Next Article in Journal
Fused Heterocycles: Synthesis of Some New Imidazo[1,2-a]- pyridine Derivatives
Previous Article in Journal
Crystal Structure and Characterization of the Dinuclear Cd(II) Complex [Cd(H2O)2(ο-HOC6H4COO)2]2
 
 
Font Type:
Arial Georgia Verdana
Font Size:
Aa Aa Aa
Line Spacing:
Column Width:
Background:
Article

Theoretical Study of Some Nitrososulfamide Compounds with Antitumor Activity

by
Khatmi Djameleddine
*,
Seridi Soumeya
and
Madi Fatiha
Laboratory of Applied Chemistry, Guelma University, BP: 401, 24000, Guelma, Algeria
*
Author to whom correspondence should be addressed.
Molecules 2004, 9(10), 883-893; https://doi.org/10.3390/91000883
Submission received: 25 March 2004 / Accepted: 21 July 2004 / Published: 30 September 2004

Abstract

:
The lowest-energy conformations of four 2-chloroethylnitrososulfamides were determined using the MM+ molecular mechanics method as implemented in Hyperchem 6.0. Some of the calculated structural parameters, angles and bonds lengths were compared with the crystal structure data of N-nitroso-N-(2-chloroethyl)-N’-sulfamoyl-proline. Using MM+, AM1 and PM3 the anti conformation was predicted to be more stable than the syn conformation in each of these compounds. With these methods we found that the relative energy of the transition state (TS) was considerably higher, but with the ab initio method using RHF with minimal basic function STO-3G we found that the syn conformation is predicted to be slightly more stable. The determination of some atomic charges of a selection of atoms on the syn, anti and TS structures of the various compounds provided some details about the nature of the transition state.

Introduction

Until now, nitrosourea compounds have been considered some of the most powerful alkylating agents used in the chemotherapy, but they present the disadvantage of releasing isocyanate, a very toxic product, which limits their use [1]. It has been shown that this problem can be avoided by synthesizing a new family of compounds in which the nitrosourea function is replaced by the sulfonyl group [2]. It has also been shown that these 2-chloroethylnitrososulfamide compounds (CENS) were very active antitumor agents and could be considered new typical mutagenic and carcinogenic compounds [3]. Molecular modeling has become a useful tool for examining different interactions in molecules [4]. As no theoretical studies had previously been done on these compounds, we became interested in applying computational methods (MM+, PM3, AM1 and ab initio) to some of these 2-chloroethylnitroso-sulfamides and we now report our results in this area.

