Challenging the Metallothionein (MT) Gene of Biomphalaria glabrata: Unexpected Response Patterns Due to Cadmium Exposure and Temperature Stress
Abstract
1. Introduction
2. Results and Discussion
2.1. Gene Map and Coding Sequence
2.2. Promoter Structure and Metal-Responsive Elements
2.3. Domain Structure of the MT Protein
2.4. Allelic Variations
2.5. Lacking Upregulation of the MT Gene Due to Cd Exposure
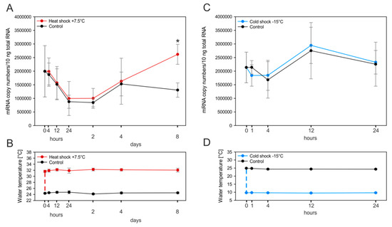
2.6. Transcriptional Response of the CdMT Gene Following Heat and Cold Shock Exposure
3. Materials and Methods
3.1. Animals, Rearing Conditions and Experimental Set-Up
- Cadmium exposure: 40 individuals were subjected to a nominal Cd concentration of 75 µg/L by adding CdCl2 to the water. According to our own experiments and data from the literature, Cd LC-50 values at 96 h for Biomphalaria glabrata range between 0.1 mg/L [53] and 0.3 mg/L [54]. Forty control snails were kept in Cd-free water. Measured Cd concentrations in the water tanks were as follows (mean ± standard deviation, n = 5): Control, 0.24 ± 0.14 µg/L; Cd exposure, 63 ± 7.6 µg/L. Four snails of each group were sampled on days 1, 4, 8, 14 and 21.
- Heat shock experiment: Post-acclimatization, 40 snails were directly subjected to tanks with an increased water temperature by 7.5 °C to exert a heat shock. Due to the expectation of a fast response, sampling occurred at 4 h, 12 h and at day 1. For detection of possible long-term effects, sampling was additionally extended to days 2, 4 and 8. Forty snails were kept in 25 °C water as a control and were sampled on day 0 and all other respective time points.
- Cold shock experiment: Post-acclimatization, 35 snails were directly subjected to tanks with a water temperature decreased by 15 °C to exert a cold shock. Sampling was done at 1, 4, 12 and 24 h. 35 snails were kept in 25 °C water as a control and were sampled on day 0 and all other respective time points.
3.2. Primary Structure of the Biomphalaria glabrata MT and Its Variants
3.3. mRNA Isolation, Reverse Transcription, RACE-PCR and Sequencing
3.4. Bioinformatic Analysis
3.5. mRNA Isolation, Reverse Transcription and Quantitative Real-Time Detection PCR
3.6. Metal Analysis
3.7. Statistical Methods
4. Conclusions
Supplementary Materials
Acknowledgments
Author Contributions
Conflicts of Interest
References
- Binz, P.-A.; Kägi, J.H.R. Metallothionein: Molecular evolution and classification. In Metallothionein IV; Klaassen, C.D., Ed.; Birkhäuser Basel: Basel, Switzerland, 1999; pp. 7–13. [Google Scholar]
- Capdevila, M.; Atrian, S. Metallothionein protein evolution: A miniassay. J. Biol. Inorg. Chem. 2011, 16, 977–989. [Google Scholar] [CrossRef] [PubMed]
- Kägi, J.H.; Kojima, Y. Chemistry and biochemistry of metallothionein. Exp. Suppl. 1987, 52, 25–61. [Google Scholar]
- Andrews, G.K. Regulation of metallothionein gene expression. Prog. Food Nutr. Sci. 1990, 14, 193–258. [Google Scholar] [PubMed]
- Kägi, J.H.R. Overview of Metallothionein. Methods Enzymol. 1991, 205, 613–626. [Google Scholar] [PubMed]
