Does the Automatic Measurement of Interleukin 6 Allow for Prediction of Complications during the First 48 h of Acute Pancreatitis?
Abstract
1. Introduction
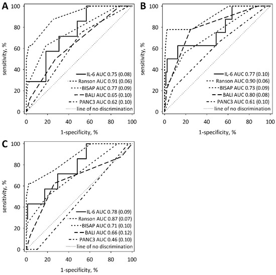
2. Results
3. Discussion
4. Materials and Methods
Statistical Analysis
5. Conclusions
Author Contributions
Acknowledgments
Conflicts of Interest
References
- Goral, V.; Berekatoglu, N.; Mete, N. Correlation of disease activity, IL-6 and CRP levels and leukocytes/lymphocyte ratio among patients with acute pancreatitis. J. Gastrointest. Dig. Syst. 2012, 2, 112. [Google Scholar] [CrossRef]
- Nieminen, A.; Maksimow, M.; Mentula, L.; Kyhala, L.; Kylanpaa, L.; Puolakkainen, P.; Kemppainen, E.; Repo, H.; Salmi, M. Circulating cytokines in predicting development of severe acute pancreatitis. Crit. Care 2014, 18, R104. [Google Scholar] [CrossRef] [PubMed]
- Fukuda, J.K.; Franzon, O.; Resende-Filho, F.; Kruel, N.F.; Ferri, T.A. Prognosis of acute pancreatitis by Panc3 Score. ABCD Arq. Brs. Cir. Dig. 2013, 2, 129–135. [Google Scholar]
- Working Group IAP/APA Acute Pancreatitis Guidelines. IAP/APA evidence guidelines for the management of acute pancreatitis. Pancreatology 2013, 13, e1–e15. [Google Scholar]
- Van Brunschot, S.; Schut, A.J.; Bouwerse, S.A.; Besselink, M.G.; Bakker, O.J.; van Goor, H.; Hofker, S.; Gooszen, H.G.; Boermeester, M.A.; van Santvoort, H.C.; et al. Abdominal compartment syndrome in acute pancreatitis. A systemic review. Pancreas 2014, 43, 665–674. [Google Scholar] [CrossRef] [PubMed]
- Dumnicka, P.; Maduzia, D.; Ceranowicz, P.; Olszanecki, R.; Drożdż, R.; Kuśnierz-Cabala, B. The interplay between inflammation, coagulation and endothelial injury in the early phase of acute pancreatitis: Clinical implications. Int. J. Mol. Sci. 2017, 18, 354. [Google Scholar] [CrossRef] [PubMed]
- Zubia-Olaskoaga, F.; Maravi-Poma, E.; Urreta-Barallobre, I.; Ramirez-Puerta, M.R.; Maurelo-Farina, M.; Marcos-Neira, M.P. Epidemiology of acute pancreatitis in Intensive Care Unit Medicine Study Group: Comparison between revised Atlanta Classification and Determinant-Based Classification for Acute Pancreatitis in Intensive Care Medicine. Why do not use a Modified Determination-Based Classification? Crit. Care Med. 2016, 44, 910–917. [Google Scholar] [PubMed]
- Thomson, A. Call for subcategory of severe acute pancreatitis: Fulminant acute pancreatitis. Crit. Care Med. 2017, 45, e241–e242. [Google Scholar] [CrossRef] [PubMed]
- Agarwal, A.; Garg, C.; Khan, S.; Khan, M.A.; Islam, N. Prognostic indicators in acute pancreatitis: Comparison of interleukin 6 and some selected severity scoring systems in acute pancreatitis. Arch. Int. Surg. 2015, 5, 161–166. [Google Scholar] [CrossRef]
- Banks, P.A. Acute pancreatitis. Landmarks studies, management decisions and the future. Pancreas 2016, 45, 633–640. [Google Scholar] [CrossRef] [PubMed]
