Application of Comb-Type Fluorocarbon Polymer Surfactants as Dispersants in Insecticidal and Fungicidal Suspension Concentrates
Abstract
1. Introduction
2. Results and Discussion
2.1. Content and Suspensibility
2.1.1. Content and Suspensibility of 15% Indoxacarb SC
2.1.2. Content and Suspensibility of 22% Iprodione SC
2.2. Particle Size and Morphology Characterization
2.3. Other Physicochemical Parameters
2.4. Rheological Analysis
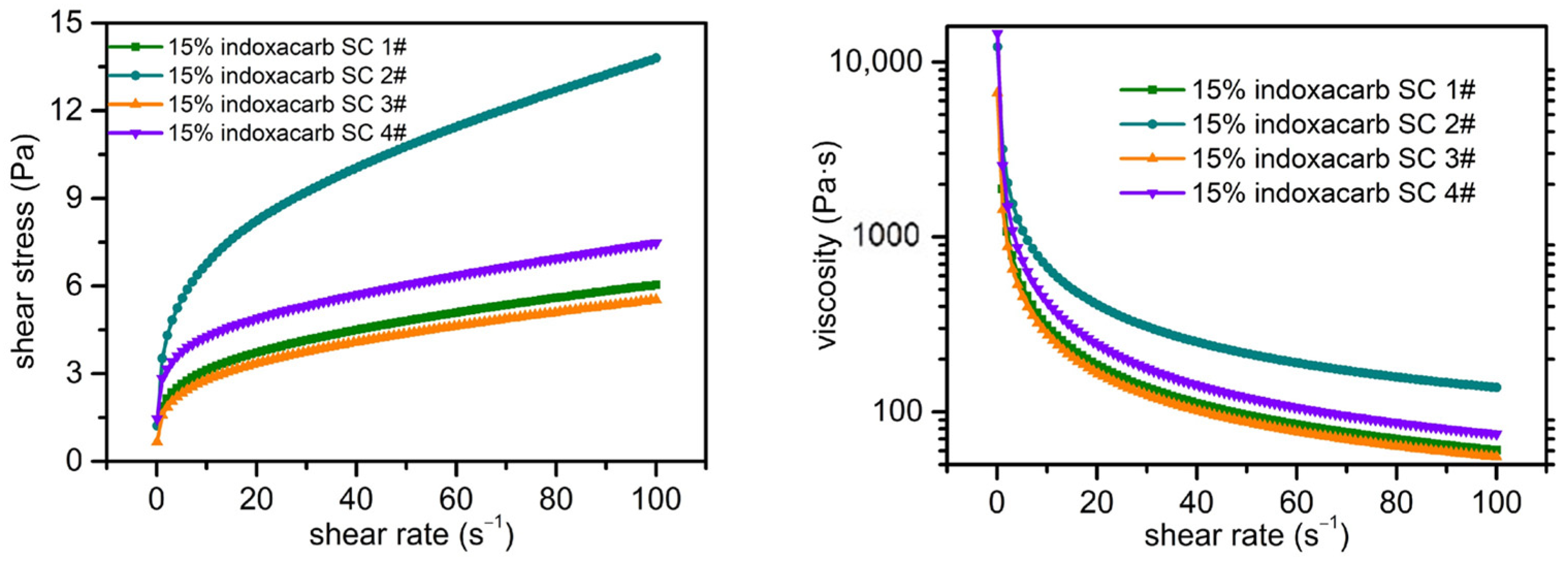
2.4.1. Rheological Analysis of 15% Indoxacarb SC
2.4.2. Rheological Analysis of 22% Iprodione SC
2.5. Biological Activity
2.5.1. Insecticidal Activity of 15% Indoxacarb SC
2.5.2. Fungicidal Activities of 22% Iprodione SC
3. Materials and Methods
3.1. Materials
3.2. Instruments
3.3. Preparation of 15% Indoxacarb SC and 22% Iprodione SC
3.4. Content Determination
3.4.1. Sample Preparation
3.4.2. HPLC Operating Conditions
3.5. Suspensibility Determination
3.6. Particle Size Determination
3.7. Morphology Characterization
3.7.1. Optical Microscope
3.7.2. Scanning Electron Microscope
3.8. pH Value Test
3.9. Foam Persistence Test
3.10. Stability Test
3.11. Rheological Test
3.12. Biological Activity Study
3.12.1. Bioactivity Test of 15% Indoxacarb SC
3.12.2. The Fungicidal Activity of 22% Iprodione SC
4. Conclusions
Author Contributions
Funding
Institutional Review Board Statement
Informed Consent Statement
Data Availability Statement
Conflicts of Interest
References
- Chan, D.H.H.; Deane, O.J.; Kynaston, E.L.; Lindsay, C.; Taylor, P.; Armes, S.P. Sterically stabilized diblock copolymer nanoparticles enable convenient preparation of suspension concentrates comprising various agrochemical actives. Langmuir 2022, 38, 2885–2894. [Google Scholar] [CrossRef]
- Peng, R.F.; Pang, Y.X.; Qiu, X.Q.; Qian, Y.; Zhou, M.S. Synthesis of anti-photolysis lignin-based dispersant and its application in pesticide suspension concentrate. RSC Adv. 2020, 10, 13830–13837. [Google Scholar] [CrossRef]
- Zhang, S.P.; Yang, X.D.; Tu, Z.B.; Hua, W.D.; He, P.H.; Li, H.H.; Zhang, B.; Ren, T.R. Influence of the hydrophilic moiety of polymeric surfactant on their surface activity and physical stability of pesticide suspension concentrate. J. Mol. Liq. 2020, 317, 114136. [Google Scholar] [CrossRef]
- Zhang, M.Q.; Tu, Z.B.; He, P.H.; Hua, W.D.; Chen, Y.; Shi, Z.F.; Wei, Z.L.; Ren, T.R.; Zhang, B. An efficient organosilane-modified polycarboxylate dispersant with excellent dispersing performance and superior wettability for tebuconazole suspension concentrate. New J. Chem. 2021, 45, 18781–18789. [Google Scholar] [CrossRef]
- Dong, Y.H.; Zhang, D.; Li, D.G.; Jia, H.; Qin, W.P. Control of Ostwald ripening. Sci. China Mater. 2023, 66, 1249–1255. [Google Scholar] [CrossRef]
