Identification of Arenin, a Novel Kunitz-Like Polypeptide from the Skin Secretions of Dryophytes arenicolor
Abstract
1. Introduction
2. Results
2.1. Collection and Identification of D. arenicolor
2.2. Recovery of Skin Secretions Extract
2.3. Skin Secretion Extract (SSE) Characterization by 2D Polyacrylamide Gel Electrophoresis (2D-PAGE) and Reverse-Phase High-Performance Liquid Chromatography (HPLC)
2.4. Protein Isolation for Activity Evaluation
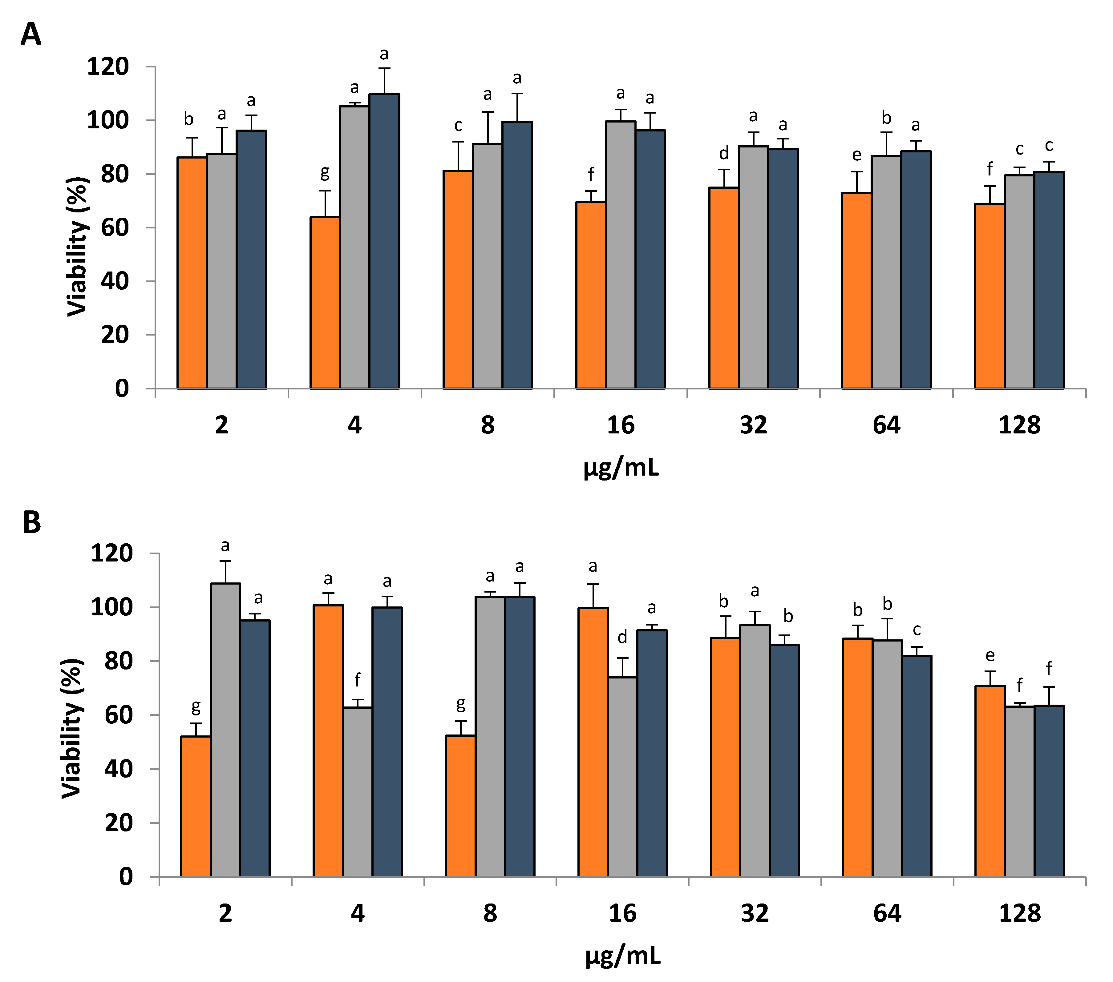
2.5. Cell Proliferation Inhibition by SSE and HPLC-Purified Fractions
2.6. Structural Characterization of Bioactive Fraction
2.7. Identified Protein cDNA Synthesis
2.8. Structural Modeling of Arenin
3. Discussion
4. Materials and Methods
4.1. Collection and Identification of D. arenicolor
4.2. Recovery of Skin Secretions Extract
4.3. SSE Characterization by Reverse-Phase HPLC and 2D-PAGE
4.4. Protein Isolation for Activity Evaluation
4.5. Cell Proliferation Inhibition by SSE and HPLC-Purified Fractions
4.6. Statistical Analysis
4.7. Structural Characterization of Bioactive Protein
4.7.1. In Gel Digestion of Bioactive Proteins
4.7.2. Liquid Chromatography Mass Spectrometry (LC-MS) Analysis of Bioactive Proteins
4.7.3. Bioinformatics and Data Analysis
4.8. Identified Protein cDNA Synthesis
4.9. Structural Modeling of Arenin
5. Conclusions
Author Contributions
Acknowledgments
Conflicts of Interest
Abbreviations
| ABB | Ammonium bicarbonate |
| ACN | Acetonitrile |
| ALC | Average local confidence |
| BPTI | Bovine pancreatic trypsin inhibitor |
| FA | Formic Acid |
| FT-MS | Fourier transform-mass spectrometry |
| IEF | Isoelectric focusing |
| IPG | Immobilized pH gradient |
| MS | Mass spectrometry |
| MTM | Mexican Traditional Medicine |
| MTS | Phenazine methosulfate 3-(4,5-dimethyl thiazole-2-yl)-2,5-diphenyl tetrazolium bromide mix-based |
| PAR | Protease activated receptor |
| PIs | Protease inhibitors |
| SDS | Sodium dodecyl sulfate |
| SSE | Skin secretions extract |
| TEAB | Triethylammonium bicarbonate |
| TFA | Trifluoroacetic acid |
| TTX-S | Tetrodotoxin-sensitive |
| VGSC | Voltage-gated sodium channel |
References
- Calderon, L.; Stabeli, R. Changing Diversity in Changing Environment; Grillo, O., Ed.; InTech: Rijeka, Croatia, 2011; ISBN 978-953-307-796-3. [Google Scholar]
- Xi, X.; Li, B.; Chen, T.; Kwok, H. A Review on Bradykinin-Related Peptides Isolated from Amphibian Skin Secretion. Toxins (Basel) 2015, 7, 951–970. [Google Scholar] [CrossRef] [PubMed]
- Song, G.; Zhou, M.; Chen, W.; Chen, T.; Walker, B.; Shaw, C. HV-BBI-A novel amphibian skin Bowman-Birk-like trypsin inhibitor. Biochem. Biophys. Res. Commun. 2008, 372, 191–196. [Google Scholar] [CrossRef] [PubMed]