- Klaassen, C.D.; Liu, J.; Choudhuri, S. Metallothionein: An intracellular protein to protect against cadmium toxicity. Annu. Rev. Pharmacol. Toxicol. 1999, 39, 267–294. [Google Scholar] [CrossRef] [PubMed]
- Egli, D.; Domènech, J.; Selvaraj, A.; Balamurugan, K.; Hua, H.; Capdevila, M.; Georgiev, O.; Schaffner, W.; Atrian, S. The four members of the Drosophila metallothionein family exhibit distinct yet overlapping roles in heavy metal homeostasis and detoxification. Genes Cells 2006, 11, 647–658. [Google Scholar] [CrossRef] [PubMed]
- Ghoshal, K.; Wang, Y.; Sheridan, J.F.; Jacob, S.T. Metallothionein induction in response to restraint stress. J. Biol. Chem. 1998, 273, 27904–27910. [Google Scholar] [CrossRef] [PubMed]
- Baird, S.K.; Kurz, T.; Brunk, U.T. Metallothionein protects against oxidative stress-induced lysosomal destabilization. Biochem. J. 2006, 394, 275–283. [Google Scholar] [CrossRef] [PubMed]
- Bebianno, M.J.; Serafim, M.A. P.; Rita, M.F. Involvement of metallothionein in cadmium accumulation and elimination in the clam Ruditapes decussata. Bull. Environ. Contam. Toxicol. 1994, 53, 726–732. [Google Scholar] [CrossRef] [PubMed]
- Berger, B.; Dallinger, R.; Gehrig, P.; Hunziker, P.E. Primary structure of a copper-binding metallothionein from mantle tissue of the terrestrial gastropod Helix pomatia L. J. Biochem. 1997, 328, 219–224. [Google Scholar] [CrossRef]
- Dallinger, R.; Berger, B.; Hunziker, P.; Kägi, J.H.R. Metallothionein in snail Cd and Cu metabolism. Nature 1997, 143, 831–833. [Google Scholar]
- Hispard, F.; Schuler, D.; de Vaufleury, A.; Scheifler, R.; Badot, P.M.; Dallinger, R. Metal distribution and metallothionein induction after cadmium exposure in the Terrestrial Snail Helix Aspersa. Environ. Toxicol. 2008, 27, 1533–1542. [Google Scholar] [CrossRef] [PubMed]
- Palacios, O.; Pagani, A.; Pérez-Rafael, S.; Egg, M.; Höckner, M.; Brandstätter, A.; Capdevila, M.; Atrian, S.; Dallinger, R. Shaping mechanisms of metal specificity in a family of metazoan metallothioneins: Evolutionary differentiation of mollusc metallothioneins. BMC Biol. 2011, 9, 4. [Google Scholar] [CrossRef] [PubMed]
- English, T.E.; Storey, K.B. Freezing and anoxia stresses induce expression of metallothionein in the foot muscle and hepatopancreas of the marine gastropod Littorina littorea. J. Exp. Biol. 2003, 206, 2517–2524. [Google Scholar] [CrossRef] [PubMed]
- Egg, M.; Höckner, M.; Brandstätter, A.; Schuler, D.; Dallinger, R. Structural and bioinformatic analysis of the Roman snail Cd-Metallothionein gene uncovers molecular adaptation towards plasticity in coping with multifarious environmental stress. Mol. Ecol. 2009, 18, 2426–2443. [Google Scholar] [CrossRef] [PubMed]
- Gnatyshyna, L.L.; Fal’fushinskaya, G.I.; Golubev, O.P.; Dallinger, R.; Stoliar, O.B. Role of metallothioneins in adaptation of Lymnaea stagnalis (Mollusca: Pulmonata) to environment pollution. Hydrobiol. J. 2011, 47, 56–66. [Google Scholar] [CrossRef]
- Martinez-Paz, P.; Morales, M.; Sanchez-Arguello, P.; Morcillo, G.; Martinez-Guitarte, J.L. Cadmium in vivo exposure alters stress response and endocrine-related genes in the freshwater snail Physa acuta. New biomarker genes in a new model organism. Environ. Pollut. 2017, 220, 1488–1497. [Google Scholar] [CrossRef] [PubMed]