- Guo, Y.L.; Zhang, X.P.; Wang, X.H.; Zhang, L.; Xu, Z.H.; Sun, D.J. Nanoemulsions stable against Ostwald ripening. Langmuir 2024, 40, 1364–1372. [Google Scholar] [CrossRef] [PubMed]
- Zhang, H.G.; Chen, S.; Zhang, B.; Zhang, X.R. Inhibiting Ostwald ripening by scaffolding droplets. Langmuir 2020, 36, 13682–13688. [Google Scholar] [CrossRef]
- Chen, C.L.; Liao, Y.F.; Lu, F.; Zheng, Y.S.; Peng, Y.Y.; Ding, C.W.; Tong, Q.X. Facile synthesis, surface activity, wettability and ultrahigh foaming properties of novel nonionic Gemini fluorocarbon surfactants. J. Mol. Liq. 2020, 302, 112469. [Google Scholar] [CrossRef]
- Peng, Y.Y.; Lu, F.; Tong, Q.X. One-step synthesis, wettability and foaming properties of high-performance non-ionic hydro-fluorocarbon hybrid surfactants. Appl. Surf. Sci. 2018, 433, 264–270. [Google Scholar] [CrossRef]
- Zhang, D.; Sha, M.; Pan, R.M.; Lin, X.Y.; Xing, P.; Jiang, B. CF3CF2CF2C(CF3)2-based fluorinated surfactants with high surface activity. Chem. Pap. 2019, 73, 1499–1508. [Google Scholar] [CrossRef]
- Zhang, D.; Sha, M.; Pan, R.M.; Lin, X.Y.; Xing, P.; Jiang, B. Design and synthesis of the novel branched fluorinated surfactant intermediates with CF3CF2CF2C(CF3)2 group. Chin. Chem. Lett. 2019, 30, 566–568. [Google Scholar] [CrossRef]
- Munoz, G.; Desrosiers, M.; Duy, S.V.; Labadie, P.; Budzinski, H.; Liu, J.X.; Sauvé, S. Environmental occurrence of perfluoroalkyl acids and novel fluorotelomer surfactants in the freshwater fish Catostomus commersonii and sediments following firefighting foam deployment at the Lac-Mégantic railway accident. Environ. Sci. Technol. 2017, 51, 1231–1240. [Google Scholar] [CrossRef] [PubMed]
- Fanga, C.; Megharaj, M.; Naidu, R. Electrochemical detection of thioether-based fluorosurfactants in aqueous film-forming foam (AFFF). Electroanalysis 2017, 29, 1095–1102. [Google Scholar] [CrossRef]
- Chiu, Y.L.; Chan, H.F.; Phua, K.K.L.; Zhang, Y.; Juul, S.; Knudsen, B.R.; Ho, Y.P.; Leong, K.W. Synthesis of fluorosurfactants for emulsion-based biological applications. ACS Nano 2014, 8, 3913–3920. [Google Scholar] [CrossRef]
- van de Wouw, H.L.; Yen, S.T.; Valet, M.; Garcia, J.A.; Gomez, C.O.; Vian, A.; Liu, Y.C.; Pollock, J.; Pospíšil, P.; Campàs, O.; et al. Non-ionic fluorosurfactants for droplet-based in vivo applications. Angew. Chem. Int. Ed. 2024, 63, e202404956. [Google Scholar] [CrossRef] [PubMed]
- Peshoria, S.; Nandini, D.; Tanwar, R.K.; Narang, R. Short-chain and long-chain fluorosurfactants in firefighting foam: A review. Environ. Chem. Lett. 2020, 18, 1277–1300. [Google Scholar] [CrossRef]
- Eastoe, J.; Paul, A.; Rankin, A.; Wat, R.; Penfold, J.; Webster, J.R.P. Fluorinated nonionic surfactants bearing either CF3- or H-CF2-terminal groups: Adsorption at the surface of aqueous solutions. Langmuir 2001, 17, 7873–7878. [Google Scholar] [CrossRef]
