Electron Beam Irradiation-Induced Defects Enhance Pt-TiO2 Photothermal Catalytic Degradation in PAEs: A Performance and Mechanism Study
Abstract
1. Introduction
2. Results and Discussion
2.1. Structure Characterization
2.2. Oxygen Vacancy Identification and Electronic Structure Evaluation
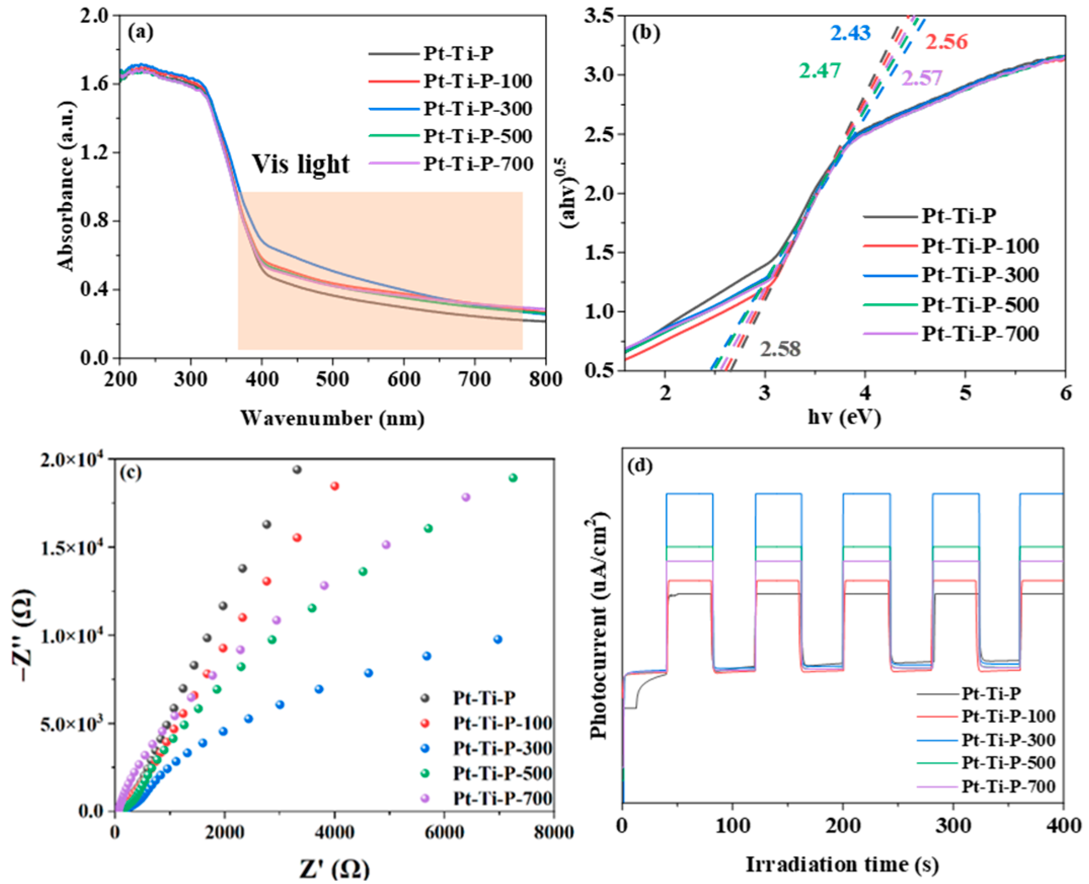
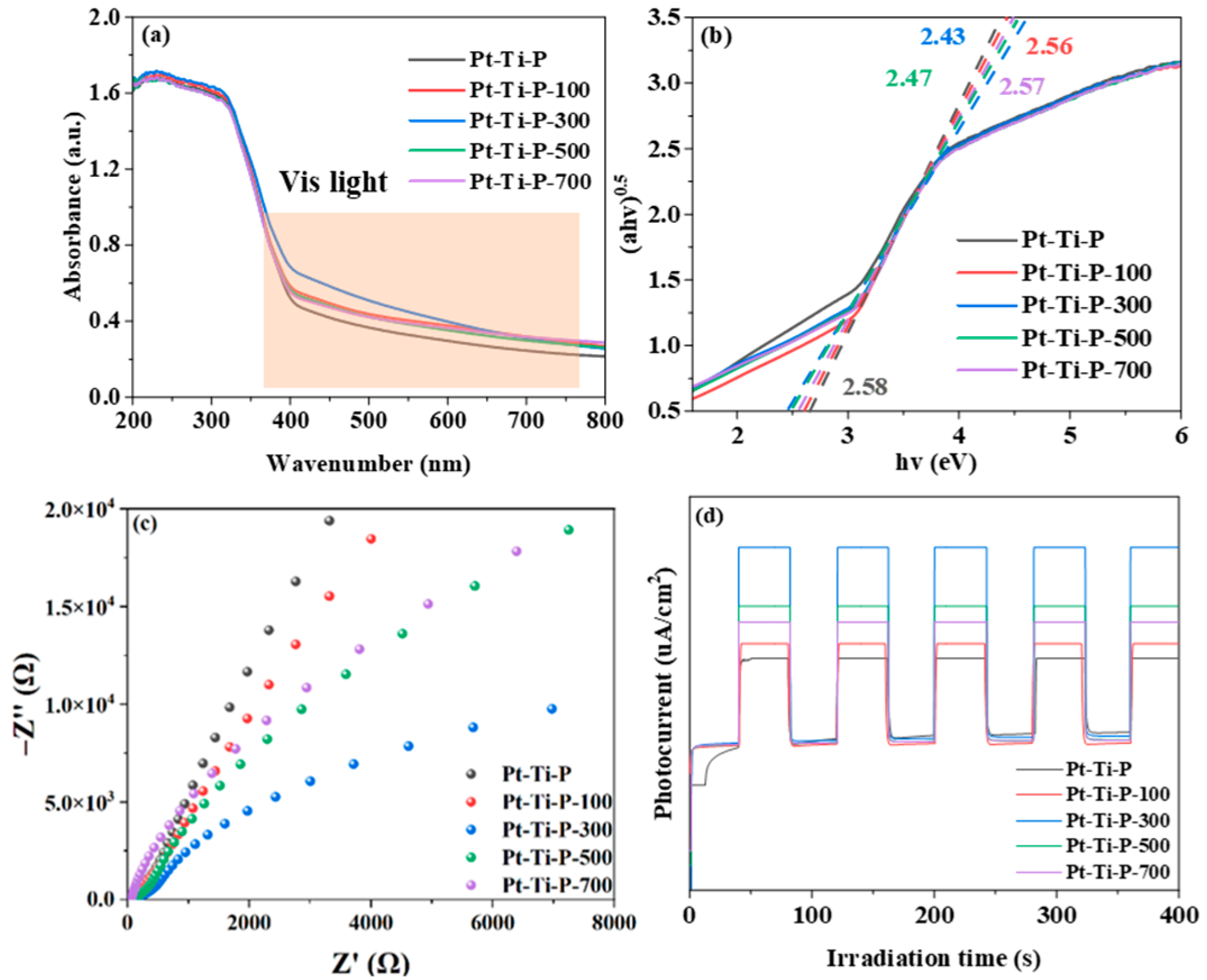
2.3. Detection of Optical Properties
2.4. Catalytic Activity
2.5. Intermediates and Reaction Mechanism
3. Experimental Method
3.1. Chemicals and Reagents
3.2. Catalyst Preparation
3.2.1. Modification of TiO2 by Electron Beam Irradiation
3.2.2. Preparation of the Pt-Ti-P and Pt-Ti-P-x Catalysts
3.2.3. Methods for PAE Loading
3.3. Structural Characterization
3.4. Catalytic Reaction
3.4.1. Photocatalytic Experiments
3.4.2. Photothermal Catalytic Experiments
4. Conclusions
Author Contributions
Funding
Institutional Review Board Statement
Informed Consent Statement
Data Availability Statement
Conflicts of Interest
References
- Pastor, E.; Sachs, M.; Selim, S.; Durrant, J.R.; Bakulin, A.A.; Walsh, A. Electronic Defects in Metal Oxide Photocatalysts. Nat. Rev. Mater. 2022, 7, 503–521. [Google Scholar] [CrossRef]
- Yan, D.; Xia, C.; Zhang, W.; Hu, Q.; He, C.; Xia, B.Y.; Wang, S. Cation Defect Engineering of Transition Metal Electrocatalysts for Oxygen Evolution Reaction. Adv. Energy Mater. 2022, 12, 2202317. [Google Scholar] [CrossRef]
- Zhang, T.; Wu, S.; Li, N.; Chen, G.; Hou, L. Applications of Vacancy Defect Engineering in Persulfate Activation: Performance and Internal Mechanism. J. Hazard. Mater. 2023, 449, 130971. [Google Scholar] [CrossRef] [PubMed]
- Schaub, R.; Thostrup, P.; Lopez, N.; Lægsgaard, E.; Stensgaard, I.; Nørskov, J.K.; Besenbacher, F. Oxygen Vacancies as Active Sites for Water Dissociation on Rutile TiO2(110). Phys. Rev. Lett. 2001, 87, 266104. [Google Scholar] [CrossRef]
- Liang, Q.; Zhang, Q.; Zhao, X.; Liu, M.; Wee, A.T.S. Defect Engineering of Two-Dimensional Transition-Metal Dichalcogenides: Applications, Challenges, and Opportunities. ACS Nano 2021, 15, 2165–2181. [Google Scholar] [CrossRef]
- Tang, Y.; Yang, C.; Xu, X.; Kang, Y.; Henzie, J.; Que, W.; Yamauchi, Y. MXene Nanoarchitectonics: Defect-Engineered 2D MXenes towards Enhanced Electrochemical Water Splitting. Adv. Energy Mater. 2022, 12, 2103867. [Google Scholar] [CrossRef]
- Zheng, Y.; Slade, T.J.; Hu, L.; Tan, X.Y.; Luo, Y.; Luo, Z.-Z.; Xu, J.; Yan, Q.; Kanatzidis, M.G. Defect Engineering in Thermoelectric Materials: What Have We Learned? Chem. Soc. Rev. 2021, 50, 9022–9054. [Google Scholar] [CrossRef]
