Extraction of Chlorogenic Acid Using Single and Mixed Solvents
Abstract
1. Introduction
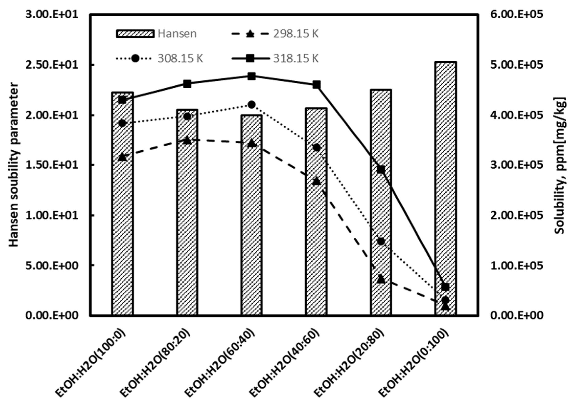
2. Results and Discussions
3. Experiment
3.1. Chemicals
3.2. Solubility Measurement
3.3. Thermal Analysis
4. Theory and Model
5. Conclusions
Author Contributions
Funding
Institutional Review Board Statement
Informed Consent Statement
Data Availability Statement
Conflicts of Interest
References
- Huang, J.; Xie, M.; He, L.; Song, X.; Cao, T. Chlorogenic acid: A review on its mechanisms of anti-inflammation, disease treatment, and related delivery systems. Front. Pharmacol. 2023, 14, 1218015. [Google Scholar] [CrossRef] [PubMed]
- Chen, X.; Cai, W.; Xia, J.; Yu, H.; Wang, Q.; Pang, F.; Zhao, M. Metabolomic and Transcriptomic Analyses Reveal that Blue Light Promotes Chlorogenic Acid Synthesis in Strawberry. J. Agric. Food Chem. 2020, 68, 12485–12492. [Google Scholar] [CrossRef] [PubMed]
- McDougall, G.J.; Foito, A.; Dobson, G.; Austin, C.; Sungurtas, J.; Su, S.; Wang, L.; Feng, C.; Li, S.; Wang, L.; et al. Glutathionyl-S-chlorogenic acid is present in fruit of Vaccinium species, potato tubers and apple juice. Food Chem. 2020, 330, 127227. [Google Scholar] [CrossRef] [PubMed]
- Liu, Q.M.; Yang, X.M.; Zhang, L.; Majetich, G. Optimization of ultrasonic-assisted extraction of chlorogenic acid from Folium eucommiae and evaluation of its antioxidant activity. J. Med. Plants Res. 2010, 4, 2503–2511. [Google Scholar]
- Zhang, X.; Zeng, L.; Sun, T.; Liu, X.; Hou, J.; Ma, Q.; Li, Y.; Lu, Q.; Chen, S. Purification of chlorogenic acid from Heijingang potatoes and evaluation of its binding properties to recombinant human serum albumin. J. Chromatogr. B Anal. Technol. Biomed. Life Sci. 2019, 1110–1111, 87–93. [Google Scholar] [CrossRef]
- Lemos, M.F.; de Andrade Salustriano, N.; de Souza Costa, M.M.; Lirio, K.; da Fonseca, A.F.A.; Pacheco, H.P.; Endringer, D.C.; Fronza, M.; Scherer, R. Chlorogenic acid and caffeine contents and anti-inflammatory and antioxidant activities of green beans of conilon and arabica coffees harvested with different degrees of maturation. J. Saudi Chem. Soc. 2022, 26, 101467. [Google Scholar] [CrossRef]
- Moreira, D.P.; Monteiro, M.C.; Ribeiro-Alves, M.; Donangelo, C.M.; Trugo, L.C. Contribution of Chlorogenic Acids to the Iron-Reducing Activity of Coffee Beverages. J. Agric. Food Chem. 2004, 53, 1399–1402. [Google Scholar] [CrossRef]
- Santana-Galvez, J.; Cisneros-Zevallos, L.; Jacobo-Velazquez, D.A. Chlorogenic Acid: Recent Advances on Its Dual Role as a Food Additive and a Nutraceutical against Metabolic Syndrome. Molecules 2017, 22, 358. [Google Scholar] [CrossRef]
- Venditti, A.; Bianco, A.; Frezza, C.; Conti, F.; Bini, L.M.; Giuliani, C.; Bramucci, M.; Quassinti, L.; Damiano, S.; Lupidi, G.; et al. Essential oil composition, polar compounds, glandular trichomes and biological activity of Hyssopus officinalis subsp. aristatus (Godr.) Nyman from central Italy. Ind. Crops Prod. 2015, 77, 353–363. [Google Scholar] [CrossRef]