- Parlato, M.C.; Jee, J.P.; Teshite, M.; Mecozzi, S. Synthesis, characterization, and applications of hemifluorinated dibranched amphiphiles. J. Org. Chem. 2011, 76, 6584–6591. [Google Scholar] [CrossRef]
- Wagner, O.; Thiele, J.; Weinhart, M.; Mazutis, L.; Weitz, D.A.; Huck, W.T.S.; Haag, R. Biocompatible fluorinated polyglycerols for droplet microfluidics as an alternative to PEG-based copolymer surfactants. Lab Chip 2016, 16, 65–69. [Google Scholar] [CrossRef]
- Zhou, R.; Jin, Y.; Shen, Y.C.; Lai, S.Q.; Zhou, Y.T.; Zhao, P. Surface activity, salt and pH tolerance, and wettability of novel nonionic fluorinated surfactants with a short fluorocarbon chain. J. Dispers. Sci. Technol. 2020, 42, 152–159. [Google Scholar] [CrossRef]
- Wang, R.G.; Song, L.Y.; Guo, Y.Q.; Kou, J.J.; Song, H.J.; Liu, Y.X.; Zhang, J.J.; Wang, Q.M. Synthesis and structure–activity relationships of nonionic surfactants with short fluorocarbon chains. J. Mol. Liq. 2021, 321, 114486. [Google Scholar] [CrossRef]
- Meng Liu, M.; Farrell, J.D.; Zhang, X.R.; Dobnikar, J.; Angioletti-Uberti, S. The role of surface topography in the self-assembly of polymeric surfactants. Soft Matter 2023, 19, 1709–1719. [Google Scholar] [CrossRef]
- Seong, H.G.; Chen, Z.; Emrick, T.; Russell, T.P. Reconfiguration and reorganization of bottlebrush polymer surfactants. Angew. Chem. Int. Ed. 2022, 61, e202200530. [Google Scholar] [CrossRef] [PubMed]
- Song, L.Y.; Wang, R.G.; Niu, K.K.; Liu, Y.X.; Kou, J.J.; Song, H.J.; Zhang, J.J.; Wang, Q.M. Design, synthesis, characterization, and surface activities of comb-like polymeric fluorinated surfactants with short fluoroalkyl chains. Colloids Surf. A 2021, 609, 125666. [Google Scholar] [CrossRef]
- Azum, N.; Rub, M.A.; Asiri, A.M.; Bawazeerb, W.A. Micellar and interfacial properties of amphiphilic drug–non-ionic surfactants mixed systems: Surface tension, fluorescence and UV–vis studies. Colloids Surf. A Physicochem. Eng. Asp. 2017, 522, 183–192. [Google Scholar] [CrossRef]
- Zhang, S.P.; Wang, J.; Yang, X.D.; Zhang, B.; Ren, T.R. Impact of EO chain length of dodecanol ethoxylates (C12En) on the rheological properties and physical stability of pesticide suspension concentrate. Colloids Surf. A 2021, 627, 127163. [Google Scholar] [CrossRef]
- Zhao, R.N.; Song, R.; Sun, G.G.; Liu, S.L.; Li, B.; Cao, Y.P.; Li, Y. Cutoff Ostwald ripening stability of eugenol-in-water emulsion by co-stabilization method and antibacterial activity evaluation. Food Hydrocoll. 2020, 107, 105925. [Google Scholar] [CrossRef]
- GB/T 14825-2006; Determination Method for Suspensibility of Pesticides. China Standard Press: Beijing, China, 2006.
