.21 (m, 1H), 1.00 (d, J = 6.0 Hz, 3H). LC/MS m/z 287.2 (M + H), tR = 0.39 min.
(R)-7-[5-(2-Methylpyrrolidin-1-yl)pentyloxy]quinolin-2(1H)-one formate salt(QN16). Following General Procedure B, the reaction of a mixture of potassium carbonate (345.5 mg, 2.5 mmol), 7-hydroxyquinolin-2(1H)-one (80.6 mg, 0.5 mmol), and 1,5-dibromopentane (230 mg, 1.0 mmol) in acetonitrile (5 mL) afforded a crude intermediate that was suspended in acetonitrile (5 mL) and treated with (R)-2-methylpyrrolidine (170.3 mg, 2.0 mmol) to give compound QN16 as free base. Treatment with 0.1% formic acid/H2O afforded compound QN16 (31.92 mg, 10% yield). 1H-NMR (400 MHz, DMSO-d6) δ: 11.53 (br s, 1H), 7.80 (d, J = 9.5 Hz, 1H), 7.55 (dd, J = 8.4, 1.2 Hz, 1H), 6.80–6.75 (m, 2H), 6.29 (d, J = 9.5 Hz, 1H), 4.01 (t, J = 6.5 Hz, 2H), 3.05–3.01 (m, 1H), 2.74–2.65 (m, 1H), 2.21–2.16 (m, 1H), 1.99–1.94 (m, 2H), 1.86–1.71 (m, 3H), 1.64–1.57 (m, 2H), 1.55–1.36 (m, 4H), 1.30–1.23 (m, 1H), 1.00 (d, J = 6.0 Hz, 3H). LC/MS m/z 315.2 (M + H), tR = 0.49 min.
(S)-7-[4-(2-Methylpyrrolidin-1-yl)butoxy]quinolin-2(1H)-oneformate salt(QN17). Following General Procedure B, the reaction of a mixture of potassium carbonate (345.5 mg, 2.5 mmol), 7-hydroxyquinolin-2(1H)-one (80.6 mg, 0.5 mmol), and 1,4-dibromobutane (216 mg, 1.0 mmol) in acetonitrile (5 mL) afforded a crude intermediate that was suspended in acetonitrile (5 mL), and treated with (S)-2-methylpyrrolidine (170.3 mg, 2.0 mmol) to give compound QN17 as free base. Treatment with 0.1% formic acid/H2O afforded compound QN17 (39.42 mg, 30% yield). 1H-NMR (400 MHz, DMSO-d6) δ: 11.57 (s, 1H), 8.18 (s, 1H), 7.80 (d, J = 9.5 Hz, 1H), 7.55 (dd, J = 8.3, 1.4 Hz, 1H), 6.80–6.78 (m, 2H), 6.29 (dd, J = 8.5, 1.8 Hz, 1H), 4.03 (t, J = 6.4 Hz, 2H), 3.17–3.08 (m, 1H), 2.84–2.78 (m, 1H), 2.32–2.28 (m, 1H), 2.20–2.06 (m, 2H), 1.92–1.57 (m, 7H), 1.34–1.25 (m, 1H), 1.05 (d, J = 6.1 Hz, 3H). LC/MS m/z 301.2 (M + H), tR = 0.42 min.
(S)-7-[5-(2-Methylpyrrolidin-1-yl)pentyloxy]quinolin-2(1H)-one formate salt(QN18). Following General Procedure B, the reaction of a mixture of potassium carbonate (345.5 mg, 2.5 mmol), 7-hydroxyquinolin-2(1H)-one (80.6 mg, 0.5 mmol), and 1,5-dibromopentane (230 mg, 1.0 mmol) in acetonitrile (5 mL) afforded a crude intermediate that was suspended in acetonitrile (5 mL) and treated with (S)-2-methylpyrrolidine (170.3 mg, 2.0 mmol) to give compound QN18 as free base. Treatment with 0.1% formic acid/H2O afforded compound QN18 (27.01 mg, 10% yield). 1H-NMR (400 MHz, DMSO-d6) δ: 11.50 (br s, 1H), 7.80 (d, J = 9.5 Hz, 1H), 7.55 (dd, J = 8.3, 1,2 Hz 1H), 6.80–6.77 (m, 2H), 6.29 (d, J = 9.5 Hz, 1H), 4.00 (t, J = 6.5 Hz, 2H), 3.05–2.98 (m, 1H), 2.75–2.65 (m, 1H), 2.26–2.12 (m, 1H), 2.03–1.94 (m, 2H), 1.87–1.74 (m, 3H), 1.64–1.58 (m, 2H), 1.51–1.40 (m, 4H), 1.29–1.25 (m, 1H), 1.00 (d, J = 6.0 Hz, 3H). LC/MS m/z 315.2 (M + H), tR = 0.49 min.
