Betaglycan (TβRIII) is a Key Factor in TGF-β2 Signaling in Prepubertal Rat Sertoli Cells
Abstract
1. Introduction
2. Results
2.1. TGF-βs Increase mRNA Expression and Reduce Shedding of BG
2.2. Effects of TGF-βs on TIMP3 Secretion and vice versa in SERTOLI Cells
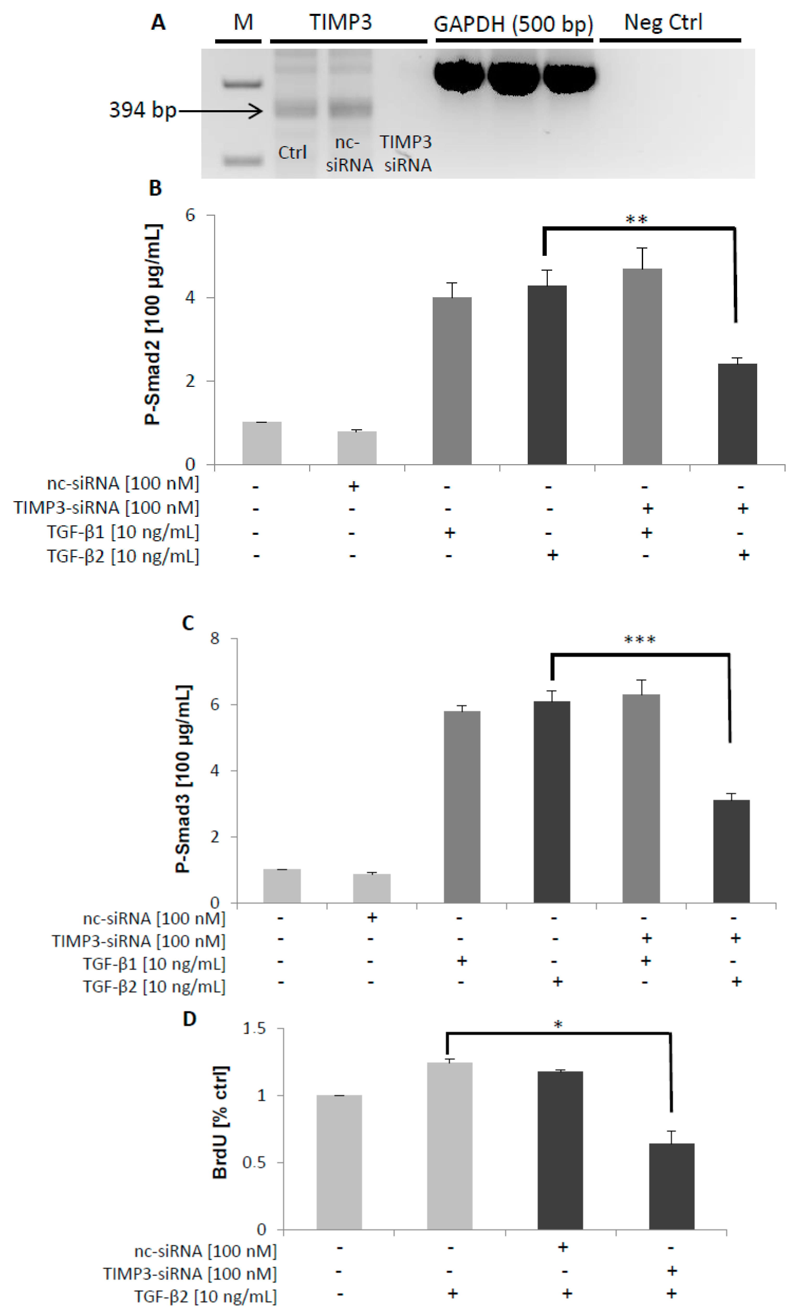
2.3. Effects of TIMP3 on TGF-βs and on Shedding of BG
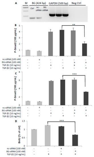
2.4. The Roles of TIMP3 and BG in TGF-β Signaling
3. Discussion
4. Materials and Methods
4.1. Cell Culture
4.2. Recombinant Proteins, Inhibitors and ELISA Kits
4.3. RT-PCR and qRT-PCR
4.4. Preparation of Cell Lysates for ELISA
4.5. Collection of Supernatants for ELISAs
4.6. TIMP1–3, TGF-β1/-β2 and TβRIII/sBG ELISA
4.7. P-Smad2 ELISA
4.8. P-Smad3 ELISA
4.9. siRNA Treatment of 93RS2 Cells
4.10. BrdU Proliferation Assay
4.11. Statistical Analysis
Supplementary Materials
Author Contributions
Funding
Acknowledgments
Conflicts of Interest
References
- Itman, C.; Mendis, S.; Barakat, S.; Loveland, K.L. All in the family: TGF-β family action in testis development. Reproduction 2006, 132, 233–246. [Google Scholar] [CrossRef] [PubMed][Green Version]
- Barakat, B.; O’Connor, A.E.; Gold, E.; de Kretser, D.M.; Loveland, K.L. Inhibin, activin, follistatin and FSH serum levels and testicular production are highly modulated during the first spermatogenic wave in mice. Reproduction 2008, 136, 345–359. [Google Scholar] [CrossRef] [PubMed]
- Young, J.C.; Wakitani, S.; Loveland, K.L. TGF-β superfamily signaling in testis formation and early male germline development. Semin. Cell Dev. Biol. 2015, 45, 94–103. [Google Scholar] [CrossRef] [PubMed]
- Meehan, T.; Schlatt, S.; O’Bryan, M.K.; de Kretser, D.M.; Loveland, K.L. Regulation of germ cell and Sertoli cell development by activin, follistatin, and FSH. Dev. Biol. 2000, 220, 225–237. [Google Scholar] [CrossRef] [PubMed]
- Konrad, L.; Keilani, M.M.; Laible, L.; Nottelmann, U.; Hofmann, R. Effects of TGF-betas and a specific antagonist on apoptosis of immature rat male germ cells in vitro. Apoptosis 2006, 206, 739–748. [Google Scholar] [CrossRef] [PubMed]
- Memon, M.A.; Anway, M.D.; Covert, T.R.; Uzumcu, M.; Skinner, M.K. Transforming growth factor beta (TGFbeta1, TGFbeta2 and TGFbeta3) null-mutant phenotypes in embryonic gonadal development. Mol. Cell. Endocrinol. 2008, 294, 70–80. [Google Scholar] [CrossRef]
- Moreno, S.G.; Attali, M.; Allemand, I.; Messiaen, S.; Fouchet, P.; Coffigny, H.; Romeo, P.H.; Habert, R. TGFbeta signaling in male germ cells regulates gonocyte quiescence and fertility in mice. Dev. Biol. 2010, 342, 74–84. [Google Scholar] [CrossRef]