- Khanna, A.K.; Meher, A.; Prakash, S.; Tiwary, A.K.; Singh, U.; Srivastava, A.; Dixit, V.K. Comparison of Ranson, Glasgow, MOSS, SIRS, BISAP, APACHE-II, CTSI Scores, IL-6 and procalcitonin in predicting severity, organ failure, pancreatic necrosis, and mortality in acute pancreatitis. HPB Surg. 2013, 2013, 1–10. [Google Scholar] [CrossRef] [PubMed]
- Staubli, S.M.; Oertli, D.; Nebiker, C.A. Laboratory markers predicting severity of acute pancreatitis. Crit. Rev. Clin. Lab. Sci. 2015, 52, 273–283. [Google Scholar] [CrossRef] [PubMed]
- Gurda-Duda, A.; Kusnierz-Cabala, B.; Nowak, W.; Naskalski, J.W.; Kulig, J. Assessment of prognostic value of certain acute phase proteins and procalcitonin in the prognosis of acute pancreatitis. Pancreas 2008, 37, 449–453. [Google Scholar] [CrossRef] [PubMed]
- Rau, B.M.; Kruger, C.M.; Schilling, M.K. Anti-cytokine strategies in acute pancreatitis: Pathophysiological insights and clinical implications. Ann. Acad. Med. Bialostocensis 2005, 50, 106–115. [Google Scholar]
- Naskalski, J.W.; Kusnierz-Cabala, B.; Panek, J.; Kedra, B. Poly-C specific ribonuclease activity correlates with increased concentrations of IL-6, IL-8 and sTNFR55/TNFR75 in plasma of patients with acute pancreatitis. J. Physiol. Pharmacol. 2003, 54, 439–448. [Google Scholar] [PubMed]
- Kusnierz-Cabala, B.; Nowak, E.; Sporek, M.; Kowalik, A.; Kuźniewski, M.; Enquita, F.J.; Stępień, E.Ł. Serum levels of unique miR-551-5p and endothelial-specific miR-126a-5p allow discrimination of patients in the early phase of acute pancreatitis. Pancreatology 2015, 15, 344–351. [Google Scholar] [CrossRef] [PubMed]
- Sporek, M.; Dumnicka, P.; Gala-Bładzinska, A.; Ceranowicz, P.; Warzecha, Z.; Dembiński, A.; Stępien, E.; Walocha, J.; Drozdz, R.; Kuźniewski, M.; Kuśnierz-Cabala, B. Angiopoietin-2 is an early indicator of acute pancreatic-renal syndrome in patients with acute pancreatitis. Mediat. Inflamm. 2016, 2016, 1–7. [Google Scholar] [CrossRef] [PubMed]
- Fonteh, P.; Smith, M.; Brand, M. Adaptive immune cell dysregulation and role in acute pancreatitis disease progression and treatment. Arch. Immunol. Ther. Exp. 2018, 66, 199–209. [Google Scholar] [CrossRef] [PubMed]
- Banks, P.A.; Bollen, T.L.; Dervenis, C.; Gooszen, H.G.; Johnson, C.D.; Sarr, M.G.; Tsiotos, G.G.; Vege, S.S. Classification of acute pancreatitis—2012: Revision of the Atlanta classification and definitions by international consensus. Gut 2013, 62, 102–111. [Google Scholar] [CrossRef] [PubMed]
- Kay, P.S.; Smith, M.; Brand, M. The initiating immune response of acute pancreatitis may be mediated by the T-helper 17 pathway. J. Pancreas 2017, 18, 33–37. [Google Scholar]
- Kostic, I.; Spasic, M.; Stajanovic, B.; Jurisevic, M.; Radovanovic, D.; Canović, D.; Stefanovic, S.; Jankovic, S. Early cytokine profile changes in interstitial and necrotic forms of acute pancreatitis. Serb. J. Exp. Clin. Res. 2015, 16, 33–37. [Google Scholar] [CrossRef]
- Kylanpaa, L.; Rakonczay, Z.; O’Reilly, D.A. The clinical course of acute pancreatitis and the inflammatory mediators that driver it. Int. J. Infamm. 2012, 2012, 1–10. [Google Scholar]
