Abstract
Ab initio and DFT analysis have been used to study of geometry of sulfated monosaccharides GlcN,6-SO3- and IdoA 2-SO3- in solvent. The computed low conformational barrier between the interconverting conformers of the IdoA 2-SO3- residue is in agreement with experimental data.
Introduction
Modeling of biologically active saccharides aims to understand the molecular details of their biological functions. Sulfated saccharides, owing to their structural peculiarities, are among those saccharide derivatives that are most difficult to model. These difficulties are due to the presence of numerous negatively charged sulfate groups that vary in position in oligo- and polysaccharide chains and that influence the conformation of the monosaccharide units and the glycosidic linkages. Heparin is probably the best known sulfated saccharide, and is one of the most negatively charged molecules in nature [1,2]. It is a heterogeneous polysaccharide consisting predominantly of the 2,6 sulfated glucosamine (D-GlcN,6-SO3-) and 2-sulfated iduronic acid (L-IdoA 2-SO3-) residues linked with α (1-4) linkages. The 3D structures of heparin and heparin derivatives have been the subject of numerous theoretical and experimental studies [3,4,5,6,7]. It has been shown that the presence of sulfates, as well as other functional groups, strongly affects conformation and dynamics of these saccharides. One of the most important features is the conformation of the L-IdoA 2-SO3- residue. Three forms, namely 1C4, 4C1 and 2S0, can be present in aqueous solutions, the populations of these conformers depend upon the neighboring units and the sulfation of this residue itself [3,4]. In heparin, only two conformations are present, 1C4 and 2S0, and the chair 1C4 form is more abundant (about 60%).
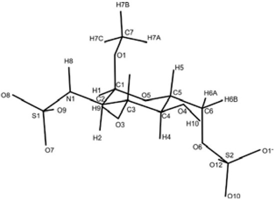
The details of geometry and conformational equilibrium in the monosaccharide residues that constitute the heparin-like compounds are discussed in this paper. Both ab initio and the DFT analysis of the sodium forms of two sulfated monosaccharides GlcN,6-SO3- (Figure 1) and IdoA 2-SO3- (Figure 2a, Figure 2b) have been used to compute the structure and energies of the most stable conformers and to estimate the high of the energy barrier between the interconverting conformers of the IdoA 2-SO3- residue. The computed structures are discussed and compared with the crystal data of relevant structures [8,9,10,11,18].
