d-(+)-Galactose-Conjugated Single-Walled Carbon Nanotubes as New Chemical Probes for Electrochemical Biosensors for the Cancer Marker Galectin-3
Abstract
:1. Introduction
2. Results and Discussion
2.1. Binding Affinities of d-(+)-Galactose for Galectins
2.2. Purification and Functionalization of SWCNTs
2.3. Immobilization of d-(+)-Galactose on SWCNTs
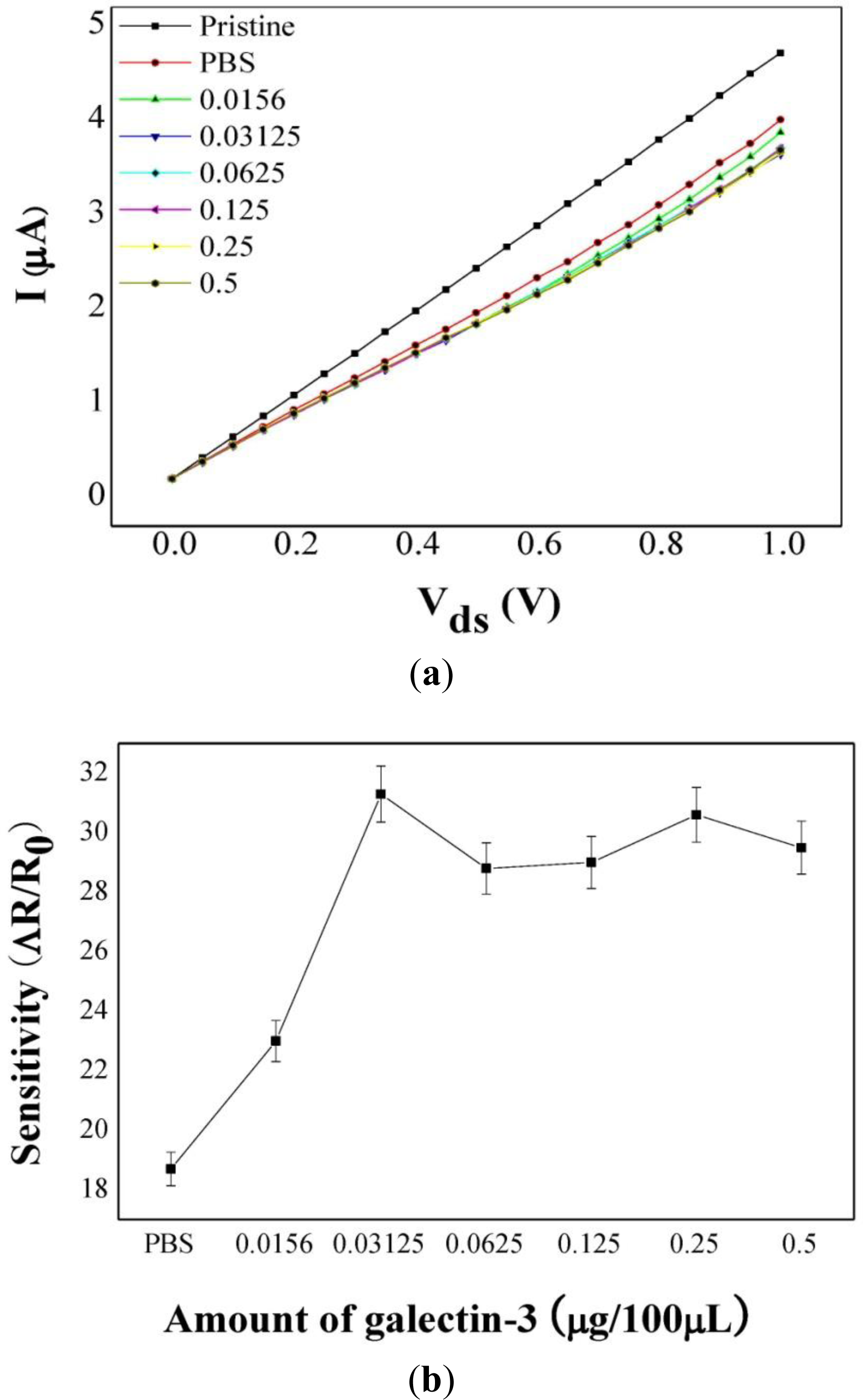
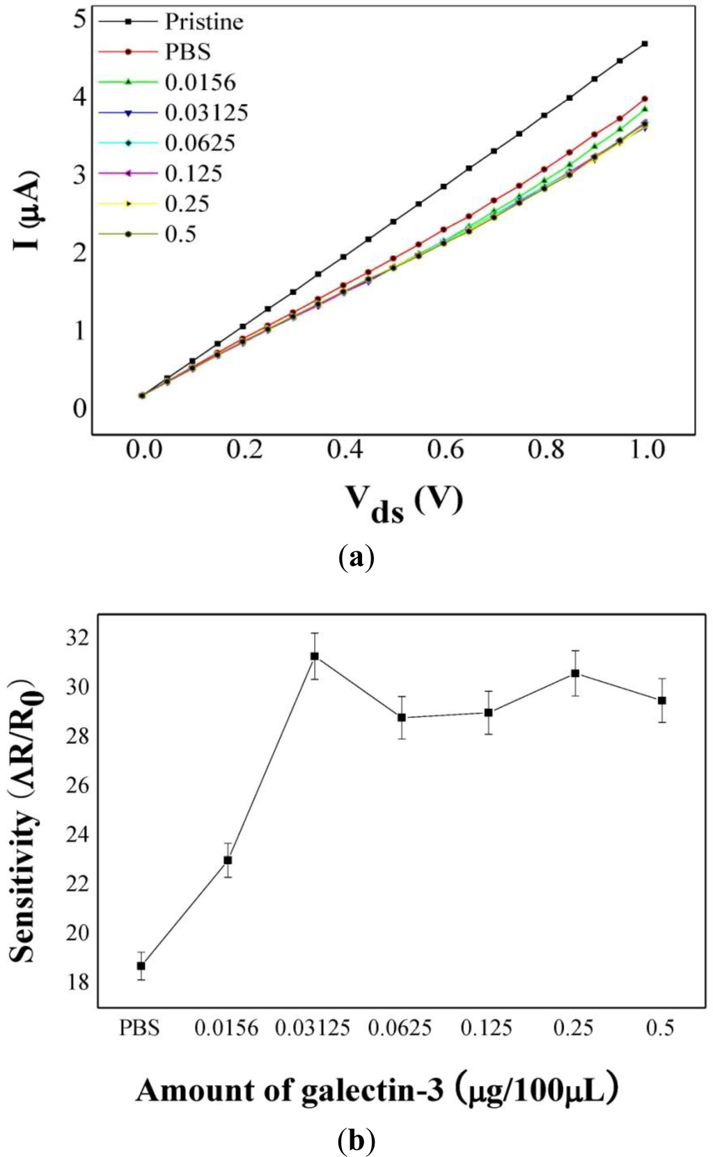
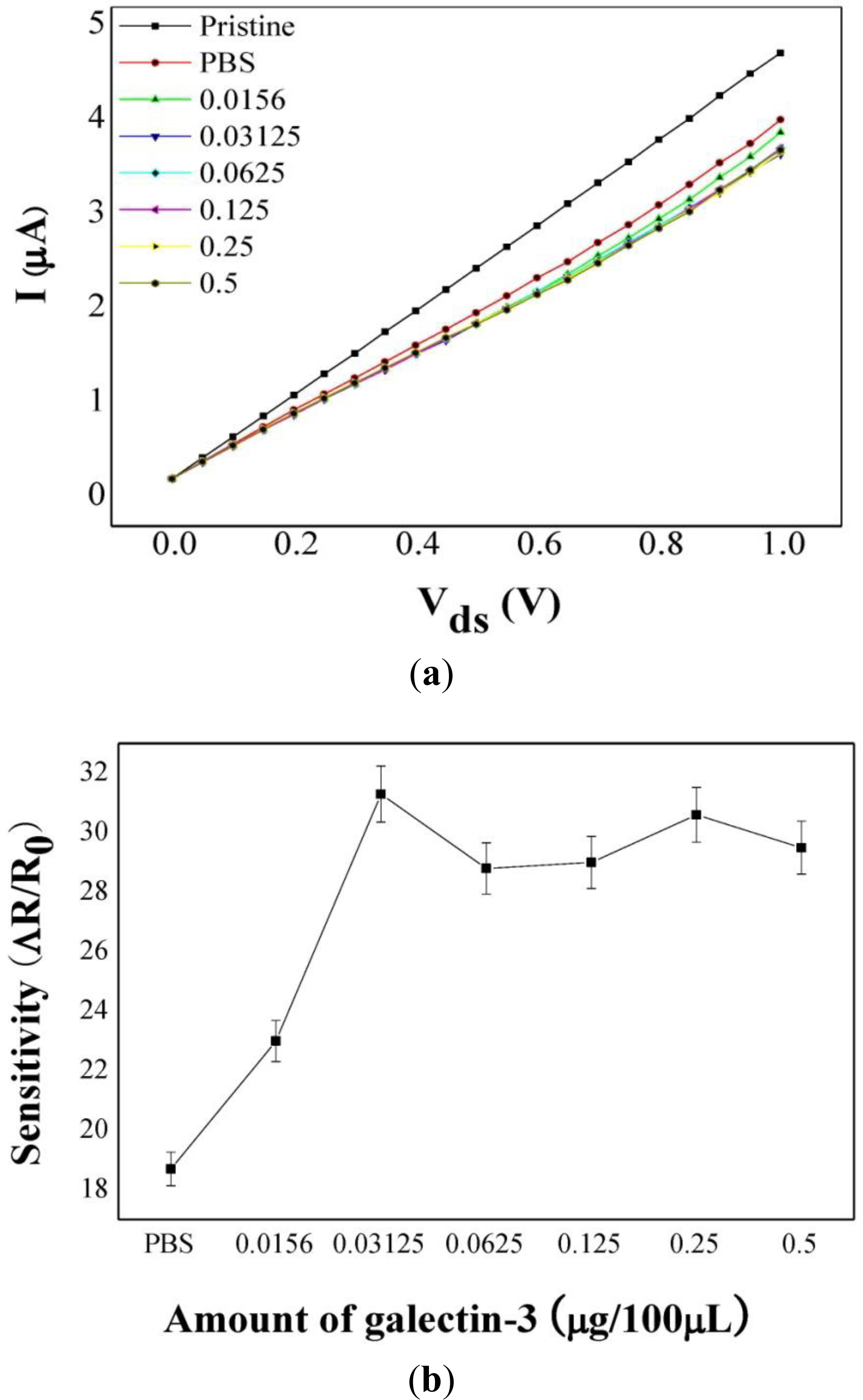
2.4. Electrochemical Biosensor Using SWCNTs Immobilized with d-(+)-Galactose
3. Experimental Section
3.1. Reagents
3.2. Instrumentation
3.3. Preliminary Tests of Binding Affinity of d-(+)-Galactose and Galectin-3
3.4. Purification and Functionalization of SWCNTs
3.5. Immobilization of d-(+)-Galactose on SWCNTs and Dispersion of SWCNTs Immobilized with d-(+)-Galactose
3.6. Biosensor Preparation and Electrochemical Analysis
4. Conclusions
Acknowledgments
References
- Lis, H; Sharon, N. Protein glycosylation: Structural and functional aspects. Eur. J. Biochem 1993, 218, 1–27. [Google Scholar]
- Leffler, H. Galectins structure and function—A synopsis. Results Probl. Cell Differ 2001, 33, 57–83. [Google Scholar]
- Califice, S; Castronovo, V; van den Brûle, F. Galectin-3 and cancer (Review). Int. J. Oncol 2004, 25, 983–992. [Google Scholar]
- Pieters, RJ. Inhibition and detection of galectins. ChemBioChem 2006, 7, 721–728. [Google Scholar]
- Wang, J. Carbon-nanotube based electrochemical biosensors: A review. Electroanalysis 2005, 17, 7–14. [Google Scholar]
