How Microsolvation Affects the Balance of Atomic Level Mechanism in Substitution and Elimination Reactions: Insights into the Role of Solvent Molecules in Inducing Mechanistic Transitions
Abstract
1. Introduction
2. Results and Discussions
2.1. Potential Energy Surface
2.1.1. Effect of Solvation on Potential Energy Surface
2.1.2. Energy Decomposition Analysis
2.2. Reaction Dynamics Simulations
2.2.1. Reactivity
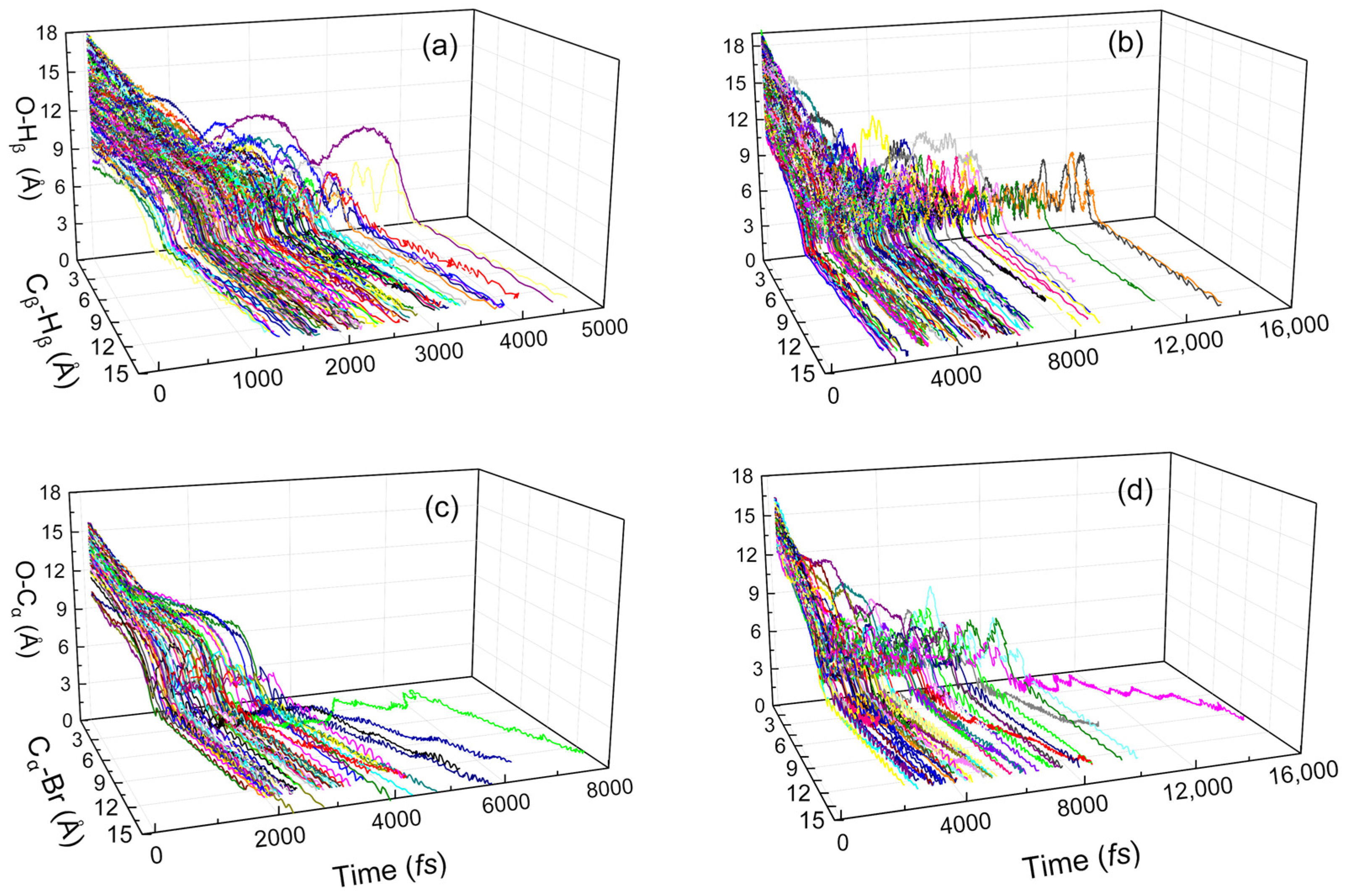
2.2.2. Atomic-Level Mechanism
2.2.3. E2 Versus SN2 Competition and Solvation Effects
3. Computational Method
4. Conclusions
- (i)
- Dynamical simulations show that SN2 and E2 reactions proceed via direct rebound, direct stripping, and indirect mechanisms. A significant shift occurs when transitioning from the gas phase to a single hydration reaction. The dominant mechanism changes from a preference for direct dynamics to one dominated by indirect mechanisms mediated by entrance channel complexes. This shift arises from water molecules hindering direct collisions between nucleophilic reagents and substrates, forming hydrogen-bonded complexes, prolonging ion–molecule interactions, and increasing the prevalence of indirect dynamics.
