A Density Functional Valence Bond Study on the Excited States
Abstract
1. Introduction
2. Results and Discussion
2.1. Low-Lying Excited States of Doublet Radicals
2.1.1. Construction of VB Structures
- (a)
- A1 set: because the total number of electrons of all the tested systems is odd, the A1 symmetry requires that the number of electrons occupied on orbitals in the z direction is also odd. There are two possible values (1 or 3) of the electrons occupied on the orbitals in the z direction. By considering all the distribution ways of the electrons in each direction, we can obtain a total of 10 groups of VB structures in this A1 set, namely (1) to (4) groups in which only one electron in the z direction and (5) to (10) groups in which three electrons in the z direction.
- (b)
- A2 set: there is no orbital with the a2 irreducible representation included in the active space. However, according to the product rules of the C2v point group, the product of b1 and b2 can yield the a2 symmetry. Therefore, the A2 symmetry requires that the number of electrons occupied on the orbitals along the x, y, and z directions are all odd. Similarly, we classify the VB structures in this A2 set into two categories according to the number of electrons in the z direction, namely groups (1) and (2) with one electron in the z direction and groups (3) to (6) with three electrons in the z direction.
- (c)
- B1 set: in this case, the B1 symmetry requires that the number of electrons in the x direction is odd, while the numbers of electrons in the y and z directions are both even. There are in total nine groups, namely groups (1) to (4) with one electron in the x direction and groups (5) to (9) with three electrons in the x direction.
- (d)
- B2 set: the B2 symmetry requires that the number of electrons in the y direction is odd, while the numbers of the electrons in the x and z directions are both even. There are a total of nine groups, namely groups (1) to (4) with one electron in the y direction and groups (5) to (9) with three electrons in the y direction.

2.1.2. Vertical Excitation Energies
2.1.3. The VB Structure Weights Gathered by Groups
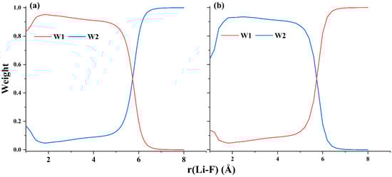
2.2. The PEC Study Along the Path with Avoided Crossing
3. Methodology
4. Computational Details
5. Conclusions
Supplementary Materials
Author Contributions
Funding
Institutional Review Board Statement
Informed Consent Statement
Data Availability Statement
Conflicts of Interest
References
- Runge, E.; Gross, E.K.U. Density-Functional Theory for Time-Dependent Systems. Phys. Rev. Lett. 1984, 52, 997–1000. [Google Scholar] [CrossRef]
- Yabana, K.; Bertsch, G.F. Time-dependent local-density approximation in real time. Phys. Rev. B 1996, 54, 4484–4487. [Google Scholar] [CrossRef] [PubMed]
- van Leeuwen, R. Mapping from Densities to Potentials in Time-Dependent Density-Functional Theory. Phys. Rev. Lett. 1999, 82, 3863–3866. [Google Scholar] [CrossRef]
- Dreuw, A.; Head-Gordon, M. Single-Reference ab Initio Methods for the Calculation of Excited States of Large Molecules. Chem. Rev. 2005, 105, 4009–4037. [Google Scholar] [CrossRef]
- Casida, M.E. Time-dependent density-functional theory for molecules and molecular solids. J. Mol. Struct. Theochem 2009, 914, 3–18. [Google Scholar] [CrossRef]
- Roos, B.O.; Taylor, P.R.; Sigbahn, P.E. A complete active space SCF method (CASSCF) using a density matrix formulated super-CI approach. Chem. Phys. 1980, 48, 157–173. [Google Scholar] [CrossRef]
