Effect of Explicit Hydration on the Cisplatin Reaction Mechanism with Adenine and Guanine
Abstract
1. Introduction
2. Results and Discussion
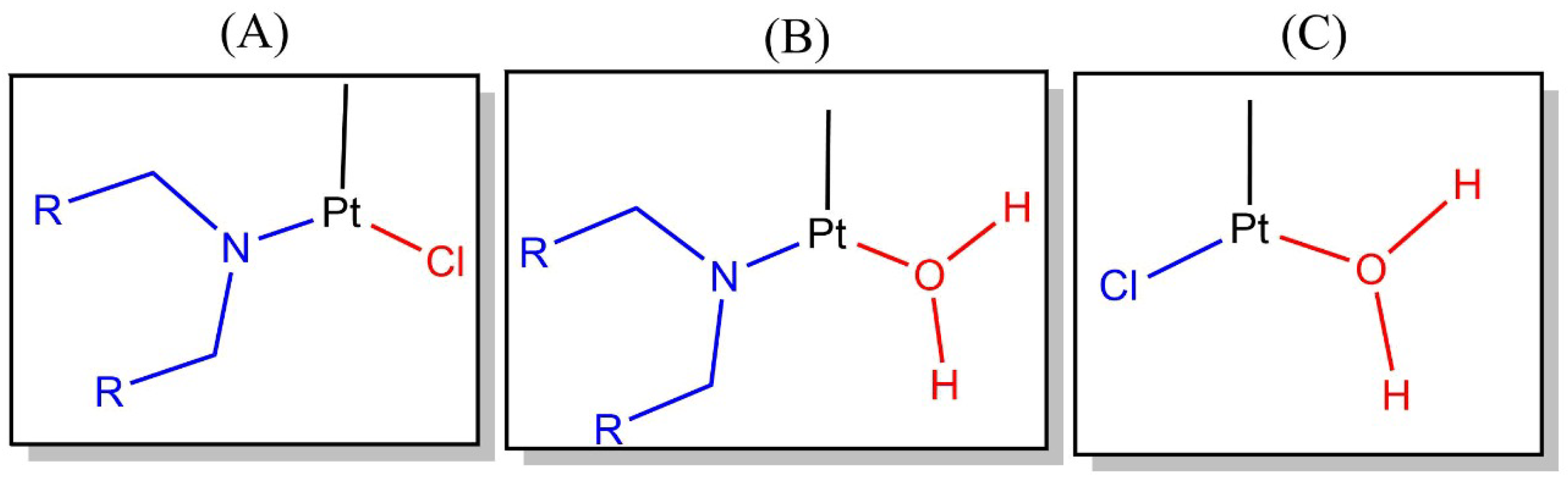
2.1. Monofunctional and Bifunctional Addition of DNA Bases to Cisplatin
2.2. Energetics for the Reaction of Cisplatin with the Bases Adenine and Guanine
2.3. QTAIM and IQA Wave Function Analyses
- the breaking of chemical bonds involves an energy cost, while the formation of these interactions releases energy to the surroundings, and
- the energy of the transition states is higher than that of the reactants in every case (all values of in Table 3),
3. Theoretical Framework
4. Computational Details
5. Conclusions
Supplementary Materials
Author Contributions
Funding
Institutional Review Board Statement
Informed Consent Statement
Data Availability Statement
Conflicts of Interest
References
- Romani, A.M. Cisplatin in cancer treatment. Biochem. Pharmacol. 2022, 206, 115323. [Google Scholar] [CrossRef]
- Rosenberg, B.; Van Camp, L.; Krigas, T. Inhibition of Cell Division in Escherichia coli by Electrolysis Products from a Platinum Electrode. Nature 1965, 205, 698–699. [Google Scholar] [CrossRef] [PubMed]
- de Vries, G.; Rosas-Plaza, X.; van Vugt, M.A.; Gietema, J.A.; de Jong, S. Testicular cancer: Determinants of cisplatin sensitivity and novel therapeutic opportunities. Cancer Treat. Rev. 2020, 88, 102054. [Google Scholar] [CrossRef] [PubMed]
- Meng, F.; Sun, G.; Zhong, M.; Yu, Y.; Brewer, M. Anticancer efficacy of cisplatin and trichostatin A or 5-aza-2′-deoxycytidine on ovarian cancer. Br. J. Cancer 2013, 108, 579–586. [Google Scholar] [CrossRef] [PubMed]
- Go, R.S.; Adjei, A.A. Review of the Comparative Pharmacology and Clinical Activity of Cisplatin and Carboplatin. J. Clin. Oncol. 1999, 17, 409. [Google Scholar] [CrossRef] [PubMed]
- Li, M.; Chen, X.; Wang, X.; Wei, X.; Wang, D.; Liu, X.; Xu, L.; Batu, W.; Li, Y.; Guo, B.; et al. RSL3 enhances the antitumor effect of cisplatin on prostate cancer cells via causing glycolysis dysfunction. Biochem. Pharmacol. 2021, 192, 114741. [Google Scholar] [CrossRef] [PubMed]
- Makovec, T. Cisplatin and beyond: Molecular mechanisms of action and drug resistance development in cancer chemotherapy. J. Radiol. Oncol. 2019, 53, 148–158. [Google Scholar] [CrossRef] [PubMed]
- Mantri, Y.; Baik, M. Computational Studies: Cisplatin; Wiley: Hoboken, NJ, USA, 2005. [Google Scholar] [CrossRef]
- Goodsell, D.S. The Molecular Perspective: Cisplatin. Stem Cells 2006, 24, 514–515. [Google Scholar] [CrossRef]
- Martin, D.S., Jr. Anomalies in ligand exchange reactions for platinum (II) complexes. Inorg. Chim. Acta Rev. 1967, 1, 87–97. [Google Scholar] [CrossRef]
- Atkins, P. Shriver and Atkins’ Inorganic Chemistry; Oxford University Press: Oxford, MA, USA, 2010. [Google Scholar]