Results and Discussion

The 2-chloroethylnitrososulfamide molecules used in our theoretical study have been prepared in our laboratory by Abdaoui et al. [2,3]. They are shown in Figure 1. Figure 2 shows the common alkylating moiety of these molecules.
Figure 1. The structures of the four CENS.
Figure 1. The structures of the four CENS.
Molecules 09 00883 g001
CENS_1: N-Nitroso-N-(2-chloroethyl)-N’-sulfamoylpiperidyne
CENS_2: N-Nitroso-N-(2-chloroethyl)-N’-dicyclohexylsulfamide
CENS_3: N-Nitroso-N-(2-chloroethyl)-N’-sulfamoylprolinate
CENS_4: N-Nitroso-N-(2-chloroethyl)-N’-dibenzylsulfamide
Figure 2. Alkylating moiety in CENS
Figure 2. Alkylating moiety in CENS
Molecules 09 00883 g002
All the molecular mechanics calculations were carried on a Pentium 133 MHz with the MM+ force field as implemented in Hyperchem 6.0. The different 2-chloroethylnitrososulfamide compounds were built using Hyperchem. The search of the lowest energy conformation was performed with Allinger’s software including a Metropolis Monte Carlo (MMC) approach for generation of the new conformations using random variations of the randomly selected torsional angles [5]. This search was performed with a range for ring acyclic or ring torsion variation of ±10-120°. The Random Walk, and Metropolis Criterion use T= 300 K, switching to 400 K. The structures which were found by MMC were reminimized by Polack-Ribiere optimization using MM+.
The neutral form of compounds has been used, with a dielectric constant of 1.5 applied in the calculations of the electrostatic interaction [6]. Energy minimization was terminated when the gradient root mean square was below 0.01 kcal/mol. After the energy minimization, acceptance was determined by the following two criteria: 1) execution of a conformational search by the simulated annealing method [heat time: 0.1ps, run time: 0.5 ps, starting temperature: 100 K, simulation temperature: 300K, temperature step: 30K] which is described by Choe et al. [7]; 2) the structure obtained was minimized with a semi-empirical method (PM3) and we verified that there were no negative frequencies in the vibration spectrum. Table 1 gives the detailed energy data for the most favored conformations of the four CENS, which are shown in Figure 3.
Table 1. The detailed energies of the most favored conformations of the four CENS
Table 1. The detailed energies of the most favored conformations of the four CENS
ParameterCompound
CENS_1CENS_2CENS_3CENS_4
Bond0.77171.85690.84730.8245
Angle4.11276.039310.02224.2251
Dihedral-2.95492.5646-0.8142-14.4350
Stretch-bend0.12670.3744-0.10830.1374
Vdw6.23407.72304.60445.3712
Electrostatic-14.3593-13.9257-13.2188-14.4369
E steric-6.07406.28901.3825-18.3134
Table 1 contains some significant information: 1) the primary contribution to the energy is the electrostatic energy for CENS_1, CENS_2 and CENS_3, but for the CENS_4 compound the strongest contribution to the energy are the dihedral and electrostatic energies; 2) the bond and stretch-bend energies are relatively unimportant in the total energy; 3) the angle energy and Vdw interaction have a big influence of the energy.
Figure 3. The most favored conformations of the four CENS
Figure 3. The most favored conformations of the four CENS
Molecules 09 00883 g003
During the global minimum conformational research for CENS_4, two methods were used for energy optimization: MM+ and a semi empirical method (PM3) [8]. The CENS_4 geometry was optimized with MM+, and the obtained structure was used as initial structure for the PM3 calculation. Once the minimal energy of the structure was given using the semi empirical method, we used it as the basic structure for a new calculation with molecular mechanics.
From PM3 method, as implemented in Hyperchem 6.0, a large volume of data can be produced. The values for heat of formation, electric dipole and binding energy, for the lowest-energy conformation of the four CENS are summarized in Table 2.