- Bai, B.; Zhang, Y.; Wang, H.; Zhou, M.; Yu, Y.; Ding, S.; Chen, T.; Wang, L.; Shaw, C. Parallel peptidome and transcriptome analyses of amphibian skin secretions using archived frozen acid-solvated samples. Mol. Biotechnol. 2013, 54, 187–197. [Google Scholar] [CrossRef] [PubMed]
- Thompson, A.H.; Bjourson, A.J.; Orr, D.F.; Shaw, C.; McClean, S. Amphibian skin secretomics: Application of parallel quadrupole time-of-flight mass spectrometry and peptide precursor cDNA cloning to rapidly characterize the skin secretory peptidome of Phyllomedusa hypochondrialis azurea: Discovery of a novel peptide fa. J. Proteome Res. 2007, 6, 3604–3613. [Google Scholar] [CrossRef] [PubMed]
- De Sousa, L.Q.; Machado, K.D.; Oliveira, S.F.; Araújo, L.D.; Monção-Filho, E.D.; Melo-Cavalcante, A.A.; Vieira-Júnior, G.M.; Ferreira, P.M. Bufadienolides from amphibians: A promising source of anticancer prototypes for radical innovation, apoptosis triggering and Na+/K+-ATPase inhibition. Toxicon 2017, 127, 63–76. [Google Scholar] [CrossRef] [PubMed]
- Rollins-Smith, L.A.; Reinert, L.K.; O’Leary, C.J.; Houston, L.E.; Woodhams, D.C. Antimicrobial Peptide defenses in amphibian skin. Integr. Comp. Biol. 2005, 45, 137–142. [Google Scholar] [CrossRef] [PubMed]
- Xu, X.; Lai, R. The Chemistry and Biological Activities of Peptides from Amphibian Skin Secretions. Chem. Rev. 2015, 115, 1760–1846. [Google Scholar] [CrossRef] [PubMed]
- König, E.; Wesse, C.; Murphy, A.C.; Zhou, M.; Wang, L.; Chen, T.; Shaw, C.; Bininda-Emonds, O.R.P. Molecular cloning of the trypsin inhibitor from the skin secretion of the Madagascan Tomato Frog, Dyscophus guineti (Microhylidae), and insights into its potential defensive role. Org. Divers. Evol. 2013, 13, 453–461. [Google Scholar] [CrossRef]
- Mariano, D.O.C.; Yamaguchi, L.F.; Jared, C.; Antoniazzi, M.M.; Sciani, J.M.; Kato, M.J.; Pimenta, D.C. Pipa carvalhoi skin secretion profiling: Absence of peptides and identification of kynurenic acid as the major constitutive component. Comp. Biochem. Physiol. C Toxicol. Pharmacol. 2014, 167C, 1–6. [Google Scholar] [CrossRef] [PubMed]
- König, E.; Bininda-Emonds, O.R.P.; Shaw, C. The diversity and evolution of anuran skin peptides. Peptides 2015, 63, 96–117. [Google Scholar] [CrossRef] [PubMed]
- Nguyen, L.T.; Haney, E.F.; Vogel, H.J. The expanding scope of antimicrobial peptide structures and their modes of action. Trends Biotechnol. 2011, 29, 464–472. [Google Scholar] [CrossRef] [PubMed]
- Faivovich, J.; Haddad, C.F.B.; Garcia, P.C.A.; Frost, D.R.; Campbell, J.A.; Wheeler, W.C. Systematic Review of the Frog Family Hylidae, With Special Reference To Hylinae: Phylogenetic Analysis and Taxonomic Revision. Bull. Am. Mus. Nat. Hist. 2005, 294, 1. [Google Scholar] [CrossRef]
- Conlon, J.M.; Kolodziejek, J.; Nowotny, N. Antimicrobial peptides from the skins of North American frogs. Biochim. Biophys. Acta Biomembr. 2009, 1788, 1556–1563. [Google Scholar] [CrossRef] [PubMed]
