Antiproliferative Activity and in Vivo Toxicity of Double-Point Modified Analogs of 1,25-Dihydroxyergocalciferol
Abstract
:1. Introduction

2. Results
2.1. Antiproliferative Activity of Analogs
| Compound/Analog | Cell Line/IC50 (nM) | ||
|---|---|---|---|
| HL-60 | MV4-11 | THP-1 | |
| calcitriol | 44.2 ± 16.9 | 15.6 ± 8.7 | 64.6 ± 23.3 |
| tacalcitol (PRI-2191) | 8.7 ± 2.0 * | 2.8 ± 0.9 * | 6.4 ± 1.9 |
| calcipotriol (PRI-2201) | 21.1 ± 2.8 * | 4.5 ± 0.7 * | 86.3 ± 4.9 |
| PRI-2205 | 277.1 ± 29.6 a,* | 37.5 ± 14.6 a,* | 151.5 ± 33.0 |
| PRI-1906 | 7.5 ± 3.1 a,* | 3.4 ± 0.2 * | 55.8 ± 4.7 |
| PRI-1907 | 0.9 ± 0.4 a,* | 0.5 ± 0.2 a,* | 7.2 ± 1.2 |
| paricalcitol (PRI-5100) | 29.5 ± 9.3 b,c | 4.4 ± 0.9 * | 48.5 ± 11.0 |
| PRI-5101 | 44.9 ± 9.2 a,b,c | 6.3 ± 2.7 b,c,* | 55.3 ± 13.4 b,c |
| PRI-5104 | 30.2 ± 13.3 | 7.2 ± 2.2 a,b,c | 55.3 ± 13.4 |
| PRI-5105 | 12.2 ± 3.7 a,* | 3.0 ± 0.6 a,* | 33.2 ± 1.8 |
| PRI-5106 | 5.1 ± 1.4 a,* | 0.2 ± 0.2 a,* | 51.1 ± 7.3 |
| PRI-5201 | 0.8 ± 0.1 a,* | 0.9 ± 0.3 a,* | 1.1 ± 0.2 |
| PRI-5202 | 0.5 ± 0.1 a,* | 0.4 ± 0.1 a,* | ±0.1 |
| Compound/Analog | Cell Line/Proliferation Inhibition at 1000 nM Concentration | |||||
|---|---|---|---|---|---|---|
| Jurkat | K562 | Raji | MCF-7 | T47D | HT-29 | |
| calcitriol | 11.24 ± 7.71 | 30.12 ± 13.83 | 23.55 ± 0.44 | 38.4 ± 6.2 | 28.3 ± 17.3 | 39.5 ± 5.2 |
| tacalcitol (PRI-2191) | 17.72 ± 2.14 | 32.16 ± 10.06 | 27.64 ± 13.11 | 31.5 ± 22.8 | 41.8 ± 21.2 | 45.0 ± 10.1 |
| calcipotriol (PRI-2201) | 21.56 ± 10.55 | 32.37 ± 10.65 | 11.26 ± 2.38 | 28.3 ± 2.4 | 13.0 ± 9.0 | 30.6 ± 9.5 |
| PRI-2205 | 15.45 ± 17.04 | 21.81 ± 19.51 | 9.90 ± 1.10 | 34.1 ± 9.7 | 34.2 ± 23.8 | 34.3 ± 4.3 |
| PRI-1906 | 17.72 ± 2.14 | 32.16 ± 10.06 | 27.64 ± 13.11 | 44.5 ± 17.5 | 32.7 ± 22.0 | 30.2 ± 9.0 |
| PRI-1907 | 21.60 ± 9.42 | 37.06 ± 9.88 | 27.65 ± 10.57 | 44.1 ± 6.3 | 37.6 ± 25.8 | 36.2 ± 8.3 |
| paricalcitol (PRI-5100) | 26.10 ± 9.18 | 25.41 ± 6.78 | 17.23 ± 0.33 | 37.8 ± 7.1 | 23.6 ± 7.7 | 44.4 ± 3.0 |
| PRI-5101 | 9.08 ± 2.94 | 23.00 ± 5.84 | 3.99 ± 5.64 | 40.2 ± 12.0 | 13.2 ± 11.1 | 36.0 ± 15.4 |
| PRI-5104 | 10.39 ± 5.09 | 33.47 ± 8.09 | 2.14 ± 2.85 | 29.3 ± 4.9 | 18.2 ± 14.4 | 29.4 ± 9.3 |
| PRI-5105 | 11.64 ± 8.44 | 9.35 ± 3.14 | 2.67 ± 1.39 | nt | 35.2 ± 0.8 | nt |