- GB/T 1601-93; Method for Determination of pH Value of Pesticides. China Standard Press: Beijing, China, 1994.
- GB/T 28137-2011; Method for Determination of Persistent Foaming Property of Pesticides. China Standard Press: Beijing, China, 2011.
- GB/T 19136-2003; Method for Determination of Thermal Storage Stability of Pesticides. China Standard Press: Beijing, China, 2003.
- GB/T 19137-2003; Method for Determination of Low-Temperature Storage Stability of Pesticides. China Standard Press: Beijing, China, 2003.





![]() | poly(PEGMEMAm-FMAn) | p | q | m/n 1 | Mn2 × 104 (Daltons) | Mw3 × 104 (Daltons) | PDI 4 |
| Comb-S 1 | 4 | 2 | 3/1 | 1.644 | 6.764 | 4.11 | |
| Comb-S 2 | 4 | 6 | 3/1 | 2.067 | 6.197 | 3.00 | |
| Comb-S 3 | 20 | 6 | 3/1 | 1.745 | 2.191 | 1.26 |
| Formulation Number | Dispersant | Storage Temperature/°C | Nominal Size (μm) | Active Ingredient Content/% | Suspensibility/% | ||
|---|---|---|---|---|---|---|---|
| D10 | D50 | D90 | |||||
| 15% indoxacarb SC 1# | SP-27001 SP-SC29 | 54 | 0.850 | 2.433 | 6.898 | 15.35 | 97.29 |
| 0 | 0.640 | 1.804 | 4.964 | 15.19 | 98.57 | ||
| −18 | 0.595 | 1.769 | 4.870 | 15.43 | 98.78 | ||
| 15% indoxacarb SC 2# | Comb-S 1 | 54 | 0.894 | 3.998 | 10.69 | 16.08 | 95.22 |
| 0 | 0.602 | 1.497 | 3.520 | 14.70 | 99.53 | ||
| −18 | 0.610 | 1.554 | 3.695 | 15.12 | 97.15 | ||
| 15% indoxacarb SC 3# | Comb-S 2 SP-SC29 | 54 | 0.867 | 2.481 | 6.832 | 15.82 | 98.08 |
| 0 | 0.558 | 1.591 | 4.208 | 15.36 | 98.95 | ||
| −18 | 0.556 | 1.607 | 4.419 | 15.21 | 98.39 | ||
| 15% indoxacarb SC 4# | Comb-S 3 SP-SC29 | 54 | 0.753 | 2.058 | 5.483 | 15.14 | 97.07 |
| 0 | 0.562 | 1.648 | 4.550 | 14.37 | 98.93 | ||
| −18 | 0.632 | 2.314 | 5.885 | 14.06 | 96.53 | ||
| Formulation Number | Dispersant | Storage Temperature/°C | Nominal Size (μm) | Active Ingredient Content/% | Suspensibility/% | ||
|---|---|---|---|---|---|---|---|
| D10 | D50 | D90 | |||||
| 22% iprodione SC 1# | SP-SC29 SP-27001 | 54 | 1.099 | 3.261 | 8.742 | 23.06 | 95.87 |
| 0 | 0.818 | 2.344 | 5.556 | 23.04 | 98.64 | ||
| −18 | 0.910 | 3.190 | 9.193 | 22.74 | 56.48 | ||
| 22% iprodione SC 2# | Comb-S 2 | 54 | 1.064 | 4.421 | 12.01 | 23.62 | 91.61 |
| 0 | 0.708 | 1.884 | 4.248 | 23.31 | 99.08 | ||
| −18 | 0.775 | 2.469 | 6.139 | 23.20 | 96.28 | ||
| 22% iprodione SC 3# | Comb-S 2 SP-27001 | 54 | 1.080 | 3.202 | 8.806 | 23.30 | 96.32 |
| 0 | 0.795 | 2.199 | 5.013 | 23.18 | 99.11 | ||
| −18 | 0.872 | 3.061 | 9.395 | 22.60 | 65.36 | ||
| 22% iprodione SC 4# | SP-SC29 Comb-S 2 | 54 | 1.085 | 3.439 | 9.155 | 22.91 | 93.52 |
| 0 | 0.775 | 2.152 | 4.983 | 23.11 | 99.08 | ||
| −18 | 0.815 | 2.409 | 5.663 | 23.03 | 96.10 | ||
