Recognition of Chiral Carboxylic Anions by Artificial Receptors
Abstract
:1. Introduction
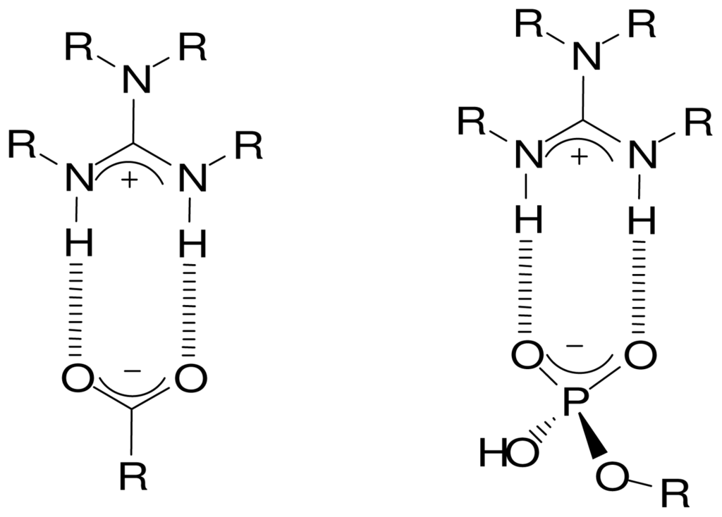
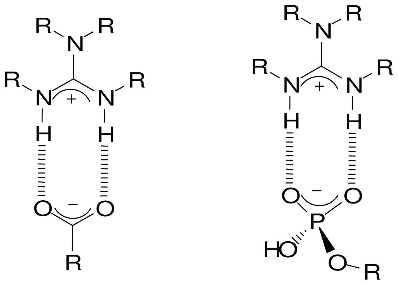
2. Recognition of Carboxylic Anions by Guanidine Based Receptors
3. Recognition of Carboxylic Anions by Secondary Ammonium-Based Receptors
4. Recognition of Carboxylic Anions by Metal Based Receptors
5. Recognition of Chiral Carboxylic Anions by Organic Receptors
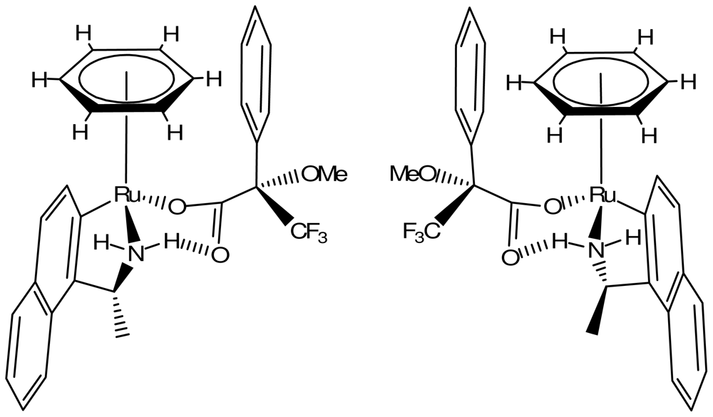
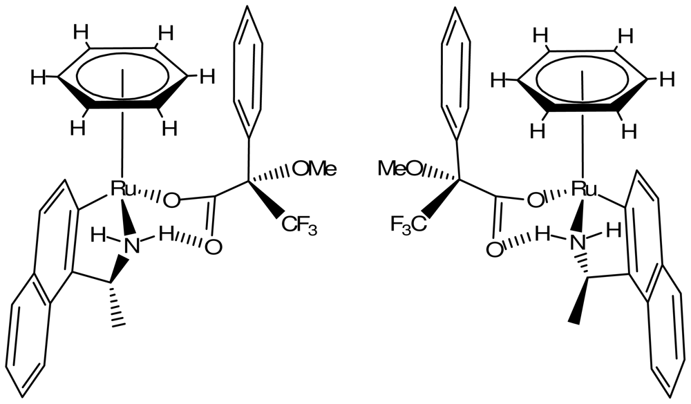
6. Recognition of Chiral Carboxylic Anions by Metal-Based Receptors
7. Conclusion
Acknowledgements
References
- Louie, GV; Brownlie, PD; Lambert, R; Cooper, JB; Blundell, TL; Wood, SP; Warren, MJ; Woodcock, SC; Jordan, PM. Structure of porphobilinogen deaminase reveals a flexible multidomain polymerase with a single catalytic site. Nature 1992, 359, 33–39. [Google Scholar]
- Mangani, S; Ferraroni, M; Orioli, P. Interaction of carboxypeptidase A with anions: Crystal structure of the complex with the HPO42− anion. Inorg. Chem 1994, 33, 3421–3423. [Google Scholar]
- Lehn, J-M. La chimie supramoléculaire; concepts et perspectives; De Boeck Université: Bruxelles, France, 1997. [Google Scholar]
- Ariga, K; Hill, JP; Lee, MV; Vinu, A; Charvet, R; Achrya, S. Challenges and breakthroughs in recent research on self-assembly. Sci. Technol. Adv. Mater 2008, 9, 01410c:1–01410c:96. [Google Scholar]
- Caltagirone, C; Gale, PA. Anion receptor chemistry: Highlights from 2007. Chem. Soc. Rev 2009, 38, 520–563. [Google Scholar]
- Sessler, JL; Gale, PA; Cho, W-S. Anion Receptor Chemistry; Royal Society of Chemistry: London, UK, 2006. [Google Scholar]
- Bianchi, A; Bowman-James, K; Garcia-Espana, E (Eds.) Supramolecular Chemistry of Anions; Wiley-VCH: New-York, NY, USA, 1997.