- Mullaney, B.P.; Skinner, M.K. Transforming growth factor-beta (beta 1, beta 2, and beta 3) gene expression and action during pubertal development of the seminiferous tubule: Potential role at the onset of spermatogenesis. Endocrinology 1993, 7, 67–76. [Google Scholar]
- Konrad, L.; Albrecht, M.; Renneberg, H.; Aumüller, G. TGF-β2 mediates mesenchymal-epithelial interactions of testicular cells. Endocrinology 2000, 141, 3679–3686. [Google Scholar] [CrossRef][Green Version]
- Miles, D.C.; Wakeling, S.I.; Stringer, J.M.; van den Bergen, J.A.; Wilhelm, D.; Sinclair, A.H.; Western, P.S. Signaling through the TGF beta-activin receptors ALK4/5/7 regulates testis formation and male germ cell development. PLoS ONE 2013, 8, e54606. [Google Scholar] [CrossRef]
- Lui, W.Y.; Lee, W.M.; Cheng, C.Y. TGF-βs: Their role in testicular function and Sertoli cell tight junction dynamics. Int. J. Androl. 2001, 26, 147–160. [Google Scholar] [CrossRef] [PubMed]
- Shi, Y.; Massagué, J. Mechanisms of TGF-beta signaling from cell membrane to the nucleus. Cell 2003, 113, 685–700. [Google Scholar] [CrossRef]
- Massagué, J. TGF-beta signal transduction. Ann. Rev. Biochem. 1998, 67, 753–791. [Google Scholar] [CrossRef] [PubMed]
- Derynck, R.; Zhang, Y.E. SMAD-dependent and SMAD-independent pathways in TGF-β family signaling. Nature 2003, 425, 577–584. [Google Scholar] [CrossRef] [PubMed]
- Hinck, A.P. Structural studies of the TGF-βs and their receptors-insights into evolution of the TGF-β superfamily. FEBS Lett. 2012, 586, 1860–1870. [Google Scholar] [CrossRef] [PubMed]
- Attisano, L.; Wrana, J.L.; López-Casillas, F.; Massagué, J. TGF-beta receptors and actions. Biochim. Biophys. Acta 1994, 1222, 71–80. [Google Scholar] [CrossRef]
- Henen, M.A.; Mahlawat, P.; Zwieb, C.; Kodali, R.B.; Hinck, C.S.; Hanna, R.D.; Krzysiak, T.C.; Ilangovan, U.; Cano, K.E.; Hinck, G.; et al. TGF-β2 uses the concave surface of its extended finger region to bind betaglycan’s ZP domain via three residues specific to TGF-β and inhibin-α. J. Biol. Chem. 2019, 294, 3065–3080. [Google Scholar] [CrossRef]
- López-Casillas, F.; Payne, H.M.; Andres, J.L.; Massagué, J. Betaglycan can act as a dual modulator of TGF-beta access to signaling receptors: Mapping of ligand binding and GAG attachment sites. J. Cell. Biol. 1994, 124, 557–568. [Google Scholar] [CrossRef]
- Esparza-Lopez, J.; Montiel, J.L.; Vilchis-Landeros, M.M.; Okadome, T.; Miyazono, K.; López-Casillas, F. Ligand binding and functional properties of betaglycan, a co-receptor of the transforming growth factor-beta superfamily. Specialized binding regions for transforming growth factor-beta and inhibin A. J. Biol. Chem. 2001, 276, 14588–14596. [Google Scholar] [CrossRef]