- Mandrone, M.; Lorenzi, B.; Venditti, A.; Guarcini, L.; Bianco, A.; Sanna, C.; Ballero, M.; Poli, F.; Antognoni, F. Antioxidant and anti-collagenase activity of Hypericum hircinum L. Ind. Crops Prod. 2015, 76, 402–408. [Google Scholar] [CrossRef]
- Venditti, A.; Maggi, F.; Vittori, S.; Papa, F.; Serrilli, A.M.; Di Cecco, M.; Ciaschetti, G.; Mandrone, M.; Poli, F.; Bianco, A. Antioxidant and alpha-glucosidase inhibitory activities of Achillea tenorii. Pharm. Biol. 2015, 53, 1505–1510. [Google Scholar] [CrossRef] [PubMed]
- Sun, Z.; Zhang, X.; Wu, H.; Wang, H.; Bian, H.; Zhu, Y.; Xu, W.; Liu, F.; Wang, D.; Fu, L. Antibacterial activity and action mode of chlorogenic acid against Salmonella Enteritidis, a foodborne pathogen in chilled fresh chicken. World J. Microbiol. Biotechnol. 2020, 36, 24. [Google Scholar] [CrossRef] [PubMed]
- Tan, S.; Gao, J.; Li, Q.; Guo, T.; Dong, X.; Bai, X.; Yang, J.; Hao, S.; He, F. Synergistic effect of chlorogenic acid and levofloxacin against Klebsiella pneumonia infection in vitro and in vivo. Sci. Rep. 2020, 10, 20013. [Google Scholar] [CrossRef] [PubMed]
- Benzie, I.F.; Strain, J.J. The Ferric Reducing Ability of Plasma (FRAP) as a Measure of ‘‘Antioxidant Power’’: The FRAP Assay. Anal. Biochem. 1996, 239, 70–76. [Google Scholar] [CrossRef]
- Re, R.; Pellegrini, N.; Proteggente, A.; Pannala, A.; Yang, M.; Rice-Evans, C. Antioxidant Activity Applying an Improved Abts Radical Cation Decolorization Assay. Free Radic. Biol. Med. 1998, 26, 1231–1237. [Google Scholar] [CrossRef]
- Scherer, R.; Godoy, H.T. Antioxidant activity index (AAI) by the 2,2-diphenyl-1-picrylhydrazyl method. Food Chem. 2009, 112, 654–658. [Google Scholar] [CrossRef]
- Thom, E. The Effect of Chlorogenic Acid Enriched Coffee on Glucose Absorption in Healthy Volunteers and Its Effect on Body Mass When Used Long-term in Overweight and Obese People. J. Int. Med. Res. 2007, 35, 900–908. [Google Scholar] [CrossRef]
- Shimoda, H.; Seki, E.; Aitani, M. Inhibitory effect of green coffee bean extract on fat accumulation and body weight gain in mice. BMC Complement. Altern. Med. 2006, 6, 9. [Google Scholar] [CrossRef]
- Watanabe, T.; Arai, Y.; Mitsui, Y.; Kusaura, T.; Okawa, W.; Kajihara, Y.; Saito, I. The blood pressure-lowering effect and safety of chlorogenic acid from green coffee bean extract in essential hypertension. Clin. Exp. Hypertens. 2006, 28, 439–449. [Google Scholar] [CrossRef]
- Bassoli, B.K.; Cassolla, P.; Borba-Murad, G.R.; Constantin, J.; Salgueiro-Pagadigorria, C.L.; Bazotte, R.B.; da Silva, R.S.; de Souza, H.M. Chlorogenic acid reduces the plasma glucose peak in the oral glucose tolerance test: Effects on hepatic glucose release and glycaemia. Cell Biochem. Funct. 2008, 26, 320–328. [Google Scholar] [CrossRef]