- (ii)
- Solvation induces structural transformations in nucleophiles. Proton transfer processes at the entrance channel, enabled by small hydrogen migration energy barriers, create shapeshifting nucleophiles HOw−(H2O) with reactivity comparable to original nucleophiles HO−(H2Ow).
- (iii)
- The significant energy release in the exit channel drives rapid separation of products, minimizing interaction of the post-reaction complex. This favors bare Br− as the primary product over complexed or solvated Br−, despite the latter being energetically favorable.
- (iv)
- In the gas phase, the anti-E2 pathway dominates over inv-SN2 with a ratio of 0.69: 0.29, influenced by dynamic effects. Notably, when HO− dissolves only one H2Ow molecule, subtle changes in solute–solvent interactions near the transition state alter the relative energies of the inv-SN2 and anti-E2 pathways, favoring inv-SN2. With the gradual addition of water molecules, the barrier gap between inv-SN2 and anti-E2 on the potential energy surface widens. Water molecules more strongly stabilize the SN2 transition state and correspondingly inhibit the E2 elimination process. The energy decomposition analysis reveals that the rise of the inv-SN2 barrier by solvation is due to the increase in strain energy, while the anti-E2 reaction is due to the rise of the energy barrier because the interaction energy cannot compensate for the strain energy. After all, the water molecules are more prone to distorting the structure of the transition state of the anti-E2 reaction, and thus, the inv-SN2 reaction becomes more and more critical with the increase in solvation degree.
Supplementary Materials
Author Contributions
Funding
Institutional Review Board Statement
Informed Consent Statement
Data Availability Statement
Conflicts of Interest
References
- Gronert, S. Gas Phase Studies of the Competition between Substitution and Elimination Reactions. Acc. Chem. Res. 2003, 36, 848–857. [Google Scholar] [CrossRef]
- Wladkowski, B.D.; Brauman, J.I. Substitution Versus Elimination in Gas-phase Ionic Reactions. J. Am. Chem. Soc. 1992, 114, 10643–10644. [Google Scholar] [CrossRef]
- Garver, J.M.; Eyet, N.; Villano, S.M.; Yang, Z.; Bierbaum, V.M. Mechanistic Investigation of SN2 Dominated Gas Phase Alkyl Iodide Reactions. Int. J. Mass Spectrom. 2011, 301, 151–158. [Google Scholar] [CrossRef]
- Villano, S.M.; Eyet, N.; Lineberger, W.C.; Bierbaum, V.M. Reactions of α-Nucleophiles with Alkyl Chlorides: Competition between SN2 and E2 Mechanisms and the Gas-Phase α-Effect. J. Am. Chem. Soc. 2009, 131, 8227–8233. [Google Scholar] [CrossRef] [PubMed]
