Theoretical and Kinetic Tools for Selecting Effective Antioxidants: Application to the Protection of Omega-3 Oils with Natural and Synthetic Phenols
Abstract
:1. Introduction
2. Results
2.1. Bond Dissociation Enthalpies (BDE) of 70 Phenolic Antioxidants
2.2. Kinetic Rates of Hydrogen Transfer, Stoichiometric Numbersand Inhibition of FAMEs Linseed Oil Oxidation
2.2.1. Kinetic Rates of Hydrogen Transfer
2.2.2. Stoichiometric Number (σexp)
2.2.3. Inhibition of FAMEs Linseed Oil Oxidation
3. Discussion
3.1. Bond Dissociation Enthalpies (BDE) of 70 Phenolic Antioxidants
3.2. Kinetic Rates of Hydrogen Transfer, Stoichiometric Numbers and Inhibition of FAMEs Linseed Oil Oxidation
4. Materials and Methods
4.1. Reagents
4.2. Calculation of the Bond Dissociation Enthalpies BDEs (O–H)
4.3. Determination of the Rate Constants for Hydrogen Transfer from Phenols to DPPH•
4.4. Determination of the Stoichiometric Number (σexp) for the Reaction of Phenolic Antioxidants with DPPH•
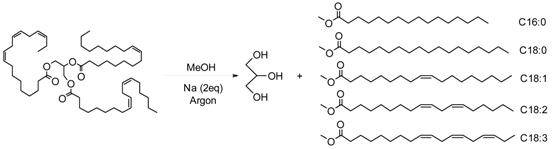
4.5. Synthesis of Antioxidant-Free Fatty Acid Methyl Esters (FAMEs) by Transesterification of Purified Linseed Oil
4.6. Analysis of FAMEs Linseed Oil by GC-MS
4.7. Effect of the Phenolic Antioxidants on the Autoxidation of Fames Linseed Oil
Supplementary Materials
Acknowledgments
Author Contributions
Conflicts of Interest
Abbreviations
| BHT | Butylated hydroxytoluene |
| BDE | Bond dissociation enthalpy |
| BHA | Butylated hydroxyanisole |
| DFT | Density functional theory |
| TBHQ | tert-Butylhydroquinone |
| EDG | Electron-donating group |
| PG | Propyl gallate |
| EWG | Electron-withdrawing group |
| FOK | Pseudo-first-order kinetic |
| LOO• | Lipid peroxyl radical |
| SOK | Second order kinetic |
| LOOH | Lipid hydroperoxide |
| DPPH | 2,2-Diphenyl-1-picrylhydrazyl |
| HAT | Hydrogen atom transfer |
| FAMEs | Fatty acid methyl esters |
| IP | Induction period |
| LH | Unsaturated lipids |
| Rox | Oxidation rate |
References
- Burr, M.L. Lessons from the story of n-3 fatty acids. Am. J. Clin. Nutr. 2000, 71, 397S–398S. [Google Scholar] [PubMed]
- Kryzhanovskii, S.A.; Vititnova, M.B. Ω-3 polyunsaturated fatty acids and the cardiovascular system. Hum. Physiol. 2009, 35, 491–501. [Google Scholar] [CrossRef]
- Kanner, J.; Rosenthal, I. An assessment of lipid oxidation in foods. Pure Appl. Chem. 1992, 64, 1959–1964. [Google Scholar] [CrossRef]
- Miyamoto, S.; Martinez, G.R.; Medeiros, M.H.G.; di Mascio, P. Singlet molecular oxygen generated from lipid hydroperoxides by the russell mechanism: Studies using 18(O)-labeled linoleic acid hydroperoxide and monomol light emission measurements. J. Am. Chem. Soc. 2003, 125, 6172–6179. [Google Scholar] [CrossRef] [PubMed]
- Neff, W.E.; Frankel, E.N. Photosensitized oxidation of methyl linolenate monohydroperoxides: Hydroperoxy cyclic peroxides, dihydroperoxides and hydroperoxy bis(cyclic peroxide)s. Lipids 1984, 19, 952–957. [Google Scholar] [CrossRef]
- Halliwell, B.; Aeschbach, R.; Löliger, J.; Aruoma, O.I. The characterization of antioxidants. Food Chem. Toxicol. 1995, 33, 601–617. [Google Scholar] [CrossRef]
- Zhang, H.-Y.; Sun, Y.-M.; Wang, X.-L. Substituent effects on o-h bond dissociation enthalpies and ionization potentials of catechols: A dft study and its implications in the rational design of phenolic antioxidants and elucidation of structure-activity relationships for flavonoid antioxidants. Chem. Eur. J. 2003, 9, 502–508. [Google Scholar] [CrossRef] [PubMed]