- Janiak, A.; Leśniowski, B.; Jasińska, A.; Pietruczuk, M.; Małecka-Panas, E. Interleukin 18 as an early marker or prognostic factor in acute pancreatitis. Prz. Gastroenterol. 2015, 10, 203–207. [Google Scholar] [CrossRef] [PubMed]
- Wereszczyńska-Siemiątkowska, U.; Siemiątkowski, A. Mediators of inflammatory and coagulation processes in acute pancreatitis—Selected issues. Postep. Nauk Med. 2011, 24, 222–231. [Google Scholar]
- Huan, C.; Kim, D.; Ou, P.; Alfonso, A.; Stanek, A. Mechanisms of interleukin-22’s beneficial effects in acute pancreatitis. World J. Gastrointest. Pathophysiol. 2016, 7, 108–116. [Google Scholar] [CrossRef] [PubMed]
- Manohar, M.; Verma, A.K.; Venkateshaiah, S.U.; Sanders, N.L.; Mishra, A. Pathogenic mechanisms of pancreatitis. World J. Gastrointest. Pathophysiol. 2017, 8, 10–25. [Google Scholar] [CrossRef] [PubMed]
- Xing, Z.; Gauldie, J.; Baumann, H.; Jordana, M.; Lei, X.-F.; Achong, M.K. IL-6 is an anti-inflammatory cytokine required for controlling local or systemic acute inflammatory responses. J. Clin. Investig. 1998, 101, 311–320. [Google Scholar] [CrossRef] [PubMed]
- Czakó, L.; Takács, T.; Varga, I.S.; Hai, D.Q.; Tiszlavicz, L.; Hegyi, P.; Mándi, Y.; Matkovics, B.; Lonovics, J. The pathogenesis of L-arginine-induced acute necrotizing pancreatitis: Inflammatory mediators and endogenous cholecystokinin. J. Physiol. 2000, 94, 43–50. [Google Scholar] [CrossRef]
- Jain, S.; Midha, S.; Mahapatra, S.J.; Gupta, S.; Sharma, M.K.; Nayak, B.; Jacob, T.G.; Shalimar Garg, P.K. Interleukin-6 significantly improves predictive value of systemic inflammatory response syndrome for predicting severe acute pancreatitis. Pancreatology 2018. [Google Scholar] [CrossRef] [PubMed]
- Manjunath, K.; Sanjay-Kumar, H.R.; Pradeep, B.K. Prognostication of acute pancreatitis using simple SIRS score and serum interleukin-6 concentration for effective intervention of severe acute pancreatitis in primary health care. Int. J. Curr. Res. 2017, 9, 47569–47573. [Google Scholar]
- Spitzer, A.L.; Barcia, A.M.; Schell, M.T.; Barber, A.B.; Norman, J.; Grendell, J.; Harris, H.W. Applying Ockham’s Razor to pancreatitis prognostication. A four-variable predictive model. Ann. Surg. 2006, 243, 380–388. [Google Scholar] [CrossRef] [PubMed]
- Sah, R.P.; Dawra, R.K.; Saluja, A.K. New insights into the pathogenesis of pancreatitis. Curr. Opin. Gastroenterol. 2013, 29, 523–530. [Google Scholar] [CrossRef] [PubMed]
- Bhatia, M.; Fei, L.W.; Cao, Y.; Hon, Y.L.; Huang, J.; Puneet, P.; Chevali, L. Pathophysiology of acute pancreatitis. Pancreatology 2005, 5, 132–144. [Google Scholar] [CrossRef] [PubMed]
- Mayerle, J.; Dummer, A.; Sendler, M.; Malla, S.R.; van den Brandt, C.; Teller, S.; Aghdassi, A.; Nitsche, C.; Lerch, M.M. Differential roles of inflammatory cells in pancreatitis. J. Gastroenterol. Hepatol. 2012, 27, 47–51. [Google Scholar] [CrossRef] [PubMed]
- Dambrauskas, Z.; Giese, N.; Gulbinas, A.; Giese, T.; Berberat, P.O.; Pundzius, J.; Barauskas, G.; Friess, H. Different profiles of cytokine expression during mild and severe acute pancreatitis. World J. Gastroenterol. 2010, 16, 1845–1853. [Google Scholar] [CrossRef] [PubMed]