- Wei, M.; Zheng, Z.; Shi, L.; Jin, Y.; Ji, L. Natural Polyphenol Chlorogenic Acid Protects Against Acetaminophen-Induced Hepatotoxicity by Activating ERK/Nrf2 Antioxidative Pathway. Toxicol. Sci. 2018, 162, 99–112. [Google Scholar] [CrossRef] [PubMed]
- Zhang, Y.; Miao, L.; Zhang, H.; Wu, G.; Zhang, Z.; Lv, J. Chlorogenic acid against palmitic acid in endoplasmic reticulum stress-mediated apoptosis resulting in protective effect of primary rat hepatocytes. Lipids Health Dis. 2018, 17, 270. [Google Scholar] [CrossRef] [PubMed]
- Traenckner, E.M.; Pahl, H.L.; Henkel, T.; Schmidt, K.N.; Wilk, S.; Baeuerle, P.A. Phosphorylation of human IKB-ox on serines 32 and 36 controls IKB-a proteolysis and NF-KB activation in response to diverse stimuli. EMBO J. 1995, 14, 2876–2883. [Google Scholar] [CrossRef] [PubMed]
- Bao, L.; Li, J.; Zha, D.; Zhang, L.; Gao, P.; Yao, T.; Wu, X. Chlorogenic acid prevents diabetic nephropathy by inhibiting oxidative stress and inflammation through modulation of the Nrf2/HO-1 and NF-kB pathways. Int. Immunopharmacol. 2018, 54, 245–253. [Google Scholar] [CrossRef]
- Budryn, G.; Nebesny, E.; Podsędek, A.; Żyżelewicz, D.; Materska, M.; Jankowski, S.; Janda, B. Effect of different extraction methods on the recovery of chlorogenic acids, caffeine and Maillard reaction products in coffee beans. Eur. Food Res. Technol. 2009, 228, 913–922. [Google Scholar] [CrossRef]
- Alves, L.A.; Almeida e Silva, J.B.; Giulietti, M. Solubility of D-Glucose in Water and Ethanol/Water Mixtures. J. Chem. Eng. Data 2007, 52, 2166–2170. [Google Scholar] [CrossRef]
- De Azevedo, A.B.A.; Mazzafera, P.; Mohamed, R.S.; Melo, S.A.B.; Kieckbusch, T.G. Extraction of Caffeine, Chlorogenic Acids and Lipids from Green Coffee Beans Using Supercritical Carbon Dioxide and Co-Solvents. Braz. J. Chem. Eng. 2008, 325, 543–552. [Google Scholar] [CrossRef]
- Chen, Y.; Yu, Q.J.; Li, X.; Luo, Y.; Liu, H. Extraction and HPLC Characterization of Chlorogenic Acid from Tobacco Residuals. Sep. Sci. Technol. 2007, 42, 3481–3492. [Google Scholar] [CrossRef]
- Bowden, N.A.; Sanders, J.P.M.; Bruins, M.E. Solubility of the Proteinogenic alpha-Amino Acids in Water, Ethanol, and Ethanol-Water Mixtures. J. Chem. Eng. Data 2018, 63, 488–497. [Google Scholar] [CrossRef]
- Galvão, A.C.; Robazza, W.S.; Sarturi, G.N.; Goulart, F.C.; Conte, D. Sucrose Solubility in Binary Liquid Mixtures Formed by Water–Methanol, Water–Ethanol, and Methanol–Ethanol at 303 and 313 K. J. Chem. Eng. Data 2016, 61, 2997–3002. [Google Scholar] [CrossRef]
- Huang, C.; Xie, Z.; Xu, J.; Qin, Y.; Du, Y.; Du, S.; Gong, J. Experimental and Modeling Studies on the Solubility of d-Pantolactone in Four Pure Solvents and Ethanol–Water Mixtures. J. Chem. Eng. Data 2015, 60, 870–875. [Google Scholar] [CrossRef]