- Luo, X.; Zheng, H.; Lai, W.; Yuan, P.; Li, S.; Li, D.; Chen, Y. Defect Engineering of Carbons for Energy Conversion and Storage Applications. Energy Environ. Mater. 2023, 6, e12402. [Google Scholar] [CrossRef]
- Armstrong, M.D.; Lan, K.-W.; Guo, Y.; Perry, N.H. Dislocation-Mediated Conductivity in Oxides: Progress, Challenges, and Opportunities. ACS Nano 2021, 15, 9211–9221. [Google Scholar] [CrossRef] [PubMed]
- Wei, Y.; Zhou, Z.; Fang, W.-H.; Long, R. Grain Boundary Facilitates Photocatalytic Reaction in Rutile TiO2 Despite Fast Charge Recombination: A Time-Domain Ab Initio Analysis. J. Phys. Chem. Lett. 2018, 9, 5884. [Google Scholar] [CrossRef] [PubMed]
- Biswas, S.; Husek, J.; Londo, S.; Baker, L.R. Ultrafast Electron Trapping and Defect-Mediated Recombination in NiO Probed by Femtosecond Extreme Ultraviolet Reflection Absorption Spectroscopy. J. Phys. Chem. Lett. 2018, 9, 5047–5054. [Google Scholar] [CrossRef] [PubMed]
- Zhang, Y.-C.; Afzal, N.; Pan, L.; Zhang, X.; Zou, J.-J. Structure-Activity Relationship of Defective Metal-Based Photocatalysts for Water Splitting: Experimental and Theoretical Perspectives. Adv. Sci. 2019, 6, 1900053. [Google Scholar] [CrossRef]
- Hu, J.; Li, J.; Cui, J.; An, W.; Liu, L.; Liang, Y.; Cui, W. Surface Oxygen Vacancies Enriched FeOOH/Bi2MoO6 Photocatalysis- Fenton Synergy Degradation of Organic Pollutants. J. Hazard. Mater. 2020, 384, 121399. [Google Scholar] [CrossRef] [PubMed]
- Huang, J.; Feng, X.; Bi, F.; Huang, G.; Rao, R.; Qiao, R.; Zhang, X. Strategic Defect Engineering in TiO2 Catalysts through Electron Beam Irradiation: Unraveling Enhanced Photocatalytic Pathways for Multicomponent VOCs Degradation. Sep. Purif. Technol. 2025, 359, 130804. [Google Scholar] [CrossRef]
- Zhang, Y.; Lu, J.; Zhang, L.; Fu, T.; Zhang, J.; Zhu, X.; Gao, X.; He, D.; Luo, Y.; Dionysiou, D.D.; et al. Investigation into the Catalytic Roles of Oxygen Vacancies during Gaseous Styrene Degradation Process via CeO2 Catalysts with Four Different Morphologies. Appl. Catal. B Environ. 2022, 309, 121249. [Google Scholar] [CrossRef]
- Bi, F.; Wei, J.; Gao, B.; Ma, S.; Liu, N.; Xu, J.; Liu, B.; Huang, Y.; Zhang, X. How the Most Neglected Residual Species in MOF-Based Catalysts Involved in Catalytic Reactions to Form Toxic Byproducts. Environ. Sci. Technol. 2024, 58, 19797–19806. [Google Scholar] [CrossRef]