- Lewis, K.A.; Gray, P.C.; Blount, A.L.; MacConell, L.A.; Wiater, E.; Bilezikjian, L.M.; Vale, W. Betaglycan binds inhibin and can mediate functional antagonism of activin signaling. Nature 2000, 404, 411–414. [Google Scholar] [CrossRef]
- Wiater, E.; Vale, W. Inhibin is an antagonist of bone morphogenetic protein signaling. J. Biol. Chem. 2003, 278, 7934–7941. [Google Scholar] [CrossRef] [PubMed]
- Andres, J.L.; DeFalcis, D.; Noda, M.; Massagué, J. Binding of two growth factor families to separate domains of the proteoglycan betaglycan. J. Biol. Chem. 1992, 267, 5927–5930. [Google Scholar] [PubMed]
- Smits, N.C.; Shworak, N.W.; Dekhuijzen, P.N.; Van Kuppevelt, T.H. Heparan sulfates in the lung: Structure, diversity and role in pulmonary emphysema. Anatom. Record. 2010, 293, 955–967. [Google Scholar] [CrossRef] [PubMed]
- Velasco-Loyden, G.; Arribas, J.; López-Casillas, F. The shedding of betaglycan is regulated by pervanadate and mediated by membrane type matrix metalloprotease-1. J. Biol. Chem. 2004, 279, 7721–7733. [Google Scholar] [CrossRef]
- Vilchis-Landeros, M.M.; Montiel, J.L.; Mendoza, V.; Mendoza-Hernández, G.; López-Casillas, F. Recombinant soluble betaglycan is a potent and isoform-selective transforming growth factor-beta neutralizing agent. Biochem. J. 2001, 355, 215–222. [Google Scholar] [CrossRef]
- Gatza, C.E.; Elderbroom, J.L.; Oh, S.Y.; Starr, M.D.; Nixon, A.B.; Blobe, G.C. The balance of cell surface and soluble type III TGF-β receptor regulates BMP signaling in normal and cancerous mammary epithelial cells. Neoplasia 2014, 16, 489–500. [Google Scholar] [CrossRef]
- Baker, A.H.; Edwards, D.R.; Murphy, G. Metalloproteinase inhibitors: Biological actions and therapeutic opportunities. J. Cell. Sci. 2002, 115, 3719–3727. [Google Scholar] [CrossRef]
- Brew, K.; Nagase, H. The tissue inhibitors of metalloproteinases (TIMPs): An ancient family with structural and functional diversity. Biochim. Biophys. Acta 2010, 1803, 55–71. [Google Scholar] [CrossRef]
- Nagase, H.; Visse, R.; Murphy, G. Structure and function of matrix metalloproteinases and TIMPs. Cardiovasc. Res. 2006, 69, 562–573. [Google Scholar] [CrossRef]
- Guyot, R.; Magre, S.; Leduque, P.; Le Magueresse-Battistoni, B. Differential expression of tissue inhibitor of metalloproteinases type 1 (TIMP-1) during mouse gonad development. Dev. Dyn. 2003, 227, 357–366. [Google Scholar] [CrossRef]
- Leco, K.J.; Khokha, R.; Pavloff, N.; Hawkes, S.P.; Edwards, D.R. Tissue inhibitor of metalloproteinases-3 (TIMP-3) is an extracellular matrix-associated protein with distinctive pattern of expression in mouse cells and tissues. J. Biol. Chem. 1994, 269, 9352–9360. [Google Scholar] [PubMed]