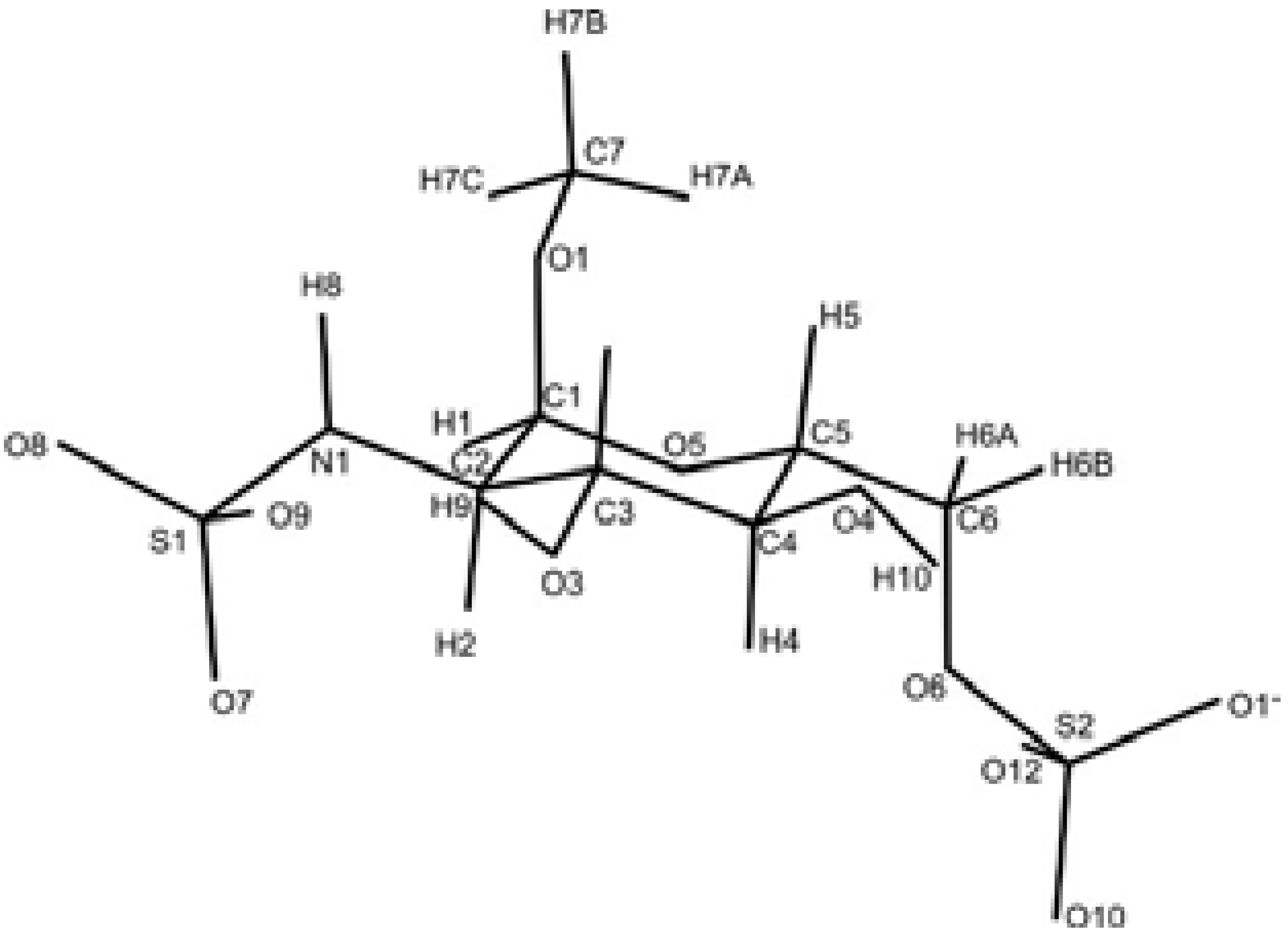
Figure 1.
GlcN,6-SO3-
Figure 1.
GlcN,6-SO3-

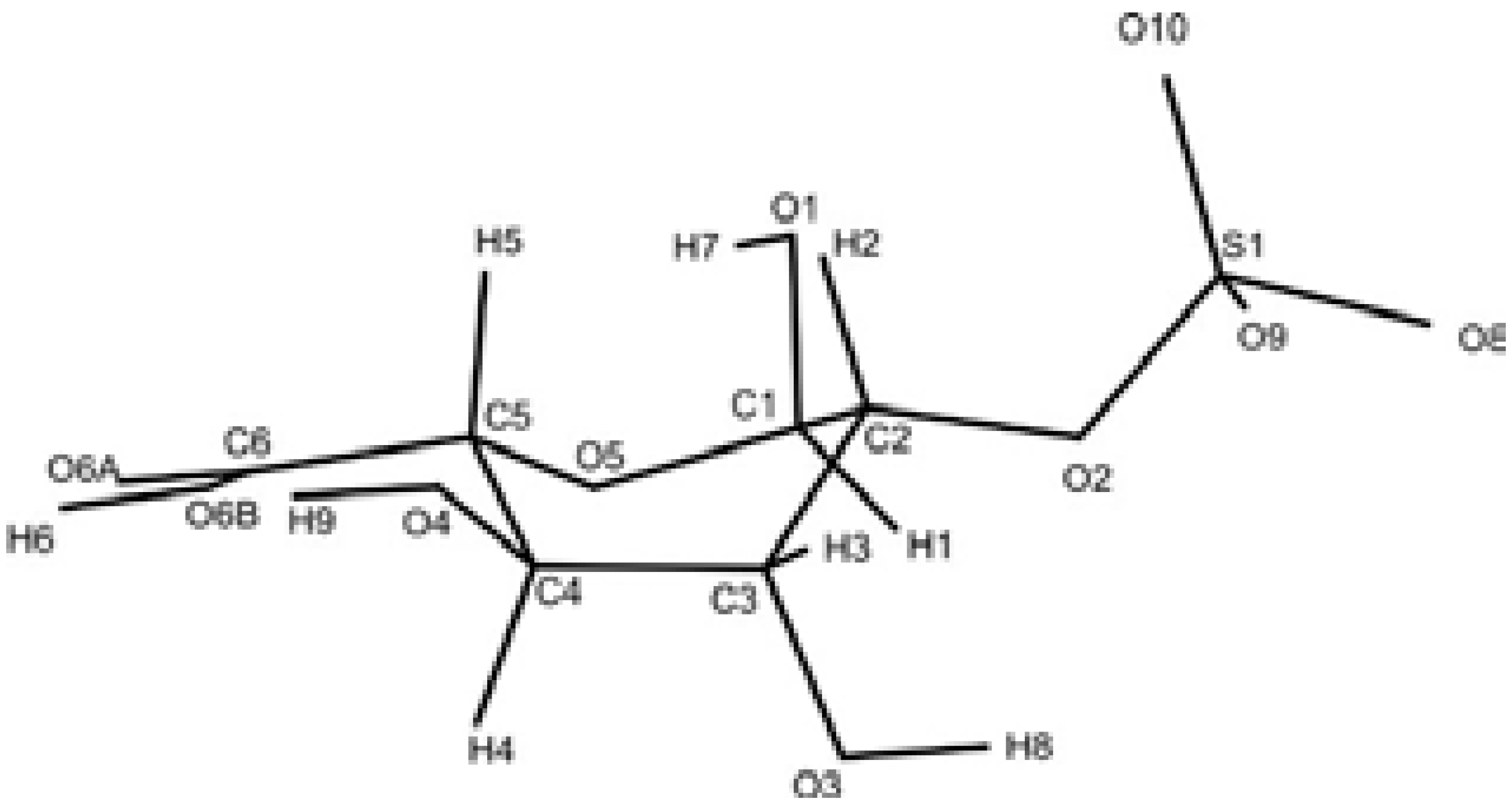
Figure 2a.
IdoA2-SO3- (1C4)
Figure 2a.
IdoA2-SO3- (1C4)

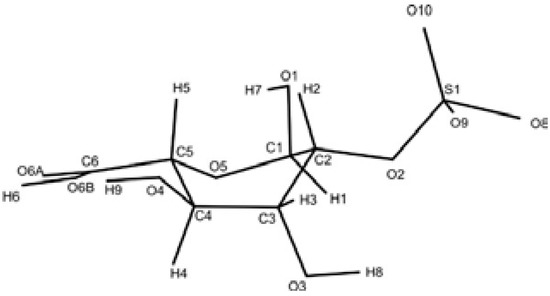
Figure 2b.
IdoA2-SO3- (2S0)
Figure 2b.
IdoA2-SO3- (2S0)

Computational details
Quantum-chemical calculations were performed using the GAUSSIAN 98 program [12] at the restricted HF (Hartree-Fock) [13] and B3LYP (Becke’s Three Parameter Hybrid Functional using the LYP correlation functional) [14] levels of the theory. The atomic basis sets of the 6-31G* and 6-31+G** quality were used in the calculations. [15] The structure of monosaccharides (IdoA2-SO3 in 1C4 to 2S0 conformations and GlcN,6-SO3) was taken from a previous study [16]. The geometry of monosaccharides was fully optimized at the restricted HF/6-31G* level of theory. The effect of solvent was estimated by the PCM model [17]. The energy profile of the interconversion of the 1C4 to 2S0 forms in the IdoA2-SO3 residue was determined by the B3LYP method.