| 22% iprodione SC 5# | SP-SC29 YUS-FS3000 | 54 | 1.026 | 3.041 | 8.378 | 23.55 | 96.18 |
| 0 | 0.788 | 2.207 | 5.194 | 23.09 | 97.31 | ||
| −18 | 0.771 | 2.195 | 5.171 | 22.91 | 95.76 | ||
| Physicochemical Parameter | 15% Indoxacarb SC 1# | 15% Indoxacarb SC 2# | 15% Indoxacarb SC 3# | 15% Indoxacarb SC 4# |
|---|---|---|---|---|
| pH value | 5.43 | 5.74 | 5.25 | 5.78 |
| Persistent foam (mL) | 6 | 0 | 8 | 10 |
| Dispersity | Good | Good | Good | Good |
| Stability at 54 °C | Qualified | Qualified | Qualified | Qualified |
| Stability at 0 °C | Qualified | Qualified | Qualified | Qualified |
| Physicochemical Parameter | 22% Iprodione SC 1# | 22% Iprodione SC 2# | 22% Iprodione SC 3# | 22% Iprodione SC 4# | 22% Iprodione SC 5# |
|---|---|---|---|---|---|
| pH value | 6.53 | 6.60 | 6.58 | 5.73 | 5.79 |
| Persistent foam (mL) | 4 | 18 | 20 | 8 | 10 |
| Dispersity | Good | Good | Good | Good | Good |
| Stability at 54 °C | Qualified | Qualified | Qualified | Qualified | Qualified |
| Stability at 0 °C | Qualified | Qualified | Qualified | Qualified | Qualified |
| Formulation Number | k | c | R2 | |
|---|---|---|---|---|
| 15% indoxacarb SC 1# | 1.2402 | 0.7183 | 0.4112 | 0.9996 |
| 15% indoxacarb SC 2# | 0.5110 | 2.8485 | 0.3307 | 0.9977 |
| 15% indoxacarb SC 3# | 0.4443 | 1.0454 | 0.3405 | 0.9980 |
| 15% indoxacarb SC 4# | 1.3623 | 1.3039 | 0.3310 | 0.9941 |
| 22% Iprodione SC 4# | k | c | R2 | |
|---|---|---|---|---|
| 0 °C | 0.3949 | 1.1932 | 0.3115 | 0.9970 |
| −18 °C | 0.2253 | 1.4321 | 0.3087 | 0.9980 |
| 54 °C | 0.2371 | 1.3606 | 0.3346 | 0.9975 |
| Formulation Number | y = ax + b | EC50 (µg mL−1) |
|---|---|---|
| 15% indoxacarb SC 1# | y = 3.8473x + 2.4675 | 4.5523 |
| 15% indoxacarb SC 2# | y = 3.8976x + 2.7596 | 3.7569 |
| 15% indoxacarb SC 3# | y = 2.8705x + 3.4878 | 3.3637 |
| 15% indoxacarb SC 4# | y = 2.5169x + 3.7377 | 3.1734 |
| Formulation Number | y = ax + b | EC50 (µg mL−1) |
|---|---|---|
| 22% iprodione SC 1# | y = 0.6267x + 4.8641 | 1.6476 |
| 22% iprodione SC 2# | y = 1.2913x + 4.7708 | 1.5048 |
| 22% iprodione SC 3# | y = 0.8570x + 4.8072 | 1.6787 |
| 22% iprodione SC 4# | y = 1.0058x + 4.7459 | 1.7891 |
| 22% iprodione SC 5# | y = 0.9371x + 4.7300 | 1.9413 |
| Ingredient | Formula (g) | 15% Indoxacarb SC1# | 15% Indoxacarb SC2# | 15% Indoxacarb SC3# | 15% Indoxacarb SC4# |
|---|---|---|---|---|---|
| Technical material (15%) | 15.5 | 97% Indoxacarb TC | |||
| Dispersant (3%) | 3 | SP-27001 | Comb-S 1 | Comb-S 2 | Comb-S 3 |
| Dispersant (2%) | 2 | SP-SC29 | SP-SC29 | SP-SC29 | |
| Thickener (1%) | 1 | Magnesium aluminum silicate | |||
| Thickener (0.2%) | 0.2 | 1% Xanthan gum | |||
| Preservatives (0.2%) | 0.2 | S-30 | |||