- Edwards, D.R.; Leco, K.J.; Beaudry, P.P.; Atadja, P.W.; Veillette, C.; Riabowol, K.T. Differential effects of transforming growth factor-beta 1 on the expression of matrix metalloproteinases and tissue inhibitors of metalloproteinases in young and old human fibroblasts. Exp. Gerontol. 1996, 31, 207–223. [Google Scholar] [CrossRef]
- Leivonen, S.K.; Lazaridis, K.; Decock, J.; Chantry, A.; Edwards, D.R.; Kähäri, V.M. TGF-β-elicited induction of tissue inhibitor of metalloproteinases (TIMP)-3 expression in fibroblasts involves complex interplay between SMAD3, p38α, and ERK1/2. PLoS ONE 2013, 8, e57474. [Google Scholar] [CrossRef] [PubMed]
- Sarraj, M.A.; Chua, H.K.; Umbers, A.; Loveland, K.L.; Findlay, J.K.; Stenvers, K.L. Differential expression of TGFBR3 (betaglycan) in mouse ovary and testis during gonadogenesis. Growth Factors 2007, 25, 334–345. [Google Scholar] [CrossRef] [PubMed]
- Sarraj, M.A.; Escalona, R.M.; Western, P.; Findlay, J.K.; Stenvers, K.L. Effects of TGFbeta2 on wild-type and Tgfbr3 knockout mouse fetal testis. Biol. Reprod. 2013, 88, 1–13. [Google Scholar] [CrossRef] [PubMed]
- Sarraj, M.A.; Escalona, R.M.; Umbers, A.; Chua, H.K.; Small, C.; Griswold, M.; Loveland, K.; Findlay, J.K.; Stenvers, K.L. Fetal testis dysgenesis and compromised Leydig cell function in Tgfbr3 (beta glycan) knockout mice. Biol. Reprod. 2010, 82, 152–162. [Google Scholar] [CrossRef] [PubMed]
- Meroni, S.B.; Galardo, M.N.; Rindone, G.; Gorga, A.; Riera, M.F.; Cigorraga, S.B. Molecular mechanisms and signalling pathways involved in Sertoli cell proliferation. Front. Endocrinol. (Lausanne) 2019, 10, 224. [Google Scholar] [CrossRef]
- Fukushima, D.; Bützow, R.; Hildebrand, A.; Ruoslahti, E. Localization of transforming growth factor beta binding site in betaglycan. Comparison with small extracellular matrix proteoglycans. J. Biol. Chem. 1993, 268, 22710–22715. [Google Scholar]
- Mendoza, V.; Vilchis-Landeros, M.M.; Mendoza-Hernández, G.; Huang, T.; Villareal, M.M.; Hinck, A.P.; López-Casillas, F.; Montiel, J.L. Betglycan has two independent domains required for high affinity TGF-beta binding: Proteolytic cleavage separates the domains and inactivates the neutralizing activity of the soluble receptor. Biochemistry 2009, 48, 11755–11765. [Google Scholar] [CrossRef]
- Eickelberg, O.; Centrella, M.; Reiss, M.; Kashgarian, M.; Wells, R.G. Betaglycan inhibits TGF-beta signaling by preventing type I-type II receptor complex formation. Glycosaminoglycan modifications alter betaglycan function. J. Biol. Chem. 2002, 277, 823–829. [Google Scholar] [CrossRef]