| PRI-5106 | 10.68 ± 6.72 | 12.22 ± 4.95 | 4.16 ± 3.31 | nt | 39.8 ± 1.5 | nt |
| PRI-5201 | 35.19 ± 11.0 | 37.14 ± 13.11 | 17.41 ± 5.90 | 43.5 ± 10.2 | 52.7 ± 17.2 | 43.0 ± 6.4 |
| PRI-5202 | 21.15 ± 16.52 | 30.72 ± 11.27 | 0 | 30.8 ± 6.4 | 37.9 ± 23.9 | 28.6 ± 6.7 |
2.2. Analysis of Cell Cycle Distribution of Human Leukemia Cell Lines HL-60 and MV4-11
| Analog | HL-60 | MV4-11 | ||||
|---|---|---|---|---|---|---|
| G0/G1 | S | G2/M | G0/G1 | S | G2/M | |
| Mean ± SD (%) | ||||||
| control | 53.4 ± 3.0 | 27.1 ± 0.8 | 17.1 ± 3.3 | 73.2 ± 1.8 | 17.9 ± 2.1 | 7.9 ± 0.6 |
| EtOH | 56.8 ± 2.8 | 26.7 ± 3.2 | 16.4 ± 3.7 | 73.1 ± 2.0 | 17.5 ± 1.6 | 7.9 ± 1.7 |
| calcitriol | 68.1 ± 6.9 | 13.8 ± 3.3 * | 17.4 ± 2.9 | 78.7 ± 2.4 | 11.0 ±0.7 * | 8.5 ± 2.6 |
| tacalcitol (PRI-2191) | 68.0 ± 6.3 | 13.7 ± 3.1 * | 16.6 ± 5.0 | 82.6 ± 3.2 * | 10.3 ± 2.0 * | 5.8 ± 1.6 |
| PRI-1906 | 70.9 ± 4.3 * | 10.0 ± 5.1 * | 18.3 ± 6.0 | 80.8 ± 3.0 | 9.5 ± 1.6 * | 6.4 ± 0.9 |
| PRI-1907 | 79.0 ± 6.0 * | 8.6 ± 2.6 * | 10.8 ± 4.3 | 83.8 ± 1.7 * | 8.4 ± 1.3 * | 4.7 ± 1.2 * |
| paricalcitol (PRI-5100) | 68.9 ± 7.7 | 16.3 ± 5.1 | 14.7 ± 2.9 | 81.6 ± 1.8 * | 9.5 ± 0.6 * | 7.6 ± 1.6 |
| PRI-5101 | 65.9 ± 3.2 | 15.7 ± 2.4 * | 17.7 ± 0.9 | 78.3 ± 1.5 | 11.0 ± 2.1 * | 8.8 ± 1.2 |
| PRI-5104 | 66.4 ± 5.7 | 16.0 ± 3.1 * | 16.7 ± 2.3 | 76.6 ± 2.5 | 13.2 ± 2.1 | 8.5 ± 1.0 |
| PRI-5105 | 75.3 ± 6.3 * | 11.0 ± 4.7 * | 13.1 ± 1.5 | 80.4 ± 7.3 | 8.3 ± 2.9 * | 7.6 ± 2.5 |
| PRI-5106 | 79.2 ± 6.7 * | 8.1 ± 3.6 * | 11.8 ± 2.4 | 77.3 ± 8.9 | 11.4 ± 5.4 | 7.3 ± 1.7 |
| PRI-5201 | 82.3 ± 7.1 * | 7.2 ± 4.0 * | 9.6 ± 3.9 | 80.5 ± 5.1 | 8.4 ± 1.9 * | 7.4 ± 3.2 |
| PRI-5202 | 82.3 ± 7.6 * | 7.3 ± 4.0 * | 9.3 ± 4.1 | 80.2 ± 5.2 | 9.6 ± 2.1 * | 7.0 ± 2.1 |
2.3. CD11b and CD14 Expression on HL-60 and MV4-11 Cells Incubated with Analogs for 120 h

2.4. Cytoplasmic Vacuolization of Leukemic Cells after Incubation with Vitamin D Analogs


2.5. VDR and MARRS mRNA Expression


2.6. VDR Protein Expression

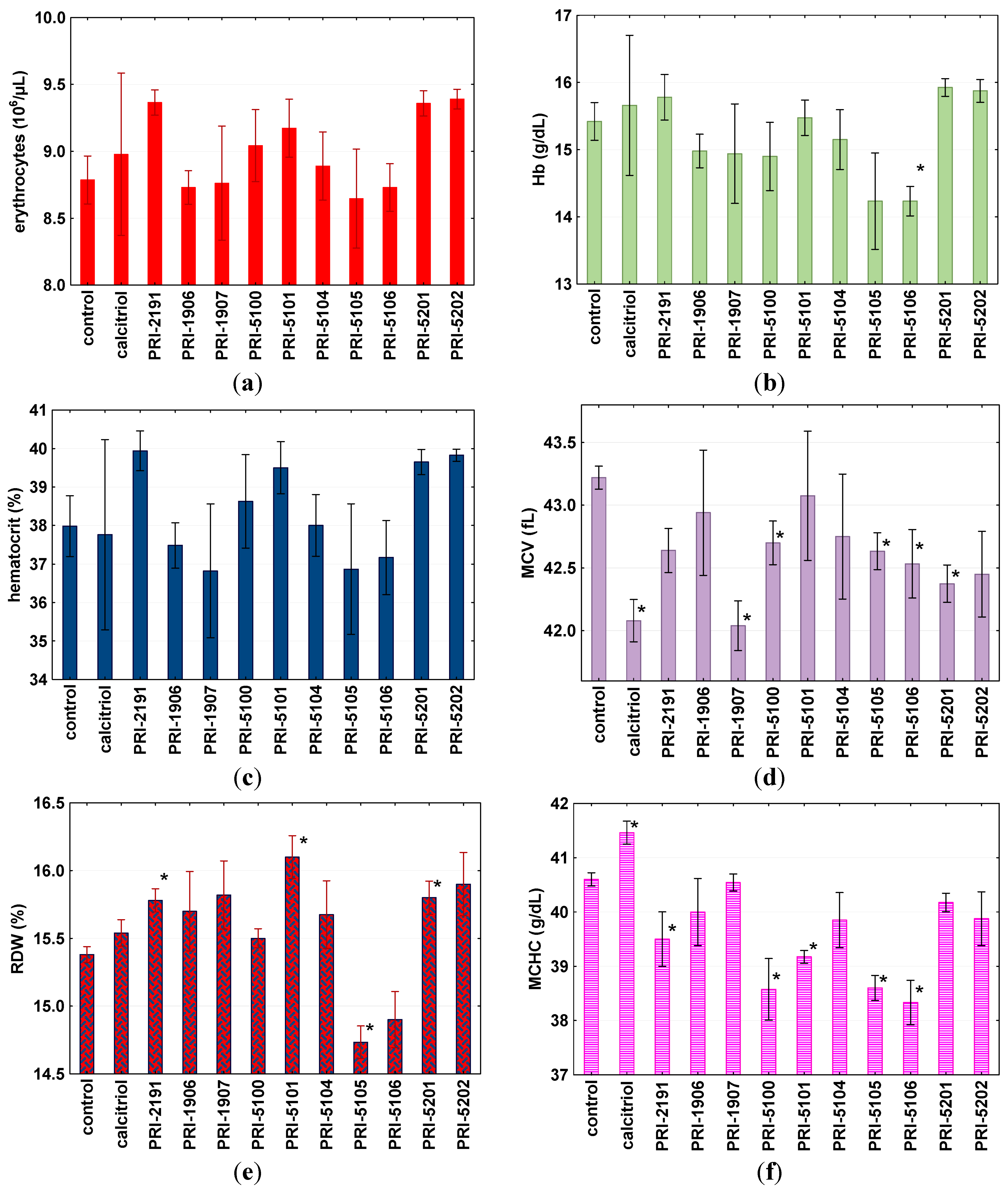
2.7. Preliminary Toxicity Studies of New Analogs in Vivo
| Group | n | Ca (mg/dL) | P (mg/dL) | ASP (U/L) | ALT (U/L) | Urea (mM/L) | CRE (μM/L) | Glucose (mM/L) | Body Weight Change (%) |
|---|---|---|---|---|---|---|---|---|---|