- Van Acker, S.A.B.E.; Koymans, L.M.H.; Bast, A. Molecular pharmacology of vitamin e: Structural aspects of antioxidant activity. Free Radical Biol. Med. 1993, 15, 311–328. [Google Scholar] [CrossRef]
- Zhang, H.-Y. Theoretical methods used in elucidating activity differences of phenolic antioxidants. J. Am. Oil Chem. Soc. 1999, 76, 745–748. [Google Scholar] [CrossRef]
- Wright, J.S.; Carpenter, D.J.; McKay, D.J.; Ingold, K.U. Theoretical calculation of substituent effects on the o-h bond strength of phenolic antioxidants related to vitamin e. J. Am. Chem. Soc. 1997, 119, 4245–4252. [Google Scholar] [CrossRef]
- Wright, J.S.; Johnson, E.R.; DiLabio, G.A. Predicting the activity of phenolic antioxidants: Theoretical method, analysis of substituent effects, and application to major families of antioxidants. J. Am. Chem. Soc. 2001, 123, 1173–1183. [Google Scholar] [CrossRef] [PubMed]
- Zhang, H.-Y. Selection of theoretical parameter characterizing scavenging activity of antioxidants on free radicals. J. Am. Oil Chem. Soc. 1998, 75, 1705–1709. [Google Scholar] [CrossRef]
- Zhang, H.-Y. On the o-h bond dissociation enthalpy of catechol. New J. Chem. 2003, 27, 453–454. [Google Scholar] [CrossRef]
- Klein, E.; Lukes, V. Study of gas-phase O–H bond dissociation enthalpies and ionization potentials of substituted phenols-applicability of ab initio and DFT/B3LYP methods. Chem. Phys. 2006, 330, 515–525. [Google Scholar] [CrossRef]
- Klein, E.; Lukes, V.; Cibulkova, Z.; Polovkova, J. Study of N–H, O–H, and S–H bond dissociation enthalpies and ionization potentials of substituted anilines, phenols, and thiophenols. J. Mol. Struct. Theochem 2006, 758, 149–159. [Google Scholar] [CrossRef]
- Pratt, D.A.; DiLabio, G.A.; Brigati, G.; Pedulli, G.F.; Valgimigli, L. 5-Pyrimidinols: Novel chain-breaking antioxidants more effective than phenols. J. Am. Chem. Soc. 2001, 123, 4625–4626. [Google Scholar] [CrossRef] [PubMed]
- Bowry, V.W.; Ingold, K.U. The unexpected role of vitamin E (α-tocopherol) in the peroxidation of human low-density lipoprotein. Acc. Chem. Res. 1999, 32, 27–34. [Google Scholar] [CrossRef]
- Gotoh, N.; Noguchi, N.; Tsuchiya, J.; Morita, K.; Sakai, H.; Shimasaki, H.; Niki, E. Inhibition of oxidation of low density lipoprotein by vitamin e and related compounds. Free Radic. Res. 1996, 24, 123–134. [Google Scholar] [PubMed]
- Noguchi, N.; Okimoto, Y.; Tsuchiya, J.; Cynshi, O.; Kodama, T.; Niki, E. Inhibition of oxidation of low-density lipoprotein by a novel antioxidant, BO-653, prepared by theoretical design. Arch. Biochem. Biophys. 1997, 347, 141–147. [Google Scholar] [CrossRef] [PubMed]
- Perez-Gonzalez, A.; Rebollar-Zepeda, A.M.; Leon-Carmona, J.R.; Galano, A. Reactivity indexes and O–H bond dissociation energies of a large series of polyphenols: Implications for their free radical scavenging activity. J. Mex. Chem. Soc. 2012, 56, 241–249. [Google Scholar]
- Bakalbassis, E.G.; Lithoxoidou, A.T.; Vafiadis, A.P. Theoretical calculation of accurate absolute and relative gas- and liquid-phase O–H bond dissociation enthalpies of 2-mono- and 2,6-disubstituted phenols, using dft/b3lyp. J. Phys. Chem. A 2003, 107, 8594–8606. [Google Scholar] [CrossRef]