- Dietrich, B; Guilhem, J; Lehn, J-M; Pascard, C; Sonveaux, E. Molecular recognition in anion coordination chemistry. Structure, binding constants and receptor-substrate complementarity of a series of anion cryptates of a macrobicyclic receptor molecule. Helvetica Chim. Acta 1984, 67, 91–104. [Google Scholar]
- Gleich, A; Schmidtchen, FP; Mikulcik, P; Muller, G. Enantiodifferentiation of carboxylates by chiral building blocks for abiotic anion receptors. J. Chem. Soc.: Chem. Commun 1990, 1, 55–57. [Google Scholar]
- Dietrich, B; Fyles, TM; Lehn, J-M; Pease, LG; Fyles, DL. Anion receptor molecules. Synthesis and some anion binding properties of macrocyclic guanidinium salts. J. Chem. Soc.: Chem. Commun 1978, 934–936. [Google Scholar]
- Dietrich, B. Design of anion receptors: Applications. Pure Appl. Chem 1993, 65, 1457–1464. [Google Scholar]
- Schieαl, P; Schimdtchen, FP. Abiotic molecular recognition of dicarboxylic anions in methanol. Tetrahedron Lett 1993, 34, 2449–2452. [Google Scholar]
- Boiocchi, M; Del Boca, L; Gomez, DE; Fabbrizzi, L; Licchelli, M; Monzani, E. Nature of Urea-Fluoride interaction: Incipient and definitive proton transfer. J. Am. Chem. Soc 2004, 126, 16507–16514. [Google Scholar]
- Kimura, E; Sakonaka, A; Yatsunami, T; Kodama, M. Macromonocyclic polyamines as specific receptors for tricarboxylate-cycle anions. J. Am. Chem. Soc 1981, 103, 3041–3045. [Google Scholar]
- Dietrich, B; Hosseini, MW; Lehn, J-M; Sessions, RB. Anion receptor molecules. Synthesis and anion-binding properties of polyammonium macrocycles. J. Am. Chem. Soc 1981, 103, 1282–1283. [Google Scholar]
- Hosseini, MW; Lehn, J-M. Anion receptor molecules. Chain length dependent selective binding of organic and biological dicarboxylate anions by ditopic polyammonium macrocycles. J. Am. Chem. Soc 1982, 104, 3525–3527. [Google Scholar]
- Lehn, J-M; Meric, R; Vigneron, J-P; Bkouche-Waksman, I; Pascard, C. Molecular recognition of anionic substrates. Binding of carboxylates by a macrobicyclic coreceptor ans crystal structure of its Supramolecular cryptate with the terephtalate dianion. J. Chem. Soc.: Chem. Commun 1991, 62–64. [Google Scholar]
- Schimdtchen, FP; Gleich, A; Schummer, A. Selective molecular hosts for anions. Pure Appl. Chem 1989, 61, 1535–1546. [Google Scholar]
- Martell, AE; Motekaitis, RJ. Formation and degradation of an oxalate- and peroxo-bridged dicobalt BISDIEN dioxygen complex: Binuclear complexes as hosts for the activation of two coordinated guests. J. Am. Chem. Soc 1988, 110, 8059–8064. [Google Scholar]
- Martell, AE; Motekaitis, RJ; Chen, D; Murase, I. Thermodynamics of coordination of metal ions with binucleating macrocyclic and macrobicyclic ligands. Pure Appl. Chem 1993, 65, 959–964. [Google Scholar]
- Robitzer, M; Sirlin, C; Kyritsakas, N; Pfeffer, M. Molecular recognition of anions by a novel organocobalt receptor: Oxyanion versus halide selectivity in water. Eur. J. Inorg. Chem 2002, 9, 2312–2319. [Google Scholar]
- Meneghetti, M; Grellier, M; Pfeffer, M; De Cian, A; Fischer, J. Pseudotetrahedral organocobalt(III) compounds containing specific coordination sites for Bronsted acids. Eur. J. Inorg. Chem 2000, 7, 1539–1547. [Google Scholar]
- Arita, S; Koike, T; Kayaki, Y; Ikarya, T. Synthesis and reactivities of Cp*Ir amide and hydride complexes bearing CN chelate ligands. Organometallics 2008, 27, 2795–2802. [Google Scholar]
- Beer, PD; Keefe, AD. A new approach for the coordination of anions, novel polycobalticinium mocrocyclic receptor molecules. J. Organomet. Chem 1989, 375, C40. [Google Scholar]