- Villano, S.M.; Kato, S.; Bierbaum, V.M. Deuterium Kinetic Isotope Effects in Gas-Phase SN2 and E2 Reactions: Comparison of Experiment and Theory. J. Am. Chem. Soc. 2006, 128, 736–737. [Google Scholar] [CrossRef]
- DePuy, C.H.; Gronert, S.; Mullin, A.; Bierbaum, V.M. Gas-Phase SN2 and E2 Reactions of Alkyl Halides. J. Am. Chem. Soc. 1990, 112, 8650–8655. [Google Scholar] [CrossRef]
- Eyet, N.; Melko, J.J.; Ard, S.G.; Viggiano, A.A. Effect of Higher Order Solvation and Temperature on SN2 and E2 Reactivity. Int. J. Mass Spectrom. 2015, 378, 54–78. [Google Scholar] [CrossRef]
- Meyer, J.; Tajti, V.; Carrascosa, E.; Györi, T.; Stei, M.; Michaelsen, T.; Bastian, B.; Czakó, G.; Wester, R. Atomistic Dynamics of Elimination and Nucleophilic Substitution Disentangled for the F− + CH3CH2Cl Reaction. Nat. Chem. 2021, 13, 977–981. [Google Scholar] [CrossRef] [PubMed]
- Meyer, J.; Carrascosa, E.; Michaelsen, T.; Bastian, B.; Li, A.; Guo, H.; Wester, R. Unexpected Indirect Dynamics in Base-Induced Elimination. J. Am. Chem. Soc. 2019, 141, 20300–20308. [Google Scholar] [CrossRef]
- Carrascosa, E.; Meyer, J.; Michaelsen, T.; Stei, M.; Wester, R. Conservation of Direct Dynamics in Sterically Hindered SN2/E2 Reactions. Chem. Sci. 2018, 9, 693–701. [Google Scholar] [CrossRef] [PubMed]
- Carrascosa, E.; Meyer, J.; Zhang, J.; Steil, M.; Michaelsen, T.; Hase, W.L.; Yang, L.; Wester, R. Imaging Dynamic Fingerprints of Competing E2 and SN2 Reactions. Nat. Commun. 2017, 8, 25. [Google Scholar] [CrossRef] [PubMed]
- Zhao, S.; Wang, H.; Fu, G.; Zhen, W.; Liu, M.; Yang, L.; Zhang, J. E2/SN2 Selectivity Driven by Reaction Dynamics. Insight into Halogen Bonding. Precis. Chem. 2023, 1, 507–515. [Google Scholar] [CrossRef]
- Zhao, S.; Fu, G.; Zhen, W.; Wang, H.; Yang, L.; Zhang, J. Competitive Dynamics of E2 and SN2 Reaction Driven by Collision Energy and Leaving Group. Phys. Chem. Chem. Phys. 2023, 25, 28086–28093. [Google Scholar] [CrossRef] [PubMed]
- Zhao, S.; Fu, G.; Zhen, W.; Wang, H.; Liu, M.; Yang, L.; Zhang, J. Nucleophile Effects on the E2/SN2 Competition for the X− + CH3CH2Cl Reactions: A Theoretical Study. J. Phys. Chem. A 2023, 127, 3381–3389. [Google Scholar] [CrossRef]
- Yang, L.; Zhang, J.; Xie, J.; Ma, X.; Zhang, L.; Zhao, C.; Hase, W.L. Competing E2 and SN2 Mechanisms for the F− + CH3CH2I Reaction. J. Phys. Chem. A 2017, 121, 1078–1085. [Google Scholar] [CrossRef] [PubMed]
- Nacsa, A.B.; Tokaji, C.; Czakó, G. High-Level Analytical Potential-Energy-Surface-Based Dynamics of the OH− + CH3CH2Cl SN2 and E2 Reactions in full (24) Dimensions. Faraday Discuss. 2024, 251, 604–621. [Google Scholar] [CrossRef] [PubMed]
