Synthesis and X-Ray Structure of [N,N-Bis(3,5-dimethylpyrazol-1-ylmethyl)-1-hydroxy-2-aminoethane](3,5-dimethylpyrazole) copper(II) dinitrate
Abstract
:Introduction
Results and Discussion
Synthesis of [N,N-Bis(3,5-dimethylpyrazol-1-ylmethyl)-1-hydroxy-2-aminoethane] (L).

| Method | Time | Yield |
|---|---|---|
| Method | Time | Yield |
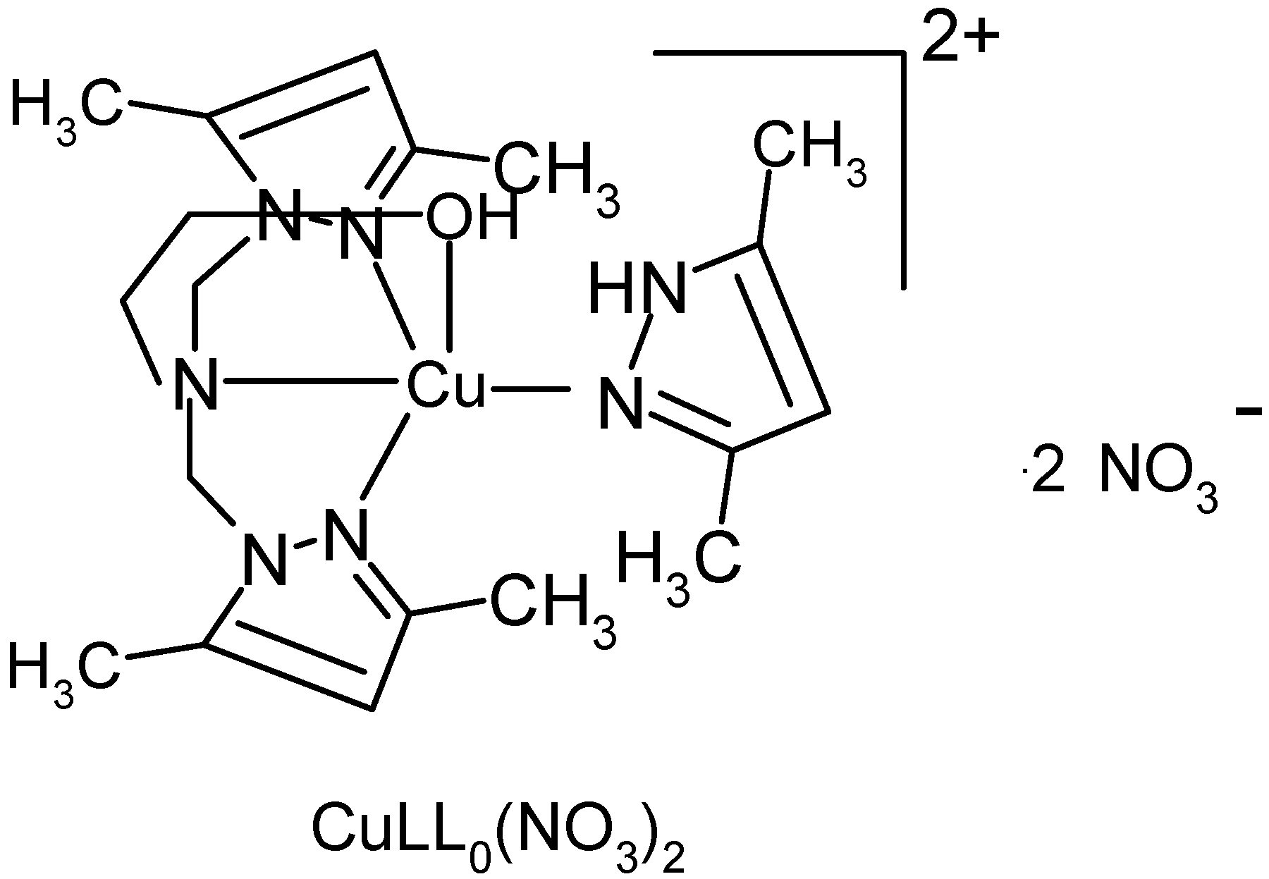
Synthesis of [N,N-Bis(3,5-dimethylpyrazol-1-ylmethyl)-1-hydroxy-2-aminoethane] (3,5dimethyl-pyrazole)copper(II) dinitrate: [Cu(L)(Lo)(NO3)2]
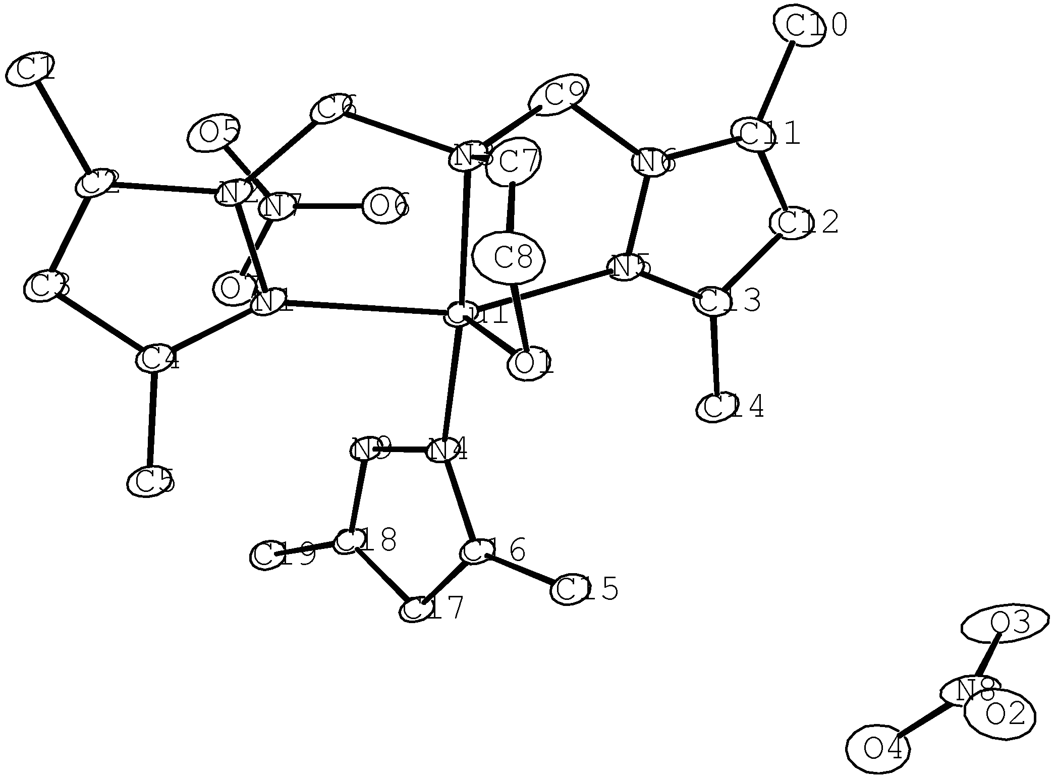
X-ray structure analysis
| Formula weight | 561.07 |
| Temperature | 293(2)K |
| Radiation | MoKα |
| Wavelength | 0.71073 Å |
| Crystal system, Space group Unit cell dimensions | triclinic; P-1 |
| a = 8.4404(8) Å | alpha = 88.914(2) deg |
| b = 11.3445(8) Å | beta = 76.177(3) deg |
| c = 13.7384(15) Å | gamma = 85.254(4) deg |
| Volume | 1273.0(2) Å3 |
| Z | 2 |
| Calculated density | 1.464 Mg/m3 |
| Absorption coefficient | 0.915 mm-1 |
| F(000) | 586 |
| Theta range for data collection | 2.36 to 27.50 deg |
| Limiting indices | -9<=h<=10 , -14<=k<=14 , -11<=l<=17 |
| Reflections collected / unique | 5555/ |