- Tullius, T.D.; Ushay, H.M.; Merkel, C.M.; Cardonna, J.P.; Lippard, S.J. Structural Chemistry of Platinum—DNA Adducts. In Platinum, Gold, and Other Metal Chemotherapeutic Agents; ACS Publications: Washington, DC, USA, 1983; Chapter 3; pp. 51–74. [Google Scholar] [CrossRef]
- Fichtinger-Schepman, A.M.J.; Van der Veer, J.L.; Den Hartog, J.H.J.; Lohman, P.H.M.; Reedijk, J. Adducts of the antitumor drug cis-diamminedichloroplatinum(II) with DNA: Formation, identification, and quantitation. Biochemistry 1985, 24, 707–713. [Google Scholar] [CrossRef]
- Baik, M.H.; Friesner, R.A.; Lippard, S.J. Theoretical study of cisplatin binding to purine bases: Why does cisplatin prefer guanine over adenine? J. Am. Chem. Soc. 2003, 125, 14082–14092. [Google Scholar] [CrossRef]
- Lakbaibi, Z.; Jaafar, A.; EL Aatiaoui, A.; Tabyaoui, M. Effect of the explicit solvation of 2-propanol on the Darzens reaction mechanism: A computational study. Comput. Theor. Chem. 2022, 1209, 113628. [Google Scholar] [CrossRef]
- Wang, B.; Cao, Z. How water molecules modulate the hydration of CO2 in water solution: Insight from the cluster-continuum model calculations. J. Comput. Chem. 2012, 34, 372–378. [Google Scholar] [CrossRef] [PubMed]
- Alberto, M.E.; Lucas, M.F.A.; Pavelka, M.; Russo, N. The Second-Generation Anticancer Drug Nedaplatin: A Theoretical Investigation on the Hydrolysis Mechanism. J. Phys. Chem. B 2009, 113, 14473–14479. [Google Scholar] [CrossRef] [PubMed]
- Lebwohl, D.; Canetta, R. Clinical development of platinum complexes in cancer therapy: An historical perspective and an update. Eur. J. Cancer 1998, 34, 1522–1534. [Google Scholar] [CrossRef]
- de Cózar, A.; Larrañaga, O.; Bickelhaupt, F.M.; San Sebastián, E.; Ortega-Carrasco, E.; Maréchal, J.D.; Lledós, A.; Cossío, F.P. New insights into the reactivity of cisplatin with free and restrained nucleophiles: Microsolvation effects and base selectivity in cisplatin–DNA interactions. ChemPhysChem 2016, 17, 3932–3947. [Google Scholar] [CrossRef]
- Huque, F.T.; Platts, J.A. The effect of intramolecular interactions on hydrogen bond acidity. Org. Biomol. Chem. 2003, 1, 1419–1424. [Google Scholar] [CrossRef]
- Romero-Montalvo, E.; Guevara-Vela, J.M.; Narváez, W.E.V.; Costales, A.; Pendás, Á.M.; Hernández-Rodríguez, M.; Rocha-Rinza, T. The bifunctional catalytic role of water clusters in the formation of acid rain. Chem. Commun. 2017, 53, 3516–3519. [Google Scholar] [CrossRef]
- Sauza-de la Vega, A.; Salazar-Lozas, H.; Narváez, W.E.V.; Hernández-Rodríguez, M.; Rocha-Rinza, T. Water clusters as bifunctional catalysts in organic chemistry: The hydrolysis of oxirane and its methyl derivatives. Org. Biomol. Chem. 2021, 19, 6776–6780. [Google Scholar] [CrossRef] [PubMed]
- Kozelka, J.; Bergès, J.; Attias, R.; Fraitag, J. O-H⋯PtII: Hydrogen Bond with a Strong Dispersion Component. Angew. Chem. 2000, 112, 204–207. [Google Scholar] [CrossRef]
- Veljković’, D.Ž.; Đunović, A.B.; Zarić, S.D. Significant Differences in the Energy of X-H/Pt Interactions between Cisplatin and Transplatin Molecules. ChemistrySelect 2019, 4, 12909–12914. [Google Scholar] [CrossRef]