- Andersson, K.; Malmqvist, P.Å.; Roos, B.O. Second-order perturbation theory with a complete active space self-consistent field reference function. J. Chem. Phys. 1992, 96, 1218–1226. [Google Scholar] [CrossRef]
- Siegbahn, P.E.M.; Almlöf, J.; Heiberg, A.; Roos, B.O. The complete active space SCF (CASSCF) method in a Newton–Raphson formulation with application to the HNO molecule. J. Chem. Phys. 1981, 74, 2384–2396. [Google Scholar] [CrossRef]
- van Lenthe, J.H.; Balint-Kurti, G.G. The valence-bond scf (VB SCF) method.: Synopsis of theory and test calculation of oh potential energy curve. Chem. Phys. Lett. 1980, 76, 138–142. [Google Scholar] [CrossRef]
- van Lenthe, J.H.; Balint-Kurti, G.G. The valence-bond self-consistent field method (VB–SCF): Theory and test calculations. J. Chem. Phys. 1983, 78, 5699–5713. [Google Scholar] [CrossRef]
- Chen, Z.; Chen, X.; Ying, F.; Gu, J.; Zhang, H.; Wu, W. Nonorthogonal orbital based n-body reduced density matrices and their applications to valence bond theory. III. Second-order perturbation theory using valence bond self-consistent field function as reference. J. Chem. Phys. 2014, 141, 134118. [Google Scholar] [CrossRef] [PubMed]
- Wu, W.; Song, L.; Cao, Z.; Zhang, Q.; Shaik, S. Valence Bond Configuration Interaction: A Practical ab Initio Valence Bond Method That Incorporates Dynamic Correlation. J. Phys. Chem. A 2002, 106, 2721–2726. [Google Scholar] [CrossRef]
- Miehlich, B.; Stoll, H.; Savin, A. A correlation-energy density functional for multideterminantal wavefunctions. Mol. Phys. 1997, 91, 527–536. [Google Scholar] [CrossRef]
- Filatov, M.; Shaik, S. Spin-restricted density functional approach to the open-shell problem. Chem. Phys. Lett. 1998, 288, 689–697. [Google Scholar] [CrossRef]
- Filatov, M.; Shaik, S. Application of spin-restricted open-shell Kohn-Sham method to atomic and molecular multiplet states. J. Chem. Phys. 1999, 110, 116–125. [Google Scholar] [CrossRef]
- Grimme, S.; Waletzke, M. A combination of Kohn-Sham density functional theory and multi-reference configuration interaction methods. J. Chem. Phys. 1999, 111, 5645–5655. [Google Scholar] [CrossRef]
- Gräfenstein, J.; Cremer, D. The combination of density functional theory with multi-configuration methods—CAS-DFT. Chem. Phys. Lett. 2000, 316, 569–577. [Google Scholar] [CrossRef]
- Perez-Jimenez, A.J.; Perez-Jorda, J.M.; Illas, F. Density functional theory with alternative spin densities: Application to magnetic systems with localized spins. J. Chem. Phys. 2004, 120, 18–25. [Google Scholar] [CrossRef]
- Grafenstein, J.; Cremer, D. Development of a CAS-DFT method covering non-dynamical and dynamical electron correlation in a balanced way. Mol. Phys. 2005, 103, 279–308. [Google Scholar] [CrossRef]
- Fromager, E.; Toulouse, J.; Jensen, H.J.A. On the universality of the long-/short-range separation in multiconfigurational density-functional theory. J. Chem. Phys. 2007, 126, 074111. [Google Scholar] [CrossRef]
- Cembran, A.; Song, L.; Mo, Y.; Gao, J. Block-Localized Density Functional Theory (BLDFT), Diabatic Coupling, and Their Use in Valence Bond Theory for Representing Reactive Potential Energy Surfaces. J. Chem. Theory Comput. 2009, 5, 2702–2716. [Google Scholar] [CrossRef] [PubMed]
- Fromager, E.; Réal, F.; Wåhlin, P.; Wahlgren, U.; Jensen, H.J.A. On the universality of the long-/short-range separation in multiconfigurational density-functional theory. II. Investigating f(0) actinide species. J. Chem. Phys. 2009, 131, 054107. [Google Scholar] [CrossRef] [PubMed]
