Reliability of miRNA Analysis from Fixed and Paraffin-Embedded Tissues
Abstract
1. Introduction
2. Results
2.1. Yield and Purity
2.2. Integrity
2.3. qRT-PCR
2.4. Droplet Digital PCR
2.5. miRNA Comparison: qRT-PCR vs. ddPCR
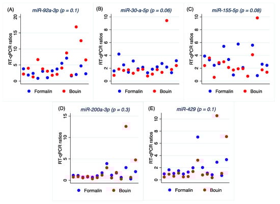
2.6. qRT-PCR miRNAs Normalization
3. Discussion
4. Materials and Methods
4.1. Samples
4.2. miRNA Isolation from Formalin- and Bouin’s-Fixed Paraffin-Embedded Tissues
4.3. RNA Quantification and Quality
4.4. cDNA Synthesis
4.5. Real-time PCR
4.6. Data Normalization
4.7. ddPCR
4.8. Statistical Analyses
Author Contributions
Funding
Acknowledgments
Conflicts of Interest
Abbreviations
| FFPE | Formalin-fixed and paraffin-embedded tissues |
| A260/280 | Ratio of absorbance at 260 and 280 nm |
| A260/230 | Ratio of absorbance at 260 and 230 nm |
| HGSOC | High grade serous ovarian cancer |
| LNA | Locked nucleic acid |
| miRNA | Micro RNA |
| RT-qPCR | Reverse transcription-quantitative polymerase chain reaction |
| ddPCR | Droplet digital Polymerase chain reaction |
Appendix A





Appendix B

References
- Tanca, A.; Addis, M.F.; Simula, M.P.; Pagnozzi, D.; Biosa, G.; Pisanu, S.; Garziera, M.; Cannizzaro, R.; Canzonieri, V.; De Re, V.; et al. Evaluation of the suitability of archival Bouin-fixed paraffin-embedded tissue specimens to proteomic investigation. Electrophoresis 2012, 33, 1375–1384. [Google Scholar] [CrossRef] [PubMed]
- Ortiz-Hidalgo, C. Pol Andre Bouin, MD (1870–1962). Bouin’s fixative and other contributions to medicine. Arch. Pathol. Lab. Med. 1992, 116, 882–884. [Google Scholar] [PubMed]
- Bonin, S.; Petrera, F.; Rosai, J.; Stanta, G. DNA and RNA obtained from Bouin’s fixed tissues. J. Clin. Pathol. 2005, 58, 313–316. [Google Scholar] [CrossRef] [PubMed]
- Muciaccia, B.; Vico, C.; Aromatario, M.; Fazi, F.; Cecchi, R. Molecular analysis of different classes of RNA molecules from formalin-fixed paraffin-embedded autoptic tissues: A pilot study. Int. J. Legal Med. 2015, 129, 11–21. [Google Scholar] [CrossRef] [PubMed]
- Saikumar, J.; Ramachandran, K.; Vaidya, V.S. Noninvasive micromarkers. Clin. Chem. 2014, 60, 1158–1173. [Google Scholar] [CrossRef] [PubMed]
- Peiro-Chova, L.; Pena-Chilet, M.; Lopez-Guerrero, J.A.; Garcia-Gimenez, J.L.; Alonso-Yuste, E.; Burgues, O.; Lluch, A.; Ferrer-Lozano, J.; Ribas, G. High stability of microRNAs in tissue samples of compromised quality. Virchows Arch. 2013, 463, 765–774. [Google Scholar] [CrossRef] [PubMed]
- Sanchez, I.; Betsou, F.; Culot, B.; Frasquilho, S.; McKay, S.C.; Pericleous, S.; Smith, C.; Thomas, G.; Mathieson, W. RNA and microRNA Stability in PAXgene-Fixed Paraffin-Embedded Tissue Blocks After Seven Years’ Storage. Am. J. Clin. Pathol. 2018, 149, 536–547. [Google Scholar] [CrossRef] [PubMed]
- HERCULES-Comprehensive Characterization and Effective Combinatorial Targeting of High-Grade Serous Ovarian Cancer via Single-Cell Analysis. Available online: http://www.project-hercules.eu/ (accessed on 8 May 2019).