| control | 5 | 10.35 ± 0.21 | 7.74 ± 0.64 | 37.62 ± 18.01 | 99.64 ± 37.69 | 7.33 ± 0.65 | 17.72 ± 4.10 | 7.78 ± 1.05 | 2.28 |
| calcitriol | 6 | 14.44 ± 1.43 * | 8.21 ± 0.49 | 31.54 ± 7.28 | 102.46 ± 21.75 | 9.02 ± 1.08 | 20.64 ± 4.19 | 6.74 ± 1.22 | 2.08 |
| tacalcitol (PRI-2191) | 5 | 14.09 ± 0.55 * | 7.84 ± 1.02 | 31.68 ± 4.08 | 92.8 ± 14.95 | 7.91 ± 0.74 | 18.30 ± 3.80 | 9.18 ± 0.92 | 1.64 |
| PRI-1906 | 5 | 11.94 ± 0.51 | 9.12 ± 1.52 | 28.16 ± 2.95 | 91.44 ± 11.57 | 6.61 ± 0.52 | 16.82 ± 3.10 | 7.52 ± 1.37 | 0.00 |
| PRI-1907 | 5 | 17.61 ± 1.20 * | 7.24 ± 0.26 | 31.54 ± 4.56 | 102.76 ± 11.57 | 7.83 ± 1.23 | 17.70 ± 1.76 | 6.53 ± 0.96 | −2.96 |
| paricalcitol (PRI-5100) | 5 | 12.87 ± 0.21 | 8.40 ± 0.36 | 35.68 ± 3.24 | 106.85 ± 22.12 | 7.42 ± 0.69 | 17.52 ± 2.64 | 7.52 ± 1.27 | 0.92 |
| PRI-5101 | 5 | 10.62 ± 0.68 ** | 8.07 ± 0.52 | 33.25 ± 3.30 | 86.10 ± 9.36 | 6.80 ± 0.66 * | 18.40 ± 1.76 | 8.43 ± 1.80 | 0.29 |
| PRI-5104 | 5 | 10.62 ± 0.78 ** | 7.32 ± 0.49 | 29.3 ± 4.03 | 103.96 ± 8.76 | 5.54 ± 2.24 | 15.80 ± 1.38 | 8.03 ± 0.67 | 1.58 |
| PRI-5105 | 3 | 10.98 ± 0.25 ** | 7.84 ± 0.09 | 32.03 ± 2.09 | 76.87 ± 8.52 | 7.60 ± 0.36 | 12.30 ± 1.22 | 10.69 ± 1.67 | −1.82 |
| PRI-5106 | 3 | 12.61 ± 0.08 | 7.69 ± 0.52 | 32.30 ± 1.82 | 86.23 ± 19.97 | 7.42 ± 0.34 | 12.53 ± 0.95 | 7.95 ± 0.55 | 2.70 |
| PRI-5201 | 5 | 12.76 ± 1.04 | 8.25 ± 1.44 | 31.33 ± 3.44 * | 95.78 ± 7.64 | 7.35 ± 0.99 | 17.10 ± 2.17 | 7.81 ± 0.94 | 0.00 |
| PRI-5202 | 5 | 13.50 ± 1.20 | 7.63 ± 0.48 | 27.23 ± 3.12 | 90.33 ± 2.16 | 10.66 ± 0.44 | 22.16 ± 2.01 | 10.91 ± 0.86 | −10.26 |




3. Discussion
4. Experimental Section
4.1. Cells
4.2. Compounds
4.3. Antibodies
4.4. Anti-Proliferative Assay in Vitro
4.5. MV4-11 and HL-60 Cell Incubation for Cell Cycle Analysis, Differentiation Assay, Immunocytochemistry and Western Blot
4.5.1. Cell Cycle Analysis
4.5.2. MV4-11 and HL-60 Differentiation Assay
4.5.3. Lysate Preparation and Western Blot
4.5.4. Cytospin Staining
4.6. Real Time PCR
4.7. Animal Experiments
Calcemic Activity, Hepatic and Kidney Function, Blood Morphology
4.8. Statistical Analysis
5. Conclusions
Acknowledgments
Author Contributions
Conflicts of Interest
References
- Johnson, D.E.; Redner, R.L. An ATRActive future for differentiation therapy in AML. Blood Rev. 2015, 29, 263–268. [Google Scholar] [CrossRef] [PubMed]