- Lu, Z.; Guo, L.; Bi, F.; Ma, S.; Shen, Q.; Qiao, R.; Zhang, X. Insight into the Degradation Mechanism of Mixed VOCs Oxidation over Pd/UiO-66(Ce) Catalysts: Combination of Operando Spectroscopy and Theoretical Calculation. Sep. Purif. Technol. 2025, 354, 129443. [Google Scholar] [CrossRef]
- Gao, B.; Bi, F.; Zhou, Z.; Zhang, Y.; Wei, J.; Lv, X.; Liu, B.; Huang, Y.; Zhang, X. A Bimetallic MOF-Derived MnCo Spinel Oxide Catalyst to Enhance Toluene Catalytic Degradation. Chem. Commun. 2024, 60, 7455–7458. [Google Scholar] [CrossRef] [PubMed]
- Yang, Y.; Zhao, S.; Cui, L.; Bi, F.; Zhang, Y.; Liu, N.; Wang, Y.; Liu, F.; He, C.; Zhang, X. Recent Advancement and Future Challenges of Photothermal Catalysis for VOCs Elimination: From Catalyst Design to Applications. Green Energy Environ. 2023, 8, 654–672. [Google Scholar] [CrossRef]
- Bi, F.; Wei, J.; Zhou, Z.; Zhang, Y.; Gao, B.; Liu, N.; Xu, J.; Liu, B.; Huang, Y.; Zhang, X. Insight into the Synergistic Effect of Binary Nonmetallic Codoped Co3O4 Catalysts for Efficient Ethyl Acetate Degradation under Humid Conditions. JACS Au 2025, 5, 363–380. [Google Scholar] [CrossRef]
- Bi, F.; Wei, J.; Gao, B.; Liu, N.; Xu, J.; Liu, B.; Huang, Y.; Zhang, X. New Insight into the Antagonism Mechanism between Binary VOCs during Their Degradation over Pd/ZrO2 Catalysts. ACS EST Eng. 2024, 4, 1346–1355. [Google Scholar] [CrossRef]
- Zhao, S.; Yang, Y.; Bi, F.; Chen, Y.; Wu, M.; Zhang, X.; Wang, G. Oxygen Vacancies in the Catalyst: Efficient Degradation of Gaseous Pollutants. Chem. Eng. J. 2023, 454, 140376. [Google Scholar] [CrossRef]
- Wang, S.; Xiong, Z.; Yang, N.; Ding, X.; Chen, H. Iodine-Doping-Assisted Tunable Introduction of Oxygen Vacancies on Bismuth Tungstate Photocatalysts for Highly Efficient Molecular Oxygen Activation and Pentachlorophenol Mineralization. Chin. J. Catal. 2020, 41, 1544–1553. [Google Scholar] [CrossRef]
- Kim, J.-H.; Mirzaei, A.; Kim, H.W.; Kim, S.S. Combination of Pd Loading and Electron Beam Irradiation for Superior Hydrogen Sensing of Electrospun ZnO Nanofibers. Sens. Actuators B Chem. 2019, 284, 628–637. [Google Scholar] [CrossRef]
- Maksov, A.; Dyck, O.; Wang, K.; Xiao, K.; Geohegan, D.B.; Sumpter, B.G.; Vasudevan, R.K.; Jesse, S.; Kalinin, S.V.; Ziatdinov, M. Author Correction: Deep Learning Analysis of Defect and Phase Evolution during Electron Beam-Induced Transformations in WS2. NPJ Comput. Mater. 2020, 6, 1. [Google Scholar] [CrossRef]
- Ding, Y.; Wu, Y.; Zhang, T.; Tao, L.; Liu, X.; Liu, X.; Hu, L.; Hayat, T.; Alsaedi, A.; Dai, S. Colorful TiO2−x Microspheres Cooperating with Titanium Schiff Base Complex for Efficient Visible Light Photocatalysts. Catal. Today 2019, 335, 550–556. [Google Scholar] [CrossRef]