- Duellman, W.E.; Marion, A.B.; Hedges, S.B. Phylogenetics, Classification, and Biogeography of the Treefrogs (Amphibia: Anura: Arboranae); Magnolia Press: Auckland, New Zealand, 2016; Volume 4104. [Google Scholar]
- Alonso-Castro, A.J. Use of medicinal fauna in Mexican traditional medicine. J. Ethnopharmacol. 2014, 152, 53–70. [Google Scholar] [CrossRef] [PubMed]
- Alonso-Castro, A.J.; Carranza-Álvarez, C.; Maldonado-Miranda, J.J.; Del Rosario Jacobo-Salcedo, M.; Quezada-Rivera, D.A.; Lorenzo-Márquez, H.; Figueroa-Zúñiga, L.A.; Fernández-Galicia, C.; Ríos-Reyes, N.A.; de León-Rubio, M.Á.; et al. Zootherapeutic practices in Aquismón, San Luis Potosí, México. J. Ethnopharmacol. 2011, 138, 233–237. [Google Scholar] [CrossRef] [PubMed]
- Conlon, J.M. Purification of naturally occurring peptides by reversed-phase HPLC. Nat. Protoc. 2007, 2, 191–197. [Google Scholar] [CrossRef] [PubMed]
- You, D.; Hong, J.; Rong, M.; Yu, H.; Liang, S.; Ma, Y.; Yang, H.; Wu, J.; Lin, D.; Lai, R. The first gene-encoded amphibian neurotoxin. J. Biol. Chem. 2009, 284, 22079–22086. [Google Scholar] [CrossRef] [PubMed]
- Wu, J.; Liu, H.; Yang, H.; Yu, H.; You, D.; Ma, Y.; Ye, H.; Lai, R. Proteomic analysis of skin defensive factors of tree frog Hyla simplex. J. Proteome Res. 2011, 10, 4230–4240. [Google Scholar] [CrossRef] [PubMed]
- Otlewski, J.; Jelen, F.; Zakrzewska, M.; Oleksy, A. The many faces of protease-protein inhibitor interaction. EMBO J. 2005, 24, 1303–1310. [Google Scholar] [CrossRef] [PubMed]
- Conlon, J.M.; Kim, J.B. A protease inhibitor of the Kunitz family from skin secretions of the tornato frog, Dyscophus guineti (Microhylidae). Biochem. Biophys. Res. Commun. 2000, 279, 961–964. [Google Scholar] [CrossRef] [PubMed]
- Erspamer, V.; Erspamer, G.F.; Cei, J.M. Active peptides in the skins of two hundred and thirty American amphibian species. Comp. Biochem. Physiol. C 1986, 85, 125–137. [Google Scholar] [CrossRef]
- Sai, K.P.; Jagannadham, M.V.; Vairamani, M.; Raju, N.P.; Devi, A.S.; Nagaraj, R.; Sitaram, N. Tigerinins: Novel antimicrobial peptides from the Indian frog Rana tigerina. J. Biol. Chem. 2001, 276, 2701–2707. [Google Scholar] [CrossRef] [PubMed]
- Chen, X.; Wang, H.; Shen, Y.; Wang, L.; Zhou, M.; Chen, T.; Shaw, C. Kunitzins: Prototypes of a new class of protease inhibitor from the skin secretions of European and Asian frogs. Biochem. Biophys. Res. Commun. 2016, 477, 302–309. [Google Scholar] [CrossRef] [PubMed]
- Shigetomi, H.; Onogi, A.; Kajiwara, H.; Yoshida, S.; Furukawa, N.; Haruta, S.; Tanase, Y.; Kanayama, S.; Noguchi, T.; Yamada, Y.; et al. Anti-inflammatory actions of serine protease inhibitors containing the Kunitz domain. Inflamm. Res. 2010, 59, 679–687. [Google Scholar] [CrossRef] [PubMed]