- Mo, Y.; Bao, P.; Gao, J. Energy decomposition analysis based on a block-localized wavefunction and multistate density functional theory. Phys. Chem. Chem. Phys. 2011, 13, 6760–6775. [Google Scholar] [CrossRef]
- Sharkas, K.; Savin, A.; Jensen, H.J.A.; Toulouse, J. A multiconfigurational hybrid density-functional theory. J. Chem. Phys. 2012, 137, 044104. [Google Scholar] [CrossRef] [PubMed]
- Fromager, E.; Knecht, S.; Jensen, H.J.A. Multi-configuration time-dependent density-functional theory based on range separation. J. Chem. Phys. 2013, 138, 084101. [Google Scholar] [CrossRef]
- Stoyanova, A.; Teale, A.M.; Toulouse, J.; Helgaker, T.; Fromager, E. Alternative separation of exchange and correlation energies in multi-configuration range-separated density-functional theory. J. Chem. Phys. 2013, 139, 134113. [Google Scholar] [CrossRef]
- Li Manni, G.; Carlson, R.K.; Luo, S.; Ma, D.; Olsen, J.; Truhlar, D.G.; Gagliardi, L. Multiconfiguration Pair-Density Functional Theory. J. Chem. Theory Comput. 2014, 10, 3669–3680. [Google Scholar] [CrossRef]
- Gao, J.; Grofe, A.; Ren, H.; Bao, P. Beyond Kohn-Sham Approximation: Hybrid Multistate Wave Function and Density Functional Theory. J. Phys. Chem. Lett. 2016, 7, 5143–5149. [Google Scholar] [CrossRef]
- Mostafanejad, M.; Liebenthal, M.D.; DePrince, A.E. Global Hybrid Multiconfiguration Pair-Density Functional Theory. J. Chem. Theory Comput. 2020, 16, 2274–2283. [Google Scholar] [CrossRef]
- Pandharkar, R.; Hermes, M.R.; Truhlar, D.G.; Gagliardi, L. A New Mixing of Nonlocal Exchange and Nonlocal Correlation with Multiconfiguration Pair-Density Functional Theory. J. Phys. Chem. Lett. 2020, 11, 10158–10163. [Google Scholar] [CrossRef]
- Qu, Z.; Ma, Y.; Gao, J. Variational multistate density functional theory for a balanced treatment of static and dynamic correlations. J. Chem. Theory Comput. 2020, 16, 4912–4922. [Google Scholar] [CrossRef] [PubMed]
- Ying, F.; Su, P.; Chen, Z.; Shaik, S.; Wu, W. DFVB: A Density-Functional-Based Valence Bond Method. J. Chem. Theory Comput. 2012, 8, 1608–1615. [Google Scholar] [CrossRef] [PubMed]
- Zhou, C.; Zhang, Y.; Gong, X.; Ying, F.; Su, P.; Wu, W. Hamiltonian Matrix Correction Based Density Functional Valence Bond Method. J. Chem. Theory Comput. 2017, 13, 627–634. [Google Scholar] [CrossRef]
- Zheng, P.; Gan, Z.; Zhou, C.; Su, P.; Wu, W. λ-DFVB(U): A hybrid density functional valence bond method based on unpaired electron density. J. Chem. Phys. 2022, 156, 204103. [Google Scholar] [CrossRef]
- Wu, X.; Cao, C.; Zhou, C.; Wu, W. Hybrid Density Functional Valence Bond Method with Multistate Treatment. J Chem Theory Comput 2024, 20, 1157–1168. [Google Scholar] [CrossRef]
- Su, P.F.; Song, L.C.; Wu, W.; Hiberty, P.C.; Shaik, S. A valence bond study of the dioxygen molecule. J. Comput. Chem. 2007, 28, 185–197. [Google Scholar] [CrossRef]
- Su, P.; Wu, W.; Shaik, S.; Hiberty, P.C. A Valence Bond Study of the Low-Lying States of the NF Molecule. ChemPhysChem 2008, 9, 1442–1452. [Google Scholar] [CrossRef]
- Wu, W.; Zhang, H.; Braida, B.; Shaik, S.; Hiberty, P.C. The V state of ethylene: Valence bond theory takes up the challenge. Theor. Chem. Acc. 2014, 133, 1441. [Google Scholar] [CrossRef]