Table 2. Bonding energy, heat of formation (kcal/mol) and electric dipoles (Debye) for the four CENS as calculated by the PM3 semi-empirical method.
Table 2. Bonding energy, heat of formation (kcal/mol) and electric dipoles (Debye) for the four CENS as calculated by the PM3 semi-empirical method.
ParameterCENS_1 (kcal/mol)CENS_2 (kcal/mol)CENS_3 (kcal/mol)CENS_4 (kcal/mol)
Binding energy-2610.314-4455.257-2972.178-4291.6479
Heat of formation-71.58632-96.26391-143.470-6.504729
Dipole (D)3.0133.2324.2733.712
According to the bonding energy, quantitatively the order of the stability of the four CENS can be established as: CENS_2> CENS_4> CENS_3> CENS_1.
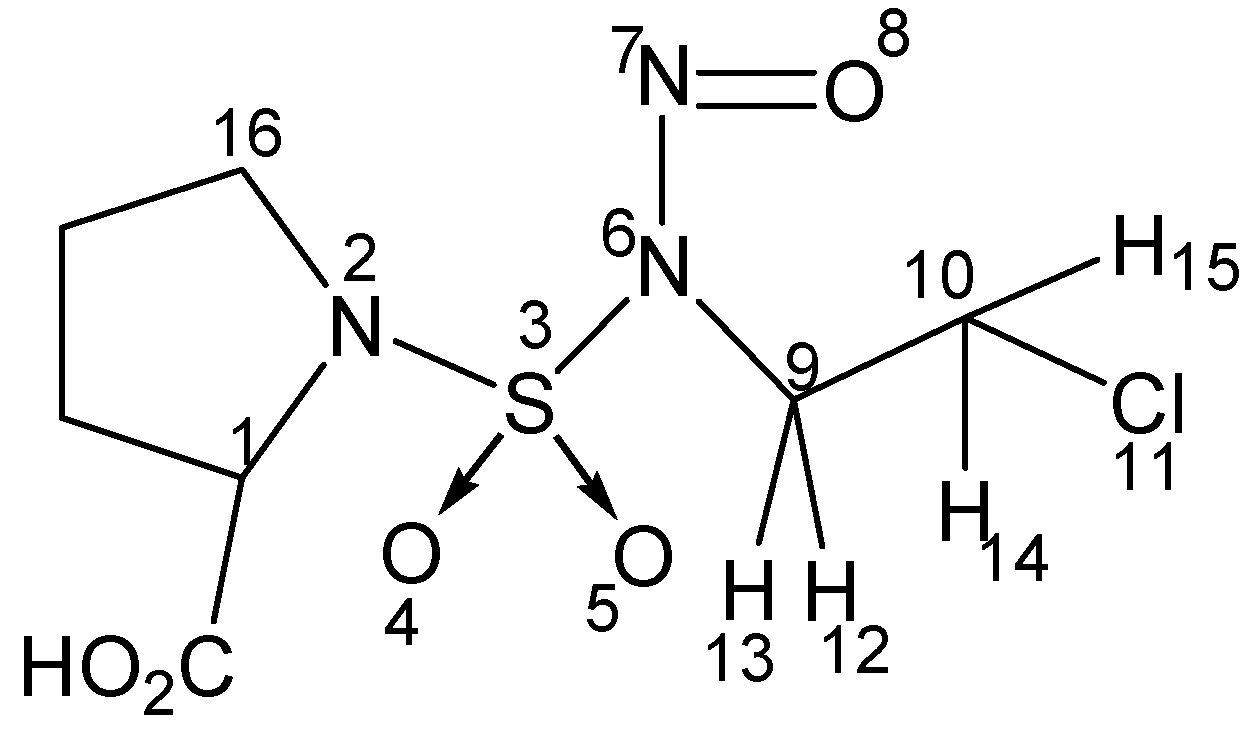
The bond lengths and bond angles of the common fragment of the four CENS (Figure 4) calculated by molecular mechanics (Table 3 and Table 4) was compared with those obtained using X-ray crystallography for N-nitroso-N-(2-chloroethyl)-N’-sulfamoylproline [2b] derived from CENS_3 (Figure 5).
Figure 4. Common fragment of the four CENS.
Figure 4. Common fragment of the four CENS.
Molecules 09 00883 g004
Figure 5. N-nitroso-N-(2-chloroethyl)-N’- sulfamoylproline
Figure 5. N-nitroso-N-(2-chloroethyl)-N’- sulfamoylproline
Molecules 09 00883 g005
Table 3. Comparison of bond length (Å) parameters obtained by X-ray crystallography for the common fragment of the N-nitroso-N-(2-chloroethyl)-N’-sulfamoylproline and that with those obtained by molecular mechanics calculations.
Table 3. Comparison of bond length (Å) parameters obtained by X-ray crystallography for the common fragment of the N-nitroso-N-(2-chloroethyl)-N’-sulfamoylproline and that with those obtained by molecular mechanics calculations.
BondCrystallographic data drawn from N-nitroso-N-(2-chloroethyl)-N’-sulfamoylprolineMM+ calculations for
CENS_1CENS_2CENS_3CENS_4
C(1)-N(2)1.481.451.471.441.45
C(16)-N(2)1.451.451.461.451.45
N(2)-S(3)1.571.651.651.641.65
S(3)-O(4)1.441.441.441.441.44
S(3)-O(5)1.401.441.441.441.44
S(3)-N(6)1.681.651.651.651.65
N(6)-N(7)1.371.351.361.351.35
N(7)-O(8)1.201.171.171.171.17
N(6)-C(9)1.471.451.461.451.45
C(9)-C(10)1.501.541.531.541.53
C(10)-Cl(11)1.731.791.801.791.79
Table 4. Comparison of bond angle (°) parameters obtained by X-ray crystallography for the common fragment of the N-nitroso-N-(2-chloroethyl)-N’-sulfamoylproline and that with those obtained by molecular mechanics calculations.
Table 4. Comparison of bond angle (°) parameters obtained by X-ray crystallography for the common fragment of the N-nitroso-N-(2-chloroethyl)-N’-sulfamoylproline and that with those obtained by molecular mechanics calculations.
BondCrystallographic data drawn from N-nitroso-N-(2-chloroethyl)-N’-sulfamoylprolineMM+ calculations for
CENS_1CENS_2CENS_3CENS_4
N(6)N(7)O(8)113.5123.2124.1123.3123.1
N(2)S(3)O(4)109.7110.3110.4109.2108.5
N(6)S(3)O(5)103.0109.7108.9108.7110.0
N(6)S(3)N(2)105.198.497.497.2100.7
O(4)S(3)O(5)121.7118.8120.3120.3117.2
According the results of Table 3 and Table 4 it should be noted that the differences between the calculated and experimental values for the bond lengths are all less than 0.05 Å except for the N2-S3 bond length; the difference then reaches 0.08 Å. In the same way, the differences between the calculated and experimental values for the bond angles does not exceed 8° except in the case of the N6-N7-O8 bond angle; the difference in this case being 10.8°. By taking into account the difference between the various structures of the CENS and the structure of the carboxylic acid of the CENS_3 (Figure 5) with which we made the comparison, concerning the common part of the CENS we can conclude that the calculated parameters show good agreement with experimental results and this opens the possibility of using detailed molecular information obtained by molecular mechanics (MM+) for analysis of the characteristics of CENS.