7-[(1-Methylpiperidin-4-yl)oxy]quinolin-2(1H)-one(QN19). A mixture of 7-hydroxyquinolin-2(1H)-one (80.6 mg, 0.5 mmol), 1-methylpiperidin-4-ol (172.8 mg, 1.5 mmol), and cyanomethylenetributylphosphorane (362.0 mg, 1.5 mmol) in toluene (5 mL, 47.3 mmol) was heated at 100 °C for 16 h. The reaction mixture was diluted with methanol and loaded into 10 g SCX resin. Resin was washed with methanol, and crude product was eluted with 2N ammonia in methanol before evaporation of the solvent. The residue was purified by column chromatography (CH2Cl2/MeOH (from 1% to 5%)) to give compound QN19 (46.1 mg, 30% yield). 1H-NMR (400 MHz, DMSO-d6) δ: 11.49 (s, 1H), 7.80 (d, J = 9.5 Hz, 1H), 7.55 (dd, J= 8.3, 1,3 Hz, 1H), 6.82–6.79 (m, 2H), 6.30 (d, J = 9.5 Hz, 1H), 4.38 (tt, J = 8.2, 4.0 Hz, 1H), 3.17 (d, J = 5.2 Hz, 1H), 2.62–2.58 (m, 2H), 2.19 (s, 3H), 2.16–2.12 (m, 1H), 1.98–1.95 (m, 2H), 1.71–1.62 (m, 2H). LC/MS m/z 259.2 (M + H), tR = 0.67 min.
3.1.3. General Procedures for the Synthesis of DihydroQuinolinones (DQNs)
(a) General Procedure A via Mitsunobu reaction: A mixture of 7-hydroxy-3,4-dihydroquinolin-2(1H)-one (0.5 mmol), the appropriate aminoalcohol (0.5 mmol), and cyanomethylenetributylphosphorane (0.7 mmol) in toluene (5 mL) was heated at 100 °C for 16 h. The reaction mixture was diluted with methanol and loaded into 10 g SCX resin. Resin was washed with methanol, and crude product was eluted in 2N ammonia in methanol before evaporation of the solvent. The residue was purified by column chromatography (CH2Cl2/MeOH (from 1% to 5%)).
(b) General Procedure B via O-Alkylation: Step 1. A mixture of potassium carbonate (2.5 mmol), 7-hydroxy-3,4-dihydroquinolin-2(1H)-one (0.5 mmol), and the corresponding 1,n-dibromoalkane (1.0 mmol) in acetonitrile (5 mL) was heated at 50 °C for 20 h. After cooling, acetonitrile (10 mL) was added, the inorganic salts were filtered off, and the solvent was evaporated. Step 2. To a stirred solution of the crude intermediate in acetonitrile (5 mL), we added the appropriate amine (2.0 mmol). After stirring at 50 °C for 15 h, we diluted the reaction mixture with methanol and loaded it into 10 g SCX resin. Resin was washed with methanol, and crude product was eluted with 2N ammonia in methanol before evaporation of the solvent. The residue was purified by column chromatography [CH2Cl2/MeOH (from 1% to 5%)].
(c) General Procedure C via O-Alkylation: Step 1. A mixture of potassium carbonate (2.5 mmol), 7-hydroxy-3,4-dihydroquinolin-2(1H)-one (0.5 mmol), and the corresponding 1,n-dibromoalkane (1.0 mmol) in acetonitrile (5 mL) was heated at 50 °C for 20 h. After cooling, acetonitrile (10 mL) was added, the inorganic salts were filtered off, and the solvent was evaporated. Step 2. To a stirred solution of the crude intermediate in acetonitrile (5 mL), we added the appropriate amine (0.5 mmol). After stirring at 50 °C for 15 h, we diluted the reaction mixture with methanol and loaded it into 10 g SCX resin. Resin was washed with methanol, and crude product was eluted with 2N ammonia in methanol before evaporation of the solvent. The residue was purified by column chromatography (CH2Cl2/MeOH (from 1% to 5%)).
7-(2-Morpholinoethoxy)-3,4-dihydroquinolin-2(1H)-one (DQN1). Following General Procedure A, 7-hydroxy-3,4-dihydroquinolin-2(1H)-one (81.6 mg, 0.5 mmol) and 2-morpholinoethan-1-ol (65.6 mg, 0.5 mmol) were reacted with cyanomethylenetributylphosphorane (169 mg, 0.7 mmol) in toluene (5 mL, 47.3 mmol) to give compound DQN1 (110.47 mg, 80% yield). 1H-NMR (400 MHz, DMSO-d6) δ: 9.97 (s, 1H), 7.05 (d, J = 8.2 Hz, 1H), 6.50 (dd, J = 8.2, 2.6 Hz, 1H), 6.43 (d, J = 2.6 Hz, 1H), 4.00 (t, J = 5.7 Hz, 2H), 3.59–3.57 (m, 4H), 2.80–2.77 (m, 2H), 2.68–2.65 (m, 2H), 2.47–2.40 (m, 6H). LC/MS m/z 277.2 (M + H), tR = 0.63 min.
7-[2-(4-Methylpiperazin-1-yl)ethoxy]-3,4-dihydroquinolin-2(1H)-one (DQN2). Following General Procedure A, 7-hydroxy-3,4-dihydroquinolin-2(1H)-one (81.6 mg, 0.5 mmol) and 2-(4-methylpiperazin-1-yl)ethan-1-ol (72.1 mg, 0.5 mmol) were reacted with cyanomethylenetributylphosphorane (169 mg, 0.7 mmol) in toluene (5 mL, 47.3 mmol) to give compound DQN2 (119.38 mg, 80% yield). 1H-NMR (400 MHz, DMSO-d6) δ: 9.97 (s, 1H), 7.05 (d, J = 8.3 Hz, 1H), 6.50 (dd, J = 8.3, 2.6 Hz, 1H), 6.43 (d, J = 2.6 Hz, 1H), 3.99 (t, J = 5.8 Hz, 2H), 2.78 (t, J = 7.5 Hz, 2H), 2.65 (t, J = 5.8 Hz, 2H), 2.52–2.48 (m, 4H), 2.43–2.40 (m, 4H), 2.31–2.25 (m, 2H), 2.15 (s, 3H). LC/MS m/z 290.2 (M + H), tR = 0.60 min.