- Rotstein, O.R. Circulating cytokines in predicting development of severe acute pancreatitis. Crit. Care 2014, 18, 575. [Google Scholar] [CrossRef] [PubMed]
- Dumnicka, P.; Kuśnierz-Cabala, B.; Sporek, M.; Mazur-Laskowska, M.; Gil, K.; Kuźniewski, M.; Ceranowicz, P.; Warzecha, Z.; Dembinski, A.; Bonior, A.; et al. Serum concentrations of Angiopoietin-2 and soluble fms-like tyrosine kinase (sFLT-1) are associated with coagulopathy among patients with acute pancreatitis. Int. J. Mol. Sci. 2017, 18, 753. [Google Scholar] [CrossRef] [PubMed]
- Dumnicka, P.; Sporek, M.; Mazur-Laskowska, M.; Ceranowicz, P.; Kuźniewski, M.; Drożdż, R.; Ambroży, T.; Olszanecki, R.; Kuśnierz-Cabala, B. Serum soluble Fms-like tyrosine kinase 1 (sFLt-1) predicts the severity of acute pancreatitis. Int. J. Mol. Sci. 2017, 17, 2038. [Google Scholar] [CrossRef] [PubMed]
- Párniczky, A.; Kui, B.; Szentesi, A.; Balázs, A.; Szűcs, Á.; Mosztbacher, D.; Czimmer, J.; Sarlós, P.; Bajor, J.; Gódi, S.; et al. Prospective, Multicentre, Nationwide Clinical Data from 600 Cases of Acute Pancreatitis. PLoS ONE 2016, 11, e0165309. [Google Scholar] [CrossRef] [PubMed]
- Rosołowski, M.; Lipiński, M.; Dobosz, M.; Durlik, M.; Głuszek, S.; Kuśnierz, K.; Lampe, P.; Małecka-Panas, E.; Nowakowska-Duława, E.; Nowak-Niezgoda, M.; et al. Management of acute pancreatitis (AP)—Polish Pancreatic Club recommendations. Gastroenterol. Rev. 2016, 11, 65–72. [Google Scholar] [CrossRef] [PubMed]
- Papachristou, G.I.; Muddana, V.; Yadav, D.; O’Connell, M.; Sanders, M.K.; Slivka, A.; Whitcomb, D.C. Comparison of BISAP, Ranson’s, APACHE II, and CTSI Scores in predicting organ failure, complication, and mortality in acute pancreatitis. Am. J. Gastroenterol. 2010, 105, 435–441. [Google Scholar] [CrossRef] [PubMed]



| Characteristics | Observed Values |
|---|---|
| Mean age ± SD, years | 48 ± 16.5 |
| Males, n (%) | 65 (68) |
| Severity of AP | |
| MAP, n (%) | 29 (30.5) |
| MSAP, n (%) | 58 (61) |
| SAP, n (%) | 8 (8.5) |
| Etiology | |
| Biliary, n (%) | 27 (28) |
| Alcoholic, n (%) | 29 (31) |
| Alcohol plus high-fat diet, n (%) | 12 (13) |
| Idiopathic, n (%) | 20 (21) |
| Hipertriglicerydemia, n (%) | 5 (5) |
| Other, n (%) | 2 (2) |
| Median duration of hospital stay (Q1–Q3), days | 12 (8–15) |
| SIRS in first 24 h, n (%) | 74 (78) |
| Necrosis, n (%) | 12 (13) |
| Early/late mortality, n (%) | 1 (1)/3 (3) |
| BISAP score ≥ 3 in first 24 h; n (%) | 21 (22) |
| Ranson score ≥ 3 in first 48 h; n (%) | 29 (30.5) |
| BALI scale during first 48 h ≥ 3 points; n (%) | 4 (4) |
| PANC3 score positive in first 24 h, n (%) | 9 (9) |
| Harmless AP (according to HAPS), n (%) | 46 (48) |
| Pre-existing comorbidities, n (%) | 42 (44) |
| Cardiac diseases, n (%) | 31 (33) |
| Liver disease, n (%) | 32 (34) |
| Diabetes, n (%) | 8 (8) |
| Dyslipidemia, n (%) | 3 (3) |
| Chronic kidney disease, n (%) | 2 (2) |
| Other comorbidities, n (%) | 4 (4) |
| Antibiotic treatment, n (%) | 87 (91.5) |