- Li, Y.; Xia, J.; Li, X.; Tian, L.; Qiao, P.; Cao, J.; Zhang, Z.; Meng, Q.; Li, J.; Liu, C.; et al. Atomic-Scale Imaging of Structural Evolution from Anatase TiO2 to Cubic TiO under Electron Beam Irradiation. Nano Today 2024, 59, 102532. [Google Scholar] [CrossRef]
- Zhang, X.; Rao, R.; Gao, B.; Ma, S.; Bi, F.; Li, C.; Zhu, Z.; Liu, N.; Yang, Y.; Wang, Z. Crystal Engineering of TiO2 Enhanced Photothermal Catalytic Degradation of DEHP on Pt Catalysts. Mater. Today Chem. 2023, 34, 101755. [Google Scholar] [CrossRef]
- Liang, Y.; Li, J.; He, Y.; Jiang, Z.; Shangguan, W. Catalytic Oxidation of Dimethyl Phthalate over Titania-Supported Noble Metal Catalysts. J. Hazard. Mater. 2021, 401, 123274. [Google Scholar] [CrossRef] [PubMed]
- Shi, Z.; Lan, L.; Li, Y.; Yang, Y.; Zhang, Q.; Wu, J.; Zhang, G.; Zhao, X. Co3O4/TiO2 Nanocomposite Formation Leads to Improvement in Ultraviolet–Visible-Infrared-Driven Thermocatalytic Activity Due to Photoactivation and Photocatalysis–Thermocatalysis Synergetic Effect. ACS Sustain. Chem. Eng. 2018, 6, 16503–16514. [Google Scholar] [CrossRef]
- Bunaciu, A.A.; UdriŞTioiu, E.G.; Aboul-Enein, H.Y. X-Ray Diffraction: Instrumentation and Applications. Crit. Rev. Anal. Chem. 2015, 45, 289–299. [Google Scholar] [CrossRef]
- Bi, X.; Du, G.; Kalam, A.; Sun, D.; Yu, Y.; Su, Q.; Xu, B.; Al-Sehemi, A.G. Tuning Oxygen Vacancy Content in TiO2 Nanoparticles to Enhance the Photocatalytic Performance. Chem. Eng. Sci. 2021, 234, 116440. [Google Scholar] [CrossRef]
- Shang, H.; Li, M.; Li, H.; Huang, S.; Mao, C.; Ai, Z.; Zhang, L. Oxygen Vacancies Promoted the Selective Photocatalytic Removal of NO with Blue TiO2 via Simultaneous Molecular Oxygen Activation and Photogenerated Hole Annihilation. Environ. Sci. Technol. 2019, 53, 6444–6453. [Google Scholar] [CrossRef]
- Pan, X.; Yang, M.-Q.; Fu, X.; Zhang, N.; Xu, Y.-J. Defective TiO2 with Oxygen Vacancies: Synthesis, Properties and Photocatalytic Applications. Nanoscale 2013, 5, 3601–3614. [Google Scholar] [CrossRef] [PubMed]
- Huang, J.; Wei, J.; Tian, F.; Bi, F.; Rao, R.; Wang, Y.; Tao, H.; Liu, N.; Zhang, X. Nitrogen-Induced TiO2 Electric Field Polarization for Efficient Photodegradation of High-Concentration Ethyl Acetate: Mechanisms and Reaction Pathways. Mater. Today Chem. 2024, 41, 102292. [Google Scholar] [CrossRef]
- Liu, Q.; Wang, F.; Lin, H.; Xie, Y.; Tong, N.; Lin, J.; Zhang, X.; Zhang, Z.; Wang, X. Surface Oxygen Vacancy and Defect Engineering of WO3 for Improved Visible Light Photocatalytic Performance. Catal. Sci. Technol. 2018, 8, 4399–4406. [Google Scholar] [CrossRef]