7-[4-(4-Methylpiperazin-1-yl)butoxy]-3,4-dihydroquinolin-2(1H)-one(DQN3). Following General Procedure C, the reaction of a mixture of potassium carbonate (345.5 mg, 2.5 mmol), 7-hydroxy-3,4-dihydroquinolin-2(1H)-one (81.6 mg, 0.5 mmol), and 1,4-dibromobutane (216 mg, 1.0 mmol) in acetonitrile (5 mL) afforded a crude intermediate that was suspended in acetonitrile (5 mL), and treated with N-methylpiperazine (50.08 mg, 0.5 mmol) to give compound DQN3 (41.70 mg, 30% yield). 1H-NMR (400 MHz, DMSO-d6) δ: 9.97 (s, 1H), 7.04 (d, J = 8.2 Hz, 1H), 6.48 (dd, J = 8.3, 2.6 Hz, 1H), 6.43 (d, J = 2.6 Hz, 1H), 3.90 (t, J = 6.4 Hz, 2H), 2.78 (dd, J = 8.5, 6.5 Hz, 2H), 2.43–2.39 (m, 4H), 2.34–2.24 (m, 8H), 2.14 (s, 3H), 1.75–1.63 (m, 2H), 1.59–1.47 (m, 2H). LC/MS m/z 318.2 (M + H), tR = 0.72 min.
7-[5-(4-Methylpiperazin-1-yl)pentyloxy]-3,4-dihydroquinolin-2(1H)-one(DQN4). Following General Procedure C, the reaction of a mixture of potassium carbonate (345.5 mg, 2.5 mmol), 7-hydroxy-3,4-dihydroquinolin-2(1H)-one (81.6 mg, 0.5 mmol), and 1,5-dibromopentane (230 mg, 1.0 mmol) in acetonitrile (5 mL) afforded a crude intermediate that was suspended in acetonitrile (5 mL), and treated with N-methylpiperazine (50.08 mg, 0.5 mmol) to give compound DQN4 (43.22 mg, 30% yield). 1H-NMR (400 MHz, DMSO-d6) δ: 9.97 (s, 1H), 7.04 (d, J = 8.2 Hz, 1H), 6.48 (dd, J = 8.3, 2.6 Hz, 1H), 6.43 (d, J = 2.6 Hz, 1H), 3.88 (t, J = 6.5 Hz, 2H), 2.80–2.76 (m, 2H), 2.43–2.39 (m, 5H), 2.38–2.19 (m, 7H), 2.14 (s, 3H), 1.69–1.65 (m, 2H), 1.52–1.31 (m, 4H). LC/MS m/z 332.2 (M + H), tR = 0.79 min.
7-[2-(4-Isopropylpiperazin-1-yl)ethoxy]-3,4-dihydroquinolin-2(1H)-one(DQN5). Following General Procedure A, 7-hydroxy-3,4-dihydroquinolin-2(1H)-one (81.6 mg, 0.5 mmol) and 2-(4-isopropylpiperazin-1-yl)ethan-1-ol (63.6 mg, 0.5 mmol) were reacted with cyanomethylenetributylphosphorane (169 mg, 0.7 mmol) in toluene (5 mL) to give compound DQN5 (46.62 mg, 30% yield). 1H-NMR (400 MHz, DMSO-d6) δ: 9.97 (s, 1H), 7.05 (d, J = 8.3 Hz, 1H), 6.50 (dd, J = 8.3, 2.6 Hz, 1H), 6.43 (d, J = 2.6 Hz, 1H), 3.98 (t, J = 5.8 Hz, 2H), 2.78 (t, J = 7.5 Hz, 2H), 2.65–2.59 (m, 4H), 2.47–2.37 (m, 9H), 0.96 (d, J = 6.5 Hz, 6H). LC/MS m/z 318.2 (M + H), tR = 0.72 min.
7-[3-(4-Isopropylpiperazin-1-yl)propoxy]-3,4-dihydroquinolin-2(1H)-one(DQN6). Following General Procedure C, the reaction of a mixture of potassium carbonate (345.5 mg, 2.5 mmol), 7-hydroxy-3,4-dihydroquinolin-2(1H)-one (81.6 mg, 0.5 mmol), and 1,3-dibromopropane (202 mg, 1.0 mmol) in acetonitrile (5 mL) afforded a crude intermediate that was suspended in acetonitrile (5 mL), and treated with 1-isopropylpiperazine (64.1 mg, 0.5 mmol) to give compound DQN6 (31.79 mg, 20% yield). 1H-NMR (400 MHz, DMSO-d6) δ: 9.96 (br s, 1H), 7.04 (d, J = 8.2 Hz, 1H), 6.48 (dd, J = 8.2, 2.6 Hz, 1H), 6.43 (d, J = 2.6 Hz, 1H), 3.91 (t, J = 6.4 Hz, 2H), 2.78 (dd, J = 8.5, 6.5 Hz, 2H), 2.62–2.55 (m, 2H), 2.49–2.40 (m, 6H), 2.40–2.31 (m, 5H), 1.86–1.80 (m, 2H), 0.96 (d, J = 6.5 Hz, 6H). LC/MS m/z 332.2 (M + H), tR = 0.78 min.
