Beclin 1 Expression in Ovarian Tissues and Its Effects on Ovarian Cancer Prognosis
Abstract
:1. Introduction
2. Results
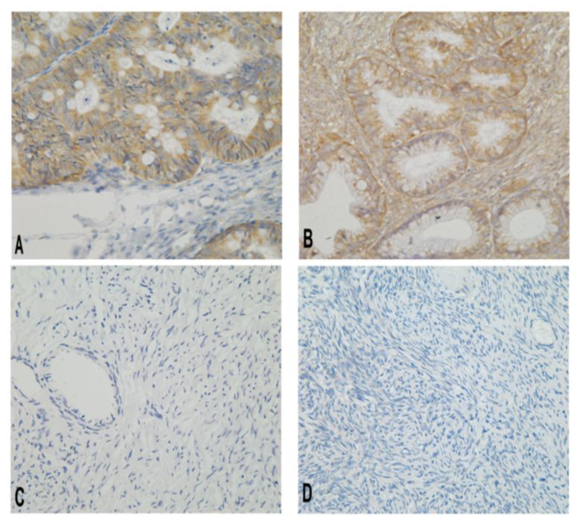
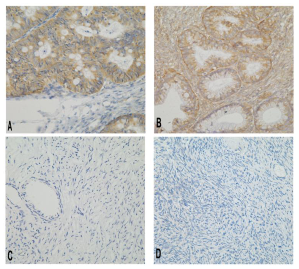
2.1. Beclin 1 Expression in Ovarian Tissues
2.2. The Expression of Beclin 1 Protein in Fresh Ovarian Tissues
2.3. Relationship between Beclin 1 Levels and Ovarian Cancer Pathology
2.4. Risk Factors for Ovarian Cancer Prognosis
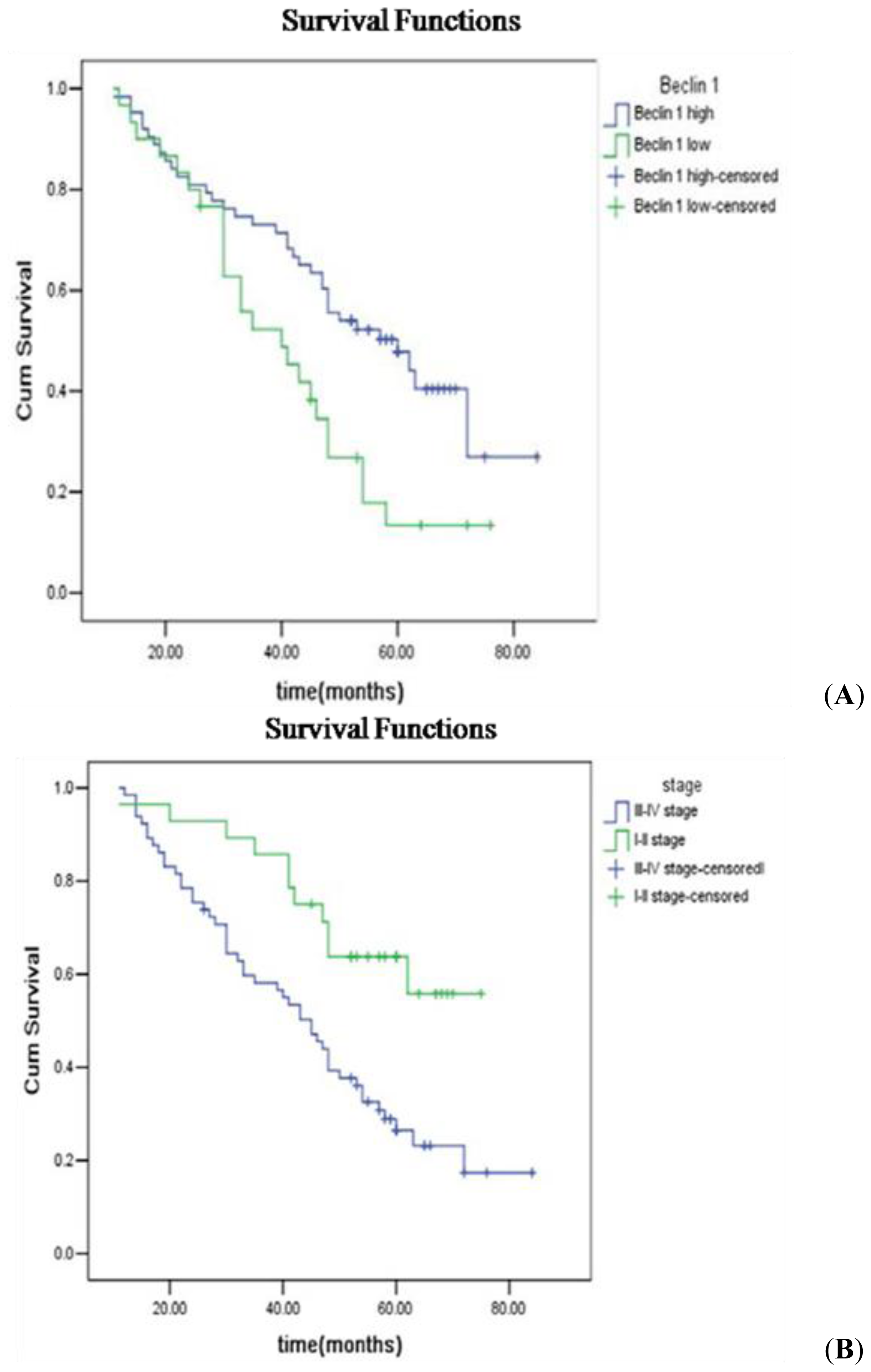
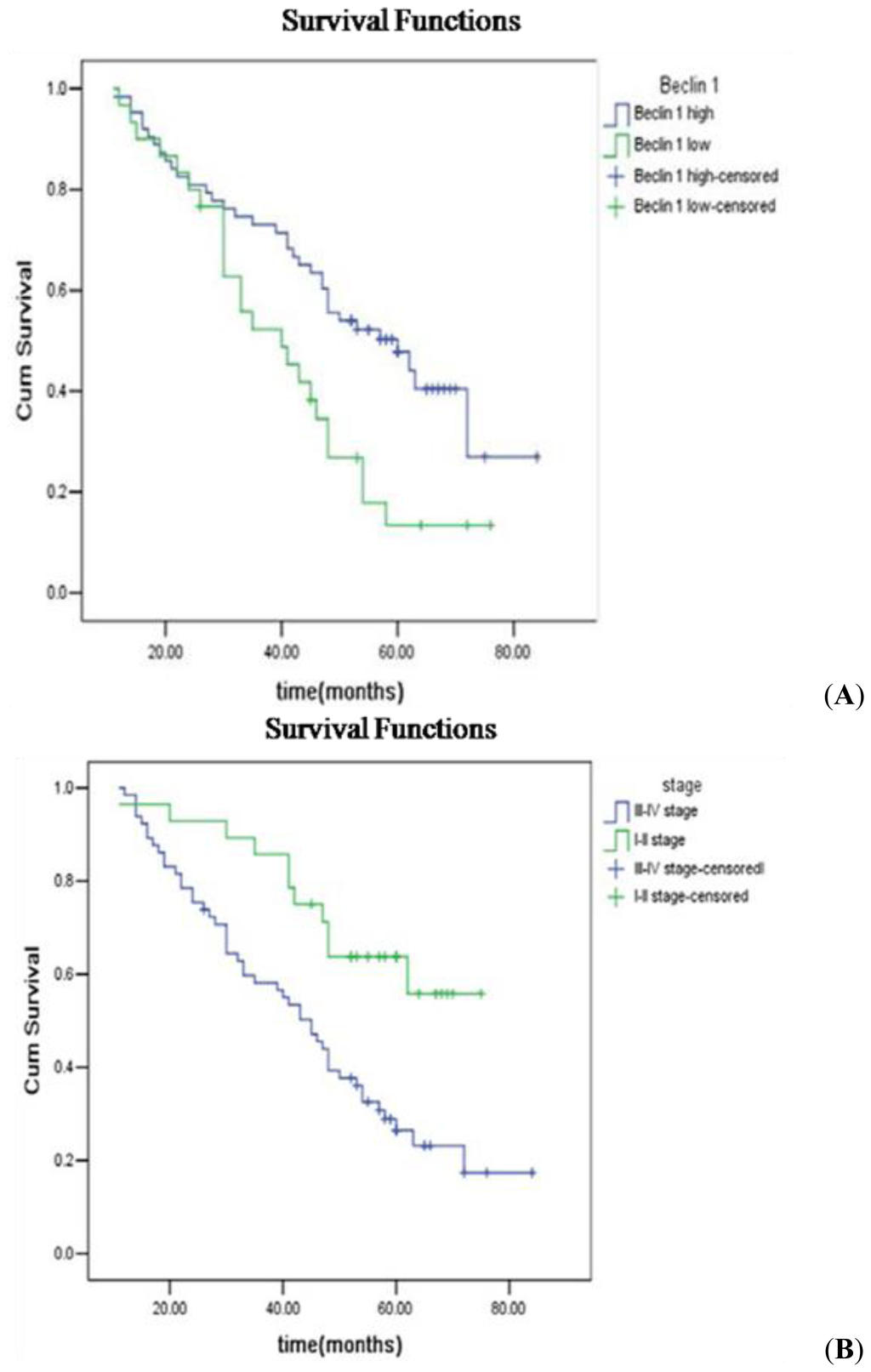
2.5. Survival Analysis
3. Discussion
4. Materials and Methods
4.1. Patients and Follow-up
4.2. Immunohistochemistry
4.3. Immunoblotting
4.4. Statistical Analyses
5. Conclusions
Acknowledgments
Conflicts of Interest
- Author ContributionsM.C. carried out most parts of the experiment; Z.H. participated its design and helped to draft the manuscript; J.L., J.G., C.L. and D.L. participated in the experiment; M.T. and D.Z. performed the statistical analysis.
References
- Aita, V.M.; Liang, X.H.; Murty, V.V.; Pincus, D.L.; Yu, W.; Cayanis, E.; Kalachikov, S.; Gilliam, T.C.; Levine, B. Cloning and genomic organization of Beclin 1, a candidate tumor suppressor gene on chromosome 17q21. Genomics 1999, 59, 59–65. [Google Scholar]
- Liang, X.H.; Jackson, S.; Seaman, M.; Brown, K.; Kempkes, B.; Hibshoosh, H.; Levine, B. Induction of autophagy and inhibition of tumorigenesis by Beclin 1. Nature 1999, 402, 672–676. [Google Scholar]
- Yue, Z.; Jin, S.; Yang, C.; Levine, A.J.; Heintz, N. Beclin 1, an autophagy gene essential for early embryonic development, is a haploinsufficient tumor suppressor. Proc. Natl. Acad. Sci. USA 2003, 100, 15077–15082. [Google Scholar]
- Furuya, D.; Tsuji, N.; Yagihashi, A.; Watanabe, N. Beclin 1 augmented cis-diamminedichloroplatinum induced apoptosis via enhancing caspase-9 activity. Exp. Cell Res 2005, 307, 26–40. [Google Scholar]