| Therapeutic ERCP, n (%) | 5 (5) |
| Surgery, n (%) | 8 (8) |
| Enteral feeding via nasojejunal tube, n (%) | 10 (10.5) |
| Parenteral feeding, n (%) | 3 (3) |
| Transfer to intensive care unit, n (%) | 7 (7) |
| Variables | Study Day | Median (Q1-Q3) | |||
|---|---|---|---|---|---|
| MAP (n = 29) | MSAP (n = 58) | SAP (n = 8) | p | ||
| Interleukin 6, pg/mL | 1 | 64.7 (14.8–95.7) | 78.9 (27.8–163.0) | 210.7 (73.1–2145.0) | 0.037 a |
| 2 | 38.7 (9.2–103.3) | 66.9 (33.6–219.5) | 280.2 (98.9–528.2) | 0.004 a,b | |
| sFlt-1, pg/mL | 1 | 129 (119–169) | 140 (112–154) | 191 (155–536) | 0.1 |
| 2 | 113 (108–145) | 129 (101–161) | 156 (146–209) | 0.2 | |
| Ang-2, ng/mL | 1 | 2.96 (2.03–3.64) | 3.19 (2.39–3.72) | 8.68 (5.11–18.8) | 0.1 |
| 2 | 3.47 (2.96–6.69) | 3.09 (2.55–4.05) | 9.02 (5.34–19.8) | 0.041 b | |
| CRP, mg/L | 1 | 22.7 (5.30–132.4) | 25.4 (11.9–174.7) | 129.6 (17.4–316.7) | 0.4 |
| 2 | 164.7 (40.4–313.6) | 268.6 (97.0–371.3) | 384.8 (334.7–415.2) | 0.015 a | |
| Albumin, g/L | 1 | 41.0 (31.0–44.0) | 35.0 (33.0–37.0) | 37.0 (35.0–39.0) | 0.6 |
| 2 | 36.0 (30.0–38.0) | 32.0 (29.0–35.0) | 24.0 (20.0–34.0) | 0.033 a | |
| PCT, ng/mL | 1 | 0.10 (0.05–0.55) | 0.17 (0.10–0.36) | 0.61 (0.14–1.03) | 0.1 |
| 2 | 0.22 (0.05–0.59) | 0.46 (0.14–1.43) | 1.76 (0.84–5.29) | 0.009 a | |
| Total protein, g/L | 1 | 78.0 (65.0–80.0) | 65.0 (61.0–74.0) | 76.5 (76.0–77.0) | 0.017 c |
| 2 | 66.7 (64.0–69.0) | 60.0 (53.0–64.0) | 62.0 (59.0–66.0) | 0.012 c | |
| Hematocrit, % | 1 | 42.4 (38.1–45.7) | 43.8 (40.6–46.6) | 44.5 (42.3–49.4) | 0.4 |
| 2 | 37.6 (36.5–39.8) | 38.1 (36.3–41.5) | 41.7 (37.1–45.7) | 0.3 | |
| WBC, ×103/µL | 1 | 12.4 (9.5–15.2) | 13.1 (10.4–16.2) | 17.1 (10.3–23.3) | 0.5 |
| 2 | 8.6 (6.6–11.1) | 10.4 (7.5–13.4) | 13.7 (8.19–17.0) | 0.054 | |
| NEU, ×103/µL | 1 | 11.8 (6.9–14.9) | 10.5 (7.5–14.0) | 9.2 (4.7–30.2) | 0.9 |
| 2 | 5.9 (4.3–8.1) | 8.1 (5.7–11.3) | 10.6 (5.6–13.1) | 0.056 | |
| Bilirubin, µmol/L | 1 | 23.4 (13.5–38.5) | 27.2 (13.8–53.3) | 29.1 (16.2–36.9) | 0.8 |
| 2 | 18.3 (13.2–27.0) | 18.9 (13.7–28.2) | 40.3 (39.6–43.3) | 0.1 | |
| LDH, U/L | 1 | 553 (488–810) | 636 (507–850) | 1012 (736–1293) | 0.1 |
| 2 | 526 (448–719) | 603 (483–886) | 1955 (1033–3058) | 0.037 a | |
| Total calcium, mmol/L | 1 | 2.11 (1.90–2.37) | 2.13 (2.04–2.24) | 1.95 (1.87–2.27) | 0.5 |
| 2 | 2.05 (2.00–2.16) | 2.11 (2.01–2.19) | 1.90 (1.45–2.02) | 0.020 b | |
| Urea, mmol/L | 1 | 3.67 (2.83–6.00) | 4.67 (3.50–6.00) | 6.67 (5.00–13.0) | 0.020 a |
| 2 | 3.17 (2.83–4.00) | 4.67 (3.17–6.17) | 15.0 (8.17–18.50) | <0.001 a,b,c | |
| Creatinine, µmol/L | 1 | 65.4 (59.2–80.4) | 69.8 (60.1–87.5) | 92.4 (75.6–171.0) | 0.036 a |
| 2 | 61.0 (46.9–68.1) | 60.1 (51.3–71.6) | 123.3 (68.5–204.6) | 0.014 a,b | |
| KIM-1, ng/mL | 1 | 2.73 (1.30–5.11) | 3.41 (2.07–6.14) | 2.59 (1.63–4.74) | 0.6 |
| 2 | 2.15 (1.31–3.96) | 2.75 (1.66–5.53) | 1.82 (1.58–4.01) | 0.2 | |
| L-FABP, ng/mL | 1 | 5.82 (4.59–13.97) | 22.52 (8.18–53.06) | 12.84 (6.78–18.90) | 0.2 |
| 2 | 4.51 (3.84–7.56) | 17.36 (4.01–30.34) | 10.18 (8.03–12.33) | 0.3 | |