- Fenwick, A. The global burden of neglected tropical diseases. Public Health 2012, 126, 233–236. [Google Scholar] [CrossRef] [PubMed]
- Sokolova, I.M.; Granovitch, A.I.; Berger, V.J.; Johannesson, K. Intraspecific physiological variability of the gastropod Littorina saxatilis related to the vertical shore gradient in the White and North Seas. Mar. Biol. 2000, 137, 297–308. [Google Scholar] [CrossRef]
- Ferreira, M.V.; Alencastro, A.C.; Hermes-Lima, M. Role of antioxidant defenses during estivation and anoxia exposure in the freshwater snail Biomphalaria tenagophila (Orbigny, 1835). Can. J. Zool. 2003, 81, 1239–1248. [Google Scholar] [CrossRef]
- Greenaway, P. Sodium regulation in the freshwter mollusc Lymnaea stagnalis (L.) (gastropoda: pulmonata). J. Exp. Biol. 1970, 53, 147–163. [Google Scholar] [PubMed]
- Kefford, B.J.; Nugegoda, D. No evidence for a critical salinity threshold for growth and reproduction in the freshwater snail Physa acuta. Environ. Pollut. 2005, 134, 377–383. [Google Scholar] [CrossRef] [PubMed]
- Oliveira-Filho, E.; Caixeta, N.; Simplício, N.; Sousa, S.; Aragão, T.; Muniz, D. Implications of water hardness in ecotoxicological assessments for water quality regulatory purposes: A case study with the aquatic snail Biomphalaria glabrata (Say, 1818). Braz. J. Biol. 2014, 74, 175–180. [Google Scholar] [CrossRef] [PubMed]
- Dallinger, R.; Rainbow, P.S. Ecotoxicology of Metals in Invertebrates; CRC Press: Boca Raton, FL, USA, 1993. [Google Scholar]
- Grosell, M.; Brix, K.V. High net calcium uptake explains the hypersensitivity of the freshwater pulmonate snail, Lymnaea stagnalis, to chronic lead exposure. Aquat. Toxicol. 2009, 91, 302–311. [Google Scholar] [CrossRef] [PubMed]
- Tamai, K.T.; Liu, X.; Silar, P.; Sosinowski, T.; Thiele, D.J. Heat shock transcription factor activates yeast metallothionein gene expression in response to heat and glucose starvation via distinct signalling pathways. Mol. Cell. Biol. 1994, 14, 8155–8165. [Google Scholar] [CrossRef] [PubMed]
- Davis, S.R.; Cousins, R.J. Metallothionein expression in animals: A physiological perspective on function. J. Nutr. 2000, 130, 1085–1088. [Google Scholar] [PubMed]
- Sogawa, N.; Sogawa, C.A.; Fukuoka, H.; Mukubo, Y.; Yoneyama, T.; Okano, Y.; Furuta, H.; Onodera, K. The changes of hepatic metallothionein synthesis and the hepatic damage induced by starvation in mice. Methods Find. Exp. Clin. Pharmacol. 2003, 25, 601. [Google Scholar] [CrossRef] [PubMed]
- Beattie, J.H.; Owen, H.L.H.; Wallace, S.M.; Arthur, J.R.; Kwun, I.-S.; Hawksworth, G.M.; Wallace, H.M. Metallothionein overexpression and resistance to toxic stress. Toxicol. Lett. 2005, 157, 69–78. [Google Scholar] [CrossRef] [PubMed]
- Murphy, B.J.; Kimura, T.; Sato, B.G.; Shi, Y.; Andrews, G.K. Metallothionein induction by hypoxia involves cooperative interactions between metal-responsive transcription Factor-1 and hypoxia-inducible transcription Factor-1α. Mol. Cancer Res. 2008, 6, 483–490. [Google Scholar] [CrossRef] [PubMed]