- Ben Khalifa, N.; Tyteca, D.; Courtoy, P.J.; Renauld, J.C.; Constantinescu, S.N.; Octave, J.N.; Kienlen-Campard, P. Contribution of Kunitz protease inhibitor and transmembrane domains to amyloid precursor protein homodimerization. Neurodegener. Dis. 2012, 10, 92–95. [Google Scholar] [CrossRef] [PubMed]
- Rustgi, S.; Boex-Fontvieille, E.; Reinbothe, C.; von Wettstein, D.; Reinbothe, S. The complex world of plant protease inhibitors: Insights into a Kunitz-type cysteine protease inhibitor of Arabidopsis thaliana. Commun. Integr. Biol. 2018, 11, e1368599. [Google Scholar] [CrossRef] [PubMed]
- Pinkse, M.; Evaristo, G.; Pieterse, M.; Yu, Y.; Verhaert, P. MS approaches to select peptides with post-translational modifications from amphibian defense secretions prior to full sequence elucidation. EuPA Open Proteomics 2014, 5, 32–40. [Google Scholar] [CrossRef]
- Godfroid, E.; Octave, J.N. Glycosylation of the amyloid peptide precursor containing the Kunitz protease inhibitor domain improves the inhibition of trypsin. Biochem. Biophys. Res. Commun. 1990, 171, 1015–1021. [Google Scholar] [CrossRef]
- Christeller, J.T. Evolutionary mechanisms acting on proteinase inhibitor variability. FEBS J. 2005, 272, 5710–5722. [Google Scholar] [CrossRef] [PubMed]
- Wei, L.; Dong, L.; Zhao, T.; You, D.; Liu, R.; Liu, H.; Yang, H.; Lai, R. Analgesic and anti-inflammatory effects of the amphibian neurotoxin, anntoxin. Biochimie 2011, 93, 995–1000. [Google Scholar] [CrossRef] [PubMed]
- Calabrese, E. Hormesis and Pharmacology. Pharmacology 2009, 75–102. [Google Scholar] [CrossRef]
- Cornelius, C.; Graziano, A.; Perrotta, R.; Di Paola, R.; Cuzzocrea, S.; Calabrese, E.J.; Calabrese, V. Cellular Stress Response, Hormesis, and Vitagens in Aging and Longevity: Role of mitochondrial “Chi”. Inflamm. Adv. Age Nutr. 2014, 309–321. [Google Scholar] [CrossRef]
- Calabrese, E.J.; Mattson, M.P. Hormesis provides a generalized quantitative estimate of biological plasticity. J. Cell Commun. Signal. 2011, 5, 25–38. [Google Scholar] [CrossRef] [PubMed]
- Bogen, K.T.; Arnold, L.L.; Chowdhury, A.; Pennington, K.L.; Cohen, S.M. Low-dose dose-response for reduced cell viability after exposure of human keratinocyte (HEK001) cells to arsenite. Toxicol. Rep. 2017, 4, 32–38. [Google Scholar] [CrossRef] [PubMed]
- Calabrese, E.J. Cancer biology and hormesis: Human tumor cell lines commonly display hormetic (biphasic) dose responses. Crit. Rev. Toxicol. 2005, 35, 463–582. [Google Scholar] [CrossRef] [PubMed]
- Vergnolle, N.; Ferazzini, M.; D’Andrea, M.R.; Buddenkotte, J.; Steinhoff, M. Proteinase-activated receptors: Novel signals for peripheral nerves. Trends Neurosci. 2003, 26, 496–500. [Google Scholar] [CrossRef]
