Fused Heterocycles: Synthesis of Some New Imidazo[1,2-a]- pyridine Derivatives
Abstract
:Introduction
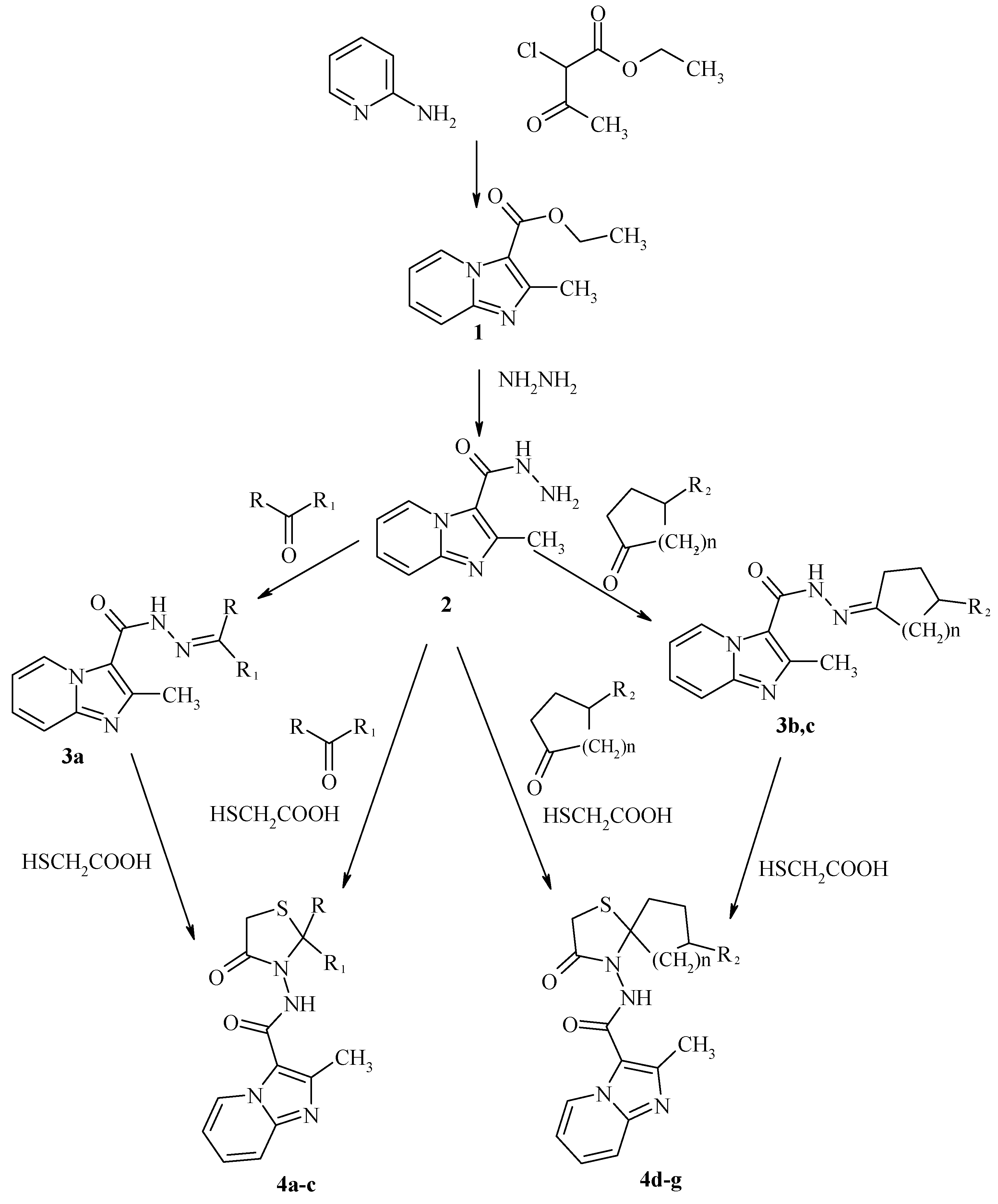
Results and Discussion

| Comp. | R | R1 | R2 | n | M.p. (oC) | Yield % | Formula (molecular weigh) | Analysis (calcd./found)(%) | ||
|---|---|---|---|---|---|---|---|---|---|---|
| C | H | N | ||||||||
| 3a | CH3 | C2H5 | - | - | 120-5 | 75.8 | C13H16N4O (244.30) | 63.91 | 6.60 | 22.94 |
| 63.81 | 6.96 | 22.55 | ||||||||
| 3b | - | - | - | 1 | 162-6 | 62.1 | C14H16N4O.1.5H2O (283.61) | 59.35 | 6.76 | 19.78 |
| 60.84 | 6.96 | 19.70 | ||||||||
| 3c | - | - | - | 2 | 76-8 | 63.8 | C15H18N4O.2H2O (306.33) | 58.81 | 7.24 | 18.29 |
| 58.94 | 7.56 | 18.21 | ||||||||
| 4a | CH3 | CH3 | - | - | 222-5 | 87.3 (Method B) | C14H16N4O2S.H2O (322.38) | 52.16 | 5.63 | 17.38 |
| 52.70 | 6.04 | 17.30 | ||||||||
| 4b | CH3 | C2H5 | - | - | 138-43 | 69.8 (Method A) 55.5 (Method B) | C15H18N4O2S.H2O (336.39) | 53.56 | 5.99 | 16.65 |
| 53.45 | 6.10 | 16.83 | ||||||||
| 4d | - | - | - | 1 | 137-43 | 75.5 (Method A) 80.0 (Method B) | C16H18N4O2S.H2O (348.42) | 55.15 | 5.79 | 16.08 |
| 55.10 | 5.82 | 15.92 | ||||||||
| 4e | - | - | - | 2 | 258-65 | 77.3 (Method A) 99.1 (Method B) | C17H20N4O2S (344.43) | 59.28 | 5.85 | 16.27 |
| 58.97 | 5.77 | 16.10 | ||||||||
| 4f | - | - | CH3 | 2 | 154-6 | 72.3 (Method B) | C18H22N4O2S.0.5H2O (367.46) | 58.85 | 6.31 | 15.26 |
| 58.64 | 7.26 | 15.42 | ||||||||
| 4g | - | - | C2H5 | 2 | 142-6 | 81.7 (Method B) | C19H24N4O2S.2H2O (408.52) | 55.86 | 6.91 | 13.71 |
| 55.44 | 6.56 | 12.09 | ||||||||
Antituberculous Activity
Experimental
General
Ethyl 2-methyimidazo[1,2-a]pyridine-3-carboxylate (1) [3].
2-Methylimidazo[1,2-a]pyridine-3-carboxylic acid hydrazide (2) [4].
General procedure for preparation of 2-methylimidazo[1,2-a]pyridine-3-carboxylic acid (alkylidene / cycloalkylidene) hydrazides 3a-c.
General procedures for preparation of 2-methylimidazo[1,2-a]pyridine-3-carboxylic acid amides 4 a-g.
Method A
Method B
In vitro evaluation of antituberculous activity [5]
Acknowledgements
References