Anti and syn calculations

The relative stabilities of the anti and syn conformers and the interconversion between them are very important to understand reactivity [9]. We have calculated the lowest-energy of the anti and syn conformers of the four CENS and the transition state (TS) for the anti-syn conformer using MM+, AM1, PM3 and ab initio methods.
Figure 6. Anti, syn and transition state structures
Figure 6. Anti, syn and transition state structures
Molecules 09 00883 g006
The syn conformation was built starting from the most stable conformation obtained previously, by making a 180° rotation of the N=O bond around the N-N bond. The obtained structure is optimized with MM+ by using the Polack-Ribiere algorithm to a maximum energy gradient of 0.01 kcal/ (Å.mole).
Table 5. The values of the steric energy (kcal/mol) of the anti and syn structures and the difference between these two energies as calculated by MM+.
Table 5. The values of the steric energy (kcal/mol) of the anti and syn structures and the difference between these two energies as calculated by MM+.
CENS_1CENS_2CENS_3CENS_4
anti-6.0741.3826.289-18.313
syn-5.4352.3386.436-14.553
ΔE (syn-anti)0.6380.9550.1473.760
The MM+ calculations (Table 5) show that anti conformation is the most stable one for the four CENS molecules studied. This difference varies from 0.147 (CENS_3) to 3.760 kcal/mole (CENS_4). Using the molecular mechanics results we can say that quantitatively the anti and syn conformations should exist in similar amounts (ΔE< 1) for CENS_1, CENS_2 and CENS_3, whereas for CENS_4, only the anti conformation is possible because ΔE>2 [10,11,12].

Semi – empirical methods

The anti and syn conformations obtained for the four CENS with MM+ were re-optimized with PM3 and AM1 by using the Polack-Ribiere algorithm to a maximum energy gradient of 0.01 kcal/(A. mole). The structure of the transition state was obtained by imposing a geometrical constraint making the N-N=O bond angle equal to 180°. The search for the transition state (TS) and vibrational calculations are done using the Eigenvector following Algorithm. The confirmation of its localization was done by checking in the vibration spectrum for the presence of only one imaginary frequency [13]. The results obtained are given in Table 6:
Table 6. The relative energy (kcal/mol) of the anti, syn and TS structures of the four CENS calculated by PM3 and AM1 semi empirical methods.
Table 6. The relative energy (kcal/mol) of the anti, syn and TS structures of the four CENS calculated by PM3 and AM1 semi empirical methods.
CENS_1CENS_2CENS_3CENS_4
PM3anti-2611.166-2972.178-4455.257-4291.156
syn-2609.039-2971.424-4453.520-4288.289
TS-2551.511-2912.350-4396.771-4231.334
|∆E (anti-syn)|2.1270.7541.7372.867
|ΔE (TS-anti)|59.65559.82858.48659.822
AM1anti-2626.291-2983.727-4475.774-4300.583
syn-2620.866-2977.450-4471.331-4295.431
TS-2544.697-2900.914---------4231.334
|∆E (anti-syn)|5.4256.2774.4435.152
|ΔE (TS-anti)|81.59482.813--------69.249
According to the results (Table 6) we can note:
  • The two methods AM1 and PM3 give the same most stable conformation (anti).
  • The energy difference between the syn and anti conformations is higher in the PM3 than with the AM1 method.
  • In the PM3 method, the energy difference between the anti conformation and the transition state is almost constant for the four CENS (around 59.kcal/mole). But in the AM1 method it varies from 69.249 to 82.813kal/mole. According to the magnitude of this difference the transition between the anti to syn conformation is difficult.
  • One notices in our search for the transition state of CENS_3 that the imposed constraint N-N=0 equal to 180° is not respected because at the beginning of each optimization this parameter changes considerably. Consequently, we could not locate a transition state for this structure.