- Tasi, D.A.; Tokaji, C.; Czakó, G. A Benchmark Ab Initio Study of the Complex Potential Energy Surfaces of the OH− + CH3CH2Y [Y = F, Cl, Br, I] Reactions. Phys. Chem. Chem. Phys. 2021, 23, 13526–13534. [Google Scholar] [CrossRef] [PubMed]
- Wu, X.; Zhang, S.; Xie, J. Investigating the Competing E2 and SN2 Mechanisms for the Microsolvated HO−(H2O)n=0-4 + CH3CH2X (X = Cl, Br, I) Reactions. Phys. Chem. Chem. Phys. 2022, 24, 12993–13005. [Google Scholar] [CrossRef] [PubMed]
- Zhao, Y.; Truhlar, D.G. Density Functional Calculations of E2 and SN2 Reactions: Effects of the Choice of Density Functional, Basis Set, and Self-Consistent Iterations. J. Chem. Theory Comput. 2010, 6, 1105. [Google Scholar] [CrossRef]
- Lu, X.; Shang, C.; Li, L.; Chen, R.; Fu, B.; Xu, X.; Zhang, D.H. Unexpected Steric Hindrance Failure in the Gas Phase F− + (CH3)3CI SN2 Reaction. Nat. Commun. 2022, 13, 4427. [Google Scholar] [CrossRef] [PubMed]
- Gallegos, M.; Costales, A.; Pendás, Á.M. Does Steric Hindrance Actually Govern the Competition between Bimolecular Substitution and Elimination Reactions? J. Phys. Chem. A 2022, 126, 1871–1880. [Google Scholar] [CrossRef]
- Hamlin, T.A.; Swart, M.; Bickelhaupt, F.M. Nucleophilic Substitution SN2: Dependence on Nucleophile, Leaving Group, Central Atom, Substituents, and Solvent. ChemPhysChem 2018, 19, 1315–1330. [Google Scholar] [CrossRef] [PubMed]
- Wu, X.P.; Sun, X.M.; Wei, X.G.; Ren, Y.; Wong, N.B.; Li, W.K. Exploring the Reactivity Trends in the E2 and SN2 Reactions of X−+ CH3CH2Cl (X = F, Cl, Br, HO, HS, HSe, NH2PH2, AsH2, CH3, SiH3, and GeH3). J. Chem. Theory Comput. 2009, 5, 1597–1606. [Google Scholar] [CrossRef] [PubMed]
- Bento, A.P.; Solà, M.; Bickelhaupt, F.M. E2 and SN2 Reactions of X− + CH3CH2X (X = F, Cl); an ab initio and DFT Benchmark Study. J. Chem. Theory Comput. 2008, 4, 929–940. [Google Scholar] [CrossRef] [PubMed]
- Vermeeren, P.; Hansen, T.; Jansen, P.; Swart, M.; Hamlin, T.A.; Bickelhaupt, F.M. A Unified Framework for Understanding Nucleophilicity and Protophilicity in the SN2/E2 Competition. Chem.—A Eur. J. 2020, 26, 15538–15548. [Google Scholar] [CrossRef] [PubMed]
- Vermeeren, P.; Hansen, T.; Grasser, M.; Silva, D.R.; Hamlin, T.A.; Bickelhaupt, F.M. SN2 versus E2 Competition of F− and PH2− Revisited. J. Org. Chem. 2020, 85, 14087–14093. [Google Scholar] [CrossRef] [PubMed]
- Mugnai, M.; Cardini, G.; Schettino, V. Substitution and Elimination Reaction of F− with C2H5Cl: An ab Initio Molecular Dynamics Study. J. Phys. Chem. A 2003, 107, 2540–2547. [Google Scholar] [CrossRef]
- Liu, X.; Zhang, J.; Yang, L.; Hase, W.L. How a Solvent Molecule Affects Competing Elimination and Substitution Dynamics. Insight into Mechanism Evolution with Increased Solvation. J. Am. Chem. Soc. 2018, 140, 10995–11005. [Google Scholar] [CrossRef]