- Sanz, M.A.; Montesinos, P. How we prevent and treat differentiation syndrome in patients with acute promyelocytic leukemia. Blood 2014, 123, 2777–2782. [Google Scholar] [CrossRef] [PubMed]
- Milczarek, M.; Chodyński, M.; Filip-Psurska, B.; Martowicz, A.; Krupa, M.; Krajewski, K.; Kutner, A.; Wietrzyk, J. Synthesis and biological activity of diastereomeric and geometric analogs of calcipotriol, PRI-2202 and PRI-2205, against human HL-60 Leukemia and MCF-7 breast cancer cells. Cancers 2013, 5, 1355–1378. [Google Scholar] [CrossRef] [PubMed]
- Siwińska, A.; Opolski, A.; Chrobak, A.; Wietrzyk, J.; Wojdat, E.; Kutner, A.; Szelejewski, W.; Radzikowski, C. Potentiation of the antiproliferative effect in vitro of doxorubicin, cisplatin and genistein by new analogues of vitamin D. Anticancer Res. 2001, 21, 1925–1929. [Google Scholar] [PubMed]
- Wietrzyk, J.; Nevozhay, D.; Milczarek, M.; Filip, B.; Kutner, A. Toxicity and antitumor activity of the vitamin D analogs PRI-1906 and PRI-1907 in combined treatment with cyclophosphamide in a mouse mammary cancer model. Cancer Chemother. Pharmacol. 2008, 62, 787–797. [Google Scholar] [CrossRef] [PubMed]
- Wietrzyk, J.; Milczarek, M.; Kutner, A. The effect of combined treatment on head and neck human cancer cell lines with novel analogs of calcitriol and cytostatics. Oncol. Res. 2007, 16, 517–525. [Google Scholar] [CrossRef] [PubMed]
- Wietrzyk, J.; Pełczyńska, M.; Madej, J.; Dzimira, S.; Kuśnierczyk, H.; Kutner, A.; Szelejewski, W.; Opolski, A. Toxicity and antineoplastic effect of (24R)-1,24-dihydroxyvitamin D3 (PRI-2191). Steroids 2004, 69, 629–635. [Google Scholar] [CrossRef] [PubMed]
- Opolski, A.; Wietrzyk, J.; Siwinska, A.; Marcinkowska, E.; Chrobak, A.; Radzikowski, C.; Kutner, A. Biological activity in vitro of side-chain modified analogues of calcitriol. Curr. Pharm. Des. 2000, 6, 755–765. [Google Scholar] [CrossRef] [PubMed]
- Wietrzyk, J.; Chodyński, M.; Fitak, H.; Wojdat, E.; Kutner, A.; Opolski, A. Antitumor properties of diastereomeric and geometric analogs of vitamin D3. Anticancer Drugs 2007, 18, 447–457. [Google Scholar] [CrossRef] [PubMed]
- Brown, A.J.; Slatopolsky, E. Vitamin D analogs: Therapeutic applications and mechanisms for selectivity. Mol. Asp. Med. 2008, 29, 433–452. [Google Scholar] [CrossRef] [PubMed]