7-[4-(4-Isopropylpiperazin-1-yl)butoxy]-3,4-dihydroquinolin-2(1H)-one(DQN7). Following General Procedure C, the reaction of a mixture of potassium carbonate (345.5 mg, 2.5 mmol), 7-hydroxy-3,4-dihydroquinolin-2(1H)-one (81.6 mg, 0.5 mmol), and 1,4-dibromobutane (216 mg, 1.0 mmol) in acetonitrile (5 mL) afforded a crude intermediate that was suspended in acetonitrile (5 mL), and treated with 1-isopropylpiperazine (64.1 mg, 0.5 mmol) to give compound DQN7 (58.01 mg, 30% yield). 1H-NMR (400 MHz, DMSO-d6) δ: 9.97 (s, 1H), 7.04 (d, J = 8.2 Hz, 1H), 6.48 (dd, J = 8.2, 2.6 Hz, 1H), 6.43 (d, J = 2.6 Hz, 1H), 3.90 (t, J = 6.4 Hz, 2H), 2.78 (t, J = 7.5 Hz, 2H), 2.59–2.54 (m, 3H), 2.46–2.37 (m, 6H), 2.36–2.23 (m, 4H), 1.71–1.65 (m, 2H), 1.55–1.51 (m, 2H), 0.95 (d, J = 6.5 Hz, 6H). LC/MS m/z 346.2 (M + H), tR = 0.83 min.
7-[5-(4-Isopropylpiperazin-1-yl]pentyloxy)-3,4-dihydroquinolin-2(1H)-one(DQN8). Following General Procedure C, the reaction of a mixture of potassium carbonate (345.5 mg, 2.5 mmol), 7-hydroxy-3,4-dihydroquinolin-2(1H)-one (81.6 mg, 0.5 mmol), and 1,4-dibromopentane (230 mg, 1.0 mmol) in acetonitrile (5 mL) afforded a crude intermediate that was suspended in acetonitrile (5 mL), and treated with 1-isopropylpiperazine (64.1 mg, 0.5 mmol) to give compound DQN8 (50.70 mg, 30% yield). 1H-NMR (400 MHz, DMSO-d6) δ: 9.97 (s, 1H), 7.04 (d, J = 8.2 Hz, 1H), 6.48 (dd, J = 8.2, 2.6 Hz, 1H), 6.43 (d, J = 2.6 Hz, 1H), 3.88 (t, J = 6.5 Hz, 2H), 2.78 (t, J = 7.5 Hz, 2H), 2.60–2.54 (m, 4H), 2.47–2.40 (m, 5H), 2.34–2.32 (m, 2H), 2.26–2.22 (m, 2H), 1.73–1.66 (m, 2H), 1.50–1.34 (m, 4H), 0.95 (d, J = 6.5 Hz, 6H). LC/MS m/z 360.2 (M + H), tR = 0.90 min.
7-[2-(Diethylamino)ethoxy]-3,4-dihydroquinolin-2(1H)-one(DQN9). Following General Procedure A, 7-hydroxy-3,4-dihydroquinolin-2(1H)-one (81.6 mg, 0.5 mmol) and 2-(diethylamino)ethan-1-ol (65.6 mg, 0.5 mmol) were reacted with cyanomethylenetributylphosphorane (169 mg, 0.7 mmol) in toluene (5 mL, 47.3 mmol) to give compound DQN9 (97.32 mg, 70% yield). 1H-NMR (400 MHz, DMSO-d6) δ: 9.96 (s, 1H), 7.04 (d, J = 8.2 Hz, 1H), 6.48 (dd, J = 8.2, 2.6 Hz, 1H), 6.43 (d, J = 2.6 Hz, 1H), 3.93 (t, J = 6.2 Hz, 2H), 2.76 (q, J = 7.1 Hz, 4H), 2.59–2.50 (m, 4H), 2.42 (t, J = 6.2 Hz, 2H), 0.97 (t, J = 7.1 Hz, 6H). LC/MS m/z 263.2 (M + H), tR = 0.82 min.
7-[3-(Diethylamino)propoxy]-3,4-dihydroquinolin-2(1H)-one(DQN10). Following General Procedure B, the reaction of a mixture of potassium carbonate (345.5 mg, 2.5 mmol), 7-hydroxy-3,4-dihydroquinolin-2(1H)-one (81.6 mg, 0.5 mmol), and 1,3-dibromopropane (202 mg, 1.0 mmol) in acetonitrile (5 mL) afforded a crude intermediate that was suspended in acetonitrile (5 mL), and treated with diethylamine (146.28 mg, 2.0 mmol) to give compound DQN10 (63.15 mg, 50% yield). 1H-NMR (400 MHz, DMSO-d6) δ: 9.96 (s, 1H), 7.04 (d, J = 8.2 Hz, 1H), 6.48 (dd, J = 8.2, 2.6 Hz, 1H), 6.43 (d, J = 2.6 Hz, 1H), 3.92 (t, J = 6.3 Hz, 2H), 2.78 (dd, J = 8.4, 6.5 Hz, 2H), 2.50–2.37 (m, 8H), 1.81–1.74 (m, 2H), 0.94 (t, J = 7.1 Hz, 6H). LC/MS m/z 277.2 (M + H), tR = 0.84 min.