Results and Discussion
Computed selected bond lengths, bond angles and torsion angles are summarized in Table 1, Table 2, Table 3, Table 4, Table 5 and Table 6. The data obtained for GlcN,6-SO3 were compared with the structures of the related 2-amino-2-deoxy-β-D-glucopyranose 6-sulfate [8,10] and 2-sulfamino-2-deoxy-α-D-glucopyranose derivatives [11] in the solid-state. Summarized data show a good agreement between the calculated and experimental values. The optimized bond lengths varied up to 0.055 Å with respect to solid-state data except for the C1-O1 bond. The latter distance disagreed with the experimental values due to the different configuration at the anomeric centre. The largest deviations in bond angles were observed for the N1-S1-O9 angle (1.8º) in the sulfamino group from the same reasons. The molecular geometry of the 6-O sulfate group indicates that S2-O11 and S2-O12 are double bonds (1.425 and 1.461 in gaseous phase and 1.441 and 1.445 in solvent phase) and S-O10 (1.468 in gaseous and 1.447 in solvent) is a single-bond type. This result is comparable with the experimental data [8,10]. On the other hand, in the sulfamino group, only S1-O8 bond has a double character and the other two S-O bonds share the negative showing and have longer S-O distances. This evidence is also in a good agreement with the experimental data [11]. The torsion angles are the most critical because are very sensitive to the calculation method used and the presence of substituents. Selected values listed in Table 3 clearly show that these also parameters have been computed with high reliability. The 6-O sulfate group torsion angles are in very good agreement with experimental data. The values of the torsion angles O10-S2-O6-C6, O11-S2-O6-C6 and O12-S2-O6-C6 being –171.02, 66.83 and –54.92, respectively for the solvent phase against –171.8, 68.6 and –53.0 respectively obtained experimentally (Table 3).
Table 1.
Selected optimized calculated and experimental bond lengths for GlcN,6-SO3 (in Å).
| Bond | Gas. phase | Solvent phase | Experiment a) | |
|---|---|---|---|---|
| N1-C2 | 1.449 | 1.459 | 1.504(9)b) | |
| C1-C2 | 1.527 | 1.527 | 1.508(10) b) | |
| C2-C3 | 1.531 | 1.533 | 1.536(9) b) | |
| C3-C4 | 1.519 | 1.520 | 1.507(9) b) | |
| C4-C5 | 1.526 | 1.530 | 1.515(10) b) | |
| C5-O5 | 1.409 | 1.417 | 1.434(8) | |
| C1-O5 | 1.389 | 1.380 | 1.426(7) | |
| C1-O1 | 1.385 | 1.394 | 1.382(10) b) | |
| C3-O3 | 1.422 | 1.418 | 1.426(9) b) | |
| C4-O4 | 1.398 | 1.389 | 1.410(9) | |
| C5-C6 | 1.513 | 1.518 | 1.521(8) | |
| C6-O6 | 1.423 | 1.422 | 1.436(7) | |
| S2-O6 | 1.586 | 1.597 | 1.592(4) | |
| S2-O10 | 1.468 | 1.447 | 1.450(5) | |
| S2-O11 | 1.425 | 1.441 | 1.424(5) | |
| S2-O12 | 1.461 | 1.445 | 1.433(5) | |
| S1-N1 | 1.654 | 1.652 | 1.638b) | |
| S1-O7 | 1.466 | 1.464 | 1.466b) | |
| S1-O8 | 1.425 | 1.436 | 1.446b) | |
| S1-O9 | 1.481 | 1.475 | 1.457b) | |
a) taken from [8] b) taken from [11]
Table 2.