- Yang, G.-D.; Li, C.; Zeng, A.-G.; Qu, Q.-H.; Yang, X.; Bian, X.-L. Solubility of osthole in a binary system of ethanol and water. Fluid Phase Equilibria 2012, 325, 41–44. [Google Scholar] [CrossRef]
- Zhou, L.; Zhang, P.; Yang, G.; Lin, R.; Wang, W.; Liu, T.; Zhang, L.; Zhang, J. Solubility of Chrysin in Ethanol and Water Mixtures. J. Chem. Eng. Data 2014, 59, 2215–2220. [Google Scholar] [CrossRef]
- Cuevas-Valenzuela, J.; González-Rojas, Á.; Wisniak, J.; Apelblat, A.; Pérez-Correa, J.R. Solubility of (+)-catechin in water and water-ethanol mixtures within the temperature range 277.6–331.2K: Fundamental data to design polyphenol extraction processes. Fluid Phase Equilibria 2014, 382, 279–285. [Google Scholar] [CrossRef]
- Klamt, A.; Schuurmann, G. COSMO: A new approach to dielectric screening in solvents with explicit expressions for the screening energy and its gradient. J. Chem. Soc. Perkin Trans. 2 1993, 799–805. [Google Scholar] [CrossRef]
- Klamt, A.; Eckert, F. COSMO-RS: A novel and efficient method for the a priori prediction of thermophysical data of liquids. Fluid Phase Equilibria 2000, 172, 43–72. [Google Scholar] [CrossRef]
- Lin, S.-T.; Sandler, S.I. A Priori Phase Equilibrium Prediction from a Segment Contribution Solvation Model. Ind. Eng. Chem. Res. 2002, 41, 899–913. [Google Scholar] [CrossRef]
- Lee, B.S.; Lin, S.T. Prediction and screening of solubility of pharmaceuticals in single- and mixed-ionic liquids using COSMO-SAC model. Aiche J. 2017, 63, 3096–3104. [Google Scholar] [CrossRef]
- Bell, I.H.; Mickoleit, E.; Hsieh, C.-M.; Lin, S.-T.; Vrabec, J.; Breitkopf, C.; Jäger, A. A Benchmark Open-Source Implementation of COSMO-SAC. J. Chem. Theory Comput. 2020, 16, 2635–2646. [Google Scholar] [CrossRef]
- Tung, H.-H.; Tabora, J.; Variankaval, N.; Bakken, D.; Chen, C.-C. Prediction of Pharmaceutical Solubility Via NRTL-SAC and COSMO-SAC. J. Pharm. Sci. 2008, 97, 1813–1820. [Google Scholar] [CrossRef]
- Antolović, I.; Vrabec, J.; Klajmon, M. COSMOPharm: Drug–Polymer Compatibility of Pharmaceutical Amorphous Solid Dispersions from COSMO-SAC. Mol. Pharm. 2024, 21, 4395–4415. [Google Scholar] [CrossRef] [PubMed]
- Bouillot, B.; Teychené, S.; Biscans, B. An Evaluation of COSMO-SAC Model and Its Evolutions for the Prediction of Drug-Like Molecule Solubility: Part 1. Ind. Eng. Chem. Res. 2013, 52, 9276–9284. [Google Scholar] [CrossRef]
- Shu, C.-C.; Lin, S.-T. Prediction of Drug Solubility in Mixed Solvent Systems Using the COSMO-SAC Activity Coefficient Model. Ind. Eng. Chem. Res. 2011, 50, 142–147. [Google Scholar] [CrossRef]
- Moodley, K.; Rarey, J.; Ramjugernath, D. Model evaluation for the prediction of solubility of active pharmaceutical ingredients (APIs) to guide solid-liquid separator design. Asian J. Pharm. Sci. 2018, 13, 265–278. [Google Scholar] [CrossRef]