- Wietrzyk, J.; Filip, B.; Milczarek, M.; Klopotowska, D.; Maciejewska, M.; Dabrowska, K.; Kurzepa, A.; Dzimira, S.; Madej, J.; Kutner, A. The influence of 1,25-dihydroxyvitamin D3 and 1,24-dihydroxyvitamin D3 on αvβ3 integrin expression in cancer cell lines. Oncol. Rep. 2008, 20, 941–952. [Google Scholar] [PubMed]
- Baurska, H.; Kiełbiński, M.; Biecek, P.; Haus, O.; Jaźwiec, B.; Kutner, A.; Marcinkowska, E. Monocytic differentiation induced by side-chain modified analogs of vitamin D in ex vivo cells from patients with acute myeloid leukemia. Leuk. Res. 2014, 38, 638–647. [Google Scholar] [CrossRef] [PubMed]
- Chodyński, M.; Wietrzyk, J.; Marcinkowska, E.; Opolski, A.; Szelejewski, W.; Kutner, A. Synthesis and antiproliferative activity of side-chain unsaturated and homologated analogs of 1,25-dihydroxyvitamin D2: (24E)-(1S)-24-Dehydro-24a-homo-1,25-dihydroxyergocalciferol and congeners. Steroids 2002, 67, 789–798. [Google Scholar] [CrossRef]
- Milczarek, M.; Filip-Psurska, B.; Swiętnicki, W.; Kutner, A.; Wietrzyk, J. Vitamin D analogs combined with 5-fluorouracil in human HT-29 colon cancer treatment. Oncol. Rep. 2014, 32, 491–504. [Google Scholar] [CrossRef] [PubMed]
- Milczarek, M.; Psurski, M.; Kutner, A.; Wietrzyk, J. Vitamin D analogs enhance the anticancer activity of 5-fluorouracil in an in vivo mouse colon cancer model. BMC Cancer 2013, 13. [Google Scholar] [CrossRef] [PubMed]
- Milczarek, M.; Rosinska, S.; Psurski, M.; Maciejewska, M.; Kutner, A.; Wietrzyk, J. Combined colonic cancer treatment with vitamin D analogs and irinotecan or oxaliplatin. Anticancer Res. 2013, 33, 433–444. [Google Scholar] [PubMed]
- Flanagan, J.N.; Zheng, S.; Chiang, K.-C.; Kittaka, A.; Sakaki, T.; Nakabayashi, S.; Zhao, X.; Spanjaard, R.A.; Persons, K.S.; Mathieu, J.S.; et al. Evaluation of 19-nor-2α-(3-hydroxypropyl)-1α,25-dihydroxyvitamin D3 as a therapeutic agent for androgen-dependent prostate cancer. Anticancer Res. 2009, 29, 3547–3553. [Google Scholar] [PubMed]
- Schwartz, G.G.; Eads, D.; Naczki, C.; Northrup, S.; Chen, T.; Koumenis, C. 19-nor-1α,25-Dihydroxyvitamin D2 (Paricalcitol) inhibits the proliferation of human pancreatic cancer cells in vitro and in vivo. Cancer Biol. Ther. 2008, 7, 430–436. [Google Scholar] [CrossRef] [PubMed]
