Next Article in Journal
The Chemistry of α-Haloketones and Their Utility in Heterocyclic Synthesis
Previous Article in Journal
Synthesis and X-Ray Structure of [N,N-Bis(3,5-dimethylpyrazol-1-ylmethyl)-1-hydroxy-2-aminoethane](3,5-dimethylpyrazole) copper(II) dinitrate
 
 
Font Type:
Arial Georgia Verdana
Font Size:
Aa Aa Aa
Line Spacing:
Column Width:
Background:
Article

Synthesis and Characterization of Chiral Nitrobenzaldehyde - Schiff Base Ligands

1
Institute of Superfine Chemicals, Bohai University, Jinzhou, 121003, P.R. China
2
Dalian Institute of Chemical Physics, Chinese Academy of Sciences, Dalian, 116023, P. R. China
*
Author to whom correspondence should be addressed.
Molecules 2003, 8(11), 788-792; https://doi.org/10.3390/81100788
Submission received: 10 June 2003 / Revised: 15 August 2003 / Accepted: 18 August 2003 / Published: 15 November 2003

Abstract

:
Three chiral nitrobenzaldehyde/Schiff base ligands (2a-c) were prepared by the reaction of ortho, meta, and para-NO2 substituted benzaldehydes (1a-c) with (1R,2R)-(-)-1,2-diaminocyclohexane. The structures of ligands 2a-c were characterized by IR, 1H-NMR, 13C-NMR and elemental analysis.

Introduction

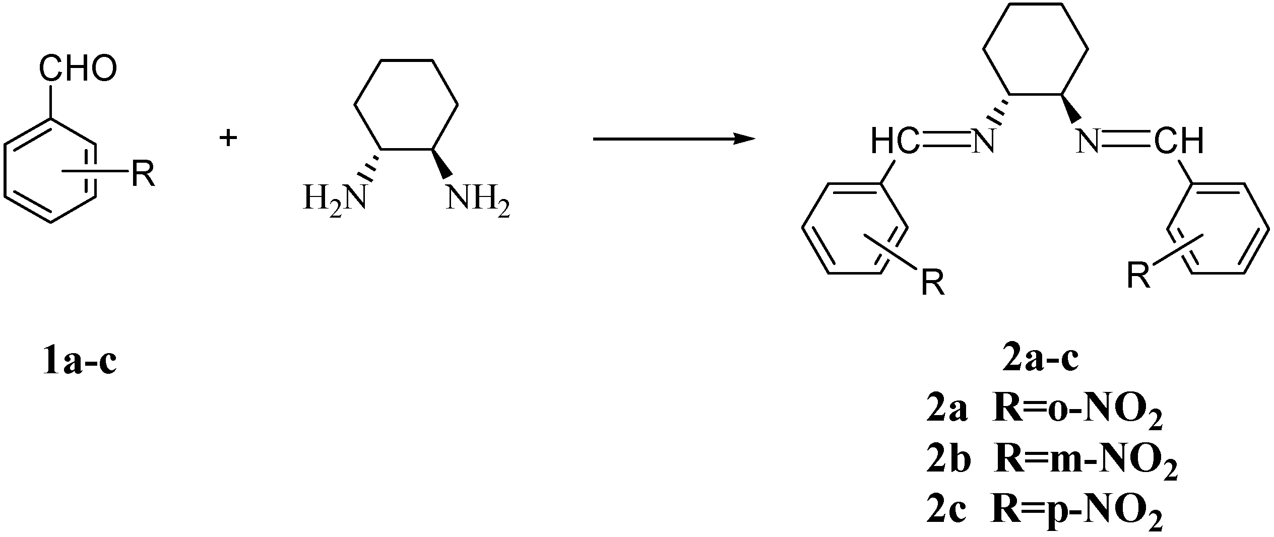
It is well known that the preparation of new ligands is perhaps the most important step in the development of metal complexes which exhibit unique properties and novel reactivity. Changes in the electronic, steric, and geometric properties of the ligand alter the orbitals at the metal center and thus affect its properties. In asymmetric catalyst systems, small changes in the donating ability of the ligand or the size of its substituents can have a dramatic effect a catalyst’s efficiency and enantioselectivity [1,2,3,4,5,6]. The nitro group is a strong electron withdrawing group and, due to its steric effects, has played an important role in affecting the reactivities and enantioselectivities in asymmetric cyclopropanation and allylic alkylation reactions [7,8]. Jacobsen et al. have investigated the actions of various chiral benzaldehyde/Schiff base ligands in the asymmetric azirination of olefins [9]. The best result (75% yield and 98% e.e) was achieved with the 2,3-dichlorobenzaldehyde/Schiff base ligand. To the best of our knowledge, however, nitrobenzaldehyde/Schiff base ligands have never been applied in an asymmetric catalytic system, although some of them have been mentioned in recent publications [10,11]. Thus, in order to investigate their catalytic properties, ortho, meta, and para-NO2 substituted benzaldehydes 1a-c were used to prepare the Schiff base ligands 2a-c by reaction with chiral 1,2-diaminecyclohexane (Scheme 1).
Scheme 1.
Scheme 1.