- Rossella, F.; Galinetto, P.; Mozzati, M.C.; Malavasi, L.; Diaz Fernandez, Y.; Drera, G.; Sangaletti, L. TiO2 Thin Films for Spintronics Application: A Raman Study. J. Raman Spectrosc. 2010, 41, 558–565. [Google Scholar] [CrossRef]
- Yu, J.; Wang, X.; Chen, L.; Lu, G.; Shi, G.; Xie, X.; Wang, Y.; Sun, J. Enhanced Adsorption and Visible-Light Photocatalytic Degradation of Toluene by CQDs/UiO-66 MOG with Hierarchical Pores. Chem. Eng. J. 2022, 435, 135033. [Google Scholar] [CrossRef]
- DeRita, L.; Dai, S.; Lopez, K.; Pham, N.; Pan, X.Q.; Christopher, P. Catalyst Architecture for Stable Single Atom Dispersion Enables Site-Specific Spectroscopic and Reactivity Measurements of CO Adsorbed to Pt Atoms, Oxidized Pt Clusters, and Metallic Pt Clusters on TiO2. J. Am Chem Soc. 2017, 139, 14150–14165. [Google Scholar] [CrossRef] [PubMed]
- Han, B.; Guo, Y.; Huang, Y.; Xi, W.; Xu, J.; Luo, J.; Qi, H.; Ren, Y.; Liu, X.; Qiao, B.; et al. Strong Metal–Support Interactions between Pt Single Atoms and TiO2. Angew. Chem. Int. Ed. 2020, 59, 11824–11829. [Google Scholar] [CrossRef] [PubMed]
- Huang, J.; Chen, T.; Zhao, M.; Yi, P.; Zhao, F.; He, B.; Wang, Y.; Chen, Y.; Liu, X.; Li, Z. Surface Oxygen Vacancies of TiO2 Nanorods by Electron Beam Irradiation for Efficient Photoelectrochemical Water Splitting. Cryst. Eng. Comm 2021, 23, 2952–2960. [Google Scholar] [CrossRef]
- Huang, W.; Zhang, Z.; Xu, J.; Cui, H.; Tang, K.; Crawshaw, D.; Wu, J.; Zhang, X.; Tang, L.; Liu, N. Highly Selective CO2 Conversion to CH4 by a N-Doped HTiNbO5/NH2-UiO-66 Photocatalyst without a Sacrificial Electron Donor. JACS Au 2025. [Google Scholar] [CrossRef]
- Su, Z.; Yang, W.; Wang, C.; Xiong, S.; Cao, X.; Peng, Y.; Si, W.; Weng, Y.; Xue, M.; Li, J. Roles of Oxygen Vacancies in the Bulk and Surface of CeO2 for Toluene Catalytic Combustion. Environ. Sci. Technol. 2020, 54, 12684–12692. [Google Scholar] [CrossRef] [PubMed]
- Jiang, D.; Yuan, H.; Liu, Z.; Chen, Y.; Li, Y.; Zhang, X.; Xue, G.; Liu, H.; Liu, X.; Zhao, L.; et al. Defect-Anchored Single-Atom-Layer Pt Clusters on TiO2−x/Ti for Efficient Hydrogen Evolution via Photothermal Reforming Plastics. Appl. Catal. B Environ. 2023, 339, 123081. [Google Scholar] [CrossRef]
- Xu, M.; Chen, Y.; Qin, J.; Feng, Y.; Li, W.; Chen, W.; Zhu, J.; Li, H.; Bian, Z. Unveiling the Role of Defects on Oxygen Activation and Photodegradation of Organic Pollutants. Environ. Sci. Technol. 2018, 52, 13879–13886. [Google Scholar] [CrossRef]