- Leopoldini, M.; Russo, N.; Toscano, M. The molecular basis of working mechanism of natural polyphenolic antioxidants. Food Chem. 2010, 125, 288–306. [Google Scholar] [CrossRef]
- Li, M.-J.; Liu, L.; Fu, Y.; Guo, Q.-X. Accurate bond dissociation enthalpies of popular antioxidants predicted by the oniom-g3b3 method. J. Mol. Struct. Theochem 2007, 815, 1–9. [Google Scholar] [CrossRef]
- Hoelz, L.V.B.; Horta, B.A.C.; Araujo, J.Q.; Albuquerque, M.G.; Bicca de Alencastro, R.; da Silva, J.F.M. Quantitative structure-activity relationships of antioxidant phenolic compounds. J. Chem. Pharm. Res. 2010, 2, 291–306. [Google Scholar]
- Thavasi, V.; Leong, L.P.; Bettens, R.P.A. Investigation of the influence of hydroxy groups on the radical scavenging ability of polyphenols. J. Phys. Chem. A 2006, 110, 4918–4923. [Google Scholar] [CrossRef] [PubMed]
- Amorati, R.; Ferroni, F.; Lucarini, M.; Pedulli, G.F.; Valgimigli, L. A quantitative approach to the recycling of α-tocopherol by coantioxidants. J. Org. Chem. 2002, 67, 9295–9303. [Google Scholar] [CrossRef] [PubMed]
- Marteau, C.; Nardello-Rataj, V.; Favier, D.; Aubry, J.M. Dual role of phenols as fragrances and antioxidants: Mechanism, kinetics and drastic solvent effect. Flavour Frag. J. 2013, 28, 30–38. [Google Scholar] [CrossRef]
- Nehru, K.; Jang, Y.; Oh, S.; Dallemer, F.; Nam, W.; Kim, J. Oxidation of hydroquinones by a nonheme iron(iv)-oxo species. Inorg. Chim. Acta 2008, 361, 2557–2561. [Google Scholar] [CrossRef]
- Marteau, C.; Guitard, R.; Penverne, C.; Favier, D.; Nardello-Rataj, V.; Aubry, J.M. Boosting effect of ortho-propenyl substituent on the antioxidant activity of natural phenols. Food Chem. 2016, 196, 418–427. [Google Scholar] [CrossRef] [PubMed]
- Leopoldini, M.; Marino, T.; Russo, N.; Toscano, M. Antioxidant properties of phenolic compounds: H-atom versus electron transfer mechanism. J. Phys. Chem. A 2004, 108, 4916–4922. [Google Scholar] [CrossRef]
- Nenadis, N.; Tsimidou, M.Z. Contribution of dft computed molecular descriptors in the study of radical scavenging activity trend of natural hydroxybenzaldehydes and corresponding acids. Food Res. Int. 2012, 48, 538–543. [Google Scholar] [CrossRef]
- Chen, Y.; Xiao, H.; Zheng, J.; Liang, G. Structure-thermodynamics-antioxidant activity relationships of selected natural phenolic acids and derivatives: An experimental and theoretical evaluation. PLoS ONE 2015, 10, e0121276. [Google Scholar] [CrossRef] [PubMed]
- Amorati, R.; Pedulli, G.F.; Cabrini, L.; Zambonin, L.; Landi, L. Solvent and ph effects on the antioxidant activity of caffeic and other phenolic acids. J. Agric. Food Chem. 2006, 54, 2932–2937. [Google Scholar] [CrossRef] [PubMed]
- Foti, M.C.; Daquino, C.; Mackie, I.D.; DiLabio, G.A.; Ingold, K.U. Reaction of phenols with the 2,2-diphenyl-1-picrylhydrazyl radical: Kinetics and dft calculations applied to determine aro-h bond dissociation enthalpies and reaction mechanism. J. Org. Chem. 2008, 73, 9270–9282. [Google Scholar] [CrossRef] [PubMed]
- Pino, E.; Campos, A.M.; Lopez-Alarcon, C.; Aspee, A.; Lissi, E. Free radical scavenging capacity of hydroxycinnamic acids and related compounds. J. Phys. Org. Chem. 2006, 19, 759–764. [Google Scholar] [CrossRef]
- Amic, D.; Lucic, B. Reliability of bond dissociation enthalpy calculated by the pm6 method and experimental teac values in antiradical qsar of flavonoids. Bioorg. Med. Chem. 2010, 18, 28–35. [Google Scholar] [CrossRef] [PubMed]