Results and Discussion

NO2 substituted benzaldehydes 1a-c were dissolved in absolute ethanol and then an ethanol solution containing 0.5 molar equivalent of (1R,2R)-(-)-1,2-diaminocyclohexane was added to the reaction mixture at room temperature. After 30~36 hours at reflux the reaction mixtures were cooled to room temperature and diluted with water. As a result, ligands 2a-c were obtained in yields of 76.4%, 94.4%, and 74.5%, respectively. Their structures were characterized by spectroscopy and elemental analysis. The absorption peak corresponding to the amino group disappeared in the IR, which showed that the amino groups in 1,2-diaminocyclohexane had participated completely in the reactions. 1H-NMR, 13C-NMR and elemental analysis data for ligands 2a-c were also consistent with the formulation indicated in Scheme 1.
As a model reaction the ligands 2a-c were used in the asymmetric catalytic cyclopropanation of 2,5-dimethyl-2,4-hexadiene with L-menthyl diazoacetate. The results are shown in Table 1. It can be seen from the data that the observed enantioselectivities were not satisfactory, although the activities were moderate. The examination of these ligands in other catalytic asymmetric reactions is in progress.
Table 1. Asymmetric cyclopropanation of 2,5-dimethyl-2,4-hexadiene with L-menthyl diazoacetate using Cu(CH3CN)4ClO4/ ligands 2a-c catalysts in situ.
Table 1. Asymmetric cyclopropanation of 2,5-dimethyl-2,4-hexadiene with L-menthyl diazoacetate using Cu(CH3CN)4ClO4/ ligands 2a-c catalysts in situ.
EntryaLigandtrans:cise.e/%(trans/cis)Yield/%
12a72:284.5/8.657.9
22b75:255.6/7.669.8
32c73:271.3/8.974.0
The reactions were carried out at 85°C, Cu(CH3CN)4ClO4/ligand molar ratio 1/1.2, catalyst/L-menthyl diazoacetate molar ratio 1/100.

Experimental

General

Melting points were determined on a WRS-1B Digital Melting Point Apparatus and are uncorrected. Infrared spectra were recorded as KBr pellets on an FTIR-8400 instrument. NMR spectra were recorded on a Mercury 400 spectrometer and chemical shifts are expressed in ppm using TMS as internal standard. Elemental analysis was performed on a PE-2400 elemental analyzer. The optical rotations were recorded by means of Horiba Sepa-200 high sensitivity polarimeter.

Synthesis of ligand 2a

o-Nitrobenzaldehye (1a, 2.5g, 16.56mmol) was added to a solution of (1R,2R)-(-)-1,2-diaminocyclohexane (966mg, 8.47mmol) in absolute ethanol (8mL). The resulting mixture was refluxed for 36 h. After cooling to room temperature, water (40mL) was added and the resulting mixture was stirred for 14 hours. The white precipitate formed was filtered off, washed with water and dried to afford the title compound as white needles after recrystallization from absolute ethanol (yield: 2.460g, 76.4%); mp: 78~79°C; [α]D27= -3.56° (C=1 in EtOH); IR νmax (cm-1): 1640 (C=N), 1530, 1345 (NO2), 2930, 2860, 750(Ar-H ring); 1H-NMR, δH: 8.67 (s, 2H, CH=N), 7.96 (d, 2H, J=7.76 Hz, Ar-H3,3’), 7.93 (d, 2H, J=10.68 Hz, Ar-H6,6’), 7.60 (t, 2H, J=7.64 Hz, 7.48 Hz, Ar-H5,5’), 7.47 (t, 2H, J=7.80 Hz, 7.76 Hz, Ar-H4,4’), 3.56 (t, 2H, CH), 1.90~1.51 (m, 8H, CH2CH2); 13C-NMR, δC: 170.72 (C=N), 163.54 (Ar-C2), 132.24 (Ar-C4), 128.27 (Ar-C6), 119.11 (Ar-C1), 118.36 (Ar-C5), 117.00 (Ar-C3), 62.84 (NCH), 32.23 (CH2), 24.06 (CH2); Anal. Cald. for C20H20N4O4: C, 63.15; H, 5.30; N, 14.73; Found: C, 62.98; H, 5.16; N, 14.55.