- Bergés, J.; Fourré, I.; Pilmé, J.; Kozelka, J. Quantum Chemical Topology Study of the Water-Platinum(II) Interaction. Inorg. Chem. 2013, 52, 1217–1227. [Google Scholar] [CrossRef] [PubMed]
- Robertazzi, A.; Platts, J.A. Hydrogen bonding, solvation, and hydrolysis of cisplatin: A theoretical study. J. Comput. Chem. 2004, 25, 1060–1067. [Google Scholar] [CrossRef]
- Repta, A.J.; Long, D.F. Reactions of cisplatin with human plasma and plasma fractions. In Cisplatin; Elsevier: Amsterdam, The Netherlands, 1980; pp. 285–304. [Google Scholar]
- Bancroft, D.P.; Lepre, C.A.; Lippard, S.J. Platinum-195 NMR kinetic and mechanistic studies of cis-and trans-diamminedichloroplatinum (II) binding to DNA. J. Am. Chem. Soc. 1990, 112, 6860–6871. [Google Scholar] [CrossRef]
- Weigend, F.; Ahlrichs, R. Balanced basis sets of split valence, triple zeta valence and quadruple zeta valence quality for H to Rn: Design and assessment of accuracy. Phys. Chem. Chem. Phys. 2005, 7, 3297–3305. [Google Scholar] [CrossRef]
- Guevara-Vela, J.M.; Chávez-Calvillo, R.; García-Revilla, M.; Hernández-Trujillo, J.; Christiansen, O.; Francisco, E.; Martín-Pendás, Á.; Rocha-Rinza, T. Hydrogen-Bond Cooperative Effects in Small Cyclic Water Clusters as Revealed by the Interacting Quantum Atoms Approach. Chem.—Eur. J. 2013, 19, 14304–14315. [Google Scholar] [CrossRef] [PubMed]
- Clayden, J.; Greeves, N.; Warren, S. Organic Chemistry; OUP Oxford: Oxford, UK, 2012. [Google Scholar]
- Bader, R.F. Atoms in molecules. Acc. Chem. Res. 1985, 18, 9–15. [Google Scholar] [CrossRef]
- Martín Pendás, A.; Francisco, E. Real space bond orders are energetic descriptors. Phys. Chem. Chem. Phys. 2018, 20, 16231–16237. [Google Scholar] [CrossRef]
- Zhao, Y.; Truhlar, D.G. The M06 suite of density functionals for main group thermochemistry, thermochemical kinetics, noncovalent interactions, excited states, and transition elements: Two new functionals and systematic testing of four M06-class functionals and 12 other functionals. Theor. Chem. Acc. 2008, 120, 215–241. [Google Scholar]
- Adamo, C.; Barone, V. Toward reliable density functional methods without adjustable parameters: The PBE0 model. J. Chem. Phys. 1999, 110, 6158–6170. [Google Scholar] [CrossRef]
- Neese, F. The ORCA program system. Wiley Interdiscip. Rev. Comput. Mol. Sci. 2012, 2, 73–78. [Google Scholar] [CrossRef]
- Neese, F. Software update: The ORCA program system, version 4.0. Wiley Interdiscip. Rev. Comput. Mol. Sci. 2018, 8, e1327. [Google Scholar] [CrossRef]
- Neese, F.; Wennmohs, F.; Becker, U.; Riplinger, C. The ORCA quantum chemistry program package. J. Chem. Phys. 2020, 152. [Google Scholar] [CrossRef]
- Figgen, D.; Peterson, K.A.; Dolg, M.; Stoll, H. Energy-consistent pseudopotentials and correlation consistent basis sets for the 5d elements Hf–Pt. J. Chem. Phys. 2009, 130. [Google Scholar] [CrossRef] [PubMed]