- Zhang, H.-Y.; Wang, L.-F. Theoretical elucidation of structure-activity relationship for coumarins to scavenge peroxyl radical. J. Mol. Struct.Theochem 2004, 673, 199–202. [Google Scholar] [CrossRef]
- Saito, M.; Sakagami, H.; Fujisawa, S. Cytotoxicity and apoptosis induction by butylated hydroxyanisole (bha) and butylated hydroxytoluene (bht). Anticancer Res. 2003, 23, 4693–4701. [Google Scholar] [PubMed]
- Choe, E.; Min, D.B. Mechanisms of antioxidants in the oxidation of foods. Compr. Rev. Food Sci. Food Saf. 2009, 8, 345–358. [Google Scholar] [CrossRef]
- Natella, F.; Nardini, M.; Di Felice, M.; Scaccini, C. Benzoic and cinnamic acid derivatives as antioxidants: Structure−activity relation. J. Agric. Food Chem. 1999, 47, 1453–1459. [Google Scholar] [CrossRef] [PubMed]
- Musialik, M.; Kuzmicz, R.; Pawlowski, T.S.; Litwinienko, G. Acidity of hydroxyl groups: An overlooked influence on antiradical properties of flavonoids. J. Org. Chem. 2009, 74, 2699–2709. [Google Scholar] [CrossRef] [PubMed]
- Hudson, B.J.F.; Lewis, J.I. Polyhydroxy flavonoid antioxidants for edible oils: Structural criteria for activity. Food Chem. 1983, 10, 47–55. [Google Scholar] [CrossRef]
- Bors, W.; Heller, W.; Michel, C.; Saran, M. Flavonoids as antioxidants: Determination of radical-scavenging efficiencies. Methods Enzymol. 1990, 186, 343–355. [Google Scholar] [PubMed]
- Garcia Aranzazu, M.; Ruiz-Mendez, V.; Romero, C.; Brenes, M. Effect of refining on the phenolic composition of crude olive oils. J. Am. Oil Chem. Soc. 2006, 83, 159–164. [Google Scholar] [CrossRef]
- Hsu, D.-Z.; Chu, P.-Y.; Chandrasekaran, V.R.M.; Liu, M.-Y. Sesame lignan sesamol protects against aspirin-induced gastric mucosal damage in rats. J. Funct. Foods 2009, 1, 349–355. [Google Scholar] [CrossRef]
- Erkan, N.; Ayranci, G.; Ayranci, E. Antioxidant activities of rosemary (Rosmarinus officinalis L.) extract, blackseed (Nigella sativa L.) essential oil, carnosic acid, rosmarinic acid and sesamol. Food Chem. 2008, 110, 76–82. [Google Scholar] [CrossRef] [PubMed]
- Guitard, R.; Paul, J.F.; Nardello, V.; Aubry, J.M. Myricetin, rosmarinic and carnosic acid as superior natural antioxidant alternatives to a-tocopherol for the preservation of omega-3 oils. Food Chem. 2016. submitted for publication. [Google Scholar] [CrossRef]
- Beghdad, M.C.; Benammar, C.; Bensalah, F.; Sabri, F.-Z.; Belarbi, M.; Chemat, F. Antioxidant activity, phenolic and flavonoid content in leaves, flowers, stems and seeds of mallow (Malva sylvestris L.) from north western of algeria. Afr. J. Biotechnol. 2014, 13, 486–491. [Google Scholar]
- Brand-Williams, W.; Cuvelier, M.E.; Berset, C. Use of a free radical method to evaluate antioxidant activity. Food Sci. Technol. 1995, 28, 25–30. [Google Scholar] [CrossRef]
- Antolovich, M.; Prenzler, P.D.; Patsalides, E.; McDonald, S.; Robards, K. Methods for testing antioxidant activity. Analyst 2002, 127, 183–198. [Google Scholar] [CrossRef] [PubMed]
- Huang, D.; Ou, B.; Prior, R.L. The chemistry behind antioxidant capacity assays. J. Agric. Food Chem. 2005, 53, 1841–1856. [Google Scholar] [CrossRef] [PubMed]
- Mishra, K.; Ojha, H.; Chaudhury, N.K. Estimation of antiradical properties of antioxidants using DPPH[rad] assay: A critical review and results. Food Chem. 2012, 130, 1036–1043. [Google Scholar] [CrossRef]