Synthesis of ligand 2b

Compound 2b was synthesized by the method described above in 94.4% yield. White needles, mp: 92~93°C; [α]D29= -255.00° (C=1 in EtOH); IR νmax (cm-1): 1652 (C=N), 1534, 1352 (NO2), 2928, 2862, 748(Ar-H ring); 1H-NMR, δH: 8.47 (s, 2H, CH=N), 8.28 (s, 2H, Ar-H3,3’), 8.17 (dd, 2H, J=6.12 Hz, J=2.00 Hz Ar-H4,4’), 7.91 (d, 2H, J=7.68 Hz, Ar-H6,6’), 7.50 (t, 2H, J=7.92 Hz, Ar-H5,5’), 3.49 (dd, 2H, J=5.00 Hz, J=2.28 Hz, CH), 1.92~1.51 (m, 8H, CH2CH2); 13C-NMR, δC: 158.23 (C=N), 148.43 (Ar-C3), 137.76 (Ar-C1), 133.57 (Ar-C6), 129.46 (Ar-C5), 124.75 (Ar-C4), 122.38 (Ar-C2), 73.69 (NCH), 32.62 (CH2), 24.19 (CH2); Anal. Cald. for C20H20N4O4: C, 63.15; H, 5.30; N, 14.73; Found: C, 63.01; H, 5.13; N, 14.57.

Synthesis of ligand 2c

Compound 2c was synthesized by the above method in 74.5% yield. Yellow needles, mp: 110~112°C; [α]D29= -384.10° (C=1 in CH2Cl2); IR νmax (cm-1): 1648 (C=N), 1526, 1350 cm (NO2), 2921, 2858, 752 (Ar-H ring); 1H-NMR, δH: 8.28 (s, 2H, CH=N), 8.15 (d, 4H, J=8.56 Hz, Ar-H3,3’,5,5’), 7.76 (d, 4H, J=8.72 Hz, Ar-H2,2’,6.6’), 3.50 (t, 2H, J=4.96 Hz, J=4.88 Hz, CH), 1.92~1.52 (m, 8H, CH2CH2); 13C-NMR, δC: 158.55 (C=N), 148.73 (Ar-C4), 141.46 (Ar-C1), 128.44 (Ar-C2,6), 123.66 (Ar-C3,5), 73.88 (NCH), 32.48 (CH2), 24.10 (CH2); Anal. Cald. for C20H20N4O4: C, 63.15; H, 5.30; N, 14.73; Found: C, 63.02; H, 5.10; N, 14.26.

Acknowledgements

We are grateful for the financial support provided by the National Natural Science Foundation of China (No.29933050).

References

  1. Morrrison, J.D. (Ed.) Asymmetric Synthesis; Academic Press: New York, 1983.
  2. Bosnich, B. Asymmetric Catalysis; Martinus Nijhoff Publishers: Dordrecht, The Netherlands, 1986. [Google Scholar]
  3. Whitesell, J.K. Chem. Rev. 1989, 89, 1581–1615.
  4. Brunner, H.; Zettlmeier, W. (Eds.) Handbook of Enantioselective Catalysis; VCH: New York, 1993.
  5. Ojima, I. (Ed.) Catalytic Asymmetric Synthesis; VCH: New York, 1994.
  6. Norori, R. Asymmetric Catalysis in Organic Synthesis; Wiley: New York, 1993. [Google Scholar]
  7. Qiu, M.; Liu, G.S.; Yao, X.Q. Chiral copper(II)-Schiff base complexes as catalysts for asymmetric cyclopropanation of styrene. Chin. J. Catal. (China) 2001, 22(1), 77–80. [Google Scholar] [Green Version]
  8. Hu, X.P. Doctoral Dissertation, Dalian Institute of Chemical Physics, Chinese Academy of Science, 2002.
  9. Li, Z.N; Conser, K.R.; Jacobsen, E.N. Asymmetric alkene aziridination with readily available chiral diimine-based catalysts. J. Am. Chem. Soc. 1993, 115, 5326–5327. [Google Scholar] [Green Version]
  10. Renard, S.L.; Kee, T.P. Electronic effects on the acidity of phosphorus(III) triflates. J. Organomet. Chem. 2002, 643-644, 516–521. [Google Scholar] [Green Version]
  11. Karame, I.; Tommasino, M.L.; Faure, R.; Lemaire, M. Easy synthesis of new chiral tetradentate N4 Schiiff bases and their use as ligands for metal complexes. Eur. J. Org. Chem. 2003, 1271–1276. [Google Scholar]
  • Sample Availability: Samples of the ligands 2a, 2b and 2c are available from MDPI.

Share and Cite

MDPI and ACS Style

Gao, W.T.; Zheng, Z. Synthesis and Characterization of Chiral Nitrobenzaldehyde - Schiff Base Ligands. Molecules 2003, 8, 788-792. https://doi.org/10.3390/81100788

AMA Style

Gao WT, Zheng Z. Synthesis and Characterization of Chiral Nitrobenzaldehyde - Schiff Base Ligands. Molecules. 2003; 8(11):788-792. https://doi.org/10.3390/81100788

Chicago/Turabian Style

Gao, Wen Tao, and Zhuo Zheng. 2003. "Synthesis and Characterization of Chiral Nitrobenzaldehyde - Schiff Base Ligands" Molecules 8, no. 11: 788-792. https://doi.org/10.3390/81100788

APA Style

Gao, W. T., & Zheng, Z. (2003). Synthesis and Characterization of Chiral Nitrobenzaldehyde - Schiff Base Ligands. Molecules, 8(11), 788-792. https://doi.org/10.3390/81100788

Article Metrics

Back to TopTop