- Braida, B.; Chen, Z.; Wu, W.; Hiberty, P.C. Valence Bond Alternative Yielding Compact and Accurate Wave Functions for Challenging Excited States. Application to Ozone and Sulfur Dioxide. J. Chem. Theory Comput. 2021, 17, 330–343. [Google Scholar] [CrossRef]
- Jasper, A.W.; Kendrick, B.K.; Mead, C.A.; Truhlar, D.G. Non-Born-Oppenheimer Chemistry: Potential Surfaces, Couplings, and Dynamics. In Modern Trends in Chemical Reaction Dynamics: Experiment and Theory (Part 1); Yang, X., Liu, K., Eds.; World Scientific: Singapore, 2004; pp. 329–391. [Google Scholar]
- Finley, J.; Malmqvist, P.-Å.; Roos, B.O.; Serrano-Andrés, L. The multi-state CASPT2 method. Chem. Phys. Lett. 1998, 288, 299–306. [Google Scholar] [CrossRef]
- Nakano, H. Quasidegenerate perturbation theory with multiconfigurational self-consistent-field reference functions. J. Chem. Phys. 1993, 99, 7983–7992. [Google Scholar] [CrossRef]
- Shiozaki, T.; Győrffy, W.; Celani, P.; Werner, H.-J. Communication: Extended multi-state complete active space second-order perturbation theory: Energy and nuclear gradients. J. Chem. Phys. 2011, 135, 081106. [Google Scholar] [CrossRef] [PubMed]
- Granovsky, A.A. Extended multi-configuration quasi-degenerate perturbation theory: The new approach to multi-state multi-reference perturbation theory. J. Chem. Phys. 2011, 134, 214113. [Google Scholar] [CrossRef] [PubMed]
- Bao, J.J.; Zhou, C.; Varga, Z.; Kanchanakungwankul, S.; Gagliardi, L.; Truhlar, D.G. Multi-state pair-density functional theory. Faraday Discuss. 2020, 224, 348–372. [Google Scholar] [CrossRef]
- Bao, J.J.; Zhou, C.; Truhlar, D.G. Compressed-State Multistate Pair-Density Functional Theory. J. Chem. Theory Comput. 2020, 16, 7444–7452. [Google Scholar] [CrossRef]
- Sand, A.M.; Hoyer, C.E.; Truhlar, D.G.; Gagliardi, L. State-interaction pair-density functional theory. J. Chem. Phys. 2018, 149, 024106. [Google Scholar] [CrossRef]
- Kahn, L.R.; Hay, P.J.; Shavitt, I. Theoretical study of curve crossing: Ab initio calculations on the four lowest 1Σ+ states of LiF. J. Chem. Phys. 1974, 61, 3530. [Google Scholar] [CrossRef]
- Botter, B.J.; Kooter, J.A.; Mulder, J.J.C. Ab-initio calculations of the covalent-ionic curve crossing in LiF. Chem. Phys. Lett. 1975, 33, 532. [Google Scholar] [CrossRef]
- Werner, H.J.; Meyer, W. MCSCF study of the avoided curve crossing of the two lowest 1Σ+ states of LiF. J. Chem. Phys. 1981, 74, 5802. [Google Scholar] [CrossRef]
- Finley, J.P.; Witek, H.A. Diagrammatic complete active space perturbation theory: Calculations on benzene, N2, and LiF. J. Chem. Phys. 2000, 112, 3958. [Google Scholar] [CrossRef]
- Legeza, Ö.; Röder, J.; Hess, B.A. QC-DMRG study of the ionic-neutral curve crossing of LiF. Mol. Phys. 2003, 101, 2019. [Google Scholar] [CrossRef]
- Meller, J.; Malrieu, J.P.; Heully, J.L. Size-consistent multireference configuration interaction method through the dressing of the norm of determinants. Mol. Phys. 2003, 101, 2029. [Google Scholar] [CrossRef]
- Angeli, C.; Cimiraglia, R.; Malrieu, J.P. A simple approximate perturbation approach to quasi-degenerate systems. Theor. Chem. Acc. 2006, 116, 434. [Google Scholar] [CrossRef]
- Hanrath, M. Multi-reference coupled-cluster study of the ionic-neutral curve crossing LiF. Mol. Phys. 2008, 106, 1949. [Google Scholar] [CrossRef]
- Li, C.; Lindh, R.; Evangelista, F.A. Dynamically weighted multireference perturbation theory: Combining the advantages of multi-state and state-averaged methods. J. Chem. Phys. 2019, 150, 144107. [Google Scholar] [CrossRef] [PubMed]