7-[4-(Diethylamino)butoxy]-3,4-dihydroquinolin-2(1H)-one(DQN11). Following General Procedure B, the reaction of a mixture of potassium carbonate (345.5 mg, 2.5 mmol), 7-hydroxy-3,4-dihydroquinolin-2(1H)-one (81.6 mg, 0.5 mmol), and 1,3-dibromobutane (216 mg, 1.0 mmol) in acetonitrile (5 mL) afforded a crude intermediate that was suspended in acetonitrile (5 mL), and treated with diethylamine (146.28 mg, 2.0 mmol) to give compound DQN11 (80.66 mg, 60% yield). 1H-NMR (400 MHz, DMSO-d6) δ: 9.97 (s, 1H), 7.04 (d, J = 8.2 Hz, 1H), 6.48 (dd, J = 8.2, 2.6 Hz, 1H), 6.43 (d, J = 2.6 Hz, 1H), 3.90 (t, J = 6.5 Hz, 2H), 2.78 (t, J = 7.5 Hz, 2H), 2.47–2.37 (m, 8H), 1.72–1.65 (m, 2H), 1.53–1.46 (m, 2H), 0.95 (t, J = 7.1 Hz, 6H). LC/MS m/z 291.2 (M + H), tR = 0.87 min.
7-[5-(Diethylamino)pentyloxy]-3,4-dihydroquinolin-2(1H)-one(DQN12). Following General Procedure B, the reaction of a mixture of potassium carbonate (345.5 mg, 2.5 mmol), 7-hydroxy-3,4-dihydroquinolin-2(1H)-one (81.6 mg, 0.5 mmol), and 1,3-dibromopentane (230 mg, 1.0 mmol) in acetonitrile (5 mL) afforded a crude intermediate that was suspended in acetonitrile (5 mL) and treated with diethylamine (146.28 mg, 2.0 mmol) to give compound DQN12 (76.63 mg, 50% yield). 1H-NMR (400 MHz, DMSO-d6) δ: 9.97 (s, 1H), 7.04 (d, J = 8.2 Hz, 1H), 6.48 (dd, J = 8.2, 2.6 Hz, 1H), 6.43 (d, J = 2.6 Hz, 1H), 3.88 (t, J = 6.5 Hz, 2H), 2.78 (t, J = 7.5 Hz, 2H), 2.48–2.37 (m, 6H), 2.35 (t, J = 6.6 Hz, 2H), 1.73–1.66 (m, 2H), 1.44–1.38 (m, 4H), 0.94 (t, J = 7.1 Hz, 6H). LC/MS m/z 305.2 (M + H), tR = 0.95 min.
7-[(1-Methylpiperidin-4-yl)oxy]-3,4-dihydroquinolin-2(1H)-one(DQN13). A mixture of 7-hydroxy-3,4-dihydroquinolin-2(1H)-one (81.6 mg, 0.5 mmol), 1-methylpiperidin-4-ol (172.8 mg, 1.5 mmol), and cyanomethylenetributylphosphorane (362.0 mg, 1.5 mmol) in toluene (5 mL, 47.3 mmol) was heated at 100 °C for 16 h. The reaction mixture was diluted with methanol, loaded into 10 g SCX resin. Resin was washed with methanol, and crude product was eluted in 2N ammonia in methanol before evaporation of the solvent. The residue was purified by column chromatography (CH2Cl2/MeOH (from 1% to 5%)) to give compound DQN13 (87.79 mg, 70% yield). 1H-NMR (400 MHz, DMSO-d6) δ: 9.93 (s, 1H), 7.04 (d, J = 8.3 Hz, 1H), 6.50 (dd, J = 8.3, 2.6 Hz, 1H), 6.44 (d, J = 2.6 Hz, 1H), 4.24-4.21 (m, 1H), 2.78 (t, J = 7.5 Hz, 2H), 2.61–2.57 (m, 2H), 2.46–2.40 (m, 2H), 2.20 (s, 3H), 2.17–2.09 (m, 2H), 1.92–1.87 (m, 2H), 1.65–1.58 (m, 2H). LC/MS m/z 261.2 (M + H), tR = 0.70 min.
3.2. Biological Evaluation
3.2.1. Human MAO Activity Assay
The hrMAO-A and hrMAO-B enzymes were purchased from Sigma-Aldrich (St. Louis, MO, USA). The reaction mixture contained hrMAO-A (2.5 µg/mL protein final concentration) or hrMAO-B (6.25 µg/mL protein final concentration) enzyme and tested compound in final concentration of 1 and 10 µM in 50 mM potassium phosphate buffer with 20% (v/v) glycerol (pH 7.5). The mixture was pre-incubated at 37 °C for 5 min and subsequently substrate kynuramine was added to the final concentration of 60 µM in the case of hrMAO-A and 30 µM in the case of hrMAO-B. The final volume of reaction mixture was 0.1 mL. The whole reaction mixture was incubated at 37 °C for 30 min. The reaction was stopped by the addition of 200 µL acetonitrile/methanol mixture (ratio 1:1) and cooling down to 0 °C. The sample was then centrifuged (16,500× g) for 10 min. The deamination product of kynuramine formed during the enzymatic reaction 4-hydroxyquinoline (4-HQ) was determined by HPLC–MS on a 2.1 mm × 50 mm, 1.8 µm Zorbax RRHD Eclipse plus C18 column (Agilent) by using a 6470 Series Triple Quadrupole mass spectrometer (Agilent) (electrospray ionisation—positive ion mode). Three MRM transitions were followed for kynuramine (165.1 => 30.2, 165.1 => 118.0, 165.1 => 136.0) and 4-HQ (146.1 => 51.1, 146.1 => 77.0, 146.1 => 91.0). Eluents: (A) 0.1% formic acid in water; (B) 0.1% formic acid in acetonitrile.