Ab Initio method

In order to confirm this result we used an ab initio method. For this purpose we optimized the syn and anti conformations by the same procedure used in PM3 and AM1 calculations using the RHF method with a minimal basic function STO-3G. In the simplest case of the CENS_1 molecule the system is formed with 97 basis functions and 291 Gaussian primitives and this represents a great challenge for calculation with an IBM Pentium III 133 MHz personal computer (in terms of computational time). The transition state was obtained with the same procedure as that used in AM1 and PM3 methods. The calculation of the transition state was given with the same method RHF/ STO-3G). The results obtained are shown in Table 7:
Table 7. The relative energy (kcal/mol) of the anti, syn and TS structures of the four CENS calculated by the RHF method with a minimal STO- 3G basis function.
Table 7. The relative energy (kcal/mol) of the anti, syn and TS structures of the four CENS calculated by the RHF method with a minimal STO- 3G basis function.
CENS_1CENS_2CENS_3CENS_4
E anti-941384.75-1057519.50-1110126.50-1154040.75
E syn-941386.78-1057521.00-1110126.67-1154045.37
E (TS)-941300.25-1057434.37-1110041.50-1153959.62
|ΔE (anti-syn)|2.031.500.174.62
|ΔE (TS-syn)|84.5386.6385.1785.74
These results allow the following observations:
  • We obtain a completely contrary order of stability to that obtained by the other methods (molecular mechanics and semi empirical). Thus, the syn conformation is now slightly more stable than the anti conformation.
  • The energy barrier between the syn conformation and the transition state is around 85 kcal/mole.
  • Since the energetic barrier between the syn conformation and the transition state is very important (85 kcal/mol) we can say that the transition between the syn to anti conformations is very difficult.
From the results of Table 8 some important information can be observed. On the one hand, the N center atoms of CENS_1, CENS_2 and CENS_3 undergo a reduction of 2/3 of their electronic density (obtained by the PM3 method) in the various transition states but for CENS_4 it loses only a half of its electronic density. On the other hand, the electronic density in the SO2 group in CENS_1, CENS_2 and CENS_3 varies considerably, but in CENS_4 it remains almost constant. We thus note that in the CENS_1, CENS_2 and CENS_3 the SO2 group plays a significant role in the formation of transition state but in CENS_4 it does not appear to participate in the structure of the transition state.
Table 8. The charge of selected atoms obtained by PM3 calculations (four CENS in syn, anti and transition form).
Table 8. The charge of selected atoms obtained by PM3 calculations (four CENS in syn, anti and transition form).
N (center)N (nitroso)O (nitroso)S (nitroso)O4, O5
CENS_1
anti-0.5840.338-0.2792.264-0.813, -0.796
syn-0.5610.360-0.2862.232-0.798, -0.825
TS-0.186-0.044-0.1030.774-0.322, -0.340
CENS_2
anti-0.5720.332-0.2802.279-0.826, -0.800
syn-0.5600.359-0.2952.211-0.811, -0.797
TS-0.167-0.044-0.0910.786-0.341, -0.349
CENS_3
anti- 0.5620.349-0.2692.273-0.832, -0.793
syn- 0.5640.363-0.2702.231-0.791, -0.828
TS-0.173-0.024-0.0920.788-0.352, -0.341
CENS_4
anti-0.5450.335-0.2902.253-0.822, -0.810
syn-0.5480.348-0.27620204-0.805, -0.821
TS-0.2570.191-0.3302.140-0.810, -0.797