- Kim, S.K.; Henen, M.A.; Hinck, A.P. Structural biology of betaglycan and endoglin, membrane-bound co-receptors of the TGF-beta family. Exp. Biol. Med. (Maywood) 2019, 10, 15353702. [Google Scholar] [CrossRef] [PubMed]
- Shull, M.M.; Ormsby, I.; Kier, A.B.; Pawlowski, S.; Diebold, R.J.; Yin, M.; Allen, R.; Sidman, C.; Proetzel, G.; Calvin, D.; et al. Targeted disruption of the mouse transforming growth factor-beta 1 gene results in multifocal inflammatory disease. Nature 1992, 359, 693–699. [Google Scholar] [CrossRef] [PubMed]
- Sanford, L.P.; Ormsby, I.; Gittenberger-de Groot, A.C.; Sariola, H.; Friedman, R.; Boivin, G.P.; Cardell, E.L.; Doetschman, T. TGFbeta2 knockout mice have mutiple developmental defects that are non-overlapping with other TGFbeta knockout phenotypes. Development 1997, 124, 2659–2670. [Google Scholar] [PubMed]
- Kaartinen, V.; Voncken, J.W.; Shuler, C.; Warburton, D.; Bu, D.; Heisterkamp, N.; Groffen, J. Abnormal lung development and cleft palate in mice lacking TGF-b3 indicates defects of epithelial-mesenchymal interaction. Nat. Genet. 1995, 11, 415–421. [Google Scholar] [CrossRef] [PubMed]
- Bilandzic, M.; Stenvers, K.L. Betaglycan: A multifunctional accessory. Mol. Cell. Endocrinol. 2011, 339, 180–189. [Google Scholar] [CrossRef] [PubMed]
- Villarreal, M.M.; Kim, S.K.; Barron, L.; Kodali, R.; Baardsnes, J.; Hinck, C.S.; Krysiak, T.C.; Henen, M.A.; Pakhomova, O.; Mendoza, V.; et al. Binding properties of the transforming growth factor-β coreceptor betaglycan: Proposed mechanism for potentiation of receptor complex assembly and signaling. Biochemistry 2016, 55, 6880–6896. [Google Scholar] [CrossRef] [PubMed]
- Philip, A.; Hannah, R.; O’Connor-McCourt, M. Ectodomain cleavage and shedding of the type III transforming growth factor-beta receptor in lung membranes effect of temperature, ligand binding and membrane solubilisation. Eur. J. Biochem. 1999, 261, 618–628. [Google Scholar] [CrossRef]
- Sawyer, J.S.; Anderson, B.D.; Beight, D.W.; Campbell, R.M.; Jones, M.L.; Herron, D.K.; Lampe, J.W.; McCowan, J.R.; McMillen, W.T.; Mort, N.; et al. Synthesis and activity of new aryl- and heteroaryl-substituted pyrazole inhibitors of the transforming growth factor-beta type I receptor kinase domain. J. Med. Chem. 2003, 46, 3953–3956. [Google Scholar] [CrossRef]
- Tazat, K.; Hector-Greene, M.; Blobe, G.C.; Henis, Y.I. TβRIII independently binds type I and type II TGF-β receptors to inhibit TGF-β signaling. Mol. Biol. Cell. 2015, 26, 3535–3545. [Google Scholar] [CrossRef]
- Hill, C.S.; Jacobs, B.H.; Brown, C.B.; Barnett, J.V.; Goudy, S.L. Type III transforming growth factor beta receptor regulates vascular and osteoblast development during palatogenesis. Dev. Dyn. 2015, 244, 122–133. [Google Scholar] [CrossRef]