3.2.2. Human Esterase Activity Assay
Inhibition Efficiency Screening and Determination of IC50
The hrAChE and hrBuChE were prepared as recombinant proteins at the University of Hradec Kralove. For their production, the mammalian expression system was used. Briefly, the DNA sequence encoding human AChE and BuChE was obtained from UniProtKB Server (www.uniprot.org, accession numbers: P22303 and P06276) and de novo synthesized as GeneArt Strings DNA fragments by GeneArt Gene Synthesis Service (Thermo Fisher Scientific, Pardubice, Czech Republic). The DNA fragments were PCR-amplified using gene-specific primers, adding the DNA sequence for C-terminal 6× His-tag. The amplicons were inserted into the mammalian pcDNA3.4 vector by TOPO cloning technology, and the final DNA constructs were verified by Sanger sequencing (ABI PRISM 3130xl). For protein expression, the DNA constructs were transiently transfected into Hek293 derivatives. Recombinant proteins were collected from culture supernatant 6 days later and stored at −80 °C for further purification.
The hrAChE and hrBuChE were purified using a NGC Medium-Pressure Chromatography System (Bio-Rad, USA) [25]. The total volume of 6–8 mL of medium containing secreted protein was desalted using 5 mL HiTrap Desalting column (GE Healthcare, Prague, Czech Republic) equilibrated with buffer A (20 mM sodium phosphate buffer, 150 mM NaCl, 15 mM imidazole, and 20% glycerol; pH 7.4). Acquired supernatant was loaded onto a 1 mL HisTrap FF column (GE Healthcare, Prague, Czech Republic) equilibrated with buffer A. Captured proteins were eluted with buffer B (20 mM sodium phosphate buffer, 150 mM NaCl, 500 mM imidazole, and 20% glycerol; pH 7.4). Imidazole was subsequently removed by repeated centrifugation in Amicon Ultra-4 (Ultracel-10K) tube (Merck Millipore). Protein concentration was determined by linearized Bradford method adapted for 96-well plate.
The catalytic activity of enzymes was determined by standard Ellman method [26] adapted for 96-well plates. The reaction mixture contained hrAChE (70 ng/mL protein final concentration) or hrBuChE (220 ng/mL protein), tested compound at required concentration (varying from 0.1 µM up to 80 µM), and 500 µM 5,5′-dithiobis-2-nitrobenzoic acid (DTNB) in 20 mM sodium phosphate buffer (pH 7.4). The mixture was pre-incubated at 37 °C for 15 min, and subsequently substrate acetylthiocholine iodide (ATChI) or butyrylthiocholine iodide (BuTChI) was added to the final concentration of 1000 µM. The final volume of reaction was 100 µL. The product formed during the reaction 5-thio-2-nitrobenzoic acid (TNB) was determined by following its absorbance at 436 nm. The catalytic activity was evaluated as amount of product (%) formed by enzyme after 10 min of incubation at 37 °C. IC50 values of individual compounds were determined by non-linear regression using GraphPad Prism 7.
3.2.3. Determination of Inhibition Kinetics
Compound with the highest inhibition potential against hrAChE was further analysed regarding its inhibition kinetics parameters (inhibition mechanism and inhibitory constant). Thus, esterase activity assay was carried out at various concentrations of substrate ATChI (ranging from 25 µM to 2000 µM) and various concentrations of tested compound (0.1 µM, 0.3 µM, and 1 µM). Inhibition mechanism and kinetic constant were determined by non-linear regression and double reciprocal method by Lineweaver-Burk [27] using GraphPad Prism 7.
3.3. Docking Analysis
Compound QN8 was prepared using “build” option within Discovery Studio 2.1 to create three-dimensional geometry, and assign proper bond orders and ionization states prior to virtual screening. Protein crystal structure of hAChE (PDB ID: 1B41) was prepared prior to docking, using protein model tool in Discovery Studio in order to add hydrogen atoms and to assign proper bonds, bond orders, hybridization, and charges. In addition, cocrystal ligands and water molecules were removed. AutoDockTools (ADT; version 1.5.4) was used to add hydrogens and partial charges for proteins and ligands using Gasteiger charges. To give flexibility to the binding site, residues lining the AChE (Trp286, Tyr124, Tyr337, Tyr341, Tyr72, Asp74, Thr75, Trp86) were allowed to move during the docking search as performed by software AutoDock Vina 1.1.2 [29]. The ADT program was used to generate the docking input files. Docking calculations were performed with the program AutoDock Vina 1.1.2 and default parameters were used except num modes, which was set to 40. The grid box was built with a resolution of 1 Å and 60 × 60 × 72 points, and it was positioned at the middle of the protein (x = 116.546; y = 110.33; z = −134.181). The best Vina scored poses were considered and the docked ligand output files were viewed and analysed using Discovery Studio.
4. Conclusions
In this work, we described the synthesis of 19 quinolinones (QN1-19) and 13 dihydroquinolinones (DQN1-13) designed as potential MSM for AD therapy. QN and DQN ligands were easily synthesized by Mitsunobu or O-alkylation protocols starting from 7-hydroxyquinolin-2(1H)-one (1) (Scheme 1) and 7-hydroxy-3,4-dihydroquinolin-2(1H)-one (2) (Scheme 2), respectively, and suitably functionalized precursors.
The biological analysis of these compounds on selected targets (hrChEs/hrMAOs) involved in the pathology of the disease produced interesting results. Thus, contrary to our expectations, none of them showed significant hrMAO inhibition. However, molecules QN8, QN9, and DQN7 showed promising hrAChE and hrBuChE inhibition. In particular, molecule QN8 resulted as a potent and selective non-competitive hrAChE inhibitor (IC50 = 0.29 µM), with Ki value in the nanomolar range (79 nM).