- Dong, S.S.; Huang, K.B.; Gagliardi, L.; Truhlar, D.G. State-interaction pair-density functional theory can accurately describe a spiro mixed valence compound. J. Phys. Chem. A 2019, 123, 2100–2106. [Google Scholar] [CrossRef]
- Wu, W.; Su, P.; Shaik, S.; Hiberty, P.C. Classical valence bond approach by modern methods. Chem. Rev. 2011, 111, 7557–7593. [Google Scholar] [CrossRef] [PubMed]
- Chirgwin, B.H.; Coulson, C.A.; Randall, J.T. The electronic structure of conjugated systems. VI. Proc. R. Soc. Lond. A. Math. Phys. Sci. 1950, 201, 196–209. [Google Scholar] [CrossRef]
- Löwdin, P.O. Model of alkali haledes. Ark. Mat. Astron. Fys. A 1947, 35, 30. [Google Scholar]
- Song, L.; Mo, Y.; Zhang, Q.; Wu, W. XMVB*: A program for ab initio nonorthogonal valence bond computations. J. Comput. Chem. 2005, 26, 514–521. [Google Scholar] [CrossRef]
- Chen, Z.; Ying, F.; Chen, X.; Song, J.; Su, P.; Song, L.; Mo, Y.; Zhang, Q.; Wu, W. XMVB 2.0: A New Version of Xiamen Valence Bond Program. Int. J. Quantum Chem. 2015, 115, 731–737. [Google Scholar] [CrossRef]
- Galván, I.F.; Vacher, M.; Alavi, A.; Angeli, C.; Aquilante, F.; Autschbach, J.; Bao, J.J.; Bokarev, S.I.; Bogdanov, N.A.; Carlson, R.K.; et al. OpenMolcas: From source code to insight. J. Chem. Theory Comput. 2019, 15, 5925–5964. [Google Scholar] [CrossRef] [PubMed]
- Forsberg, N.; Malmqvist, P.A. Multiconfiguration perturbation theory with imaginary level shift. Chem. Phys. Lett. 1997, 274, 196–204. [Google Scholar] [CrossRef]
- Ghigo, G.; Roos, B.O.; Malmqvist, P.-Å. A modified definition of the zeroth-order Hamiltonian in multiconfigurational perturbation theory (CASPT2). Chem. Phys. Lett. 2004, 396, 142–149. [Google Scholar] [CrossRef]
- Werner, H.-J.; Knowles, P.; Knizia, G.; Manby, F.; Schütz, M.; Celani, P.; Korona, T.; Lindh, R.; Mitrushenkov, A.; Rauhut, G. MOLPRO, version 2010.1; A Package of Ab Initio Programs; MOLPRO Ltd.: Oxford, UK, 2010. [Google Scholar]
- Werner, H.J.; Knowles, P.J.; Knizia, G.; Manby, F.R.; Schütz, M. Molpro: A general-purpose quantum chemistry program package. WIREs Comput. Mol. Sci. 2012, 2, 242. [Google Scholar] [CrossRef]
- Stephens, P.J.; Devlin, F.J.; Chabalowski, C.F.; Frisch, M.J. Ab Initio Calculation of Vibrational Absorption and Circular Dichroism Spectra Using Density Functional Force Fields. J. Phys. Chem. 1994, 98, 11623–11627. [Google Scholar] [CrossRef]
- Becke, A.D. Density-functional exchange-energy approximation with correct asymptotic behavior. Phys. Rev. A 1988, 38, 3098–3100. [Google Scholar] [CrossRef]
- Vosko, S.H.; Wilk, L.; Nusair, M. Accurate spin-dependent electron liquid correlation energies for local spin density calculations: A critical analysis. Can. J. Phys. 1980, 58, 1200–1211. [Google Scholar] [CrossRef]
- Perdew, J.P.; Burke, K.; Ernzerhof, M. Generalized Gradient Approximation Made Simple. Phys. Rev. Lett. 1996, 77, 3865–3868, reprinted in Phys. Rev. Lett. 1997, 78, 1396. [Google Scholar] [CrossRef]
- Fortenberry, R.C.; King, R.A.; Stanton, J.F.; Crawford, T.D. A benchmark study of the vertical electronic spectra of the linear chain radicals C2H and C4H. J. Chem. Phys. 2010, 132, 144303. [Google Scholar] [CrossRef]
- Huber, K.P.; Herzberg, G. Molecular Spectra and Molecular Structure: IV. Constants of Diatomic Molecules, 1st ed.; Springer: New York, NY, USA, 1979. [Google Scholar]