- Pedrini-Martha, V.; Niederwanger, M.; Kopp, R.; Schnegg, R.; Dallinger, R. Physiological, diurnal and stress-related variability of cadmium-metallothionein gene expression in Land snails. PLoS ONE 2016, 11, e0150442. [Google Scholar] [CrossRef] [PubMed]
- Da Silva Cantinha, R.; Borrely, S.I.; Oguiura, N.; de Braganca Pereira, C.A.; Rigolon, M.M.; Nakano, E. HSP70 expression in Biomphalaria glabrata snails exposed to cadmium. Ecotoxicol. Environ. Saf. 2017, 140, 18–23. [Google Scholar] [CrossRef] [PubMed]
- Nevitt, T.; Pereira, J.; Rodrigues-Pousada, C. YAP4 gene expression is induced in response to several forms of stress in Saccharomyces cerevisiae. Yeast 2004, 21, 1365–1374. [Google Scholar] [CrossRef] [PubMed]
- Niederwanger, M.; Calatayud, S.; Zerbe, O.; Atrian, S.; Albalat, R.; Capdevila, M.; Palacios, Ò.; Dallinger, R. Biomphalaria glabrata Metallothionein: Lacking metal specificity of the protein and missing gene upregulation suggest metal sequestration by exchange instead of through selective binding. Int. J. Mol. Sci. 2017, 18, 1457. [Google Scholar] [CrossRef] [PubMed]
- Baumann, C.; Beil, A.; Jurt, S.; Niederwanger, M.; Palacios, O.; Capdevila, M.; Atrian, S.; Dallinger, R.; Zerbe, O. Structural adaptation of a protein to increased metal stress: NMR structure of a marine snail metallothionein with an additional domain. Angew. Chem. Int. Ed. 2017, 56, 4617–4622. [Google Scholar] [CrossRef] [PubMed]
- Braun, W.; Wagner, G.; Wörgötter, E.; Vasak, M.; Kägi, J.H. R.; Wüthrich, K. Polypeptide fold in the two metal clusters of metallothionein-2 by nuclear magnetic resonance in solution. J. Mol. Biol. 1986, 187, 125–129. [Google Scholar] [CrossRef]
- Jenny, M.J.; Payton, S.L.; Baltzegar, D.A.; Lozier, J.D. Phylogenetic analysis of molluscan metallothioneins: Evolutionary insight from Crassostrea virginica. J. Mol. Evol. 2016, 83, 110–125. [Google Scholar] [CrossRef] [PubMed]
- Bebianno, M.J.; Langston, W.J.; Simkiss, K. Metallothionein induction in Littorina-littorea (Mollusca, Prosobranchia) on exposure to cadmium. J. Mar. Biol. Assoc. UK 1992, 72, 329–342. [Google Scholar] [CrossRef]
- Bebianno, M. Cadmium and metallothionein turnover in different tissues of the gastropod Littorina littorea. Talanta 1998, 46, 301–313. [Google Scholar] [CrossRef]
- Roesijadi, G. Metallothionein induction as a measure of response to metal exposure in aquatic animals. Environ. Health Perspect. 1994, 102, 91–95. [Google Scholar] [CrossRef] [PubMed]
- Benito, D.; Niederwanger, M.; Urtzi, I.; Dallinger, R.; Soto, M. Successive onset of molecular, cellular and tissue-specific responses in midgut gland of Littorina littorea exposed to sub-lethal cadmium concentrations. Int. J. Mol. Sci. 2017, in press. [Google Scholar]
- Phillips, D.J.H.; Rainbow, P.S. Strategies of trace metal sequestration in aquatic organisms. Mar. Environ. Res. 1989, 28, 207–210. [Google Scholar] [CrossRef]
- Dallinger, R. Strategies of metal detoxification in terrestrial invertebrates. In Ecotoxicology of Metals in Invertebrates; CRC Press: Boca Raton, FL, USA, 1993; p. 245. [Google Scholar]