- Beer, PD. Transition-metal receptor systems for the selective recognition and sensing of anionic guest species. Acc. Chem. Res 1998, 31, 71–80. [Google Scholar]
- Beer, PD; Gale, PA; Chen, GZ. Electrochemical molecular recognition: Pathways between complexation and signalling. J. Chem. Soc.: Dalton Trans 1999, 12, 1897–1909. [Google Scholar]
- Williams, DH; Bardsley, B. The Vancomycin group of antibiotics and the fight against resistant bacteria. Angew. Chem. Int. Ed 1999, 38, 1173–1193. [Google Scholar]
- Nicolaou, KC; Boddy, CNC; Brase, S; Winssinger, N. Chemie, Biologie und medizinische Anwendungen der Glycopeptid-Antibiotika. Angew. Chem 1999, 111, 2230–2287. [Google Scholar]
- Williams, DH; Bardsley, B. The Vancomycin group of antibiotics and the fight against resistant bacteria. Angew. Chem. Int. Ed 1999, 38, 1173–1193. [Google Scholar]
- Schafer, M; Schneider, TR; Sheldrick, GM. Crystal structure of Vancomycin. Structure 1996, 4, 1509–1515. [Google Scholar]
- Loll, PJ; Bevivino, AE; Korty, BD; Axelsen, PH. Simultaneous recognition of a carboxylate-containing ligand and a intramolecular surrogate ligand in the crystal structure of an asymmetric Vancomycin dimer. J. Am. Chem. Soc 1997, 119, 1516–1522. [Google Scholar]
- Loll, PJ; Miller, R; Weeks, CM; Axelsen, PH. A ligand-mediated dimerization mode for Vancomycin. Chem. Biol 1998, 5, 293–298. [Google Scholar]
- Pearce, CM; Gerhard, U; Williams, DH. Ligands which bind weakly to Vancomycin: Studies by 13C NMR spectroscopy. J. Chem. Soc.: Perkin Trans. 2 1995, 1, 159–162. [Google Scholar]
- Hembury, GA; Borovkov, VV; Inoue, Y. Chirality-sensing supramolecular systems. Chem. Rev 2008, 1, 1–73. [Google Scholar]
- Kano, K. Mechanisms for chiral recognition by cyclodextrins. J. Phys. Org. Chem 1997, 10, 286–291. [Google Scholar]
- Davankov, VA; Meyer, VR; Rais, M. A vivid model illustrating chiral recognition induced by achiral structures. Chirality 1990, 2, 208–210. [Google Scholar]
- Ogston, AG. Interpretation of experiments on metabolic processes, using isotopic tracer elements. Nature 1948, 162, 963. [Google Scholar]
- Easson, LH; Stedman, E. Studies on the relationship between chemical constitution and physiological action. V. Molecular dissymmetry and physiological activity. Biochem. J 1933, 27, 1257–1266. [Google Scholar]
- Mesecar, AD; Koshland, DE. Structural biology: A new model for protein stereospecificity. Nature 2000, 403, 614–615. [Google Scholar]
- Stilbor, I; Zlatuskova, P. Chiral Recognition of Anions. Top. Curr. Chem 2005, 255, 31–63. [Google Scholar]
- Echavarren, A; Galan, A; Lehn, J-M; de Mendoza, J. Chiral recognition of aromatic carboxylate anions by a optically active abiotic receptor containing a rigid guanidinium binding subunit. J. Am. Chem. Soc 1989, 111, 4994–4995. [Google Scholar]
- Galan, A; Andreu, D; Echavarren, AM; Prados, P; de Mendoza, J. A receptor for the enantioselective recognition of phenylalanine and tryptophan under neutral conditions. J. Am. Chem. Soc 1992, 114, 1511–1512. [Google Scholar]
- Lawless, LJ; Blackburn, AG; Ayling, AJ; Perez-Payan, MN; Davis, AP. Steroidal guanidines as enantioselective receptors for N-acyl α-amino acids. Part 1. 3α-Guanylated carbamates derived from cholic acid. J. Chem. Soc.: Perkin Trans. 1 2001, 1329–1341. [Google Scholar]
- Baragana, B; Blackburn, AG; Breccia, P; Davis, AP; de Mendoza, J; Padron-Carillo, JM; Riedner, J; de Vries, JG. Enantioselective transport by a steroidal guanidinium receptor. Chem. Eur. J 2002, 8, 2931–2936. [Google Scholar]