| Independent reflections | 4246 [R(int) = 0.0488] |
| Completeness to theta | 0.726 |
| Refinement method | Full-matrix least-squares on F2 |
| Data / restraints / parameters | 4246 / 0 /326 |
| Goodness-of-fit on F2 | 0.994 |
| Final R indices [I>2sigma(I)] | R1 = 0.0702, wR2 = 0.1680 |
| R indices (all data) | R1 = 0.1347, wR2 = 0.2094 |
| Largest diff. peak and hole | 0.433 and –0.301 e.A-3 |
X-ray Structure Determination and Crystal Structure


| Bond | NO-3 | ClO-4 [20] |
| Cu-N1 | 2.005(5) | 1.980(2) |
Conclusions
Experimental
General
Synthesis of [N,N-bis(3,5-dimethylpyrazol-1-ylmethyl)-1-hydroxy-2-aminoethane] using Method C.
Synthesis of [N,N-Bis(3,5-dimethylpyrazol-1-ylmethyl)-1-hydroxy-2-aminoethane](3,5dimethyl-pyrazole) copper(II) dinitrate
References
- Touzani, R.; Ramdani, A.; Ben-Hadda, T.; El Kadiri, S.; Maury, O.; Le Bozec, H.; Dixneuf, P.H. Synth. Commun. 2001, 31, 1315.
- Kobayachi, S.; Uchiro, H.; Fujishita, Y.; Shiina, I.; Mukaiyama, T. J. Am. Chem. Soc. 1991, 113, 4247.
- Park, S.-B.; Nishiyama, H.; Itoh, Y.; Itoh, K. J. Chem. Soc. Chem. Commun. 1994, 1315.
- Muller, D.; Umbreecht, G.; Weber, B.; Pfaltz, A. Helv. Chim. Acta 1991, 74, 722.