- Britto, PJ; Santhaman, SKV; Ajayan, PM. Carbon nanotube electrode for oxidation of dopamine. Bioelectrochem. Bioenerg 1996, 41, 121–125. [Google Scholar]
- Guiseppi-Elie, A; Lei, C; Baughman, PH. Direct electron transfer of glucose oxidation on carbon nanotubes. Nanotechnology 2002, 13, 559–564. [Google Scholar]
- Li, J; Ng, HT; Cassell, A; Fan, W; Chen, H; Ye, Q; Koehne, J; Han, J; Meyyappan, M. Carbon nanotube nanoelectrode array for ultrasensitive DNA detection. Nano Lett 2003, 3, 597–602. [Google Scholar]
- Goodung, JJ; Wibowo, R; Liu, J; Yang, W; Losic, D; Orbons, S; Mearns, FJ; Shapter, JG; Hibbert, DB. Protein electrochemistry using aligned carbon nanotube arrays. J. Am. Chem. Soc 2003, 125, 9006–9007. [Google Scholar]
- Lin, Y; Lu, F; Tu, Y; Ren, Z. Glucose biosensor based on carbon nanotube nanoelectrode ensembles. Nano Lett 2004, 4, 191–195. [Google Scholar]
- Soundarrajan, P; Patil, A; Dai, L. Surface modification of aligned carbon nanotube arrays for electrochemical sensing applications. J. Vac. Sci. Technol 2003, 21, 1198–1201. [Google Scholar]
- Gao, M; Dai, L; Wallace, GG. Biosensors based on aligned carbon nanotubes coated with inherently conducting polymers. Electroanalysis 2003, 15, 1089–1094. [Google Scholar]
- Wang, J; Musameh, M. Carbon nanotube/teflon composite electrochemical sensors and biosensors. Anal. Chem 2003, 75, 2075–2079. [Google Scholar]
- Star, A; Gabriel, JCP; Bradley, K; Gruner, G. Electronic detection of specific protein binding using nanotube FET devices. Nano Lett 2003, 3, 459–464. [Google Scholar]
