Abstract
The overprescription of antibiotics in medicine and agriculture has accelerated the development and spread of antibiotic resistance in bacteria, which severely limits the arsenal available to clinicians for treating bacterial infections. This work discovered a new class of heteroarylcyanovinyl quinazolones and quinazolone pyridiniums to surmount the increasingly severe bacterial resistance. Bioactive assays manifested that the highly active compound 19a exhibited strong inhibition against MRSA and Escherichia coli with extremely low MICs of 0.5 μg/mL, being eightfold more active than that of norfloxacin (MICs = 4 μg/mL). The highly active 19a with rapid bactericidal properties displayed imperceptible resistance development trends, negligible hemolytic toxicity, and effective biofilm inhibitory effects. Preliminary explorations on antibacterial mechanisms revealed that compound 19a could cause membrane damage, embed in intracellular DNA to hinder bacterial DNA replication, and induce metabolic dysfunction. Surprisingly, active 19a was found to trigger the conformational change in PBP2a of MRSA to open the active site, which might account for its high inhibition against MRSA. In addition, the little effect of molecule 19a on the production of reactive oxygen species indicated that bacterial death was not caused by oxidative stress. The above comprehensive analyses highlighted the large potential of quinazolone pyridiniums as multitargeting broad-spectrum antibacterial agents.
1. Introduction
The advent of antibiotics in the 20th century marked a monumental leap in medical science, offering humanity a powerful weapon against bacterial infections. This discovery, alongside the subsequent development of various synthetic antibacterial agents, significantly reduced the morbidity and mortality associated with infectious diseases [1,2]. However, the overuse and misuse of antimicrobials have precipitated a decline in the effectiveness of traditional antibiotics, and exacerbated the emergence of cross-resistance among different classes of antibiotics, which poses a formidable challenge against microbial infections [3,4]. Hence, there is an urgent need to identify new classes of antibacterial drugs with novel structures to conquer infections caused by multidrug-resistant bacteria.
Quinazolone is a crucial structural scaffold widely present in some traditional Chinese herbal medicinal ingredients such as dichroine, evodiamine, and tryptanthrine. This unique scaffold with easy modification has been extensively employed in medicinal design, and a large number of quinazolone-based drugs such as idelalisib, metolazone, afloqualone, and so on have achieved remarkable successes in clinical practice to treat various diseases [5,6,7]. Particularly, quinazolone is structurally similar to benzopyridone, which is the core skeleton of the marketed antibacterial quinolones and is frequently employed as an attractive structural framework in the field of antibacterial aspects [8,9,10]. Much work has revealed the great potential of quinazolone derivatives in combating bacterial resistance through multitargeting antibacterial mechanisms [11,12,13]. One possible reason might be assigned to its large aromatic and rigid skeleton, which can helpfully intercalate into DNA by π-π stacking to form a supramolecular complex and thus interfere with the normal physiological function of DNA. Another reasonable possibility might be that some quinazolones have been proposed as promising PBP2a allosteric inhibitors, exhibiting excellent antibacterial activity [14,15,16]. The above findings stimulated our great enthusiasm to develop novel antibacterial quinazolone derivatives with multitargeting potential to overcome the growing bacterial resistance.
Aromatic heterocycles such as five membered heterocycles like thiazoles [17,18] and imidazoles [19,20], as well as six membered ones like pyrimidines [21,22] and pyridines [23], have played important roles in the antibacterial field, and many heterocyclic derivatives as antibacterial drugs have been marketed [24]. For instance, the incorporation of thiazole fragments in the third and fourth generations of cephalosporin drugs, as well as the inclusion of imidazole fragments in medications like ornidazole and metronidazole, implied their large potential in antibacterial aspects. Their unique structures could easily bind with various biological targets through noncovalent interactions by use of an aromatic skeleton and heterocycles, thus their incorporation might helpfully improve affinity and bioactivity [25,26]. Inspired by these achievements, various types of five- and six-membered aromatic heterocycles as well as their benzene-fused analogs were coupled with quinazolone with the expectation to identify novel potential antibacterial candidates that exhibit broad-spectrum, high-efficiency, and low-toxicity characteristics.
The cyanovinyl fragment with both cyano and vinyl active groups is an important functional group in chemical reactions, garnering special attention due to its structural similarity to ethenones. It is widely present in many drugs and candidates with various biological activities, including antimicrobial drugs like luliconazole and lanoconazole. Furthermore, the introduction of the cyanovinyl group could not only beneficially bind with biotargets via noncovalent interactions, but also helpfully improve the pharmacokinetic properties of small-molecule drugs and can be metabolized unchangeably by organisms without the release of cyanide [27,28]. Therefore, this work delves into the potential of quinazolones linked with different heterocycles through cyanovinyl linker with the aim of exploring their potential to combat microbial infections.
Quaternary ammonium compounds play a positive role in antibacterial drugs such as fourth-generation cephalosporins like antibacterial cefquinome and cefpirome [29,30,31]. It is well-known that pyridine is easy to react with some alkyl and benzyl halides to give stable quaternary ammonium salts. The resultant pyridiniums are capable of binding with the anionic groups of phospholipids in the membrane by the use of positively charged quaternary nitrogen, thus disrupting the structure of bacterial cell membranes, altering their permeability, and finally improving antibacterial performance [32,33]. Therefore, different substituted pyridiniums were prepared to investigate the effect on activity.