- Sun, Y.; Liu, J.H.; Jin, L.; Lin, S.M.; Yang, Y.; Sui, Y.X.; Shi, H. Over-expression of the Beclin 1 gene upregulates chemosensitivity to anti-cancer drugs by enhancing therapy-induced apoptosis in cervix squamous carcinoma CaSki cells. Cancer Lett 2010, 294, 204–210. [Google Scholar]
- Ahn, C.H.; Jeong, E.G.; Lee, J.W.; Kim, M.S.; Kim, S.H.; Kim, S.S.; Yoo, N.J.; Lee, S.H. Expression of Beclin-1, an autophagy-related protein, in gastric and colorectal cancers. APMIS 2007, 115, 1344–1349. [Google Scholar]
- Dong, L.W.; Hou, Y.J.; Tan, Y.X.; Tang, L.; Pan, Y.F.; Wang, M.; Wang, H.Y. Prognostic significance of Beclin 1 in intrahepatic cholangiocellular carcinoma. Autophagy 2011, 7, 1222–1229. [Google Scholar]
- Huang, J.J.; Li, H.R.; Huang, Y.; Jiang, W.Q.; Xu, R.H.; Huang, H.Q.; Lv, Y.; Xia, Z.J.; Zhu, X.F.; Lin, T.Y.; et al. Beclin 1 expression: A predictor of prognosis in patients with extranodal natural killer T-cell lymphoma, nasal type. Autophagy 2010, 6, 777–783. [Google Scholar]
- Pirtoli, L.; Cevenini, G.; Tini, P.; Vannini, M.; Oliveri, G.; Marsili, S.; Mourmouras, V.; Rubino, G.; Miracco, C. The prognostic role of Beclin 1 protein expression in high-grade gliomas. Autophagy 2009, 5, 930–936. [Google Scholar]
- Wan, X.B.; Fan, X.J.; Chen, M.Y.; Xiang, J.; Huang, P.Y.; Guo, L.; Wu, X.Y.; Xu, J.; Long, Z.J.; Zhao, Y.; et al. Elevated Beclin 1 expression is correlated with HIF-1α in predicting poor prognosis of nasopharyngeal carcinoma. Autophagy 2010, 6, 395–404. [Google Scholar]
- Chen, Y.; Lu, Y.; Lu, C.; Zhang, L. Beclin-1 expression is a predictor of clinical outcome in patients with esophageal squamous cell carcinoma and correlated to hypoxia-inducible factor (HIF)-1α expression. Pathol. Oncol. Res 2009, 15, 487–493. [Google Scholar]