- Deng, X.; Zhang, H.; Guo, R.; Ma, Q.; Cui, Y.; Cheng, X.; Xie, M.; Cheng, Q. Effect of Ti3+ on Enhancing Photocatalytic and Photoelectrochemical Properties of TiO2 Nanorods/Nanosheets Photoelectrode. Sep. Purif. Technol. 2018, 192, 329–339. [Google Scholar] [CrossRef]
- Zhang, J.; Lei, Y.; Cao, S.; Hu, W.; Piao, L.; Chen, X. Photocatalytic Hydrogen Production from Seawater under Full Solar Spectrum without Sacrificial Reagents Using TiO2 Nanoparticles. Nano Res. 2022, 15, 2013–2022. [Google Scholar] [CrossRef]
- Yang, Y.; Zhao, S.; Bi, F.; Chen, J.; Li, Y.; Cui, L.; Xu, J.; Zhang, X. Oxygen-Vacancy-Induced O2 Activation and Electron-Hole Migration Enhance Photothermal Catalytic Toluene Oxidation. Cell Rep. Phys. Sci. 2022, 3, 101011. [Google Scholar] [CrossRef]
- Qin, S.; Wang, J.; Zhao, C.; Zhang, S. Long-Term, Low Temperature Simulation of Early Diagenetic Alterations of Organic Matter: A FTIR Study. Energy Explor. Exploit. 2010, 28, 365–376. [Google Scholar] [CrossRef]
- Takahashi, S.; Uchida, K.; Kakinuma, N.; Hashimoto, R.; Yanagisawa, T.; Nakagawa, A. The Structures of Pyridovericin and Pyridomacrolidin, New Metabolites from the Entomopathogenic Fungus, Beauveria bassiana. J. Antibiot. 1998, 51, 1051–1054. [Google Scholar] [CrossRef]
- Varga, M.; Izak, T.; Vretenar, V.; Kozak, H.; Holovsky, J.; Artemenko, A.; Hulman, M.; Skakalova, V.; Lee, D.S.; Kromka, A. Diamond/Carbon Nanotube Composites: Raman, FTIR and XPS Spectroscopic Studies. Carbon 2017, 111, 54–61. [Google Scholar] [CrossRef]
- Liu, T.; Hong, X.; Liu, G. In Situ Generation of the Cu@3D-ZrOx Framework Catalyst for Selective Methanol Synthesis from CO2/H2. ACS Catal. 2020, 10, 93–102. [Google Scholar] [CrossRef]
- Xu, X.; Chen, P.; Goodman, D.W. A Comparative Study of the Coadsorption of Carbon Monoxide and Nitric Oxide on Pd(100), Pd(111), and Silica-Supported Palladium Particles with Infrared Reflection-Absorption Spectroscopy. J. Phys. Chem. 1994, 98, 9242–9246. [Google Scholar] [CrossRef]
- Fauge, F.; Lavalley, C. FT-IR Study of Co Adsorption on Sulfided Mo/Al2O3 Unpromoted or Promoted by Metal Carbonyls: Titration of Sites. J. Catal. 1992, 137, 69–76. [Google Scholar] [CrossRef]
- Wu, W.-C.; Liao, L.-F.; Lien, C.-F.; Lin, J.-L. FTIR Study of Adsorption, Thermal Reactions and Photochemistry of Benzene on Powdered TiO2. Phys. Chem. Chem. Phys. 2001, 3, 4456–4461. [Google Scholar] [CrossRef]
- Du, Y.; Wang, H.; Chen, S. Study on Alkylation of Benzene with Ethylene over β-Zeolite Catalyst to Ethylbenzene by in Situ IR. J. Mol. Catal. Chem. 2002, 179, 253–261. [Google Scholar] [CrossRef]