- Brauman, J.I. Chemistry. Not So Simple. Science 2008, 319, 168. [Google Scholar] [CrossRef] [PubMed]
- Lu, X.; Li, L.; Zhang, X.; Fu, B.; Xu, X.; Zhang, D.H. Dynamical Effects of SN2 Reactivity Suppression by Microsolvation: Dynamics Simulations of the F−(H2O) + CH3I Reaction on a 21-Dimensional Potential Energy Surface. J. Phys. Chem. Lett. 2022, 13, 5253–5259. [Google Scholar] [CrossRef] [PubMed]
- Otto, R.; Brox, J.; Trippel, S.; Stei, M.; Best, T.; Wester, R. Single Solvent Molecules can Affect the Dynamics of Substitution Reactions. Nat. Chem. 2012, 4, 534–538. [Google Scholar] [CrossRef] [PubMed]
- Satpathy, L.; Sahu, P.K.; Behera, P.K.; Mishra, B.K. Solvent Effect on the Potential Energy Surfaces of the F− + CH3CH2Br Reaction. J. Phys. Chem. A 2018, 122, 5861–5869. [Google Scholar] [CrossRef]
- Tachikawa, H. Direct Ab Initio Molecular Dynamics Study on a Microsolvated SN2 Reaction of OH−(H2O) with CH3Cl. J. Chem. Phys. 2006, 125, 133119. [Google Scholar] [CrossRef] [PubMed]
- Wester, R. Fifty Years of Nucleophilic Substitution in the Gas Phase. Mass Spectrom. Rev. 2022, 41, 627–644. [Google Scholar] [CrossRef] [PubMed]
- Wu, X.; Zhao, C.; Zhang, S.; Xie, J. Shapeshifting Nucleophile Singly Hydrated Hydroperoxide Anion Leads to the Occurrence of the Thermodynamically Unfavored SN2 Product. J. Phys. Chem. A 2024, 128, 2393–2398. [Google Scholar] [CrossRef] [PubMed]
- Zhao, C.; Ma, X.; Wu, X.; Thomsen, D.L.; Bierbaum, V.M.; Xie, J. Single Solvent Molecules Induce Dual Nucleophiles in Gas-Phase Ion-Molecule Nucleophilic Substitution Reactions. J. Phys. Chem. Lett. 2021, 12, 7134–7139. [Google Scholar] [CrossRef]
- Xie, J.; Scott, M.J.; Hase, W.L.; Hierl, P.M.; Viggiano, A.A. Determination of the Temperature-Dependent OH−(H2O) + CH3I Rate Constant by Experiment and Simulation. Z. Für Phys. Chem. 2015, 229, 1747–1763. [Google Scholar] [CrossRef]
- Xie, J.; Kohale, S.C.; Hase, W.L.; Ard, S.G.; Melko, J.J.; Shuman, N.S.; Viggiano, A.A. Temperature Dependence of the OH− + CH3I Reaction Kinetics. Experimental and Simulation Studies and Atomic-Level Dynamics. J. Phys. Chem. A 2013, 117, 14019–14027. [Google Scholar] [CrossRef]
- Xie, J.; Ma, X.; Zhang, J.; Hierl, P.M.; Viggiano, A.A.; Hase, W.L. Effect of Microsolvation on the OH−(H2O)n + CH3I Rate Constant. Comparison of Experiment And Calculations for OH−(H2O)2 + CH3I. Int. J. Mass Spectrom. 2017, 418, 122–129. [Google Scholar] [CrossRef]