- Li, M.; Guan, X.; Sun, Y.; Mi, J.; Shu, X.; Liu, F.; Li, C. miR-92a family and their target genes in tumorigenesis and metastasis. Exp. Cell Res. 2014, 323, 1–6. [Google Scholar] [CrossRef] [PubMed]
- Petrillo, M.; Zannoni, G.F.; Beltrame, L.; Martinelli, E.; DiFeo, A.; Paracchini, L.; Craparotta, I.; Mannarino, L.; Vizzielli, G.; Scambia, G.; et al. Identification of high-grade serous ovarian cancer miRNA species associated with survival and drug response in patients receiving neoadjuvant chemotherapy: A retrospective longitudinal analysis using matched tumor biopsies. Ann. Oncol. 2016, 27, 625–634. [Google Scholar] [CrossRef]
- Shi, M.; Mu, Y.; Zhang, H.; Liu, M.; Wan, J.; Qin, X.; Li, C. MicroRNA-200 and microRNA-30 family as prognostic molecular signatures in ovarian cancer: A meta-analysis. Medicine (Baltimore) 2018, 97, e11505. [Google Scholar] [CrossRef] [PubMed]
- Chen, S.F.; Liu, Z.; Chaurasiya, S.; Dellinger, T.H.; Lu, J.; Wu, X.; Qin, H.; Wang, J.; Fong, Y.; Yuan, Y.C. Identification of core aberrantly expressed microRNAs in serous ovarian carcinoma. Oncotarget 2018, 9, 20451–20466. [Google Scholar] [CrossRef] [PubMed]
- Srinivasan, M.; Sedmak, D.; Jewell, S. Effect of fixatives and tissue processing on the content and integrity of nucleic acids. Am. J. Pathol. 2002, 161, 1961–1971. [Google Scholar] [CrossRef]
- Adam, A.M.A.; Refat, M.S.; Saad, H.A.; Hegab, M.S. An environmentally friendly method to remove and utilize the highly toxic strychnine in other products based on proton-transfer complexation. J. Mol. Struct. 2015, 1102, 170–185. [Google Scholar] [CrossRef]
- Chen, L.; Li, Y.; Fu, Y.; Peng, J.; Mo, M.H.; Stamatakos, M.; Teal, C.B.; Brem, R.F.; Stojadinovic, A.; Grinkemeyer, M.; et al. Role of deregulated microRNAs in breast cancer progression using FFPE tissue. PLoS ONE 2013, 8, e54213. [Google Scholar] [CrossRef] [PubMed]
- Hoefig, K.P.; Thorns, C.; Roehle, A.; Kaehler, C.; Wesche, K.O.; Repsilber, D.; Branke, B.; Thiere, M.; Feller, A.C.; Merz, H. Unlocking pathology archives for microRNA-profiling. Anticancer Res. 2008, 28, 119–123. [Google Scholar] [PubMed]
- Li, J.; Smyth, P.; Flavin, R.; Cahill, S.; Denning, K.; Aherne, S.; Guenther, S.M.; O’Leary, J.J.; Sheils, O. Comparison of miRNA expression patterns using total RNA extracted from matched samples of formalin-fixed paraffin-embedded (FFPE) cells and snap frozen cells. BMC Biotechnol. 2007, 7, 36. [Google Scholar] [CrossRef] [PubMed]
- Xi, Y.; Nakajima, G.; Gavin, E.; Morris, C.G.; Kudo, K.; Hayashi, K.; Ju, J. Systematic analysis of microRNA expression of RNA extracted from fresh frozen and formalin-fixed paraffin-embedded samples. RNA 2007, 13, 1668–1674. [Google Scholar] [CrossRef]
- Fizpatrick, M. Bouin’s Fluid Fixation. Available online: https://theolb.readthedocs.io/en/latest/histology/bouins-fluid-fixation.html (accessed on 8 May 2019).
- Benerini Gatta, L.; Cadei, M.; Balzarini, P.; Castriciano, S.; Paroni, R.; Verzeletti, A.; Cortellini, V.; De Ferrari, F.; Grigolato, P. Application of alternative fixatives to formalin in diagnostic pathology. Eur. J. Histochem. 2012, 56, e12. [Google Scholar] [CrossRef]