- Goupy, P.; Bautista-Ortin, A.-B.; Fulcrand, H.; Dangles, O. Antioxidant activity of wine pigments derived from anthocyanins: Hydrogen transfer reactions to the DPPH radical and inhibition of the heme-induced peroxidation of linoleic acid. J. Agric. Food Chem. 2009, 57, 5762–5770. [Google Scholar] [CrossRef] [PubMed]
- Goupy, P.; Dufour, C.; Loonis, M.; Dangles, O. Quantitative kinetic analysis of hydrogen transfer reactions from dietary polyphenols to the dpph radical. J. Agric. Food Chem. 2003, 51, 615–622. [Google Scholar] [CrossRef] [PubMed]
- Encinar, J.M.; Pardal, A.; Martinez, G. Transesterification of rapeseed oil in subcritical methanol conditions. Fuel Process. Technol. 2012, 94, 40–46. [Google Scholar] [CrossRef]
- Lucarini, M.; Pedulli, G.F. Free radical intermediates in the inhibition of the autoxidation reaction. Chem. Soc. Rev. 2010, 39, 2106–2119. [Google Scholar] [CrossRef] [PubMed]
- Brigati, G.; Lucarini, M.; Mugnaini, V.; Pedulli, G.F. Determination of the substituent effect on the o-h bond dissociation enthalpies of phenolic antioxidants by the epr radical equilibration technique. J. Org. Chem. 2002, 67, 4828–4832. [Google Scholar] [CrossRef] [PubMed]
- Lucarini, M.; Pedrielli, P.; Pedulli, G.F.; Cabiddu, S.; Fattuoni, C. Bond dissociation energies of O-H bonds in substituted phenols from equilibration studies. J. Org. Chem. 1996, 61, 9259–9263. [Google Scholar] [CrossRef]
- Foti, M.C.; Johnson, E.R.; Vinqvist, M.R.; Wright, J.S.; Barclay, L.R.C.; Ingold, K.U. Naphthalene diols: A new class of antioxidants intramolecular hydrogen bonding in catechols, naphthalene diols, and their aryloxyl radicals. J. Org. Chem. 2002, 67, 5190–5196. [Google Scholar] [CrossRef] [PubMed]
- Li, J.; Bi, Y.; Liu, W.; Sun, S.; Liu, C.; Ma, S. Effect of acid value on tbhq and bht losses in heating oils: Identification of the esterification products of tbhq and free fatty acids. J. Am. Oil Chem. Soc. 2014, 91, 1763–1771. [Google Scholar] [CrossRef]















| N° | Name | N° | Name | N° | Name |
|---|---|---|---|---|---|
| Synthetic phenols | Flavonols | Catechins | |||
| 1 | 5-Tert-butylpyrogallol | 31 | Gossypetin | 55 | Epigallocatechin gallate |
| 2 | Pyrogallol | 32 | Myricetin | 56 | Gallocatechin |
| 3 | Hydroxyquinol | 33 | Azaleatin | 57 | Catechin |
| 4 | Propyl gallate | 34 | Quercetin | ||
| 5 | BHA | 35 | Fisetin | Stilbenes | |
| 6 | 4-Tert-butylcatechol | 36 | Laricitrin | 58 | Piceatannol |
| 7 | BHT | 37 | Syringetin | 59 | Resveratrol |
| 8 | TBHQ | 38 | Rhamnazin | ||
| 9 | o-Tert-butyl-p-cresol | 39 | Kaempferide | Aromatic phenols | |
| 10 | Phloroglucinol | 40 | Isorhamnetin | 60 | Isoeugenol |
| 41 | Morin | 61 | Eugenol | ||
| Tocopherols | 42 | Kaempferol | |||
| 11 | α-Tocopherol | 43 | Galagin | Phenols from olive oil | |
| 12 | β-Tocopherol | 62 | Hydroxytyrosol | ||
| 13 | γ-Tocopherol | Flavones | 63 | Catechol | |
| 14 | δ-Tocopherol | 44 | Luteolin | 64 | Tyrosol |
| 45 | Apigenin | ||||
| Hydroxybenzoic acids | Lignans | ||||
| 15 | Gallic acid | Flavanonols | 65 | Sesamol | |
| 16 | Protocatechuic acid | 46 | Taxifolin | ||
| 17 | Syringic acid | 47 | Aromadedrin | Coumarins | |
| 18 | Ellagic acid | 66 | Methylesculetin | ||
| 19 | Gentisic acid | Flavanones | 67 | Aesculetin | |
| 20 | Vanillic acid | 48 | Eriodictyol | 68 | Nordalbergin |