- Liu, J.; Wang, P.; Qu, W.; Li, H.; Shi, L.; Zhang, D. Nanodiamond-Decorated ZnO Catalysts with Enhanced Photocorrosion-Resistance for Photocatalytic Degradation of Gaseous Toluene. Appl. Catal. B Environ. 2019, 257, 117880. [Google Scholar] [CrossRef]
- Huang, Z.; Wu, P.; Lu, Y.; Wang, X.; Zhu, N.; Dang, Z. Enhancement of Photocatalytic Degradation of Dimethyl Phthalate with Nano-TiO2 Immobilized onto Hydrophobic Layered Double Hydroxides: A Mechanism Study. J. Hazard. Mater. 2013, 246–247, 70–78. [Google Scholar] [CrossRef]
- Siesler, H.W. Rheo-Optical Fourier-Transform Infrared Spectroscopy (FTIRS) of Polymers—6: Changes of Crystal-Axes Orientation and State of Order during Uniaxial Elongation of High-Density Polyethylene. Infrared Phys. 1984, 24, 239–244. [Google Scholar] [CrossRef]
- Dacrory, S.; Fahim, A.M. Synthesis, Anti-Proliferative Activity, Computational Studies of Tetrazole Cellulose Utilizing Different Homogenous Catalyst. Carbohydr. Polym. 2020, 229, 115537. [Google Scholar] [CrossRef] [PubMed]
- Hauchecorne, B.; Terrens, D.; Verbruggen, S.; Martens, J.A.; Van Langenhove, H.; Demeestere, K.; Lenaerts, S. Elucidating the Photocatalytic Degradation Pathway of Acetaldehyde: An FTIR in Situ Study under Atmospheric Conditions. Appl. Catal. B Environ. 2011, 106, 630–638. [Google Scholar] [CrossRef]
- Vassallo, A.M.; Pang, L.S.K.; Cole-Clarke, P.A.; Wilson, M.A. Emission FTIR Study of C60 Thermal Stability and Oxidation. J. Am. Chem. Soc. 1991, 113, 7820–7821. [Google Scholar] [CrossRef]
- Ma, J.; Zhu, C.; Lu, J.; Lei, Y.; Wang, J.; Chen, T. Photochemical Reaction between Triclosan and Nitrous Acid in the Atmospheric Aqueous Environment. Atmos. Environ. 2017, 157, 38–48. [Google Scholar] [CrossRef]
- An, T.; Gao, Y.; Li, G.; Kamat, P.V.; Peller, J.; Joyce, M.V. Kinetics and Mechanism of •OH Mediated Degradation of Dimethyl Phthalate in Aqueous Solution: Experimental and Theoretical Studies. Environ. Sci. Technol. 2014, 48, 641–648. [Google Scholar] [CrossRef] [PubMed]
- Andrés, G.O.; Granados, A.M.; de Rossi, R.H. Kinetic Study of the Hydrolysis of Phthalic Anhydride and Aryl Hydrogen Phthalates. J. Org. Chem. 2001, 66, 7653–7657. [Google Scholar] [CrossRef] [PubMed]









| Sample | SBET (m2/g) | Vtatol (cc/g) | D (nm) | XPS | ||
|---|---|---|---|---|---|---|
| PtOx/Pttotal | Oads/Olatt | Ti3+/Ti4+ | ||||
| Pt-Ti-P | 52.0 | 0.23 | 2.5–10 | 0.96 | 0.186 | 0.15 |
| Pt-Ti-P-100 | 55.9 | 0.18 | 2.5–9.6 | 0.96 | 0.193 | 0.18 |