- Matsumura, K.; Hashiguchi, S.; Ikariya, T.; Noyori, R. J. Am. Chem. Soc. 1997, 119, 9738.
- Kobayachi, S.; Nagayama, S.; Busujima, T. Tetrahedron 1999, 55, 8739.
- Johnson, L. K.; Killian, C. M.; Brookhart, M. S. J. Am. Chem. Soc. 1995, 117, 6414.
- Rix, F. C.; Brookhart, M. J. J. Am. Chem. Soc. 1995, 117, 1137.
- Brookhart, M. S.; Wagner, M. I.; Balavoine, G. G. A.; Ait Haddou, H. J. Am. Chem. Soc. 1994, 116, 3641.
- Driessen, W. L. Rec. Trav. Chim. Pays-Bas 1982, 101, 441.
- Malachowski, M. R.; Davidson, M. G.; Hoffman, J. N. Inorg. Chim. Acta. 1989, 157, 91.
- Driessen, W. L.; Wiesmeijer, W.; De Graaff, R. A.G.; Schipper-Zablotskaja, M.; Reedijk, J. Inorg. Chim. Acta. 1989, 162, 233.
- Barszcz, B.; Glowiak, T.; Jezierska, J.; Kurdziel, K. Inorg. Chem. Commun. 2002, 5, 1056.
- CCDC 211606 contains the supplementary crystallographic data for this paper. These data can be obtained free of charge via the http://www.ccdc.cam.ac.uk/conts/retrieving.html (or from the CCDC, 12 Union Road, Cambridge CB2 1EZ, UK; fax: (+44) 1223 336033; e-mail: deposit@ccdc.cam.ac.uk)
- Sheldrick, G. M. " SHELXS-97: Program for crystal structure solution". Univ.of Gottingen.
- Sheldrick, G.M. “SHELXL-97: A computer program for refinement of crystal structures". Univ.of Gottingen.
- Burnett, M. N.; Johnson, C. K. " ORTEPIII: Oak Ridge Thermal Ellipsoid Plot Program for Crystal Structure Illustrations". J. Appl. Cryst. 1995, 28, 65. [Google Scholar] [Green Version]
- Driessen, W. L.; De Graaff, R. A.G.; Wiesmeijer, W.G.R. Acta Cryst. 1987, C43, 2319.
- Blonk, H. L.; Driessen, W. L.; Reedijk, J. J. Chem. Soc. Dalton Trans. 1985, 1699.
- Boyd, P. D. W.; Burrell, A. K.; Rickard, C. E. F. Acta Cryst. 1997, C53, 1549.
- Luneau, D.; Oshio, H.; Okawa, H.; Kookawa, M.; Kida, S. Bull. Chem. Soc. Jpn. 1990, 63, 2212.
- Antolini, L.; Menabue, L. Inorg. Chem. 1984, 23, 1418.
- Antolini, L.; Menabue, L.; Sola, M.; Battaglin, L. P.; Corradi, A. B. J. Chem. Soc. Dalton Trans. 1986, 1367.
- Sample availability: Available from MDPI
© 2003 by MDPI ( http://www.mdpi.org). Reproduction is permitted for noncommercial purposes.
Share and Cite
El Kodadi, M.; Malek, F.; Touzani, R.; Ramdani, A.; El Kadiri, S.; Eddike, D. Synthesis and X-Ray Structure of [N,N-Bis(3,5-dimethylpyrazol-1-ylmethyl)-1-hydroxy-2-aminoethane](3,5-dimethylpyrazole) copper(II) dinitrate. Molecules 2003, 8, 780-787. https://doi.org/10.3390/81100780
El Kodadi M, Malek F, Touzani R, Ramdani A, El Kadiri S, Eddike D. Synthesis and X-Ray Structure of [N,N-Bis(3,5-dimethylpyrazol-1-ylmethyl)-1-hydroxy-2-aminoethane](3,5-dimethylpyrazole) copper(II) dinitrate. Molecules. 2003; 8(11):780-787. https://doi.org/10.3390/81100780
Chicago/Turabian StyleEl Kodadi, Mohamed, Fouad Malek, Rachid Touzani, Abdelkrim Ramdani, Sghir El Kadiri, and Driss Eddike. 2003. "Synthesis and X-Ray Structure of [N,N-Bis(3,5-dimethylpyrazol-1-ylmethyl)-1-hydroxy-2-aminoethane](3,5-dimethylpyrazole) copper(II) dinitrate" Molecules 8, no. 11: 780-787. https://doi.org/10.3390/81100780
APA StyleEl Kodadi, M., Malek, F., Touzani, R., Ramdani, A., El Kadiri, S., & Eddike, D. (2003). Synthesis and X-Ray Structure of [N,N-Bis(3,5-dimethylpyrazol-1-ylmethyl)-1-hydroxy-2-aminoethane](3,5-dimethylpyrazole) copper(II) dinitrate. Molecules, 8(11), 780-787. https://doi.org/10.3390/81100780