| 21 | PHBA | 49 | Homoeriodictyol | ||
| 22 | Salicylic acid | 50 | Hesperetin | Carnosic acid derivatives | |
| 51 | Naringenin | 69 | Carnosol | ||
| Hydroxycinnamic acids | 70 | Carnosic acid | |||
| 23 | Rosmarinic acid | Isoflavones | |||
| 24 | Caffeic acid | 52 | Glycitein | ||
| 25 | Chlorogenic acid | 53 | Genistein | ||
| 26 | Sinapic acid | 54 | Daidzein | ||
| 27 | Ferulic acid | ||||
| 28 | o-Coumaric acid | ||||
| 29 | p-Coumaric acid | ||||
| 30 | m-Coumaric acid |
| Synthetic phenolic antioxidants | ||||||||||||||||||
![]() | ||||||||||||||||||
| N° | R(2) | R(3) | R(4) | R(5) | R(6) | BDE (kcal·mol−1) | ||||||||||||
| 1 | OH | H | C(CH3)3 | H | OH | 66.6 (nd) | ||||||||||||
| 2 | OH | H | H | H | OH | 68.0 (77.7 [24]) | ||||||||||||
| 3 | H | H | OH | H | OH | 69.1 (70.4 [25]) | ||||||||||||
| 4 | OH | H | C(O)OC3H7 | H | OH | 69.6 (77.1 [23]) | ||||||||||||
| 5 | C(CH3)3 | H | OCH3 | H | H | 72.3 (80.7 [23]) | ||||||||||||
| 6 | H | H | C(CH3)3 | H | OH | 72.3 (81.1 [26]) | ||||||||||||
| 7 | C(CH3)3 | H | CH3 | H | C(CH3)3 | 72.4 (79.9 [27]) | ||||||||||||
| 8 | H | H | OH | H | C(CH3)3 | 74.3 (76.9 [28]) | ||||||||||||
| 9 | H | H | CH3 | H | C(CH3)3 | 77.4 (78.1 [29]) | ||||||||||||
| 10 | H | OH | H | OH | H | 83.0 (87.7 [24]) | ||||||||||||
| Tocopherols | ||||||||||||||||||
![]() | ||||||||||||||||||
| N° | R(2) | R(3) | R(5) | BDE (kcal·mol−1) | ||||||||||||||
| 11 | CH3 | CH3 | CH3 | 69.1 (71.7 [30]) | ||||||||||||||
| 12 | CH3 | H | CH3 | 73.4 (77.7 [11]) | ||||||||||||||
| 13 | CH3 | CH3 | H | 73.5 (78.2 [11]) | ||||||||||||||
| 14 | CH3 | H | H | 75.4 (79.8 [11]) | ||||||||||||||
| Derivatives of hydroxybenzoic acids | ||||||||||||||||||
![]() | ||||||||||||||||||
| N° | R(2) | R(3) | R(4) | R(5) | R(2’) | BDE (kcal·mol−1) | ||||||||||||
| 15 | H | OH | OH | OH | H | 70.2 (72.2 [22]) | ||||||||||||
| 16 | H | OH | OH | H | H | 75.5 (79.6 [24]) | ||||||||||||
| 17 | H | OCH3 | OH | OCH3 | H | 78.1 (82.7 [31]) | ||||||||||||
| 18 | H | OH | OH | OC(O)- | -C6H(OH)2 | 78.4 (77.1 [32]) | ||||||||||||
| 19 | OH | H | H | OH | H | 79.5 (80.0 [32]) | ||||||||||||
| 20 | H | OCH3 | OH | H | H | 83.1 (87.0 [31]) | ||||||||||||
| 21 | H | H | OH | H | H | 84.7 (89.2 [24]) | ||||||||||||
| 22 | OH | H | H | H | H | 95.2 (93.0 [24]) | ||||||||||||
| Derivatives of hydroxycinnamic acids | ||||||||||||||||||
![]() | ||||||||||||||||||
| N° | R(2) | R(3) | R(4) | R(5) | R(4’) | BDE (kcal·mol−1) | ||||||||||||
| 23 | H | OH | OH | H | C9O4H10 | 69.2 (75.3 [31]) | ||||||||||||
| 24 | H | OH | OH | H | H | 72.1 (73.6 [22]) | ||||||||||||
| 25 | H | OH | OH | H | C6H2(OH)3CO2H | 73.4 (78.7 [33]) | ||||||||||||
| 26 | H | OCH3 | OH | OCH3 | H | 75.4 (81.2 [34]) | ||||||||||||
| 27 | H | OCH3 | OH | H | H | 79.7 (84.5 [24]) | ||||||||||||
| 28 | OH | H | H | H | H | 80.1 (84.4 [24]) | ||||||||||||
| 29 | H | H | OH | H | H | 80.5 (84.9 [24]) | ||||||||||||
| 30 | H | OH | H | H | H | 84.4 (88.1 [35]) | ||||||||||||
| Flavonols | ||||||||||||||||||
![]() | ||||||||||||||||||
| N° | R(2’) | R(3’) | R(4’) | R(5’) | R(5) | R(7) | R(8) | BDE (kcal·mol−1) | ||||||||||
| 31 | H | OH | OH | H | OH | OH | OH | 66.6 (65.5 [20]) | ||||||||||
| 32 | H | OH | OH | OH | OH | OH | H | 67.4 (71.1 [36]) | ||||||||||
| 33 | H | OH | OH | H | OCH3 | OH | H | 71.1 (66.1 [20]) | ||||||||||