- Pietraszek, A.; Malińska, M.; Chodyński, M.; Krupa, M.; Krajewski, K.; Cmoch, P.; Woźniak, K.; Kutner, A. Synthesis and crystallographic study of 1,25-dihydroxyergocalciferol analogs. Steroids 2013, 78, 1003–1014. [Google Scholar] [CrossRef] [PubMed]
- Zhang, C.-F.; Liu, Z.-P. Recent developments of 2-substituted analogs of 1,25(OH)2D3. Curr. Med. Chem. 2013, 20, 2080–2095. [Google Scholar] [CrossRef] [PubMed]
- Nadkarni, S.; Chodynski, M.; Corcoran, A.; Marcinkowska, E.; Brown, G.; Kutner, A. Double point modified analogs of vitamin D as potent activators of vitamin D receptor. Curr. Pharm. Des. 2015, 21, 1741–1763. [Google Scholar] [CrossRef] [PubMed]
- Baurska, H.; Klopot, A.; Kielbinski, M.; Chrobak, A.; Wijas, E.; Kutner, A.; Marcinkowska, E. Structure-function analysis of vitamin D2 analogs as potential inducers of leukemia differentiation and inhibitors of prostate cancer proliferation. J. Steroid Biochem. Mol. Biol. 2011, 126, 46–54. [Google Scholar] [CrossRef] [PubMed]
- Gocek, E.; Marchwicka, A.; Baurska, H.; Chrobak, A.; Marcinkowska, E. Opposite regulation of vitamin D receptor by ATRA in AML cells susceptible and resistant to vitamin D-induced differentiation. J. Steroid Biochem. Mol. Biol. 2012, 132, 220–226. [Google Scholar] [CrossRef] [PubMed]
- Kumagai, T.; O’Kelly, J.; Said, J.W.; Koeffler, H.P. Vitamin D2 analog 19-nor-1,25-dihydroxyvitamin D2: Antitumor activity against leukemia, myeloma, and colon cancer cells. J. Natl. Cancer Inst. 2003, 95, 896–905. [Google Scholar] [CrossRef] [PubMed]
- Farach-Carson, M.C.; Nemere, I. Membrane receptors for vitamin D steroid hormones: Potential new drug targets. Curr. Drug Targets 2003, 4, 67–76. [Google Scholar] [CrossRef] [PubMed]
- Khanal, R.C.; Nemere, I. The ERp57/GRp58/1,25D3-MARRS receptor: Multiple functional roles in diverse cell systems. Curr. Med. Chem. 2007, 14, 1087–1093. [Google Scholar] [CrossRef] [PubMed]
- Wu, W.; Beilhartz, G.; Roy, Y.; Richard, C.L.; Curtin, M.; Brown, L.; Cadieux, D.; Coppolino, M.; Farach-Carson, M.C.; Nemere, I.; et al. Nuclear translocation of the 1,25D3-MARRS (membrane associated rapid response to steroids) receptor protein and NFκB in differentiating NB4 leukemia cells. Exp. Cell Res. 2010, 316, 1101–1108. [Google Scholar] [CrossRef] [PubMed]