Selected optimized and experimental bond angles for GlcN,6-SO3 (in degrees).
| Bond angle | Gas. phase | Solvent phase | Experiment a) | |
|---|---|---|---|---|
| O5-C1-C2 | 110.77 | 110.80 | 110.0(6) b) | |
| O5-C1-O1 | 112.34 | 112.77 | 112.2(6) b) | |
| O1-C1-C2 | 107.74 | 107.59 | 109.9(6) b) | |
| C1-C2-C3 | 108.97 | 110.23 | 111.8(5) b) | |
| C1-C2-N1 | 108.53 | 108.94 | 109.9(6) b) | |
| S2-O6-C6 | 118.04 | 118.12 | 116.3(3) | |
| O6-S2-O10 | 102.41 | 103.81 | 101.4(3) | |
| O6-S2-O12 | 105.51 | 105.58 | 106.7(3) | |
| O6-S2-O11 | 106.30 | 105.51 | 106.1(3) | |
| N1-S1-O7 | 103.47 | 103.81 | 102.1b) | |
| N1-S1-O9 | 108.04 | 109.33 | 111.3 b) | |
| N1-S1-O8 | 105.75 | 105.37 | 106.0 b) | |
| S1-N1-C2 | 122.31 | 123.39 | 118.04 b) | |
| N1-C2-C3 | 116.22 | 115.53 | 111.4(5) b) | |
| C2-C3-C4 | 110.36 | 110.96 | 108.3(6) | |
| C2-C3-O3 | 112.24 | 110.24 | 107.2(5) | |
| O3-C3-C4 | 106.98 | 108.25 | 113.5(5) | |
| C3-C4-O4 | 110.99 | 108.41 | 112.6(6) | |
| O4-C4-C5 | 107.00 | 110.18 | 108.4(5) | |
| C4-C5-O5 | 110.77 | 110.61 | 109.9(5) | |
| C4-C5-C6 | 112.88 | 113.76 | 110.8(5) | |
| C6-C5-O5 | 107.55 | 108.24 | 108.3(5) | |
| C5-O5-C1 | 116.82 | 116.44 | 112.6(5) | |
| C5-C6-O6 | 108.12 | 112.04 | 107.3(4) | |
a) taken from [8]; b) taken from [11]
Table 3.
Selected optimized and experimental torsion angles for GlcN,6-SO3 (in degrees).
| Torsion angles | gas. phase | Solvent phase | Experimenta,b) |
|---|---|---|---|
| N1-C2-C3-O3 | 63,36 | 64.08 | 63.2(7)b |
| O3-C3-C5-O4 | -65.94 | -66.38 | -68.1(7)b |
| C2-C3-C4-C5 | 53.10 | 52.07 | 53.5(7) |
| C3-C4-C5-O5 | -51.76 | -53.28 | -57.7(7) |
| C6-C5-O5-C1 | -179.86 | -175.95 | -174.(5) |
| O10-S2-O6-C6 | -173,21 | -171.02 | -171.8(5) |
| O11- S2-O6-C6 | 68,38 | 66.83 | 68.6(5) |
| O12- S2-O6-C6 | -54,89 | -54.92 | -53.0(5) |
a) taken from [8] ,b) taken from [11]
Table 4.
Selected optimized and experimental bond lengths for IdoA2-SO3 (in Å).
| Bond | Gas.phase H-form (C4) | Experiment a) (1C4) | Solvent phase Na- form (2S0) |
|---|---|---|---|
| C1-C2 | 1.531 | 1.515(7) | 1.538 |
| C2-C3 | 1.533 | 1.529(7) | 1.524 |
| C3-C4 | 1.529 | 1.532(7) | 1.532 |
| C4-C5 | 1.535 | 1.535(6) | 1.544 |
| C5-O5 | 1.391 | 1.406(5) | 1.427 |
| C1-O5 | 1.388 | 1.425(5) | 1.365 |
| C1-O1 | 1.380 | 1.381(6) | 1.412 |
| C3-O3 | 1.415 | 1.441(6) | 1.414 |
| C4-O4 | 1.396 | 1.439(5) | 1.393 |
| C5-C6 | 1.518 | 1.516(6) | 1.561 |
| S1-O2 | 1.56 | 1.58(1)b) | 1.60 |
| S1-O8 | 1.41 | 1.45(1)b) | 1.45 |
| S1-O9 | 1.58 | 1.44(2)b) | 1.45 |
| S1-O10 | 1.41 | 1.43(1)b) | 1.45 |
a) taken from [18] b) taken from [9]
Table 5.