| Variables | Study day 1 | Study day 2 | ||
|---|---|---|---|---|
| R | p | R | p | |
| sFlt-1 | 0.38 | 0.001 | 0.24 | 0.1 |
| Ang-2 | 0.26 | 0.1 | 0.54 | 0.004 |
| Total calcium | −0.34 | 0.003 | −0.44 | <0.001 |
| Total protein | −0.48 | 0.001 | −0.48 | <0.001 |
| Albumin | −0.34 | 0.005 | −0.57 | <0.001 |
| CRP | 0.35 | 0.001 | 0.67 | <0.001 |
| PCT | 0.44 | <0.001 | 0.70 | <0.001 |
| WBC | 0.37 | <0.001 | 0.50 | <0.001 |
| NEU | 0.42 | 0.006 | 0.63 | <0.001 |
| Urea | 0.10 | 0.4 | 0.22 | 0.044 |
| KIM-1 | 0.50 | <0.001 | 0.25 | 0.045 |
| L-FABP | 0.14 | 0.4 | 0.51 | <0.001 |
| LDH | 0.27 | 0.020 | 0.63 | <0.001 |
| Bilirubin | 0.09 | 0.4 | 0.30 | 0.005 |
| Dependent Variable | Odds Ratio (95% Confidence Interval per 100 pg/mL); p-Value | |
|---|---|---|
| IL-6 on Admission | IL-6 on Day 2 | |
| SAP (2012 Atlanta) | 1.17 (1.03-1.32); p = 0.011 | 1.18 (1.01-1.37); p = 0.030 |
| Cardiovascular, lung or kidney failure | 1.27 (1.09-1.48); p = 0.002 | 1.19 (1.02-1.39); p = 0.023 |
| ICU transfer or death | 1.22 (1.06-1.41); p = 0.004 | 1.15 (1.00-1.34); p = 0.051 |
| Death | 1.23 (0.06-1.43); p = 0.007 | 1.02 (0.76-1.36); p = 0.9 |
© 2018 by the authors. Licensee MDPI, Basel, Switzerland. This article is an open access article distributed under the terms and conditions of the Creative Commons Attribution (CC BY) license (http://creativecommons.org/licenses/by/4.0/).
Share and Cite
Kolber, W.; Dumnicka, P.; Maraj, M.; Kuśnierz-Cabala, B.; Ceranowicz, P.; Pędziwiatr, M.; Maziarz, B.; Mazur-Laskowska, M.; Kuźniewski, M.; Sporek, M.; et al. Does the Automatic Measurement of Interleukin 6 Allow for Prediction of Complications during the First 48 h of Acute Pancreatitis? Int. J. Mol. Sci. 2018, 19, 1820. https://doi.org/10.3390/ijms19061820
Kolber W, Dumnicka P, Maraj M, Kuśnierz-Cabala B, Ceranowicz P, Pędziwiatr M, Maziarz B, Mazur-Laskowska M, Kuźniewski M, Sporek M, et al. Does the Automatic Measurement of Interleukin 6 Allow for Prediction of Complications during the First 48 h of Acute Pancreatitis? International Journal of Molecular Sciences. 2018; 19(6):1820. https://doi.org/10.3390/ijms19061820
Chicago/Turabian StyleKolber, Witold, Paulina Dumnicka, Małgorzata Maraj, Beata Kuśnierz-Cabala, Piotr Ceranowicz, Michał Pędziwiatr, Barbara Maziarz, Małgorzata Mazur-Laskowska, Marek Kuźniewski, Mateusz Sporek, and et al. 2018. "Does the Automatic Measurement of Interleukin 6 Allow for Prediction of Complications during the First 48 h of Acute Pancreatitis?" International Journal of Molecular Sciences 19, no. 6: 1820. https://doi.org/10.3390/ijms19061820
APA StyleKolber, W., Dumnicka, P., Maraj, M., Kuśnierz-Cabala, B., Ceranowicz, P., Pędziwiatr, M., Maziarz, B., Mazur-Laskowska, M., Kuźniewski, M., Sporek, M., & Walocha, J. (2018). Does the Automatic Measurement of Interleukin 6 Allow for Prediction of Complications during the First 48 h of Acute Pancreatitis? International Journal of Molecular Sciences, 19(6), 1820. https://doi.org/10.3390/ijms19061820