- Wu, X.; Bickelhauptd, F.M.; Xie, J. Solvent-induced Dual Nucleophiles and the α-effect in the SN2 versus E2 Competition. Phys. Chem. Chem. Phys. 2024, 26, 11320–11330. [Google Scholar] [CrossRef]
- Hu, Y.; Wu, X.; Xie, J. Nucleophilic substitution reactions of microsolvated hydroperoxide anion HOO−(NH3)n with methyl chloride and comparison between ammonia and water as the solvent. Phys. Chem. Chem. Phys. 2023, 25, 1947–1956. [Google Scholar] [CrossRef] [PubMed]
- Wu, X.; Zhao, C.; Xie, J. Microsolvated Ion-Molecule SN2 Reactions with Dual Nucleophiles Induced by Solvent Molecules. ChemPhysChem 2022, 23, e202200285. [Google Scholar] [CrossRef]
- Hansen, T.; Roozee, J.C.; Bickelhaupt, F.M.; Hamlin, T.A. How Solvation Influences the SN2 versus E2 Competition. J. Org. Chem. 2022, 87, 1805–1813. [Google Scholar] [CrossRef] [PubMed]
- Bickelhaupt, F.M.; Baerends, E.J.; Nibbering, N.M.M. The Effect of Microsolvation on E2 and SN2 Reactions: Theoretical Study of the Model System F− + C2H5F + nHF. Chem.-Eur. J. 1996, 2, 196–207. [Google Scholar] [CrossRef]
- Tasi, D.A.; Czakó, G. Uncovering an Oxide Ion Substitution for the OH− + CH3F Reaction. Chem. Sci. 2021, 12, 14369–14375. [Google Scholar] [CrossRef] [PubMed]
- Xie, J.; Otto, R.; Wester, R.; Hase, W.L. Chemical Dynamics Simulations of the Monohydrated OH−(H2O) + CH3I Reaction. Atomic-Level Mechanisms and Comparison with Experiment. J. Chem. Phys. 2015, 142, 244308. [Google Scholar] [CrossRef] [PubMed]
- Zhang, J.; Mikosch, J.; Trippel, S.; Otto, R.; Weidemüller, M.; Wester, R.; Hase, W.L. F− + CH3I → FCH3 + I− Reaction Dynamics. Nontraditional Atomistic Mechanisms and Formation of a Hydrogen-Bonded Complex. J. Phys. Chem. Lett. 2010, 1, 2747–2752. [Google Scholar] [CrossRef]
- Sun, L.; Song, K.; Hase, W.L. A SN2 Reaction That Avoids Its Deep Potential Energy Minimum. Science 2002, 296, 875–878. [Google Scholar] [CrossRef]
- Proenza, Y.G.; Souza, M.A.F.d.; Longo, R.L. Dynamical Bifurcation in Gas-Phase XH− + CH3Y SN2 Reactions: The Role of Energy Flow and Redistribution in Avoiding the Minimum Energy Path. Chem.-Eur. J. 2016, 22, 16220–16229. [Google Scholar] [CrossRef] [PubMed]
- Yang, L.; Zhao, S.; Wang, H.; Fu, G.; Zhen, W.; Bai, X.; Zhang, J. Atomistic Dynamics of Elimination and Substitution Driven by Entrance Channel. J. Chem. Phys. 2025, 162, 024304. [Google Scholar] [CrossRef] [PubMed]
- Fu, G.; Wang, H.; Zhen, W.; Zhou, X.; Yang, L.; Zhang, J. Competitive Dynamics of Elimination and Substitution Reaction Modulated by Nucleophile and Leaving Group. Phys. Chem. Chem. Phys. 2024; submitted. [Google Scholar]
- Ruscic, B. AcTc. ActiveThermochemicalTables(ATcT). 2016. Available online: https://atct.anl.gov/ (accessed on 21 September 2023).