| Anticaking agent (1%) | 1 | White carbon black | |||
| Antifreeze (4%) | 4 | Ethylene glycol | |||
| pH regulator (0.2%) | 0.2 | Citric acid | |||
| Antifoamer (0.2%) | 0.2 | 1501 | |||
| Solvent | 72.7 | Deionized water | |||
| Ingredient | Formula (g) | 22% Iprodione SC 1# | 22% Iprodione SC 2# | 22% Iprodione SC 3# | 22% Iprodione SC 4# | 22% Iprodione SC 5# |
|---|---|---|---|---|---|---|
| Technical material (22%) | 32.5 | 95% Iprodione TC | ||||
| Dispersant (2%) | 2.8 | SP- SC29 | Comb-S 2 | Comb-S 2 | SP-SC29 | SP-SC29 |
| Dispersant (3%) | 4.2 | SP-27001 | SP-27001 | Comb-S 2 | YUS-FS3000 | |
| Thickener (0.5%) | 0.7 | Magnesium aluminum silicate | ||||
| Thickener (0.2%) | 0.28 | 1% Xanthan gum | ||||
| Preservatives (0.2%) | 0.28 | S-30 | ||||
| Anticaking agent (1%) | 1.4 | White carbon black | ||||
| Antifreeze (4%) | 5.6 | Ethylene glycol | ||||
| Antifoamer (0.2%) | 0.3 | 1501 | ||||
| Solvent | 91.94 | Deionized water | ||||
Disclaimer/Publisher’s Note: The statements, opinions and data contained in all publications are solely those of the individual author(s) and contributor(s) and not of MDPI and/or the editor(s). MDPI and/or the editor(s) disclaim responsibility for any injury to people or property resulting from any ideas, methods, instructions or products referred to in the content. |
© 2025 by the authors. Licensee MDPI, Basel, Switzerland. This article is an open access article distributed under the terms and conditions of the Creative Commons Attribution (CC BY) license (https://creativecommons.org/licenses/by/4.0/).
Share and Cite
Zhang, J.; Song, L.; Ma, R.; Kou, J.; Liu, Y.; Wang, Q. Application of Comb-Type Fluorocarbon Polymer Surfactants as Dispersants in Insecticidal and Fungicidal Suspension Concentrates. Molecules 2025, 30, 4034. https://doi.org/10.3390/molecules30204034
Zhang J, Song L, Ma R, Kou J, Liu Y, Wang Q. Application of Comb-Type Fluorocarbon Polymer Surfactants as Dispersants in Insecticidal and Fungicidal Suspension Concentrates. Molecules. 2025; 30(20):4034. https://doi.org/10.3390/molecules30204034
Chicago/Turabian StyleZhang, Jingjing, Lingyun Song, Ruiying Ma, Junjie Kou, Yuxiu Liu, and Qingmin Wang. 2025. "Application of Comb-Type Fluorocarbon Polymer Surfactants as Dispersants in Insecticidal and Fungicidal Suspension Concentrates" Molecules 30, no. 20: 4034. https://doi.org/10.3390/molecules30204034
APA StyleZhang, J., Song, L., Ma, R., Kou, J., Liu, Y., & Wang, Q. (2025). Application of Comb-Type Fluorocarbon Polymer Surfactants as Dispersants in Insecticidal and Fungicidal Suspension Concentrates. Molecules, 30(20), 4034. https://doi.org/10.3390/molecules30204034