- Li, B.X.; Li, C.Y.; Peng, R.Q.; Wu, X.J.; Wang, H.Y.; Wan, D.S.; Zhu, X.F.; Zhang, X.S. The expression of beclin 1 is associated with favorable prognosis in stage IIIB colon cancers. Autophagy 2009, 5, 303–306. [Google Scholar]
- Kondo, Y.; Kanzawa, T.; Sawaya, R.; Kondo, S. The role of autophagy in cancer development and response to therapy. Nat. Rev. Cancer 2005, 5, 726–734. [Google Scholar]
- Wang, J. Beclin 1 bridges autophagy, apoptosis and differentiation. Autophagy 2008, 4, 947–948. [Google Scholar]
- Duan, Z.L.; Peng, Z.L.; Wang, Z.H. Expression and involved signal transduction pathway of autophagy gene Beclin 1 in epithelial ovarian cancer. J. Sichuan Univ 2007, 38, 239–242. [Google Scholar]
- Shen, Y.; Li, D.D.; Wang, L.L.; Deng, R.; Zhu, X.F. Decreased expression of autophagy-related proteins in malignant epithelial ovarian cancer. Autophagy 2008, 4, 1067–1068. [Google Scholar]
- Futreal, P.A.; Liu, Q.; Shattuck-Eidens, D.; Cochran, C.; Harshman, K.; Tavtigian, S.; Bennett, L.M.; Haugen-Strano, A.; Swensen, J.; Miki, Y.; et al. BRCA1 mutations in primary breast and ovarian carcinomas. Science 1994, 266, 120–122. [Google Scholar]
- Zhao, Y.; Chen, S.; Gou, W.F.; Xiao, L.J.; Takano, Y.; Zheng, H.C. Aberrant Beclin 1 expression is closely linked to carcinogenesis, differentiation, progression, and prognosis of ovarian epithelial carcinoma. Tumour Biol 2013. [Google Scholar] [CrossRef]
- Koneri, K.; Goi, T.; Hirono, Y.; Katayama, K.; Yamaguchi, A. Beclin 1 gene inhibits tumor growth in colon cancer cell lines. Anticancer Res 2007, 27, 1453–1457. [Google Scholar]