- Fu, B.; Zhang, D.H. Accurate Fundamental Invariant-neural Network Representation of Ab initio Potential Energy Surfaces. Natl. Sci. Rev. 2023, 10, nwad321. [Google Scholar] [CrossRef]
- Ji, X.; Xie, J. Proton Transfer-Induced Competing Product Channels of Microsolvated Y−(H2O)n + CH3I (Y = F, Cl, Br, I) Reactions. Phys. Chem. Chem. Phys. 2022, 24, 7539–7550. [Google Scholar] [CrossRef] [PubMed]
- Ji, X.; Zhao, C.; Xie, J. Investigating the Role of Halogen-Bonded Complexes in Microsolvated Y−(H2O)n + CH3I SN2 reactions. Phys. Chem. Chem. Phys. 2021, 23, 6349–6360. [Google Scholar] [CrossRef]
- Liu, X.; Yang, L.; Zhang, J.; Sun, J. Competition of F/OH-Induced SN2 and Proton-Transfer Reactions with Increased Solvation. J. Phys. Chem. A 2018, 122, 9446–9453. [Google Scholar] [CrossRef] [PubMed]
- Jeffrey, G. An Introduction to Hydrogen Bonding; Oxford University Press: New York, NY, USA; Oxford, UK, 1997. [Google Scholar]
- Stephens, P.J.; Devlin, F.J.; Chabalowski, C.F.; Frisch, M.J. Ab Initio Calculation of Vibrational Absorption and Circular Dichroism Spectra Using Density Functional Force Fields. J. Phys. Chem. 1994, 98, 11623–11627. [Google Scholar] [CrossRef]
- Wadt, W.R.; Hay, P.J. Ab Initio Effective Core Potentials for Molecular Calculations. Potentials for Main Group Elements Na to Bi. J. Chem. Phys. 1985, 82, 284–298. [Google Scholar] [CrossRef]
- Raghavachari, K.; Trucksat, G.W.; Pople, J.A.; Head-Gordon, M. A Fifth-order Perturbation Comparison of Electron Correlation Theories. Chem. Phys. Lett. 1989, 157, 479–483. [Google Scholar] [CrossRef]
- Møller, C.; Plesset, M.S. Note on an Approximation Treatment for Many-Electron Systems. Phys. Rev. 1934, 46, 618–622. [Google Scholar] [CrossRef]
- Grimme, S.; Antony, J.; Ehrlich, S.; Krieg, H. A Consistent and Accurate ab initio Parametrization of Density Functional Dispersion Correction (DFT-D) for the 94 Elements H-Pu. J. Chem. Phys. 2010, 132, 154104. [Google Scholar] [CrossRef] [PubMed]
- Frisch, M.J.; Trucks, G.W.; Schlegel, H.B.; Scuseria, G.E.; Robb, M.A.; Cheeseman, J.R.; Montgomery, J.A.; Scalmani, G.; Barone, V.; Mennucci, B.; et al. Gaussian 09; Revision C.01; Gaussian Inc.: Wallingford, CT, USA, 2009. [Google Scholar]
- Lu, T.; Chen, Q. A Simple, Efficient and Universal Energy Decomposition Analysis Method Based on Dispersion-Corrected Density Functional Theory. J. Phys. Chem. A 2023, 127, 7023–7035. [Google Scholar] [CrossRef] [PubMed]
- Lu, T.; Chen, F. Multiwfn: A Multifunctional Wavefunction Analyzer. J. Comput. Chem. 2012, 33, 580–592. [Google Scholar] [CrossRef] [PubMed]
- Lourderaj, U.; Sun, R.; Kohale, S.C.; Barnes, G.L.; Jong, W.A.d.; Windus, T.L.; Hase, W.L. The VENUS/NWchem Software Package. Tight Coupling Between Chemical Dynamics Simulations and Electronic Structure Theory. Comput. Phys. Commun. 2014, 185, 1074–1080. [Google Scholar] [CrossRef]
- Valiev, M.; Bylaska, E.J.; Govind, N.; Kowalski, K.; Straatsma, T.P.; Dam, H.J.J.V.; Wang, D.; Nieplocha, J.; Apra, E.; Windus, T.L.; et al. NWChem: A Comprehensive and Scalable Open-source Solution for Large Scale Molecular Simulations. Comput. Phys. Commun. 2010, 181, 1477–1489. [Google Scholar] [CrossRef]