Conclusions

First, the comparison between the computational results and the crystallographic data shows that molecular mechanics is a powerful tool to study CENS derivatives. Second, according to the MM+, PM3 and AM1 calculations, the anti conformation is more stable than the syn conformation but the transition between the anti and syn conformations is not favorable because the relative energy of the transition state is higher. Third, the ab initio calculations (RHF/STO-3G) give contradictory results. Thus, the syn conformation became slightly more stable. To clarify these discrepancies further studies using other more powerful computational methods with superior basis sets or the DFT method are necessary. We also note that the presence of the two aromatic systems in the CENS_4 molecule confers it a particular behavior. With MM+ calculations we observe only the anti conformation and with PM3 charge calculations the SO2 group in the transition state do not undergo charge modification.

References

  1. Gnewuch, C.T.; Sosnovsky, G. Chem. Rev. 1997, 97, 819. Rajaski, R.R.; Williams, M.W. Chem. Rev. 1998, 98, 2723. Nitrosamines and N-Nitroso Compounds - ACS Symposium Series; Vol 553,  Leoppky, R.N. (Ed.) American Chemical Society: Washington, D.C, 1994.
  2. Abdaoui, M.; Dewynter, G.; Aouf, N.; Montero, G.L. Phosphorus Sulfur Silicon Relat. Elem. 1996, 118, 39. Abdaoui, M.; Dewynter, G.; Tropet, L.; Montero, G.L. Tetrahedron 2000, 56, 2427.
  3. Abdaoui, M.; Dewynter, G.; Aouf, N.; Montero, G.L.; Favre, G.; Morere, A. Bioorg. Med. Chem. 1996, 4, 1227. [CrossRef]
  4. Leach, A.R. Molecular Modelling ; Principles and Applications; Addison Wesley Longman: Harlow, Essex, UK, 1997. [Google Scholar] Judson, R.; Lipkowitz, K.B.; Boyd, B.D. Reviews in Computational Chemistry 1997, Vol 10.
  5. Freyberg, B.V.; Braun, W. J. Comput. Chem. 1991, 12, 1065. [CrossRef]
  6. Fermegli, M.; Ferrone, M.; Lodi, A.; Priel, S. Carbohyd. Polym. 2003, 53, 15.
  7. Choe, J.I.; Kim, K.; Chang, S.K. Bull Kor. Chem Soc. 2000, 21, 465.
  8. Mayumi, K.; Masaaki, K.; Yuzo, Y. J. Comput.Chem. 2001, 22, 835. [CrossRef]
  9. Nakayama, N.; Osamun, K. J. Mol. Struct. (THEOCHEM) 2001, 536, 213. [CrossRef]
  10. Boyd, D.B.; Lipkowitz, K.B. J. Chem. Ed. 1982, 59, 269. [CrossRef]
  11. Bays, J.P. J. Chem. Ed. 1992, 69, 209. [CrossRef]
  12. Houk, K.N. Science 1986, 231, 1108.
  13. Seo, M-Y.; Kim, J-B.; Serong, A.; Shin, Y-K. Bull. Kor. Chem. Soc. 1999, 20, 948.
  • Sample availability: Available from the authors.

Share and Cite

MDPI and ACS Style

Djameleddine, K.; Soumeya, S.; Fatiha, M. Theoretical Study of Some Nitrososulfamide Compounds with Antitumor Activity. Molecules 2004, 9, 883-893. https://doi.org/10.3390/91000883

AMA Style

Djameleddine K, Soumeya S, Fatiha M. Theoretical Study of Some Nitrososulfamide Compounds with Antitumor Activity. Molecules. 2004; 9(10):883-893. https://doi.org/10.3390/91000883

Chicago/Turabian Style

Djameleddine, Khatmi, Seridi Soumeya, and Madi Fatiha. 2004. "Theoretical Study of Some Nitrososulfamide Compounds with Antitumor Activity" Molecules 9, no. 10: 883-893. https://doi.org/10.3390/91000883

APA Style

Djameleddine, K., Soumeya, S., & Fatiha, M. (2004). Theoretical Study of Some Nitrososulfamide Compounds with Antitumor Activity. Molecules, 9(10), 883-893. https://doi.org/10.3390/91000883

Article Metrics

Back to TopTop