- Rainbow, P. Trace metal concentrations in aquatic invertebrates: Why and so what? Environ. Pollut. 2002, 120, 497–507. [Google Scholar] [CrossRef]
- Goncalves, S.F.; Davies, S.K.; Bennett, M.; Raab, A.; Feldmann, J.; Kille, P.; Loureiro, S.; Spurgeon, D.J.; Bundy, J.G. Sub-lethal cadmium exposure increases phytochelatin concentrations in the aquatic snail Lymnaea stagnalis. Sci. Total Environ. 2016, 568, 1054–1058. [Google Scholar]
- Baurand, P.-E.; Dallinger, R.; Niederwanger, M.; Capelli, N.; Pedrini-Martha, V.; de Vaufleury, A. Differential sensitivity of snail embryos to cadmium: Relation to age and metallothionein gene expression. Environ. Sci. Pollut. Res. 2016, 23. [Google Scholar] [CrossRef] [PubMed]
- Salice, C.J.; Anderson, T.A.; Roesijadi, G. Adaptive responses and latent costs of multigeneration cadmium exposure in parasite resistant and susceptible strains of a freshwater snail. Ecotoxicology 2010, 19, 1466–1475. [Google Scholar] [CrossRef] [PubMed]
- Deane, E.E.; Woo, N.Y.S. Cloning and characterization of the HSP70 multigene family from silver sea bream: Modulated gene expression between warm and cold temperature acclimation. Biochem. Biophys. Res. Commun. 2005, 330, 776–783. [Google Scholar] [CrossRef] [PubMed]
- Beattie, J.H.; Black, D.J.; Wood, A.M.; Trayhurn, P. Cold-induced expression of the metallothionein-1 gene in brown adipose tissue of rats. Am. J. Physiol. Regul. Integr. Comp. Physiol. 1996, 270, R971–R977. [Google Scholar]
- Piano, A.; Valbonesi, P.; Fabbri, E. Expression of cytoprotective proteins, heat shock protein 70 and metallothioneins, in tissues of Ostrea edulis exposed to heat and heavy metals. Cell Stress Chaperones 2004, 9, 134–142. [Google Scholar] [CrossRef] [PubMed]
- Rinehart, J.P.; Yocum, G.D.; Denlinger, D.L. Developmental upregulation of inducible HSP70 transcripts, but not the cognate form, during pupal diapause in the flesh fly, Sarcophaga crassipalpis. Insect Biochem. Mol. Biol. 2000, 30, 515–521. [Google Scholar] [CrossRef]
- Niederwanger, M.; Dallinger, R.; Stoliar, O.B.; Fal’fushinskaya, G.I. LC-50 Values for Biomphalaria glabrata upon Cd Exposure. Unpublished work. 2013. [Google Scholar]
- Bellavere, C.; Gorbi, J. A comparative analysis of acute toxicity of chromium, copper and cadmium to Daphnia magna, Biomphalaria glabrata, and Brachydanio rerio. Environ. Technol. Lett. 1981, 2, 119–128. [Google Scholar] [CrossRef]
- Adema, C.M.; Hillie, L.W.; Jones, C.S.; Loker, E.S.; Knight, M.; Minx, P.; Oliveira, G.; Raghavan, N.; Shedlock, A.; do Amaral, L.R.; et al. Whole genome analysis of a schistosomiasis-transmitting freshwater snail. Nature 2017, 8. [Google Scholar] [CrossRef] [PubMed]
- Larkin, M.A.; Blackshields, G.; Brown, N.P.; Chenna, R.; Mcgettigan, P.A.; McWilliam, H.; Valentin, F.; Wallace, I.M.; Wilm, A.; Lopez, R.; et al. Clustal W and Clustal X version 2.0. Bioinformatics 2007, 23, 2947–2948. [Google Scholar] [CrossRef] [PubMed]
- Matys, V. TRANSFAC(R) and its module TRANSCompel(R): Transcriptional gene regulation in eukaryotes. Nucleic Acids Res. 2006, 34, D108–D110. [Google Scholar] [CrossRef] [PubMed]