Pertinent docking analysis of hit-compound QN8 confirmed the observed kinetic and hrChE inhibition results, suggesting that this ligand is an interesting hit for further investigation. In addition, theoretical physico-chemical property analysis of QN8 confirmed that this is an attractive ligand for deeper investigation in the search of more efficient molecules for AD therapy.
Author Contributions
J.M.-C. designed the project; K.M. supervised the biological analysis; C.D.B., Ó.M.B.-A., M.C., R.A., M.S., and P.B. performed the synthetic and biological studies; I.I. carried out the computational analysis; L.I., F.L.-M., and B.R. analysed the data; M.Á.M.-G. and T.V. supervised the project; K.M. and J.M.-C. organised the draft manuscript; M.Á.M.-G. corrected it for its final version; and all the authors participated in reviewing and editing the manuscript. All authors read and approved the final manuscript.
Funding
R.A., M.S., P.B., and K.M. were supported by European Regional Development Fund/European Social Fund (ERDF/ESF, project PharmaBrain, no. CZ.02.1.01/0.0/0.0/16_025/0007444), University of Hradec Kralove (no. SV2113-2019, VT2019-2021), and EU COST action CA15135 MuTaLig. J.M.C. thanks Ministerio de Economía (MINECO, SAF2015-65586-R) and Universidad Camilo José Cela (UCJC, grants UCJC 2020-03, and UCJC 2020-33) for support.
Conflicts of Interest
The authors declare no conflict of interest.
References
- Reitz, C.; Mayeux, R. Alzheimer’ disease: Epidemiology, diagnostic criteria, risk factors and biomarkers. Biochem. Pharmacol. 2014, 88, 640–651. [Google Scholar] [CrossRef] [PubMed]
- Sloane, P.D.; Zimmerman, S.; Suchindran, C.; Reed, P.; Wang, L.; Boustani, M.; Sudha, S. The public health impact of Alzheimer’s disease, 2000-2050: Potential implication of treatment advances. Annu. Rev. Public Health 2002, 23, 213–231. [Google Scholar] [CrossRef] [PubMed]
- Citron, M. Alzheimer’s disease: Strategies for disease modification. Nat. Rev. Drug Discov. 2010, 9, 387–398. [Google Scholar] [CrossRef] [PubMed]
- Scarpini, E.; Scheltens, P.; Feldman, H. Treatment of Alzheimer’s disease: Current status and new perspectives. Lancet Neurol. 2003, 2, 539–547. [Google Scholar] [CrossRef]
- Huang, Y.; Mucke, L. Alzheimer mechanisms and therapeutic strategies. Cell 2012, 148, 1204–1222. [Google Scholar] [CrossRef]
- Rodda, J.; Carter, J. Cholinesterase inhibitors and memantine for symptomatic treatment of dementia. BMJ 2012, 344, e2986. [Google Scholar] [CrossRef]
- Oset-Gasque, M.J.; Marco-Contelles, J. Alzheimer’s disease, the “One-Molecule, One-Target” paradigm, and the multitarget directed ligand approach. ACS Chem. Neurosci. 2018, 9, 401–403. [Google Scholar] [CrossRef]
- León, R.; Garcia, A.G.; Marco-Contelles, J. Recent advances in the multitarget-directed ligands approach for the treatment of Alzheimer’s disease. Med. Res. Rev. 2013, 33, 139–189. [Google Scholar] [CrossRef]
- Bansal, Y.; Silakari, O. Multifunctional compounds: Smart molecules for multifactorial diseases. Eur. J. Med. Chem. 2014, 76, 31–42. [Google Scholar] [CrossRef]
- Marco-Contelles, J. Facts, results and perspectives of the current Alzheimer’s disease research. ACS Chem. Neurosci. 2019, 10, 1127–1128. [Google Scholar] [CrossRef]
- Bautista-Aguilera, O.M.; Budni, J.; Mina, F.; Medeiros, E.B.; Deuther-Conrad, W.; Entrena, J.M.; Moraleda, I.; Iriepa, I.; López-Muñoz, F.; Marco-Contelles, J. Contilisant, a Tetratarget Small Molecule for Alzheimer’s Disease Therapy Combining Cholinesterase, Monoamine Oxidase Inhibition, and H3R Antagonism with S1R Agonism Profile. J. Med. Chem. 2018, 61, 6937–6943. [Google Scholar] [CrossRef] [PubMed]
- González-Bello, C. Designing irreversible inhibitors-worth the effort? ChemMedChem 2016, 11, 22–30. [Google Scholar] [CrossRef] [PubMed]
- Mertens, M.D.; Hinz, S.; Muller, C.E.; Gütschow, M. Alkynyl–coumarinyl ethers as MAO-B inhibitors. Bioorg. Med. Chem. 2014, 22, 1916–1928. [Google Scholar] [CrossRef] [PubMed]
- Gaspar, A.; Silva, T.; Yáñez, M.; Vina, D.; Orallo, F.; Ortuso, F.; Uriarte, E.; Alcaro, S.; Borges, F. Chromone, a privileged scaffold for the development of monoamine oxidase inhibitors. J. Med. Chem. 2011, 54, 5165–5173. [Google Scholar] [CrossRef] [PubMed]
- Chimenti, F.; Fioravanti, R.; Bolasco, A.; Chimenti, P.; Secci, D.; Rossi, F.; Yáñez, M.; Orallo, F.; Ortuso, F.; Alcaro, S. Chalcones: A valid scaffold for monoamine oxidases inhibitors. J. Med. Chem. 2009, 52, 2818–2824. [Google Scholar] [CrossRef] [PubMed]