- Park, K.J.; Lee, S.H.; Lee, C.H.; Jang, J.Y.; Chung, J.; Kwon, M.H.; Kim, Y.S. Upregulation of Beclin 1 expression and phosphorylation of Bcl-2 and p53 are involved in the JNK-mediated autophagic cell death. Biochem. Biophys. Res. Commun 2009, 382, 726–729. [Google Scholar]
- Tong, Y.; You, L.; Liu, H.; Li, L.; Meng, H.; Qian, Q.; Qian, W. Potent antitumor activity of oncolytic adenovirus expressing Beclin-1 via induction of autophagic cell death in leukemia. Oncotarget 2013, 4, 860–874. [Google Scholar]
- Shi, Y.H.; Ding, Z.B.; Zhou, J.; Qiu, S.J.; Fan, J. Prognostic significance of Beclin 1-dependent apoptotic activity in hepatocellular carcinoma. Autophagy 2009, 5, 380–382. [Google Scholar]
- Mathew, R.; Kongara, S.; Beaudoin, B.; Karp, C.M.; Bray, K.; Degenhardt, K.; Chen, G.; Jin, S.; White, E. Autophagy suppresses tumor progression by limiting chromosomal instability. Genes Dev 2007, 21, 1367–1381. [Google Scholar]



| Groups | Cases | Beclin 1 | Positive cases | Positive rates (%) | |||
|---|---|---|---|---|---|---|---|
| − | + | ++ | +++ | ||||
| Malignant | 148 | 29 | 26 | 56 | 37 | 119 | 80.41 * |
| Borderline | 26 | 7 | 10 | 6 | 3 | 19 | 73.08 * |
| Benign | 25 | 19 | 5 | 1 | 0 | 6 | 23.08 |
| Normal | 30 | 24 | 5 | 1 | 0 | 6 | 20.00 |
| Characteristics | No. | Beclin 1 expression | ||
|---|---|---|---|---|
| Cases (%) | Low | High | p-value | |
| Pathologic type | p > 0.05 | |||
| Serous | 93 (62.8%) | 35 (37.6%) | 58 (62.4%) | |
| Mucinous | 28 (18.9%) | 9 (32.1%) | 19 (67.9%) | |
| Endometrioid | 9 (6.1%) | 5 (55.6%) | 4 (44.4%) | |
| Clear cell carcinomal | 7 (4.7%) | 2 (28.6%) | 5 (71.4%) | |
| Poorly differentiated adenocarcinoma | 11 (7.5%) | 3 (27.3%) | 8 (72.7%) | |
| Surgical stage | p > 0.05 | |||
| I–II | 65 (43.9%) | 24 (36.9%) | 41 (63.1%) | |
| III–IV | 83 (56.1%) | 31 (37.3%) | 52 (62.7%) | |
| Differentiation | p < 0.05 | |||