- Oliveira, G.; Wojeicchowski, J.P.; Farias, F.O.; Igarashi-Mafra, L.; Soares, R.D.; Mafra, M.R. Enhancement of biomolecules solubility in aqueous media using designer solvents as additives: An experimental and COSMO-based models’ approach. J. Mol. Liq. 2020, 318, 114266. [Google Scholar] [CrossRef]
- Xiong, R.; Sandler, S.I.; Burnett, R.I. An Improvement to COSMO-SAC for Predicting Thermodynamic Properties. Ind. Eng. Chem. Res. 2014, 53, 8265–8278. [Google Scholar] [CrossRef]
- Hsieh, C.M.; Sandler, S.I.; Lin, S.T. Improvements of COSMO-SAC for vapor-liquid and liquid-liquid equilibrium predictions. Fluid Phase Equilibria 2010, 297, 90–97. [Google Scholar] [CrossRef]
- Kang, S.S.; Lee, J.; Kang, J.W. An extended COSMO-SAC method for the prediction of carboxylic acid solubility. Fluid Phase Equilibria 2020, 521, 112673. [Google Scholar] [CrossRef]
- Fingerhut, R.; Chen, W.-L.; Schedemann, A.; Cordes, W.; Rarey, J.; Hsieh, C.-M.; Vrabec, J.; Lin, S.-T. Comprehensive Assessment of COSMO-SAC Models for Predictions of Fluid-Phase Equilibria. Ind. Eng. Chem. Res. 2017, 56, 9868–9884. [Google Scholar] [CrossRef]
- Wang, J.F.; Sun, W.; Li, C.X.; Wang, Z.H. Correlation of infinite dilution activity coefficient of solute in ionic liquid using UNIFAC model. Fluid Phase Equilibria 2008, 264, 235–241. [Google Scholar] [CrossRef]
- Alevizou, E.I.; Pappa, G.D.; Voutsas, E.C. Prediction of phase equilibrium in mixtures containing ionic liquids using UNIFAC. Fluid. Phase Equilibria 2009, 284, 99–105. [Google Scholar] [CrossRef]
- Chen, C.-C.; Crafts, P.A. Correlation and prediction of drug molecule solubility with the NRTL-SAC model. Comput. Aided Chem. Eng. 2006, 21, 859–864. [Google Scholar]
- Adamska, K.; Voelkel, A. Hansen solubility parameters for polyethylene glycols by inverse gas chromatography. J. Chromatogr. A 2006, 1132, 260–267. [Google Scholar] [CrossRef] [PubMed]
- Just, S.; Sievert, F.; Thommes, M.; Breitkreutz, J. Improved group contribution parameter set for the application of solubility parameters to melt extrusion. Eur. J. Pharm. Biopharm. 2013, 85 Pt B, 1191–1199. [Google Scholar] [CrossRef]
- Shekaari, H.; Zafarani-Moattar, M.T.; Mokhtarpour, M.; Faraji, S. Solubility of hesperidin drug in aqueous biodegradable acidic choline chloride-based deep eutectic solvents. Sci. Rep. 2023, 13, 11276. [Google Scholar] [CrossRef]
- Zhao, M.; Wang, H.; Yang, B.; Tao, H. Identification of cyclodextrin inclusion complex of chlorogenic acid and its antimicrobial activity. Food Chem. 2010, 120, 1138–1142. [Google Scholar] [CrossRef]
- Ramesh, K.; Sharma, T.S.F.; Hajaligol, M.R. Effect of reaction conditions on pyrolysis of chlorogenic acid. J. Anal. Appl. Pyrolysis 2002, 62, 281–296. [Google Scholar]
- Taylor, B.N.; Kuyatt, C.E. Guidelines for Evaluating and Expressing the Uncertainty of NIST Measurement Results. 2001. Available online: http://physics.nist.gov/TN1297 (accessed on 2 November 2024).