| Response Elements and Binding Sites for Transcription Factors Involved in Stress Response | ||
| Response element or binding site (abbreviation) | Explanation | Functional context |
| C/EBP | C/Enhancer binding protein | Glucocorticoid activation |
| HSE | Heat Shock element | Heat shock protein activation |
| MRE | Metal responsive element | Metal-induced expression |
| PPAR | Peroxisome proliferator activated receptor | Stress response |
| YAP | Yeast activator protein | Multidrug resistance in yeast [34] |
| Response Elements and Binding Sites for Transcription Factors Involved in Transcriptional Regulation | ||
| Response element or binding site (abbreviation) | Explanation | Functional context |
| AP-1 | Activator Protein 1 | Nuclear transcriptional activator |
| ATF | Activating transcription factor | Transcriptional activator |
| cMyc | c-myc protein | Telomerase activator |
| GATA-1 | GATA binding protein 1 | Cell growth transcription factor |
| POU1F1a, POU2F1 | Octamer-binding factors | Transcriptional activators |
| p300 | E1A-associated 300-kDa protein | Transcriptional enhancer |
| PBF | Prolamin box binding factor | Transcriptional activator in plants |
| TBP | TATA-binding protein | Polymerase activator |
| Cdx-1 | Cdx homeodomain protein | Activator |
| MEF-2C | MADS box transcription enhancer factor 2 | Transcriptional enhancer |
© 2017 by the authors. Licensee MDPI, Basel, Switzerland. This article is an open access article distributed under the terms and conditions of the Creative Commons Attribution (CC BY) license (http://creativecommons.org/licenses/by/4.0/).
Share and Cite
Niederwanger, M.; Dvorak, M.; Schnegg, R.; Pedrini-Martha, V.; Bacher, K.; Bidoli, M.; Dallinger, R. Challenging the Metallothionein (MT) Gene of Biomphalaria glabrata: Unexpected Response Patterns Due to Cadmium Exposure and Temperature Stress. Int. J. Mol. Sci. 2017, 18, 1747. https://doi.org/10.3390/ijms18081747
Niederwanger M, Dvorak M, Schnegg R, Pedrini-Martha V, Bacher K, Bidoli M, Dallinger R. Challenging the Metallothionein (MT) Gene of Biomphalaria glabrata: Unexpected Response Patterns Due to Cadmium Exposure and Temperature Stress. International Journal of Molecular Sciences. 2017; 18(8):1747. https://doi.org/10.3390/ijms18081747
Chicago/Turabian StyleNiederwanger, Michael, Martin Dvorak, Raimund Schnegg, Veronika Pedrini-Martha, Katharina Bacher, Massimo Bidoli, and Reinhard Dallinger. 2017. "Challenging the Metallothionein (MT) Gene of Biomphalaria glabrata: Unexpected Response Patterns Due to Cadmium Exposure and Temperature Stress" International Journal of Molecular Sciences 18, no. 8: 1747. https://doi.org/10.3390/ijms18081747
APA StyleNiederwanger, M., Dvorak, M., Schnegg, R., Pedrini-Martha, V., Bacher, K., Bidoli, M., & Dallinger, R. (2017). Challenging the Metallothionein (MT) Gene of Biomphalaria glabrata: Unexpected Response Patterns Due to Cadmium Exposure and Temperature Stress. International Journal of Molecular Sciences, 18(8), 1747. https://doi.org/10.3390/ijms18081747