- Day, J.R.S.; Landis, R.C.; Taylor, K.M. Aprotinin and the protease-activated receptor 1 thrombin receptor: Antithrombosis, inflammation, and stroke reduction. In Seminars in Cardiothoracic and Vascular Anesthesia; SAGE: Thousand Oaks, CA, USA, 2006; Volume 10, pp. 132–142. [Google Scholar]
- Rezaie, A. Protease-activated receptor signalling by coagulation proteases in endothelial cells. Thromb. Haemost. 2014, 112, 876–882. [Google Scholar] [CrossRef] [PubMed]
- Klymus, K.E.; Carl Gerhardt, H. AFLP markers resolve intra-specific relationships and infer genetic structure among lineages of the canyon treefrog, Hyla arenicolor. Mol. Phylogenet. Evol. 2012, 65, 654–667. [Google Scholar] [CrossRef] [PubMed]
- Goebel, A.M.; Donnelly, J.M.; Atz, M.E. PCR primers and amplification methods for 12S ribosomal DNA, the control region, cytochrome oxidase I, and cytochrome b in bufonids and other frogs, and an overview of PCR primers which have amplified DNA in amphibians successfully. Mol. Phylogenet. Evol. 1999, 11, 163–199. [Google Scholar] [CrossRef] [PubMed]
- Conlon, J.M.; Leprince, J. Identification and Analysis of Bioactive Peptides in Amphibian Skin Secretions. In Peptidomics, Methods in Molecular Biology; Humana Press: New York, NY, USA, 2010; Volume 615, pp. 145–157. [Google Scholar]
- Gammill, W.M.; Scott Fites, J.; Rollins-Smith, L.A. Norepinephrine depletion of antimicrobial peptides from the skin glands of Xenopus laevis. Dev. Comp. Immunol. 2012, 37, 19–27. [Google Scholar] [CrossRef] [PubMed]
- Schägger, H. Tricine–SDS-PAGE. Nat. Protoc. 2006, 1, 16–22. [Google Scholar] [CrossRef] [PubMed]
- Groot, H.; Muñoz-Camargo, C.; Moscoso, J.; Riveros, G.; Salazar, V.; Kaston Florez, F.; Mitrani, E. Skin micro-organs from several frog species secrete a repertoire of powerful antimicrobials in culture. J. Antibiot. (Tokyo) 2012, 65, 461–467. [Google Scholar] [CrossRef] [PubMed]
- Gallart-Palau, X.; Serra, A.; Lee, B.S.T.; Guo, X.; Sze, S.K. Brain ureido degenerative protein modifications are associated with neuroinflammation and proteinopathy in Alzheimer’s disease with cerebrovascular disease. J. Neuroinflamm. 2017, 14, 1–12. [Google Scholar] [CrossRef] [PubMed]
- Serra, A.; Hemu, X.; Nguyen, G.K.T.; Nguyen, N.T.K.; Sze, S.K.; Tam, J.P. A high-throughput peptidomic strategy to decipher the molecular diversity of cyclic cysteine-rich peptides. Sci. Rep. 2016, 6, 23005. [Google Scholar] [CrossRef] [PubMed]
- Serra, A.; Zhu, H.; Gallart-Palau, X.; Park, J.E.; Ho, H.H.; Tam, J.P.; Sze, S.K. Plasma proteome coverage is increased by unique peptide recovery from sodium deoxycholate precipitate. Anal. Bioanal. Chem. 2016, 408, 1963–1973. [Google Scholar] [CrossRef] [PubMed]
- Ma, B.; Zhang, K.; Hendrie, C.; Liang, C.; Li, M.; Doherty-Kirby, A.; Lajoie, G. PEAKS: Powerful software for peptide de novo sequencing by tandem mass spectrometry. Rapid Commun. Mass Spectrom. 2003, 17, 2337–2342. [Google Scholar] [CrossRef] [PubMed]