- Rudtsch, S. Uncertainty of heat capacity measurements with differential scanning calorimeters. Thermochim. Acta 2002, 382, 17–25. [Google Scholar] [CrossRef]
- Chen, W.-L.; Lin, S.-T. Explicit consideration of spatial hydrogen bonding direction for activity coefficient prediction based on implicit solvation calculations. Phys. Chem. Chem. Phys. 2017, 19, 20367–20376. [Google Scholar] [CrossRef]
- Wang, S.; Sandler, S.I.; Chen, C.-C. Refinement of COSMO−SAC and the Applications. Ind. Eng. Chem. Res. 2007, 46, 7275–7288. [Google Scholar] [CrossRef]
- Hansen, C.M. Hansen Solubility Parameters: A User’s Handbook, 2nd ed.; CRC Press: Boca Raton, FL, USA, 2007. [Google Scholar]
- Radmand, S.; Rezaei, H.; Zhao, H.; Rahimpour, E.; Jouyban, A. Solubility and thermodynamic study of deferiprone in propylene glycol and ethanol mixture. BMC Chem. 2023, 17, 37. [Google Scholar] [CrossRef] [PubMed]
- Huang, L.; Guo, Y.; Jin, T.; Yan, K.; Liu, X.; He, S.; Li, L.; Gong, Y.; Ma, J.; Yu, H.; et al. Extraction of triterpene acids from loquat leaves via a novel hydrophobic deep eutectic solvent screened by COSMO-SAC model. J. Clean. Prod. 2023, 427, 139274. [Google Scholar] [CrossRef]
- Wojeicchowski, J.P.; Ferreira, A.M.; Abranches, D.O.; Mafra, M.R.; Coutinho, J.A.P. Using COSMO-RS in the Design of Deep Eutectic Solvents for the Extraction of Antioxidants from Rosemary. ACS Sustain. Chem. Eng. 2020, 8, 12132–12141. [Google Scholar] [CrossRef]
- Sandler, S.I. Chemical, Biochemical, and Engineering Thermodynamics, 4th ed.; John Wiley & Sons, Inc.: Hoboken, NJ, USA, 2006. [Google Scholar]
- Staverman, A.J. The Entropy of High Polymer Solutions. Rec. Trav. Chim. Pays Bas 1950, 69, 163–174. [Google Scholar] [CrossRef]
- Lin, S.T.; Hsieh, C.M. Efficient and accurate solvation energy calculation from polarizable continuum models. J. Chem. Phys. 2006, 125, 124103. [Google Scholar] [CrossRef]






| Property | This Work * | Ramesh et al. [56] | Zhao et al. [57] |
|---|---|---|---|
| Melting temperature [K] | 468.6 ± 0.4 | 481.15 K | 464.15 K |
| Melting enthalpy [kJ/mol] | 27.47 ± 4 | - | - |
| Temp. * [K] | Solubility in Ethanol | Solubility in Water | ||
|---|---|---|---|---|
| ppm | Mole Fraction | ppm | Mole Fraction | |
| 298.15 | 3.18 × 105 ± 1.12 × 103 | 0.0571 ± 2.79 × 10−4 | 2.04 × 104 ± 1.80 × 103 | 0.0011 ± 9.53 × 10−5 |
| 303.15 | 3.37 × 105 ± 1.01 × 104 | 0.0619 ± 2.62 × 10−3 | 2.21 × 104 ± 2.44 × 102 | 0.0012 ± 1.29 × 10−5 |
| 308.15 | 3.83 × 105 ± 5.67 × 103 | 0.0748 ± 1.66 × 10−3 | 3.13 × 104 ± 9.45 × 101 | 0.0016 ± 5.10 × 10−6 |
| 313.15 | 3.88 × 105 ± 3.65 × 101 | 0.0762 ± 4.19 × 10−5 | 4.14 × 104 ± 1.10 × 102 | 0.0022 ± 6.03 × 10−6 |