- Luong, JH; Hrapovic, S; Wang, D; Bensebaa, F; Simard, B. Solubilization of multiwall carbon nanotubes by 3-aminopropyltriethoxysilane toward the fabrication of electrochemical biosensors with promoted electron transfer. Electroanalysis 2004, 16, 132–139. [Google Scholar]
- Wang, J; Liu, G; Jan, MR. Ultrasensitive electrical biosensing of proteins and DNA: Carbon-nanotube derived amplification of the recognition and transduction events. J. Am. Chem. Soc 2004, 126, 3010–3011. [Google Scholar]
- Trojanowicz, M; Mulchandani, A; Mascini, M. Carbon nanotubes-modified screen-printed electrodes for chemical sensors and biosensors. Anal. Lett 2004, 37, 3185–3204. [Google Scholar]
- Okuno, J; Maehashi, K; Matsumoto, K; Kerman, K; Takamura, Y; Tamiya, E. Single-walled carbon nanotube-arrayed microelectrode chip for electrochemical analysis. Electrochem. Commun 2007, 9, 13–18. [Google Scholar]
- Besteman, K; Lee, JO; Wiertz, FGM; Heering, HA; Dekker, C. Enzyme-coated carbon nanotubes as single-molecule biosensors. Nano Lett 2003, 3, 727–730. [Google Scholar]
- Kim, JP; Lee, BY; Hong, S; Sim, SJ. Ultrasensitive carbon nanotube-based biosensors using antibody-binding fragments. Anal. Biochem 2008, 381, 193–198. [Google Scholar]
- Maehashi, K; Katsura, T; Kerman, K; Takamura, Y; Matsumoto, K; Tamiya, E. Label-free protein biosensors based on aptamer-modified carbon nanotube field-effect transistors. Anal. Chem 2007, 79, 782–787. [Google Scholar]
- Maehashi, K; Matsumoto, K; Takamura, Y; Tamiya, E. Aptamer-based label-free immunosensors using carbon nanotube field-effect transistors. Electroanalysis 2009, 11, 1285–1290. [Google Scholar]