| Well-moderate | 94 (63.5%) | 29 (30.9%) | 65 (69.1%) | |
| Poor | 54 (36.5%) | 26 (48.1%) | 28 (51.9%) | |
| Lymph node metastasis * | p > 0.05 | |||
| No | 90 (78.9%) | 35 (38.9%) | 55 (61.1%) | |
| Yes | 24 (21.1%) | 6 (25.0%) | 18 (75.0%) | |
| Variables | p-value | Hazard radio (95% CI) |
|---|---|---|
| Surgical stage (I + II vs. III + IV) | 0.046 | 2.133 (1.014–4.489) |
| Beclin 1 (low vs. high) | 0.037 | 0.557 (0.322–0.965) |
© 2014 by the authors; licensee MDPI, Basel, Switzerland This article is an open access article distributed under the terms and conditions of the Creative Commons Attribution license (http://creativecommons.org/licenses/by/3.0/).
Share and Cite
Cai, M.; Hu, Z.; Liu, J.; Gao, J.; Liu, C.; Liu, D.; Tan, M.; Zhang, D.; Lin, B. Beclin 1 Expression in Ovarian Tissues and Its Effects on Ovarian Cancer Prognosis. Int. J. Mol. Sci. 2014, 15, 5292-5303. https://doi.org/10.3390/ijms15045292
Cai M, Hu Z, Liu J, Gao J, Liu C, Liu D, Tan M, Zhang D, Lin B. Beclin 1 Expression in Ovarian Tissues and Its Effects on Ovarian Cancer Prognosis. International Journal of Molecular Sciences. 2014; 15(4):5292-5303. https://doi.org/10.3390/ijms15045292
Chicago/Turabian StyleCai, Mingbo, Zhenhua Hu, Juanjuan Liu, Jian Gao, Chuan Liu, Dawo Liu, Mingzi Tan, Danye Zhang, and Bei Lin. 2014. "Beclin 1 Expression in Ovarian Tissues and Its Effects on Ovarian Cancer Prognosis" International Journal of Molecular Sciences 15, no. 4: 5292-5303. https://doi.org/10.3390/ijms15045292
APA StyleCai, M., Hu, Z., Liu, J., Gao, J., Liu, C., Liu, D., Tan, M., Zhang, D., & Lin, B. (2014). Beclin 1 Expression in Ovarian Tissues and Its Effects on Ovarian Cancer Prognosis. International Journal of Molecular Sciences, 15(4), 5292-5303. https://doi.org/10.3390/ijms15045292