| 318.15 | 4.30 × 105 ± 1.95 × 104 | 0.0894 ± 6.49 × 10−3 | 5.74 × 104 ± 1.37 × 103 | 0.0031 ± 7.77 × 10−5 |
| Temp. * [K] | Weight Fraction of Water | Solubility in Mixed Solvents | |
|---|---|---|---|
| ppm | Mole Fraction | ||
| 298.15 | 0.1807 | 3.51 × 105 ± 9.24 × 102 | 0.0485 ± 1.87 × 10−4 |
| 0.3436 | 3.45 × 105 ± 1.10 × 102 | 0.0384 ± 1.80 × 10−5 | |
| 0.5393 | 2.69 × 105 ± 1.43 × 104 | 0.0231 ± 1.64 × 10−3 | |
| 0.7779 | 7.45 × 104 ± 4.37 × 102 | 0.0045 ± 2.86 × 10−5 | |
| 308.15 | 0.1725 | 3.97 × 105 ± 2.85 × 103 | 0.0586 ± 6.57 × 10−4 |
| 0.3235 | 4.20 × 105 ± 4.52 × 103 | 0.0521 ± 9.16 × 10−4 | |
| 0.4919 | 3.35 × 105 ± 9.82 × 101 | 0.0307 ± 1.31 × 10−5 | |
| 0.7281 | 1.48 × 105 ± 8.88 × 102 | 0.0098 ± 6.80 × 10−5 | |
| 318.15 | 0.1648 | 4.63 × 105 ± 6.04 × 103 | 0.0753 ± 1.69 × 10−3 |
| 0.3109 | 4.78 × 105 ± 8.98 × 103 | 0.0648 ± 2.18 × 10−3 | |
| 0.4496 | 4.60 × 105 ± 7.72 × 102 | 0.0520 ± 1.53 × 10−4 | |
| 0.6471 | 2.92 × 105 ± 6.08 × 102 | 0.0228 ± 6.55 × 10−5 | |
| Chemical Material | CAS Number | Structure | Molecular Weight [g/mol] | Source | Purity [%] |
|---|---|---|---|---|---|
| Chlorogenic acid (C16H18O9) | 327-97-9 | ![]() | 354.311 | ALADDIN, China | 98 |
| Ethyl alcohol (C2H6O) | 64-17-5 | ![]() | 46.069 | DAEJUNG, Republic of Korea | Anhydrous, 99.9 |
Disclaimer/Publisher’s Note: The statements, opinions and data contained in all publications are solely those of the individual author(s) and contributor(s) and not of MDPI and/or the editor(s). MDPI and/or the editor(s) disclaim responsibility for any injury to people or property resulting from any ideas, methods, instructions or products referred to in the content. |
© 2025 by the authors. Licensee MDPI, Basel, Switzerland. This article is an open access article distributed under the terms and conditions of the Creative Commons Attribution (CC BY) license (https://creativecommons.org/licenses/by/4.0/).
Share and Cite
Jeon, H.J.; Lee, B.-S.; Park, C. Extraction of Chlorogenic Acid Using Single and Mixed Solvents. Molecules 2025, 30, 481. https://doi.org/10.3390/molecules30030481
Jeon HJ, Lee B-S, Park C. Extraction of Chlorogenic Acid Using Single and Mixed Solvents. Molecules. 2025; 30(3):481. https://doi.org/10.3390/molecules30030481
Chicago/Turabian StyleJeon, Hyeon Ji, Bong-Seop Lee, and Changhyup Park. 2025. "Extraction of Chlorogenic Acid Using Single and Mixed Solvents" Molecules 30, no. 3: 481. https://doi.org/10.3390/molecules30030481
APA StyleJeon, H. J., Lee, B.-S., & Park, C. (2025). Extraction of Chlorogenic Acid Using Single and Mixed Solvents. Molecules, 30(3), 481. https://doi.org/10.3390/molecules30030481