- So, H; Won, K; Kim, YH; Kim, B; Ryu, BH; Na, PS; Kim, H; Lee, J. Single-walled carbon nanotube biosensors using aptamers as molecular recognition elements. J. Am. Chem. Soc 2005, 127, 11906–11907. [Google Scholar]
- Okuno, J; Maehashi, K; Kerman, K; Takamura, Y; Matsumoto, K; Tamiya, E. Label-free immunosensor for prostate-specific antigen based on single-walled carbon nanotube array-modified microelectrodes. Biosens. Bioelectron 2007, 22, 2377–2381. [Google Scholar]
- Liu, G; Riechers, SL; Mellen, MC; Lin, Y. Sensitive electrochemical detection of enzymatically generated thiocholine at carbon nanotube modified glassy carbon electrode. Electrochem. Commun 2005, 7, 1163–1169. [Google Scholar]
- Lawrence, NS; Wang, J. Chemical adsorption of phenothiazine dyes onto carbon nanotubes: Toward the low potential detection of NADH. Electrochem. Commun 2006, 8, 71–76. [Google Scholar]
- Zhao, Q; Gan, Z; Zhuang, Q. Electrochemical sensors based on carbon nanotubes. Electroanalysis 2002, 14, 1609–1613. [Google Scholar]
- Bradley, K; Briman, M; Star, A; Gruner, G. Charge transfer from adsorbed proteins. Nano Lett 2004, 4, 253–256. [Google Scholar]
- Boussaad, S; Tao, NJ; Zhang, R; Hopson, T; Nagahara, LA. In situ detection of Cytochrome C adsorption with single walled carbon nanotube device. Chem. Commun 2003, 13, 1502–1503. [Google Scholar]
- Park, YK; Bold, B; Cui, BC; Bai, JQ; Lee, WK; Shim, YK. Binding affinities of carbohydrate-conjugated chlorins for galectin-3. Bull. Kor. Chem. Soc 2008, 29, 130–134. [Google Scholar]
- Kong, J; Franklin, NR; Zhou, C; Chapline, MG; Peng, S; Cho, K; Dai, H. Nanotube molecular wires as chemical sensors. Science 2000, 287, 622–625. [Google Scholar]