- Richard, C.L.; Farach-Carson, M.C.; Rohe, B.; Nemere, I.; Meckling, K.A. Involvement of 1,25D3-MARRS (membrane associated, rapid response steroid-binding), a novel vitamin D receptor, in growth inhibition of breast cancer cells. Exp. Cell Res. 2010, 316, 695–703. [Google Scholar] [CrossRef] [PubMed]
- Jääskeläinen, T.; Ryhänen, S.; Mahonen, A.; DeLuca, H.F.; Mäenpää, P.H. Mechanism of action of superactive vitamin D analogs through regulated receptor degradation. J. Cell. Biochem. 2000, 76, 548–558. [Google Scholar] [CrossRef]
- Nevozhay, D. Cheburator software for automatically calculating drug inhibitory concentrations from in vitro screening assays. PLoS ONE 2014, 9, e106186. [Google Scholar] [CrossRef] [PubMed]
© 2015 by the authors; licensee MDPI, Basel, Switzerland. This article is an open access article distributed under the terms and conditions of the Creative Commons Attribution license (http://creativecommons.org/licenses/by/4.0/).
Share and Cite
Trynda, J.; Turlej, E.; Milczarek, M.; Pietraszek, A.; Chodyński, M.; Kutner, A.; Wietrzyk, J. Antiproliferative Activity and in Vivo Toxicity of Double-Point Modified Analogs of 1,25-Dihydroxyergocalciferol. Int. J. Mol. Sci. 2015, 16, 24873-24894. https://doi.org/10.3390/ijms161024873
Trynda J, Turlej E, Milczarek M, Pietraszek A, Chodyński M, Kutner A, Wietrzyk J. Antiproliferative Activity and in Vivo Toxicity of Double-Point Modified Analogs of 1,25-Dihydroxyergocalciferol. International Journal of Molecular Sciences. 2015; 16(10):24873-24894. https://doi.org/10.3390/ijms161024873
Chicago/Turabian StyleTrynda, Justyna, Eliza Turlej, Magdalena Milczarek, Anita Pietraszek, Michał Chodyński, Andrzej Kutner, and Joanna Wietrzyk. 2015. "Antiproliferative Activity and in Vivo Toxicity of Double-Point Modified Analogs of 1,25-Dihydroxyergocalciferol" International Journal of Molecular Sciences 16, no. 10: 24873-24894. https://doi.org/10.3390/ijms161024873
APA StyleTrynda, J., Turlej, E., Milczarek, M., Pietraszek, A., Chodyński, M., Kutner, A., & Wietrzyk, J. (2015). Antiproliferative Activity and in Vivo Toxicity of Double-Point Modified Analogs of 1,25-Dihydroxyergocalciferol. International Journal of Molecular Sciences, 16(10), 24873-24894. https://doi.org/10.3390/ijms161024873