- Lemke, C.; Christmann, J.; Yin, J.; Alonso, J.M.; Serrano, E.; Chioua, M.; Ismaili, L.; Martínez-Grau, M.A.; Beadle, C.D.; Vetman, T.; et al. Chromenones as multi neuro-targeting inhibitors of human enzymes. ACS Omega 2019, 4, 22161–22168. [Google Scholar] [CrossRef] [PubMed]
- Tyagi, R.; Singh, H.; Singh, J.; Arora, H.; Yelmeli, V.; Jain, M.; Girigani, S.; Kumar, P. Identification, synthesis, and control of process-related impurities in the antipsychotic drug substance brexpiprazole. Org. Process Res. Dev. 2018, 22, 1471–1480. [Google Scholar] [CrossRef]
- Lan, Y.; Chen, Y.; Xu, X.; Qiu, Y.; Liu, S.; Xin Liu, X.; Liu, B.-F.; Zhang, G. Synthesis and biological evaluation of a novel sigma-1 receptor antagonist based on 3,4-dihydro-2(1H)-quinolinone scaffold as a potential analgesic. Eur. J. Med. Chem. 2014, 79, 216–230. [Google Scholar] [CrossRef]
- Sang, Z.; Pan, W.; Wang, K.; Maa, Q.; Yu, L.; Liu, W. Design, synthesis and biological evaluation of 3,4-dihydro-2(1H)-quinoline-O-alkylamine derivatives as new multipotent cholinesterase/monoamine oxidase inhibitors for the treatment of Alzheimer’s disease. Bioorg. Med. Chem. 2017, 25, 3006–3017. [Google Scholar] [CrossRef]
- Meiring, L.; Petzer, J.P.; Petzer, A. Inhibition of monoamine oxidase by 3,4-dihydro-2(1H)-quinolinone derivatives. Bioorg. Med. Chem. Lett. 2013, 23, 5498–5502. [Google Scholar] [CrossRef]
- Nakamura, T.; Masuda, S.; Fujino, A. Preparation of Dihydroquinolinone Derivatives for Use as H3 Receptor Antagonists. WO2010090347A1, 12 August 2010. [Google Scholar]
- Godfrey, A.G.; Masquelin, T.; Hemmerle, H. A remote controlled adaptive medchem lab: An innovative approach to enable drug discovery in the 21st Century. Drug Discov. Today 2013, 18, 795–802. [Google Scholar] [CrossRef] [PubMed]
- Tsunoda, T.; Ozaki, F.; Ito, S. Novel reactivity of stabilized methylenetributylphosphorane: A new Mitsunobu reagent. Tetrahedron Lett. 1994, 35, 5081–5082. [Google Scholar] [CrossRef]
- Nowakowska, Z.; Kedzia, B.; Schroeder, G. Synthesis, physicochemical properties and antimicrobial evaluation of new (E)-chalcones. Eur. J. Med. Chem. 2008, 43, 707–713. [Google Scholar] [CrossRef] [PubMed]
- Malinak, D.; Dolezal, R.; Hepnarova, V.; Hozova, M.; Andrys, R.; Bzonek, P.; Racakova, V.; Korabecny, J.; Gorecki, L.; Mezeiova, E.; et al. Synthesis, in vitro screening and molecular docking of isoquinolinium-5-carbaldoximes as acetylcholinesterase and butyrylcholinesterase reactivators. J. Enzyme Inhib. Med. Chem. 2020, 35, 478–488. [Google Scholar] [CrossRef] [PubMed]
- Ellman, G.L.; Courtney, K.D.; Andres Jr, V.; Featherstone, R.M. A new and rapid colorimetric determination of acetylcholinesterase activity. Biochem. Pharmacol. 1961, 7, 88–95. [Google Scholar] [CrossRef]
- Lineweaver, H.; Burk, D. The determination of enzyme dissociation constants. J. Am. Chem. Soc. 1934, 56, 658–666. [Google Scholar] [CrossRef]
- Cai, P.; Fang, S.-Q.; Yang, H.-L.; Yang, X.-L.; Liu, Q.-H.; Kong, L.-Y.; Wang, X.-B. Donepezil-butylated hydroxytoluene (BHT) hybrids as Anti-Alzheimer’s disease agents with cholinergic, antioxidant, and neuroprotective properties. Eur. J. Med. Chem. 2018, 157, 161–176. [Google Scholar] [CrossRef]
- Trott, O.; Olson, A.J. AutoDock Vina: Improving the speed and accuracy of docking with a new scoring function, efficient optimization, and multithreading. J. Comput. Chem. 2010, 31, 455–461. [Google Scholar] [CrossRef]
- Lipinski, C.A.; Lombardo, F.; Dominy, B.W.; Feeney, P.J. Experimental and computational approaches to estimate solubility and permeability in drug discovery and development settings. Adv. Drug Deliv. Rev. 2001, 46, 3–26. [Google Scholar] [CrossRef]
- Duffy, E.M.; Jorgensen, W.L. Prediction of Properties from Simulations: Free Energies of Solvation in Hexadecane, Octanol, and Water. J. Am. Chem. Soc. 2000, 122, 2878–2888. [Google Scholar] [CrossRef]
- Jorgensen, W.L.; Duffy, E.M. Prediction of Drug Solubility from Monte Carlo Simulations. Bioorg. Med. Chem. Lett. 2000, 10, 1155–1158. [Google Scholar] [CrossRef]
© 2020 by the authors. Licensee MDPI, Basel, Switzerland. This article is an open access article distributed under the terms and conditions of the Creative Commons Attribution (CC BY) license (http://creativecommons.org/licenses/by/4.0/).