© 2011 by the authors; licensee MDPI, Basel, Switzerland. This article is an open-access article distributed under the terms and conditions of the Creative Commons Attribution license (http://creativecommons.org/licenses/by/3.0/).
Share and Cite
Park, Y.K.; Bold, B.; Lee, W.K.; Jeon, M.H.; An, K.H.; Jeong, S.Y.; Shim, Y.K. d-(+)-Galactose-Conjugated Single-Walled Carbon Nanotubes as New Chemical Probes for Electrochemical Biosensors for the Cancer Marker Galectin-3. Int. J. Mol. Sci. 2011, 12, 2946-2957. https://doi.org/10.3390/ijms12052946
Park YK, Bold B, Lee WK, Jeon MH, An KH, Jeong SY, Shim YK. d-(+)-Galactose-Conjugated Single-Walled Carbon Nanotubes as New Chemical Probes for Electrochemical Biosensors for the Cancer Marker Galectin-3. International Journal of Molecular Sciences. 2011; 12(5):2946-2957. https://doi.org/10.3390/ijms12052946
Chicago/Turabian StylePark, Young Kum, Bayarmaa Bold, Woo Kyung Lee, Min Hyon Jeon, Kay Hyeok An, Seung Yol Jeong, and Young Key Shim. 2011. "d-(+)-Galactose-Conjugated Single-Walled Carbon Nanotubes as New Chemical Probes for Electrochemical Biosensors for the Cancer Marker Galectin-3" International Journal of Molecular Sciences 12, no. 5: 2946-2957. https://doi.org/10.3390/ijms12052946
APA StylePark, Y. K., Bold, B., Lee, W. K., Jeon, M. H., An, K. H., Jeong, S. Y., & Shim, Y. K. (2011). d-(+)-Galactose-Conjugated Single-Walled Carbon Nanotubes as New Chemical Probes for Electrochemical Biosensors for the Cancer Marker Galectin-3. International Journal of Molecular Sciences, 12(5), 2946-2957. https://doi.org/10.3390/ijms12052946