| Species | B3LYP/ECP/d | ||||
|---|---|---|---|---|---|
| HOw−(H2O) | HO−(H2Ow) | HO−(H2Ow)2 | HO−(H2Ow)3 | HO−(PCM) | |
| anti-E2 | |||||
| nRC (aE) | −14.4 | −14.4 | −12.1 | −9.3 | −0.3 |
| nTS (aE) | −10.6 | −10.6 | −2.8 | 6.7 | 6.8 |
| nPC (aE) | −49.3 | −49.3 | −37.6 | −32.5 | −38.6 |
| nP1 (E) | −21.9 | −21.9 | −0.3 | 18.2 | − |
| syn-E2 | |||||
| nRC (sE) | −14.4 | −14.4 | −11.6 | −8.6 | −0.1 |
| nTS (sE) | −2.1 | −2.1 | 4.4 | 11.9 | 11.7 |
| nPC (sE) | −49.3 | −49.3 | −37.6 | −31.6 | −41.7 |
| inv-SN2 | |||||
| nRC (iS) | −14.4 | −14.4 | −11.8 | −8.5 | −0.1 |
| nTS (iS) | −11.2 | −11.2 | −5.1 | 3.4 | 6.6 |
| nPC (iS) | −60.4 | −60.4 | −50.9 | −42.9 | −49.4 |
| nP1 (S) | −35.6 | −35.6 | −14.0 | 4.5 | −49.3 |
| ret-SN2 | |||||
| nRC (rS) | −14.4 | −14.4 | −11.8 | −8.5 | −1.4 |
| nTS (rS) | 18.8 | 18.8 | 23.9 | 29.8 | 30.0 |
| nPC (rS) | −60.1 | −60.1 | −49.3 | −43.9 | −52.3 |
| PT | |||||
| nRC (PT) | −14.5 | −14.5 | / | / | / |
| nTS (PT) | 2.2 | 2.2 | / | / | / |
| nPC (PT) | 1.1 | 1.1 | / | / | / |
| nP1 (PT) | 32.6 | 32.6 | 54.2 | 72.7 | 25.6 |
Disclaimer/Publisher’s Note: The statements, opinions and data contained in all publications are solely those of the individual author(s) and contributor(s) and not of MDPI and/or the editor(s). MDPI and/or the editor(s) disclaim responsibility for any injury to people or property resulting from any ideas, methods, instructions or products referred to in the content. |
© 2025 by the authors. Licensee MDPI, Basel, Switzerland. This article is an open access article distributed under the terms and conditions of the Creative Commons Attribution (CC BY) license (https://creativecommons.org/licenses/by/4.0/).
Share and Cite
Fu, G.; Wang, H.; Zhen, W.; Zhou, X.; Yang, L.; Zhang, J. How Microsolvation Affects the Balance of Atomic Level Mechanism in Substitution and Elimination Reactions: Insights into the Role of Solvent Molecules in Inducing Mechanistic Transitions. Molecules 2025, 30, 496. https://doi.org/10.3390/molecules30030496
Fu G, Wang H, Zhen W, Zhou X, Yang L, Zhang J. How Microsolvation Affects the Balance of Atomic Level Mechanism in Substitution and Elimination Reactions: Insights into the Role of Solvent Molecules in Inducing Mechanistic Transitions. Molecules. 2025; 30(3):496. https://doi.org/10.3390/molecules30030496
Chicago/Turabian StyleFu, Gang, Hongyi Wang, Wenqing Zhen, Xin Zhou, Li Yang, and Jiaxu Zhang. 2025. "How Microsolvation Affects the Balance of Atomic Level Mechanism in Substitution and Elimination Reactions: Insights into the Role of Solvent Molecules in Inducing Mechanistic Transitions" Molecules 30, no. 3: 496. https://doi.org/10.3390/molecules30030496
APA StyleFu, G., Wang, H., Zhen, W., Zhou, X., Yang, L., & Zhang, J. (2025). How Microsolvation Affects the Balance of Atomic Level Mechanism in Substitution and Elimination Reactions: Insights into the Role of Solvent Molecules in Inducing Mechanistic Transitions. Molecules, 30(3), 496. https://doi.org/10.3390/molecules30030496