Selected optimized and experimental bond angles for IdoA2-SO3 (in degrees).
| Bond angle | Gas. Phase H-form (C4) | Experiment a) (1C4) | Solvent phase Na- form (2S0) |
|---|---|---|---|
| O5-C1-C2 | 110.2 | 111.1(4) | 111.1 |
| O5-C1-O1 | 113.4 | 109.9(3) | 110.3 |
| O1-C1-C2 | 110.8 | 109.9(4) | 108.9 |
| C1-C2-C3 | 111.4 | 111.1(4) | 109.2 |
| S1-O2-C2 | 120.0 | 118.1(6)b) | 123.0 |
| O2-S1-O8 | 101.6 | 101.7(3)b) | 102.6 |
| O2-S1-O9 | 109.4 | 107.3(4)b) | 106.1 |
| O2-S1-O10 | 106.8 | 106.3(5)b) | 106.2 |
| C2-C3-C4 | 113.0 | 114.0(4) | 111.6 |
| C2-C3-O3 | 107.4 | 106.2(4) | 109.8 |
| O3-C3-C4 | 106.7 | 106.2(4) | 111.3 |
| C3-C4-O4 | 107.5 | 107.0(4) | 106.7 |
| O4-C4-C5 | 112.1 | 108.1(3) | 114.8 |
| C4-C5-O5 | 112.1 | 111.3(3) | 109.9 |
| C4-C5-C6 | 112.6 | 112.9(3) | 117.1 |
| C6-C5-O5 | 106.8 | 107.2(3) | 108.0 |
| C5-O5-C1 | 116.5 | 110.0(6) | 114.8 |
| C5-C6-O6 | 110.9 | 107.1(4) | 114.4 |
a) taken from [18] b) taken from [9]
Table 6.
Selected optimized and experimental torsion angles for IdoA2-SO3 (in degrees).
| Torsion angles | Gas phase H-form (1C4) | Experiment a) (1C4) | Solvent phase Na- form (2S0) |
|---|---|---|---|
| O5-C1-C2-C3 | -51.5 | -52.9 | 26.4 |
| C1-C2-C3-O3 | -70.4 | -73.8 | 175.4 |
| C2-C3-C4-O4 | 76.8 | 74.4 | 152.9 |
| O3-C3-C4-C5 | 72.3 | 73.8 | 151.6 |
| C3-C4-C5-C6 | 170.5 | 175.8 | 156.3 |
| C6-C5-O5-C1 | 176.1 | 170.3 | 158.0 |
| O5-C1-C2-O2 | 68.9 | 66.6 | 142.2 |
| C2-C1-O5-C5 | 60.1 | 65.9 | 39.6 |
| C1-C2-C3-C4 | 46.9 | 42.8 | -60.7 |
| C2-C3-C4-C5 | -45.4 | -42.8 | 28.6 |
| C4-C5-O5-C1 | -60.2 | -66.6 | -73.5 |
| O8-S1-O2-C2 | -172.6 | - | -170.6 |
| O9-S1-O2-C2 | 49.3 | - | -46.7 |
| O10-S1-O2-C2 | -64.1 | - | 67.5 |
a) taken from [18]
The structure of the IdoA2-SO3- Na+ was computed next. In the case of the ionized form, the starting 1C4 form converted to the skewed 2S0 conformation during the minimization procedure. This unexpected observation was further verified by the B3LYP/6-31G* method. Closer inspection of optimization path from 1C4 to 2S0 revealed that the reason for the inter-conversion is the simultaneous electrostatic interaction of Na+ cation with two oxygen atoms of the -SO3- group (O9 and O10) and O1 atom of the neighboring –OH group. This interaction stabilizes the skewed boat structure. However, quite importantly, such interaction is highly suppressed in aqueous solution what is in agreement with experimental data where the chair form is the prevailing one in the methyl glycoside of the IdoA residue [3].