- Guillou, L.; Coindre, J.; Gallagher, G.; Terrier, P.; Gebhard, S.; de Saint Aubain Somerhausen, N.; Michels, J.; Jundt, G.; Vince, D.R.; Collin, F.; et al. Detection of the synovial sarcoma translocation t(X;18) (SYT;SSX) in paraffin-embedded tissues using reverse transcriptase-polymerase chain reaction: A reliable and powerful diagnostic tool for pathologists. A molecular analysis of 221 mesenchymal tumors fixed in different fixatives. Hum. Pathol. 2001, 32, 105–112. [Google Scholar]
- Howat, W.J.; Wilson, B.A. Tissue fixation and the effect of molecular fixatives on downstream staining procedures. Methods 2014, 70, 12–19. [Google Scholar] [CrossRef]
- Gloghini, A.; Canal, B.; Klein, U.; Dal Maso, L.; Perin, T.; Dalla-Favera, R.; Carbone, A. RT-PCR analysis of RNA extracted from Bouin-fixed and paraffin-embedded lymphoid tissues. J. Mol. Diagn. 2004, 6, 290–296. [Google Scholar] [CrossRef]
- Kakimoto, Y.; Tanaka, M.; Kamiguchi, H.; Ochiai, E.; Osawa, M. MicroRNA Stability in FFPE Tissue Samples: Dependence on GC Content. PLoS ONE 2016, 11, e0163125. [Google Scholar] [CrossRef] [PubMed]
- Masuda, N.; Ohnishi, T.; Kawamoto, S.; Monden, M.; Okubo, K. Analysis of chemical modification of RNA from formalin-fixed samples and optimization of molecular biology applications for such samples. Nucleic Acids Res. 1999, 27, 4436–4443. [Google Scholar] [CrossRef] [PubMed]
- Baker, J.R. Principles of Biological Microtechnique: A Study of Fixation and Dyeing; Methuen: London, UK; Wiley: New York, NY, USA, 1958. [Google Scholar]
- Racki, N.; Dreo, T.; Gutierrez-Aguirre, I.; Blejec, A.; Ravnikar, M. Reverse transcriptase droplet digital PCR shows high resilience to PCR inhibitors from plant, soil and water samples. Plant Methods 2014, 10, 42. [Google Scholar] [CrossRef] [PubMed]
- Dietrich, D.; Uhl, B.; Sailer, V.; Holmes, E.E.; Jung, M.; Meller, S.; Kristiansen, G. Improved PCR performance using template DNA from formalin-fixed and paraffin-embedded tissues by overcoming PCR inhibition. PLoS ONE 2013, 8, e77771. [Google Scholar] [CrossRef] [PubMed]
- Hedman, J.; Radstrom, P. Overcoming inhibition in real-time diagnostic PCR. Methods Mol. Biol. 2013, 943, 17–48. [Google Scholar] [PubMed]
- Bignotti, E.; Calza, S.; Tassi, R.A.; Zanotti, L.; Bandiera, E.; Sartori, E.; Odicino, F.E.; Ravaggi, A.; Todeschini, P.; Romani, C. Identification of stably expressed reference small non-coding RNAs for microRNA quantification in high-grade serous ovarian carcinoma tissues. J. Cell. Mol. Med. 2016, 20, 2341–2348. [Google Scholar] [CrossRef] [PubMed]
- Livak, K.J.; Schmittgen, T.D. Analysis of relative gene expression data using real-time quantitative PCR and the 2(-Delta Delta C(T)) Method. Methods 2001, 25, 402–408. [Google Scholar] [CrossRef]






| Target | Fixative | Efficiency | Slope | Intercept |
|---|---|---|---|---|
| let-7e-5p | Formalin | 0.94 | −3.48 | 24.29 |
| let-7e-5p | Bouin’s | 0.97 | −3.41 | 25.55 |
| miR-423-3p | Formalin | 0.91 | −3.55 | 24.94 |
| miR-423-3p | Bouin’s | 0.99 | −3.34 | 25.88 |
| miR-92a-1-5p | Formalin | 1.23 | −2.87 | 32.95 |
| miR-92a-1-5p | Bouin’s | 0.84 | −3.78 | 33.02 |
| miR-30d-5p | Formalin | 0.96 | −3.43 | 24.00 |
| miR-30d-5p | Bouin’s | 0.85 | −3.74 | 24.37 |
| miR-155-5p | Formalin | 0.82 | −3.83 | 27.84 |
| miR-155-5p | Bouin’s | 1.04 | −3.23 | 28.71 |
| miR-200a-3p | Formalin | 0.90 | −3.58 | 24.34 |
| miR-200a-3p | Bouin’s | 0.88 | −3.64 | 24.91 |
| miR-429 | Formalin | 0.94 | −3.47 | 25.56 |
| miR-429 | Bouin’s | 0.85 | −3.73 | 26.66 |
| Target | Fixative | Median Ct | CV | Median Copies/µL | CV |
|---|---|---|---|---|---|