| 34 | H | OH | OH | H | OH | OH | H | 71.8 (72.3 [22]) | ||||||||||
| 35 | H | H | OH | OH | H | OH | H | 72.3 (70.3 [36]) | ||||||||||
| 36 | H | OCH3 | OH | OH | OH | OH | H | 72.5 (66.9 [20]) | ||||||||||
| 37 | H | OCH3 | OH | OCH3 | OH | OH | H | 75.7 (63.8 [20]) | ||||||||||
| 38 | H | OCH3 | OH | H | OH | OCH3 | H | 79.6 (65.2 [20]) | ||||||||||
| 39 | H | H | OCH3 | H | OH | OH | H | 79.8 (73.8 [20]) | ||||||||||
| 40 | H | OCH3 | OH | H | OH | OH | H | 79.8 (72.9 [20]) | ||||||||||
| 41 | OH | H | OH | H | OH | OH | H | 79.8 (76.9 [36]) | ||||||||||
| 42 | H | H | OH | H | OH | OH | H | 80.1 (80.9 [22]) | ||||||||||
| 43 | H | H | H | H | OH | OH | H | 81.2 (76.0 [36]) | ||||||||||
| Flavones | ||||||||||||||||||
![]() | ||||||||||||||||||
| N° | R(3’) | R(4’) | R(5) | R(7) | BDE (kcal·mol−1) | |||||||||||||
| 44 | OH | OH | OH | OH | 73.1 (74.5 [22]) | |||||||||||||
| 45 | H | OH | OH | OH | 82.1 (82.9 [22]) | |||||||||||||
| Flavanonols | ||||||||||||||||||
![]() | ||||||||||||||||||
| N° | R(3’) | R(4’) | R(5) | R(7) | BDE (kcal·mol−1) | |||||||||||||
| 46 | OH | OH | OH | OH | 73.2 (74.7 [22]) | |||||||||||||
| 47 | H | OH | OH | OH | 82.3 (75.7 [20]) | |||||||||||||
| Flavanones | ||||||||||||||||||
![]() | ||||||||||||||||||
| N° | R(3’) | R(4’) | R(5) | R(7) | BDE (kcal·mol−1) | |||||||||||||
| 48 | OH | OH | OH | OH | 73.6 (73.6 [36]) | |||||||||||||
| 49 | OCH3 | OH | OH | OH | 80.8 (75.1 [20]) | |||||||||||||
| 50 | OH | OCH3 | OH | OH | 82.2 (77.4 [36]) | |||||||||||||
| 51 | H | OH | OH | OH | 82.4 (81.4 [36]) | |||||||||||||
| Isoflavones | ||||||||||||||||||
![]() | ||||||||||||||||||
| N° | R(4’) | R(5) | R(6) | R(7) | BDE (kcal·mol−1) | |||||||||||||
| 52 | OH | H | OCH3 | OH | 80.1 (78.0 [36]) | |||||||||||||
| 53 | OH | OH | H | OH | 81.0 (78.0 [36]) | |||||||||||||
| 54 | OH | H | H | OH | 81.9 (78.3 [36]) | |||||||||||||
| Catechins | ||||||||||||||||||
![]() | ||||||||||||||||||
| N° | R(3’) | R(4’) | R(5’) | R(3) | R(5) | R(7) | BDE (kcal·mol−1) | |||||||||||
| 55 | OH | OH | OH | C(O)C6H2(OH)3 | OH | OH | 66.5 (69.0 [36]) | |||||||||||
| 56 | OH | OH | OH | H | OH | OH | 68.5 (63.7 [20]) | |||||||||||
| 57 | OH | OH | H | H | OH | OH | 74.4 (74.2 [22]) | |||||||||||
| Stilbenes | ||||||||||||||||||
![]() | ||||||||||||||||||
| N° | R(3‘) | R(4’) | R(3) | R(5) | BDE (kcal·mol−1) | |||||||||||||
| 58 | OH | OH | OH | OH | 68.7 (62.9 [20]) | |||||||||||||
| 59 | H | OH | OH | OH | 76.7 (70.3 [20]) | |||||||||||||
| Eugenol and Isoeugenol | ||||||||||||||||||
![]() | ||||||||||||||||||
| N° | C(1)-C(2) | C(2)-C(3) | BDE (kcal·mol−1) | |||||||||||||||
| 60 | -CH=CH- | -CH-CH3 | 76.6 (83.8 [27]) | |||||||||||||||
| 61 | -CH2-CH- | -CH=CH2 | 80.2 (86.8 [27]) | |||||||||||||||
| Antioxidants in olive oil | ||||||||||||||||||
![]() | ||||||||||||||||||
| N° | R(2) | R(4) | BDE (kcal·mol−1) | |||||||||||||||
| 62 | OH | CH2CH2OH | 72.1 (73.5 [22]) | |||||||||||||||
| 63 | OH | H | 73.4 (76.4 [24]) | |||||||||||||||
| 64 | H | CH2CH2OH | 81.0 (87.8 [23]) | |||||||||||||||
| Lignans | ||||||||||||||||||
![]() | ||||||||||||||||||
| N° | R(4) | BDE (kcal·mol−1) | ||||||||||||||||
| 65 | OH | 75.1 (80.6 [34]) | ||||||||||||||||
| Coumarins | ||||||||||||||||||
![]() | ||||||||||||||||||
| N° | R(4) | R(6) | R(7) | BDE (kcal·mol−1) | ||||||||||||||
| 66 | CH3 | OH | OH | 72.0 (72.1 [37]) | ||||||||||||||