When the ionic form was replaced by the acidic form (with H+ instead of Na+), i.e. a structure with both –COOH and –SO3H groups, both 1C4 and 2S0 conformers were found as the stable minima. These minima were separated by 3.7 kcal/mol barrier (B3LYP/6-31+G**//B3LYP/6-31G* + ZPE level of theory, Table 7), the skewed boat structure being more stable. The energy difference between the 2S0 and 1C4 was 1.1 kcal/mol. The small barrier height is in agreement with experimental observations where conformational equilibriums have been observed in heparin-like compounds [4]. If the SO3H group was replaced by the OH group, most stable conformer is chair and chair-twist boat barrier is quite high (Table 8).
Table 7.
Calculated energies of the H-form of IdoA2-SO3H [Hartree], relative energies [kcal/mol] in gaseous phase and solvatation energies and relative energies [kcal/mol] in water.
| Structure | HF/631G* | ZPE a) | B3LYP/631G* | B3LYP/631+G** | Erelb) | ΔGsolv | Erel solventb) |
|---|---|---|---|---|---|---|---|
| TS | -1379.066019 | 120.0 | -1384.966131 | -1385.053174 | 3.7 | -28.7 | 2.8 |
| 4C1 | -1379.073618 | 119.7 | -1384.970409 | -1385.056847 | 1.1 | -29.2 | 0.0 |
| 2S0 | -1379.073696 | 120.0 | -1384.974755 | -1385.059127 | 0.0 | -26.5 | 1.3 |
a)HF frequencies were scaled down by 0.9
b)relative energy at the B3LYP/6-31+G**//B3LYP/6-31G* + ZPE level of theory
Table 8.
Vacuum and solvent properties of IdoA2OH. All energies in kcal/mol. Relative energies do not include zero-point energy.
| Structure | vacuum | solvent | |
|---|---|---|---|
| Erel(B3LYP/6-31+G**// B3LYP/6-31G*) | Esolv | Erel (B3LYP/6-31+G**// B3LYP/6-31G*) | |
| TS | 15.1 | -30.1 | 7.2 |
| 4C1 | 0.0 | -22.3 | 0.0 |
| 2S0 | 7.4 | -27.9 | 1.8 |
Conclusions
The computed optimized structures of sulfated monosaccharides are presented. The theoretical distances, bond angles and torsion angles data are in good agreement with experimental data of structurally-related monosaccharides. HF/6-31G* seems a sufficient method for calculation [19] (B3LYP results are very similar to HF ones). In the IdoA2-SO3- residue, the electrostatic interaction of Na+ cation with two oxygen atoms of –SO3 group (O9 and O10) and O1 atom of neighboring –OH group appears to stabilize the skew-boat conformation. However, as the solvent plays an important role in suppressing these interactions, solvent effect may result in the reversed order of conformers and requires further studies. The computed low conformational barrier is in agreement with experiments where this monosaccharide unit was found flexible in various sulfated saccharides [3,4].
References
- Casu, B. Adv. Carbohydr. Chem. Biochem. 1985, 43, 51–134.
- Conrad, H.E. Heparin-Binding Proteins; Academic Press: San Diego, 1998. [Google Scholar]
- Ferro, D.F.; Provasoli, A.; Ragazzi, M.; Torri, G.; Casu, B.; Gatti, G.; Jacquinet, J.-C.; Sinay, P.; Petitou, M.; Choay, J. J. Am. Chem. Soc. 1986, 108, 6773–6778.