- Li, Z.; Liu, W. Critical Assessment of TD-DFT for Excited States of Open-Shell Systems: I. Doublet–Doublet Transitions. J. Chem. Theory Comput. 2016, 12, 238–260. [Google Scholar] [CrossRef] [PubMed]








| State | MRCISD+Q | MS-CASPT2 | VBSCF | hc-DFVB | ||
|---|---|---|---|---|---|---|
| B3LYP | BLYP | PBE | ||||
| 12Π1/12Π2 | 0.69 | 0.15 | 0.39 | 0.29 | 0.34 | 0.51 |
| 22Σ+ | 6.94 | 0.11 | 1.20 | 0.91 | 0.82 | 0.82 |
| 12Σ− | 7.39 | 0.15 | 1.46 | 1.10 | 1.03 | 1.14 |
| 22Π1/22Π2 | 7.56 | 0.26 | 1.10 | 0.96 | 0.98 | 1.15 |
| MUD | 0.17 | 1.04 | 0.82 | 0.79 | 0.91 | |
| State | MRCISD+Q | MS-CASPT2 | VBSCF | hc-DFVB | ||
|---|---|---|---|---|---|---|
| B3LYP | BLYP | PBE | ||||
| 12Π1/12Π2 | 1.32 | 0.12 | 0.33 | 0.32 | 0.38 | 0.53 |
| 22Σ+ | 3.17 | 0.03 | 0.34 | 0.31 | 0.31 | 0.34 |
| 22Π1/22Π2 | 7.83 | 0.03 | 0.65 | 0.24 | 0.10 | 0.06 |
| MUD | 0.06 | 0.44 | 0.29 | 0.26 | 0.31 | |
| State | MRCISD+Q | MS-CASPT2 | VBSCF | hc-DFVB | ||
|---|---|---|---|---|---|---|
| B3LYP | BLYP | PBE | ||||
| 12Π1/12Π2 | 3.58 | −0.10 | −0.01 | −0.20 | −0.18 | −0.07 |
| 22Σ+ | 5.60 | −0.05 | 0.19 | 0.10 | 0.09 | 0.19 |
| 22Π1/22Π2 | 7.19 | 0.09 | 0.73 | 0.27 | 0.15 | 0.16 |
| MUD | 0.08 | 0.31 | 0.19 | 0.14 | 0.14 | |
| State | MRCISD+Q | MS-CASPT2 | VBSCF | hc-DFVB | ||
|---|---|---|---|---|---|---|
| B3LYP | BLYP | PBE | ||||
| 12Π1/12Π2 | 3.30 | 0.01 | 0.18 | 0.01 | 0.05 | 0.19 |
| 22Σ+ | 5.80 | 0.01 | 0.34 | 0.14 | 0.11 | 0.21 |
| 22Π1/22Π2 | 9.27 | −0.09 | 0.39 | −0.13 | −0.27 | −0.26 |
| MUD | 0.04 | 0.30 | 0.09 | 0.14 | 0.22 | |
| Molecule | (n, m) | State Symmetry (Nstates) | Reference |
|---|---|---|---|
| C2H | (7, 6) | 2Π1(2), 2Π2(2), 2Σ+(2), 2Σ−(2) | [72] |
| CN | (7, 6) | 2Π1(2), 2Π2(2), 2Σ+(2) | [73] |
| BO | (7, 6) | 2Π1(2), 2Π2(2), 2Σ+(2) | [73] |
| CO+ | (7, 6) | 2Π1(2), 2Π2(2), 2Σ+(2) | [73] |
| Molecule | Basis Set | Nstates | (n, m) | VB Orbital Type | Active Orbitals |
|---|---|---|---|---|---|
| LiF | aug-cc-pVTZ | 2 | (2, 2) | HAOs | 2pz of F, 2s of Li |
| Spiro cation | 6–31G* | 2 | (7, 4) | block localized HAOs | Two π orbitals located on each subsystem |
Disclaimer/Publisher’s Note: The statements, opinions and data contained in all publications are solely those of the individual author(s) and contributor(s) and not of MDPI and/or the editor(s). MDPI and/or the editor(s) disclaim responsibility for any injury to people or property resulting from any ideas, methods, instructions or products referred to in the content. |
© 2025 by the authors. Licensee MDPI, Basel, Switzerland. This article is an open access article distributed under the terms and conditions of the Creative Commons Attribution (CC BY) license (https://creativecommons.org/licenses/by/4.0/).
Share and Cite
Wu, X.; Zheng, P.; Chen, T.; Zhou, C.; Su, P.; Wu, W. A Density Functional Valence Bond Study on the Excited States. Molecules 2025, 30, 489. https://doi.org/10.3390/molecules30030489
Wu X, Zheng P, Chen T, Zhou C, Su P, Wu W. A Density Functional Valence Bond Study on the Excited States. Molecules. 2025; 30(3):489. https://doi.org/10.3390/molecules30030489
Chicago/Turabian StyleWu, Xun, Peikun Zheng, Tingzhen Chen, Chen Zhou, Peifeng Su, and Wei Wu. 2025. "A Density Functional Valence Bond Study on the Excited States" Molecules 30, no. 3: 489. https://doi.org/10.3390/molecules30030489
APA StyleWu, X., Zheng, P., Chen, T., Zhou, C., Su, P., & Wu, W. (2025). A Density Functional Valence Bond Study on the Excited States. Molecules, 30(3), 489. https://doi.org/10.3390/molecules30030489