| 67 | H | OH | OH | 72.5 (73.1 [37]) | ||||||||||||||
| 68 | C6H5 | OH | OH | 72.6 (nd) | ||||||||||||||
| Carnosol and carnosic acid | ||||||||||||||||||
![]() | ||||||||||||||||||
| N° | R(1) | R(2) | BDE (kcal·mol−1) | |||||||||||||||
| 69 | / | -C(O)O- | 70.7 (nd) | |||||||||||||||
| 70 | -CO2H | / | 70.8 (nd) | |||||||||||||||
| N° | k (M−1·s−1) d | Induction Period d | Oxidation Rate d | Stoichiometric Number | |
|---|---|---|---|---|---|
| SOK a | FOK b | IP (min) | Rox (mM·min−1) | σexp | |
| 0 e | / | / | 0 | 1.23 | / |
| 1 | 9480 | 234 | 0.06 | 2.1 | |
| 4 | 1240 | 162 | 0.26 | 3.9 | |
| 5 | 184 | 167 | 0.35 | 2.0 | |
| 6 | 776 | 220 | 0.37 | 2.5 | |
| 7 | 0.18 | 131 | 0.44 | 2.0 | |
| 8 | 600 | 45 | 0.53 | 2.0 | |
| 9 | 0.36 | 56 | 0.77 | 2.5 | |
| 11 | 2690 | 177 | 0.17 | 2.0 | |
| 15 | ns | 178 | 0.32 | 5.0 c | |
| 16 | ns | 50 | 0.62 | 1.9 c | |
| 17 | 10.6 | 37 | 0.76 | 1.1 | |
| 20 | 1.4 | 1.0 | 5 | 1.03 | 0 c |
| 21 | ns | 6 | 1.20 | 0 c | |
| 23 | ns | 262 | 0.27 | 4.1 c | |
| 24 | ns | 148 | 0.36 | 2.0 c | |
| 25 | ns | 138 | 0.48 | 1.9 c | |
| 26 | 165 | 54 | 0.57 | 1.4 c | |
| 27 | 8.4 | 28 | 0.82 | 1.8 | |
| 32 | ns | 262 | 0.11 | 3.4 c | |
| 34 | ns | 135 | 0.34 | 1.9 c | |
| 55 | ns | 476 | 0.08 | 5.4 c | |
| 58 | ns | 313 | 0.29 | 2.0 c | |
| 59 | ns | 67 | 0.68 | 0.9 c | |
| 60 | 38 | 49 | 0.72 | 0.9 | |
| 61 | 3.9 | 2.7 | 27 | 0.93 | 2.1 |
| 62 | 1070 | 172 | 0.30 | 2.0 | |
| 63 | 400 | 147 | 0.46 | 1.9 | |
| 65 | 250 | 161 | 0.55 | 2.1 | |
| 67 | ns | 112 | 0.50 | 2.1 | |
| 69 | 1680 | 166 | 0.35 | 1.9 | |
| 70 | 640 | 230 | 0.29 | 2.0 | |
| Pyrogallol Moieties | Catechol Moieties | ΔBDE (kcal·mol−1) | ||
|---|---|---|---|---|
| N° | BDE (kcal·mol−1) | N° | BDE (kcal·mol−1) | |
| 1 | 66.6 | 6 | 72.3 | 5.7 |
| 2 | 68.0 | 63 | 73.4 | 5.4 |
| 15 | 70.2 | 16 | 75.5 | 5.3 |
| 32 | 67.4 | 34 | 71.8 | 4.4 |
| 55 | 68.5 | 57 | 74.4 | 5.9 |
© 2016 by the authors; licensee MDPI, Basel, Switzerland. This article is an open access article distributed under the terms and conditions of the Creative Commons Attribution (CC-BY) license (http://creativecommons.org/licenses/by/4.0/).
Share and Cite
Guitard, R.; Nardello-Rataj, V.; Aubry, J.-M. Theoretical and Kinetic Tools for Selecting Effective Antioxidants: Application to the Protection of Omega-3 Oils with Natural and Synthetic Phenols. Int. J. Mol. Sci. 2016, 17, 1220. https://doi.org/10.3390/ijms17081220
Guitard R, Nardello-Rataj V, Aubry J-M. Theoretical and Kinetic Tools for Selecting Effective Antioxidants: Application to the Protection of Omega-3 Oils with Natural and Synthetic Phenols. International Journal of Molecular Sciences. 2016; 17(8):1220. https://doi.org/10.3390/ijms17081220
Chicago/Turabian StyleGuitard, Romain, Véronique Nardello-Rataj, and Jean-Marie Aubry. 2016. "Theoretical and Kinetic Tools for Selecting Effective Antioxidants: Application to the Protection of Omega-3 Oils with Natural and Synthetic Phenols" International Journal of Molecular Sciences 17, no. 8: 1220. https://doi.org/10.3390/ijms17081220
APA StyleGuitard, R., Nardello-Rataj, V., & Aubry, J.-M. (2016). Theoretical and Kinetic Tools for Selecting Effective Antioxidants: Application to the Protection of Omega-3 Oils with Natural and Synthetic Phenols. International Journal of Molecular Sciences, 17(8), 1220. https://doi.org/10.3390/ijms17081220
