- Grimme, S.; Antony, J.; Ehrlich, S.; Krieg, H. A consistent and accurate ab initio parametrization of density functional dispersion correction (DFT-D) for the 94 elements H-Pu. J. Chem. Phys. 2010, 132, 154104. [Google Scholar] [CrossRef] [PubMed]
- Grimme, S.; Ehrlich, S.; Goerigk, L. Effect of the damping function in dispersion corrected density functional theory. J. Comput. Chem. 2011, 32, 1456–1465. [Google Scholar] [CrossRef] [PubMed]
- Vetere, V.; Adamo, C.; Maldivi, P. Performance of the ‘parameter free’ PBE0 functional for the modeling of molecular properties of heavy metals. Chem. Phys. Lett. 2000, 325, 99–105. [Google Scholar] [CrossRef]
- Mardirossian, N.; Head-Gordon, M. Thirty years of density functional theory in computational chemistry: An overview and extensive assessment of 200 density functionals. Mol. Phys. 2017, 115, 2315–2372. [Google Scholar] [CrossRef]
- York, D.M.; Karplus, M. A smooth solvation potential based on the conductor-like screening model. J. Phys. Chem. A 1999, 103, 11060–11079. [Google Scholar] [CrossRef]
- van Lenthe, E.; Baerends, E.J.; Snijders, J.G. Relativistic regular two-component Hamiltonians. J. Chem. Phys. 1993, 99, 4597–4610. [Google Scholar] [CrossRef]
- Pantazis, D.A.; Chen, X.Y.; Landis, C.R.; Neese, F. All-Electron Scalar Relativistic Basis Sets for Third-Row Transition Metal Atoms. J. Chem. Theory Comput. 2008, 4, 908–919. [Google Scholar] [CrossRef]
- Keith, T.A. AIMAll (Version 19.10. 12); TK Gristmill Software: Overland Park, KS, USA, 2019; p. 23. [Google Scholar]
- Medvedev, M.G.; Bushmarinov, I.S.; Sun, J.; Perdew, J.P.; Lyssenko, K.A. Density functional theory is straying from the path toward the exact functional. Science 2017, 355, 49–52. [Google Scholar] [CrossRef] [PubMed]






| Level of Theory | (kcal/mol) | (kcal/mol) | (kcal/mol) |
|---|---|---|---|
| PBE0-D3BJ implicit solv. | 24.20 | 24.25 | 6.95 |
| PBE0-D3BJ explicit solv. | 26.02 | 26.77 | 5.12 |
| M06-2X implicit solv. | 20.57 | 19.81 | 5.98 |
| M06-2X explicit solv. | 22.04 | 23.28 | 3.51 |
| M06-2X implicit solv. * | 21.56 | 19.85 | 5.24 |
| Monofunctionalization of cisplatin with guanine | |||
|---|---|---|---|
| Level of Theory | Solvation Type | (kcal/mol) | (kcal/mol) |
| PBE0-D3BJ | Implicit Solv. | 24.17 | 18 ± 1 1 |
| PBE0-D3BJ | Explicit Solv. | 23.91 | 18 ± 1 1 |
| M06-2X | Implicit Solv. | 19.17 | 18 ± 1 1 |
| M06-2X | Explicit Solv. | 18.07 | 18 ± 1 1 |
| Bifunctionalization of cisplatin with guanine | |||
| Level of Theory | Solvation Type | (kcal/mol) | (kcal/mol) |
| PBE0-D3BJ | Implicit Solv. | 16.97 | 21 ± 2 1 |
| PBE0-D3BJ | Explicit Solv. | 21.01 | 21 ± 2 1 |
| M06-2X | Implicit Solv. | 10.20 | 21 ± 2 1 |
| M06-2X | Explicit Solv. | 24.30 | 21 ± 2 1 |
| Transition State | Implicit (kcal/mol) | Explicit (kcal/mol) | (kcal/mol) |
|---|---|---|---|
| TS1 | 19.81 | 23.28 | 3.46 |
| TS2 | 18.89 | 18.79 | −0.10 |
| TS3A | 16.70 | 12.12 | −4.58 |