- Ragazzi, M.; Ferro, D.F.; Perly, B.; Sinay, P.; Petitou, M.; Choay, J. Carbohydr. Res. 1990, 195, 169–185.
- Mulloy, B.; Forster, M.J.; Jones, C.; Davies, D.B. Biochem J. 1993, 293, 849–858.
- Torri, G.; Casu, B.; Gatti, G.; Petitou, M.; Choay, J.; Jacquinet, J.-C.; Sinay, P. Biochem. Biophys. Res. Commun. 1985, 128, 134–140.
- Hricovíni, M.; Nieto, P.M.; Torri, G. NMR Spectroscopy of Glycoconjugates; Jimenez-Barbero, J., Peters, T., Eds.; Wiley-VCH: Weiheim, 2002; pp. 189–229. [Google Scholar]
- Lamba, D.; Mackie, W.; Sheldrick, B.; Belton, P.; Tanner, S. Carbohydr. Res. 1988, 180, 183–193.
- Lamba, D.; Mackie, W.; Rashid, A.; Sheldrick, B.; Yates, E.A. Carbohydr. Res. 1993, 241, 89–98.
- Ojala, W.H.; Albers, K.E.; Gleason, W.B.; Choo, C.G. Carbohydr. Res. 1995, 275, 49–65.
- Yates, E.A.; Mackie, W.; Lamba, D. Int. J. Biol. Macromol. 1995, 17, 219–223.
- Frisch, M. J.; Trucks, G. W.; Schlegel, H. B.; Scuseria, G. E.; Robb, M. A.; Cheeseman, J. R.; Zakrzewski, V. G.; Montgomery Jr, J. A.; Stratmann, R. E.; Burant, J. C.; Dapprich, S.; Millam, J. M.; Daniels, A. D.; Kudin, K. N.; Strain, M. C.; Farkas, O.; Tomasi, J.; Barone, V.; Cossi, M.; Cammi, R.; Mennucci, B.; Pomelli, C.; Adamo, C.; Clifford, S.; Ochterski, J.; Petersson, G. A.; Ayala, P. Y.; Cui, Q.; Morokuma, K.; Malick, D. K.; Rabuck, A. D.; Raghavachari, K.; Foresman, J. B.; Cioslowski, J.; Ortiz, J. V.; Baboul, A. G.; Stefanov, B. B.; Liu, G.; Liashenko, M. W.; Piskorz, P.; Komaromi, I.; Gomperts, R.; Martin, R. L.; Fox, D. J.; Keith, T.; Al-Laham, T.; Peng, C. Y.; Nanayakkara, A.; Gonzalez, C.; Challacombe, M.; Gill, P. M. W.; Johnson, B.; Chen, W.; Wong, M. W.; Andres, J. L.; Gonzalez, C.; Head-Gordon, M.; Replogle, E. S.; Pople, J. A. Gaussian 98; Revision A.7, Gaussian, Inc., Pittsburgh PA; 1998. [Google Scholar]
- Roothan, C. C. J. Rev. Mod. Phys. 1951, 23, 69.
- Becke, A. D. J. Chem. Phys. 1998, 98, 5648–5652.
- Henre, W. J.; Ditchfield, R.; Pople, J. Ab initio Molecular Orbital Theory; Wiley: New York, 1986. [Google Scholar]
- Hricovíni, M.; Guerrini, M.; Bisio, A. Eur. J. Biochem. 1999, 261, 789–801.
- Miertuš, S.; Srocco, E.; Tomasi, J. Chem. Phys. 1981, 55, 117.
- Whitfield, D.M.; Birnbaum, G.I.; Pang, H.; Baptista, J.; Sarkar, B. J.Carbohydrate Chemistry 1991, 10, 329–348.
- Czonka, G. I.; Elias, K.; Czizmadia, I.G. Chem. Phys. Lett. 1996, 257, 49–60.
- Sample Avalability: Not available
© 2003 by MDPI ( http://www.mdpi.org). Reproduction is permitted for noncommercial purposes.