- Montoya, M. E.; Sainz, Y.; Ortega, M. A.; De Cerain, A. L.; Monge, A. Synthesis and antituberculosis activity of some new 2-quinoxalinecarbonitriles. Farmaco 1998, 53, 570–573. [Google Scholar]
- Cesur, N.; Cesur, Z. Some imidazo[1,2-a]pyridine derivatives as possible antimycobacterials. J Fac. Pharm. Istanbul 1998, 32, 29–35. [Google Scholar]
- Lombardino, G.J. Preparation and New Reactions Imidazo[1,2-a]pyridines. J. Org. Chem. 1965, 30, 2403–2407. [Google Scholar] [CrossRef]
- Oa, H.; Obato, M.; Yamanaka, T.; Mikashima, H. Oxadiazinylimidazopyridines, -pyrimidines and thiazoles. PCT. Int. Appl. WO8607,059, 04 Dec 1986. [Chem. Abstr. 1987, 106, 176381w]. [Google Scholar]
- Inderleid, C.B. Antibiotics in Laboratory Medicine, 3rd ed.; Lorian, V, Ed.; William and Wilkins: Baltimore, 1991; pp. 134–197. [Google Scholar]
- Silverstein, R.M.; Bassler, G.C.; Morril, T.C. Spectrometric Identification of Organic Compounds, 4th ed.; John Wiley and Sons: New York, 1981; p. 119. [Google Scholar]
- Ur, F.; Cesur, N.; Birteksoz, S.; Otuk, G. Synthesis new 6-methylimidazo[2,1-b]thiazole-5- carbohydrazide derivatives and their antimicrobial activities. Arzneim.-Forsch/Drug Res. 2004, 54, 125–129. [Google Scholar]
- Samples Availability: Available from the authors.
© 2004 by MDPI (http://www.mdpi.org). Reproduction is permitted for noncommercial purposes.
Share and Cite
Kasimogullari, B.O.; Cesur, Z. Fused Heterocycles: Synthesis of Some New Imidazo[1,2-a]- pyridine Derivatives. Molecules 2004, 9, 894-901. https://doi.org/10.3390/91000894
Kasimogullari BO, Cesur Z. Fused Heterocycles: Synthesis of Some New Imidazo[1,2-a]- pyridine Derivatives. Molecules. 2004; 9(10):894-901. https://doi.org/10.3390/91000894
Chicago/Turabian StyleKasimogullari, Birgul Ozden, and Zafer Cesur. 2004. "Fused Heterocycles: Synthesis of Some New Imidazo[1,2-a]- pyridine Derivatives" Molecules 9, no. 10: 894-901. https://doi.org/10.3390/91000894
APA StyleKasimogullari, B. O., & Cesur, Z. (2004). Fused Heterocycles: Synthesis of Some New Imidazo[1,2-a]- pyridine Derivatives. Molecules, 9(10), 894-901. https://doi.org/10.3390/91000894