| TS4A | 20.66 | 32.24 | 11.58 |
| TS5A | 17.28 | 16.51 | −0.77 |
| TS6A | 16.11 | 17.86 | 1.75 |
| TS7A | 16.21 | 16.40 | 0.20 |
| TS3G | 14.95 | 21.08 | 6.13 |
| TS4G | 20.00 | 18.40 | −1.60 |
| TS5G | 14.55 | 12.17 | −2.38 |
| TS6G | 10.10 | 25.17 | 15.07 |
| TS7G | 16.71 | 18.89 | 2.18 |
| Reaction Step | (Reactant) | (Transition State) | |
|---|---|---|---|
| TS1 | −0.1145 | −0.0924 | 0.0221 |
| TS3A | −0.1375 | −0.1094 | 0.0280 |
| TS3G | −0.1119 | −0.0689 | 0.0430 |
| TS4A | −0.2907 | −0.2363 | 0.0544 |
| TS6G | −0.1341 | −0.0903 | 0.0438 |
| (A) | (B) | (C) | ||||||
|---|---|---|---|---|---|---|---|---|
| TS | (expl) | (impl) | TS | (expl) | (impl) | TS | (expl) | (impl) |
| 0.27 | 0.31 | 0.27 | 0.27 | 0.26 | 0.24 | |||
| −0.31 | −0.31 | −0.32 | −0.30 | −0.45 | −0.46 | |||
| 0.33 | 0.29 | 0.29 | 0.27 | |||||
| −0.45 | −0.38 | −0.33 | −0.32 | |||||
| Reaction Step | |||
|---|---|---|---|
| TS1 | −0.19 | −0.22 | 0.03 |
| TS3A | −0.04 | −0.05 | 0.01 |
| TS3G | −0.05 | −0.03 | −0.02 |
| TS4A | −0.12 | −0.09 | −0.03 |
| TS6G | −0.04 | 0.00 | −0.04 |
Disclaimer/Publisher’s Note: The statements, opinions and data contained in all publications are solely those of the individual author(s) and contributor(s) and not of MDPI and/or the editor(s). MDPI and/or the editor(s) disclaim responsibility for any injury to people or property resulting from any ideas, methods, instructions or products referred to in the content. |
© 2025 by the authors. Licensee MDPI, Basel, Switzerland. This article is an open access article distributed under the terms and conditions of the Creative Commons Attribution (CC BY) license (https://creativecommons.org/licenses/by/4.0/).
Share and Cite
Salazar-Barrientos, J.I.; Guevara-Vela, J.M.; García-Revilla, M.A.; Francisco, E.; Gallegos, M.; Rocha-Rinza, T.; Martín Pendás, Á. Effect of Explicit Hydration on the Cisplatin Reaction Mechanism with Adenine and Guanine. Molecules 2025, 30, 510. https://doi.org/10.3390/molecules30030510
Salazar-Barrientos JI, Guevara-Vela JM, García-Revilla MA, Francisco E, Gallegos M, Rocha-Rinza T, Martín Pendás Á. Effect of Explicit Hydration on the Cisplatin Reaction Mechanism with Adenine and Guanine. Molecules. 2025; 30(3):510. https://doi.org/10.3390/molecules30030510
Chicago/Turabian StyleSalazar-Barrientos, Jesús Iván, José Manuel Guevara-Vela, Marco A. García-Revilla, Evelio Francisco, Miguel Gallegos, Tomás Rocha-Rinza, and Ángel Martín Pendás. 2025. "Effect of Explicit Hydration on the Cisplatin Reaction Mechanism with Adenine and Guanine" Molecules 30, no. 3: 510. https://doi.org/10.3390/molecules30030510
APA StyleSalazar-Barrientos, J. I., Guevara-Vela, J. M., García-Revilla, M. A., Francisco, E., Gallegos, M., Rocha-Rinza, T., & Martín Pendás, Á. (2025). Effect of Explicit Hydration on the Cisplatin Reaction Mechanism with Adenine and Guanine. Molecules, 30(3), 510. https://doi.org/10.3390/molecules30030510