- Serra, A.; Gallart-Palau, X.; Park, J.E.; Lim, G.G.Y.; Lim, K.L.; Ho, H.H.; Tam, J.P.; Sze, S.K. Vascular Bed Molecular Profiling by Differential Systemic Decellularization In Vivo. Arterioscler. Thromb. Vasc. Biol. 2018, 38, 2396–2409. [Google Scholar] [CrossRef] [PubMed]
- Nielsen, H. Predicting Secretory Proteins with SignalP. In Methods in Molecular Biology; Kihara, D., Ed.; Springer: New York, NY, USA, 2017; Volume 1611, pp. 59–73. ISBN 978-1-4939-7013-1. [Google Scholar]
- Bertoni, M.; Kiefer, F.; Biasini, M.; Bordoli, L.; Schwede, T. Modeling protein quaternary structure of homo- and hetero-oligomers beyond binary interactions by homology. Sci. Rep. 2017, 7, 1–15. [Google Scholar] [CrossRef] [PubMed]
- Waterhouse, A.; Bertoni, M.; Bienert, S.; Studer, G.; Tauriello, G.; Gumienny, R.; Heer, F.T.; De Beer, T.A.P.; Rempfer, C.; Bordoli, L.; et al. SWISS-MODEL: Homology modelling of protein structures and complexes. Nucleic Acids Res. 2018, 46, W296–W303. [Google Scholar] [CrossRef] [PubMed]
- Pettersen, E.F.; Goddard, T.D.; Huang, C.C.; Couch, G.S.; Greenblatt, D.M.; Meng, E.C.; Ferrin, T.E. UCSF Chimera—A visualization system for exploratory research and analysis. J. Comput. Chem. 2004, 25, 1605–1612. [Google Scholar] [CrossRef] [PubMed]






© 2018 by the authors. Licensee MDPI, Basel, Switzerland. This article is an open access article distributed under the terms and conditions of the Creative Commons Attribution (CC BY) license (http://creativecommons.org/licenses/by/4.0/).
Share and Cite
Hernández-Pérez, J.; Serra, A.; Sze, S.K.; Conway, P.L.; Schlundt, J.; Benavides, J. Identification of Arenin, a Novel Kunitz-Like Polypeptide from the Skin Secretions of Dryophytes arenicolor. Int. J. Mol. Sci. 2018, 19, 3644. https://doi.org/10.3390/ijms19113644
Hernández-Pérez J, Serra A, Sze SK, Conway PL, Schlundt J, Benavides J. Identification of Arenin, a Novel Kunitz-Like Polypeptide from the Skin Secretions of Dryophytes arenicolor. International Journal of Molecular Sciences. 2018; 19(11):3644. https://doi.org/10.3390/ijms19113644
Chicago/Turabian StyleHernández-Pérez, Jesús, Aida Serra, Siu Kwan Sze, Patricia L. Conway, Jørgen Schlundt, and Jorge Benavides. 2018. "Identification of Arenin, a Novel Kunitz-Like Polypeptide from the Skin Secretions of Dryophytes arenicolor" International Journal of Molecular Sciences 19, no. 11: 3644. https://doi.org/10.3390/ijms19113644
APA StyleHernández-Pérez, J., Serra, A., Sze, S. K., Conway, P. L., Schlundt, J., & Benavides, J. (2018). Identification of Arenin, a Novel Kunitz-Like Polypeptide from the Skin Secretions of Dryophytes arenicolor. International Journal of Molecular Sciences, 19(11), 3644. https://doi.org/10.3390/ijms19113644