- Kaur, G.; Dufour, J.M. Cell lines: Valuable tools or useless artifacts. Spermatogenesis 2012, 2, 1–5. [Google Scholar] [CrossRef] [PubMed]
- Konrad, L.; Keilani, M.M.; Cordes, A.; Völck-Badouin, E.; Laible, L.; Albrecht, M.; Renneberg, H.; Aumüller, G. Rat Sertoli cells express epithelial but also mesenchymal genes after immortalization with SV40. Biochim. Biophys. Acta 2005, 1722, 6–14. [Google Scholar] [CrossRef] [PubMed]
- Maekawa, M.; Kamimura, K.; Nagano, T. Peritubular myoid cells in the testis: Their structure and function. Arch. Histol. Cytol. 1996, 59, 1–13. [Google Scholar] [CrossRef] [PubMed]
- Jiang, C.; Hall, S.J.; Boekelheide, K. Development and characterization of a prepubertal rat Sertoli cell line, 93RS2. J. Androl. 1997, 18, 393–399. [Google Scholar] [PubMed]








| Gene (Species) | Sequence (5′→3′) | AT | Size (bp) | Acc. No. |
|---|---|---|---|---|
| Betaglycan (rat) | CTGCGAGGCAAGTTGAACAG fwd GGAGTTGAGCAGGAACACGA rev | 59 °C | 424 | NM_0172256.1 |
| TIMP3 (rat) | CAATTTCGGGTACCCTGGCT fwd TGGAAGTGCGGTCTCATTCT rev | 59 °C | 394 | NM_012886.2 |
| GAPDH (rat) | GCATCTTCTTGTGCAGTGCC fwd ACTGTGGTCATGAGCCCTTC rev | 59 °C | 500 | NM_017008.4 |
© 2019 by the authors. Licensee MDPI, Basel, Switzerland. This article is an open access article distributed under the terms and conditions of the Creative Commons Attribution (CC BY) license (http://creativecommons.org/licenses/by/4.0/).
Share and Cite
Kudipudi, P.K.; Galuska, S.P.; Dietze, R.; Scheiner-Bobis, G.; Loveland, K.L.; Konrad, L. Betaglycan (TβRIII) is a Key Factor in TGF-β2 Signaling in Prepubertal Rat Sertoli Cells. Int. J. Mol. Sci. 2019, 20, 6214. https://doi.org/10.3390/ijms20246214
Kudipudi PK, Galuska SP, Dietze R, Scheiner-Bobis G, Loveland KL, Konrad L. Betaglycan (TβRIII) is a Key Factor in TGF-β2 Signaling in Prepubertal Rat Sertoli Cells. International Journal of Molecular Sciences. 2019; 20(24):6214. https://doi.org/10.3390/ijms20246214
Chicago/Turabian StyleKudipudi, Pradeep K, Sebastian P Galuska, Raimund Dietze, Georgios Scheiner-Bobis, Kate L Loveland, and Lutz Konrad. 2019. "Betaglycan (TβRIII) is a Key Factor in TGF-β2 Signaling in Prepubertal Rat Sertoli Cells" International Journal of Molecular Sciences 20, no. 24: 6214. https://doi.org/10.3390/ijms20246214
APA StyleKudipudi, P. K., Galuska, S. P., Dietze, R., Scheiner-Bobis, G., Loveland, K. L., & Konrad, L. (2019). Betaglycan (TβRIII) is a Key Factor in TGF-β2 Signaling in Prepubertal Rat Sertoli Cells. International Journal of Molecular Sciences, 20(24), 6214. https://doi.org/10.3390/ijms20246214