| Pt-Ti-P-300 | 51.9 | 0.42 | 2.5–9.3 | 0.99 | 0.233 | 0.22 |
| Pt-Ti-P-500 | 54.2 | 0.39 | 2.5–9.5 | 0.98 | 0.205 | 0.18 |
| Pt-Ti-P-700 | 55.4 | 0.45 | 2.5–10 | 0.97 | 0.199 | 0.17 |
| Number | Time (min) | Compound Name | Molecular Formula |
|---|---|---|---|
| (1) | 5.2 | Acetone | C3H6O |
| (2) | 6.2 | Hexane | C6H14 |
| (3) | 9.0 | Benzoic acid | C7H6O2 |
| (4) | 9.8 | Toluene | C7H8 |
| (5) | 10.8 | Benzene | C6H6 |
| (6) | 12.0 | 4-Methyl-3-penten-2-one | C6H10O |
| (7) | 15.0 | O-Xylene | C8H10 |
| (8) | 15.5 | Paraxylene | C8H10 |
| (9) | 25.5 | Phthalic anhydride | C8H4O3 |
| (10) | 29.6 | Phthalic acid | C8H6O4 |
| (11) | 33.8 | Methyl benzoate | C8H8O2 |
| (12) | 36.0 | Dimethyl phthalate | C10H10O4 |
| (13) | 37.0 | Dimethyl 5-methylisophthalate | C11H12O4 |
Disclaimer/Publisher’s Note: The statements, opinions and data contained in all publications are solely those of the individual author(s) and contributor(s) and not of MDPI and/or the editor(s). MDPI and/or the editor(s) disclaim responsibility for any injury to people or property resulting from any ideas, methods, instructions or products referred to in the content. |
© 2025 by the authors. Licensee MDPI, Basel, Switzerland. This article is an open access article distributed under the terms and conditions of the Creative Commons Attribution (CC BY) license (https://creativecommons.org/licenses/by/4.0/).
Share and Cite
Bi, F.; Zhang, Y.; Zhou, Z.; Guo, L.; Zhu, Z.; Liu, B.; Zhang, X. Electron Beam Irradiation-Induced Defects Enhance Pt-TiO2 Photothermal Catalytic Degradation in PAEs: A Performance and Mechanism Study. Molecules 2025, 30, 697. https://doi.org/10.3390/molecules30030697
Bi F, Zhang Y, Zhou Z, Guo L, Zhu Z, Liu B, Zhang X. Electron Beam Irradiation-Induced Defects Enhance Pt-TiO2 Photothermal Catalytic Degradation in PAEs: A Performance and Mechanism Study. Molecules. 2025; 30(3):697. https://doi.org/10.3390/molecules30030697
Chicago/Turabian StyleBi, Fukun, Yaofei Zhang, Zhuoxuan Zhou, Lei Guo, Ziqiao Zhu, Baolin Liu, and Xiaodong Zhang. 2025. "Electron Beam Irradiation-Induced Defects Enhance Pt-TiO2 Photothermal Catalytic Degradation in PAEs: A Performance and Mechanism Study" Molecules 30, no. 3: 697. https://doi.org/10.3390/molecules30030697
APA StyleBi, F., Zhang, Y., Zhou, Z., Guo, L., Zhu, Z., Liu, B., & Zhang, X. (2025). Electron Beam Irradiation-Induced Defects Enhance Pt-TiO2 Photothermal Catalytic Degradation in PAEs: A Performance and Mechanism Study. Molecules, 30(3), 697. https://doi.org/10.3390/molecules30030697