- Gonzalez, S; Pelez, R; Sanz, F; Jimnez, MB; Morn, JR; Caballero, MC. Macrocyclic chiral receptors toward enantioselective recognition of naproxen. Org. Lett 2006, 8, 4679–4682. [Google Scholar]
- Miyaji, H; Hong, SJ; Jeong, SD; Yoon, DW; Na, HK; Hong, J; Ham, S; Sessler, JL; Lee, CH. A Binol-strapped Calix[4]pyrrole as a model chirogenic receptor for the enantioselective recognition of carboxylate anions. Angew. Chem. Int. Ed 2007, 46, 2508–2511. [Google Scholar]
- Liu, H-L; Peng, Q; Wu, Y-D; Chen, D; Hou, X-L; Sabat, M; Pu, L. Highly enantioselective recognition of structurally diverse α-hydroxycarboxylic acids using a fluorescent sensor. Angew. Chem. Int. Ed 2010, 49, 602–606. [Google Scholar]
- Konishi, K; Yahara, K; Toshishige, H; Aida, T; Inoue, S. A novel anion-binding chiral receptor based on a metalloporphyrin with molecular asymmetry. Highly enantioselective recognition of amino acid derivatives. J. Am. Chem. Soc 1994, 116, 1337–1334. [Google Scholar]
- Reeve, TB; Cros, J-P; Gennari, C; Piarulli, U; de Vries, JG. A practical approach to the resolution of racemic N-Benzyl α-amino acids by liquid-liquid extraction with a lipophilic chiral Salen-Cobalt(III) complex. Angew. Chem. Int. Ed 2006, 45, 2449–2453. [Google Scholar]
- Fernandez, S; Pfeffer, M; Ritleng, V; Sirlin, C. An effective route to cycloruthenated N-ligands under mild conditions. Organometallics 1999, 18, 2390–2394. [Google Scholar]
- Sortais, JB; Pannetier, N; Holuigue, A; Barloy, L; Sirlin, C; Pfeffer, M; Kyritsakas, N. Cyclometalation of primary benzyl amines by Ruthenium(II), Rhodium(III), and Iridium(III) complexes. Organometallics 2007, 26, 1856–1867. [Google Scholar]
- Meneghetti, MR; Grellier, M; Pfeffer, M; Dupont, J; Fischer, J. Synthesis of configurationally stable, optically active organocobalt compounds. Organometallics 1999, 18, 5560–5570. [Google Scholar]
- Dieng, PS; Sirlin, C; Pfeffer, M. Enantioselective recognition of chiral carboxylic anions by a ruthenacyclic receptor. N. J. Chem 2010, 34, 762–766. [Google Scholar]
- Velyvis, A; Yang, YR; Schachmann, HK; Key, LE. A solution NMR study showing that active site ligands and nucleotides directly perturb the allosteric equilibrium in aspartate transcarbamoylase. Proc. Nat. Acad. Sci. USA 2007, 104, 8815–8820. [Google Scholar]
- James, LC; Tawfik, DS. Conformational diversity and protein evolution. A 60-year-old hypothesis revisited. Trends Biochem. Sci 2003, 28, 361–368. [Google Scholar]














© 2010 by the authors; licensee Molecular Diversity Preservation International, Basel, Switzerland. This article is an open-access article distributed under the terms and conditions of the Creative Commons Attribution license (http://creativecommons.org/licenses/by/3.0/).
Share and Cite
Dieng, P.S.; Sirlin, C. Recognition of Chiral Carboxylic Anions by Artificial Receptors. Int. J. Mol. Sci. 2010, 11, 3334-3348. https://doi.org/10.3390/ijms11093334
Dieng PS, Sirlin C. Recognition of Chiral Carboxylic Anions by Artificial Receptors. International Journal of Molecular Sciences. 2010; 11(9):3334-3348. https://doi.org/10.3390/ijms11093334
Chicago/Turabian StyleDieng, Pape Sylla, and Claude Sirlin. 2010. "Recognition of Chiral Carboxylic Anions by Artificial Receptors" International Journal of Molecular Sciences 11, no. 9: 3334-3348. https://doi.org/10.3390/ijms11093334
APA StyleDieng, P. S., & Sirlin, C. (2010). Recognition of Chiral Carboxylic Anions by Artificial Receptors. International Journal of Molecular Sciences, 11(9), 3334-3348. https://doi.org/10.3390/ijms11093334