| let-7e-5p | Formalin | 26.1 | 0.026 | 90.1 | 0.27 |
| let-7e-5p | Bouin’s | 26.3 | 0.063 | 57.6 | 0.65 |
| miR-423-3p | Formalin | 27.4 | 0.031 | 31.3 | 0.35 |
| miR-423-3p | Bouin’s | 27.2 | 0.048 | 28.1 | 0.49 |
| miR-92a-1-5p | Formalin | 33.4 | 0.034 | 0.48 | 0.88 |
| miR-92a-1-5p | Bouin’s | 33.4 | 0.044 | 0.36 | 1.06 |
| miR-30d-5p | Formalin | 24.6 | 0.026 | 152 | 0.53 |
| miR-30d-5p | Bouin’s | 25.2 | 0.052 | 96.3 | 0.65 |
| miR-155-5p | Formalin | 28.3 | 0.025 | 13.8 | 0.54 |
| miR-155-5p | Bouin’s | 29.4 | 0.040 | 7.5 | 0.67 |
| miR-200a-3p | Formalin | 26.28 | 0.045 | 46.8 | 0.78 |
| miR-200a-3p | Bouin’s | 26.97 | 0.068 | 32.2 | 1.16 |
| miR-429 | Formalin | 26.95 | 0.042 | 27.2 | 0.85 |
| miR-429 | Bouin’s | 27.86 | 0.066 | 14.8 | 1.41 |
| Target | GC (%) | RT-qPCR | RT-ddPCR | ||||||
|---|---|---|---|---|---|---|---|---|---|
| rho 1 | p | R2 | p | rho | p | R2 | p | ||
| let-7e-5p | 41 | 0.07 | 0.8 | 0.04 | 0.4 | 0.2 | 0.4 | 0.03 | 0.5 |
| miR-423-3p | 65 | 0.7 | 0.03 | 0.30 | 0.03 | 0.2 | 0.5 | 0.09 | 0.3 |
| miR-92a-1-5p | 52 | 0.8 | 0.0002 | 0.68 | 0.0003 | 0.7 | 0.007 | 0.84 | < 0.0001 |
| miR-30d-5p | 50 | 0.7 | 0.01 | 0.38 | 0.02 | 0.7 | 0.005 | 0.64 | 0.0006 |
| miR-155-5p | 38 | 0.3 | 0.4 | 0.006 | 0.8 | 0.5 | 0.1 | 0.28 | 0.05 |
| miR-200a-3p | 41 | 0.7 | 0.005 | 0.52 | 0.004 | 0.8 | 0.008 | 0.75 | 0.0001 |
| miR-429 | 36 | 0.7 | 0.004 | 0.46 | 0.008 | 0.6 | 0.01 | 0.65 | 0.0005 |
| Target | Formalin | Bouin’s | ||
|---|---|---|---|---|
| R2 | p | R2 | p | |
| let-7e-5p | 0.18 | 0.1 | 0.46 | 0.005 |
| miR-423-3p | 0.24 | 0.06 | 0.91 | <0.00001 |
| miR-92a-1-5p | 0.44 | 0.01 | 0.73 | 0.0002 |
| miR-30d-5p | 0.94 | <0.0001 | 0.99 | <0.0001 |
| miR-155-5p | 0.007 | 0.8 | 0.90 | <0.0001 |
| miR-200a-3p | 0.98 | <0.0001 | 0.96 | <0.0001 |
| miR-429 | 0.95 | <0.0001 | 0.97 | <0.0001 |
| Target | Formalin | Bouin’s | |
|---|---|---|---|
| Median Ratio | Median Ratio | p | |
| miR-92a-1-5p | 2.7 | 3.9 | 0.1 |
| miR-30d-5p | 2.2 | 1.7 | 0.06 |
| miR-155-5p | 2.7 | 2.0 | 0.08 |
| miR-200a-3p | 1.1 | 0.8 | 0.3 |
| miR-429 | 1.4 | 0.9 | 0.1 |
© 2019 by the authors. Licensee MDPI, Basel, Switzerland. This article is an open access article distributed under the terms and conditions of the Creative Commons Attribution (CC BY) license (http://creativecommons.org/licenses/by/4.0/).
Share and Cite
Azzalini, E.; De Martino, E.; Fattorini, P.; Canzonieri, V.; Stanta, G.; Bonin, S. Reliability of miRNA Analysis from Fixed and Paraffin-Embedded Tissues. Int. J. Mol. Sci. 2019, 20, 4819. https://doi.org/10.3390/ijms20194819
Azzalini E, De Martino E, Fattorini P, Canzonieri V, Stanta G, Bonin S. Reliability of miRNA Analysis from Fixed and Paraffin-Embedded Tissues. International Journal of Molecular Sciences. 2019; 20(19):4819. https://doi.org/10.3390/ijms20194819
Chicago/Turabian StyleAzzalini, Eros, Eleonora De Martino, Paolo Fattorini, Vincenzo Canzonieri, Giorgio Stanta, and Serena Bonin. 2019. "Reliability of miRNA Analysis from Fixed and Paraffin-Embedded Tissues" International Journal of Molecular Sciences 20, no. 19: 4819. https://doi.org/10.3390/ijms20194819
APA StyleAzzalini, E., De Martino, E., Fattorini, P., Canzonieri, V., Stanta, G., & Bonin, S. (2019). Reliability of miRNA Analysis from Fixed and Paraffin-Embedded Tissues. International Journal of Molecular Sciences, 20(19), 4819. https://doi.org/10.3390/ijms20194819