Given the above considerations, a series of novel structural heteroarylcyanovinyl quinazolones and quinazolone pyridiniums were prepared (Figure 1), and their antibacterial efficacy in vitro was tested. A highly active compound was selected to further investigate its druggabilities, including hemolytic effects, the development of resistance, bactericidal kinetics, and anti-biofilm activity. Moreover, the preliminary antibacterial mechanism for the highly active compound was explored by various experiments that were mainly concerned with the damage of membrane, leakage of intracellular protein, generation of reactive oxygen species, interaction with DNA, and allosteric modulation experiments of PBP2a.
Figure 1.
Design of heteroarylcyanovinyl quinazolones and quinazolone pyridiniums as potential antibacterial agents.
2. Results and Discussion
2.1. Chemistry
The desired heteroarylcyanovinyl quinazolones and quinazolone pyridiniums were synthesized according to Scheme 1, Scheme 2, Scheme 3 and Scheme 4. The amide intermediate 2 was prepared in 50.3% yield by the reaction of commercially purchased o-aminobenzamide with cyanoacetic acid in the presence of condensing agents 1-(3-dimethylaminopropyl)-3-ethylcarbodiimide hydrochloride and 1-hydroxybenzotriazole hydrate at room temperature, and further cyclization in a 10% sodium hydroxide aqueous solution produced the important precursor 3 with a high yield of 88.2%. Cyanomethylquinazolone 3 was condensed with different five-membered heteroaromatic aldehydes in the presence of piperidine as a catalyst and ethanol as a solvent to afford the target products 4–8 with yields ranging from 49.2–93.2% (Scheme 1). To explore the effect of the larger conjugated system on antibacterial activity, six-membered pyridine and pyrimidine aldehydes and some benzene-fused heterocyclic aldehydes were employed to prepare the target products 9–12 with yields ranging from 32.4–94.7% under the same reaction conditions (Scheme 2).
Scheme 1.
Preparation of the target products 3–7. Reagents and conditions: (i) cyanoacetic acid, 1-(3-dimethylaminopropyl)-3-ethylcarbodiimide hydrochloride, 1-hydroxybenzotriazole hydrate, N,N-dimethyl formamide, r.t.; (ii) 10% sodium hydroxide aqueous solution, r.t.; (iii) furan aldehydes, piperidine, ethanol, 80 °C; (iv) thiophene aldehydes, piperidine, ethanol, 80 °C; (v) imidazole-2-carboxaldehyde or thiazole-2-carboxaldehyde or 2-pyrrolecarbaldehyde, piperidine, ethanol, 80 °C; (vi) 2-methylthiazole-5-carbaldehyde, piperidine, ethanol, 80 °C; (vii) imidazole-4-carboxaldehydes, piperidine, ethanol, 80 °C.
Scheme 2.
Preparation of the target products 9–12. Reagents and conditions: (viii) pyridine aldehyde, piperidine, ethanol, 80 °C; (ix) 2-methoxy-5-pyrimidine aldehyde, piperidine, ethanol, 80 °C; (x) benzimidazole-2-formaldehyde or benzothiazole-2-formaldehyde, piperidine, ethanol, 80 °C; (xi) indole-3-carboxaldehyde or benzothiophene-3-carbaldehyde or benzofuran-3-carbaldehyde, piperidine, ethanol, 80 °C.
Scheme 3.
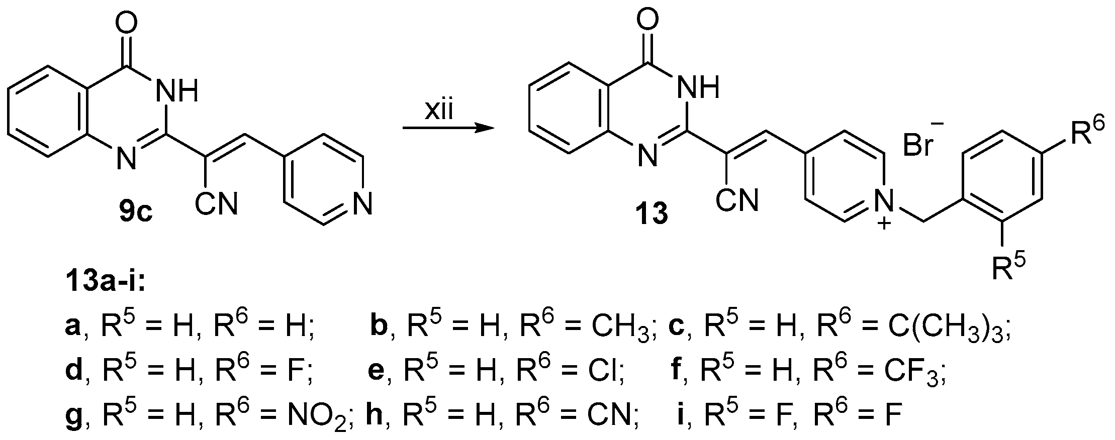
Preparation of quinazolone pyridiniums 13a–i. Reagents and conditions: (xii) benzyl bromides, potassium carbonate, acetonitrile, 80 °C.
Scheme 4.
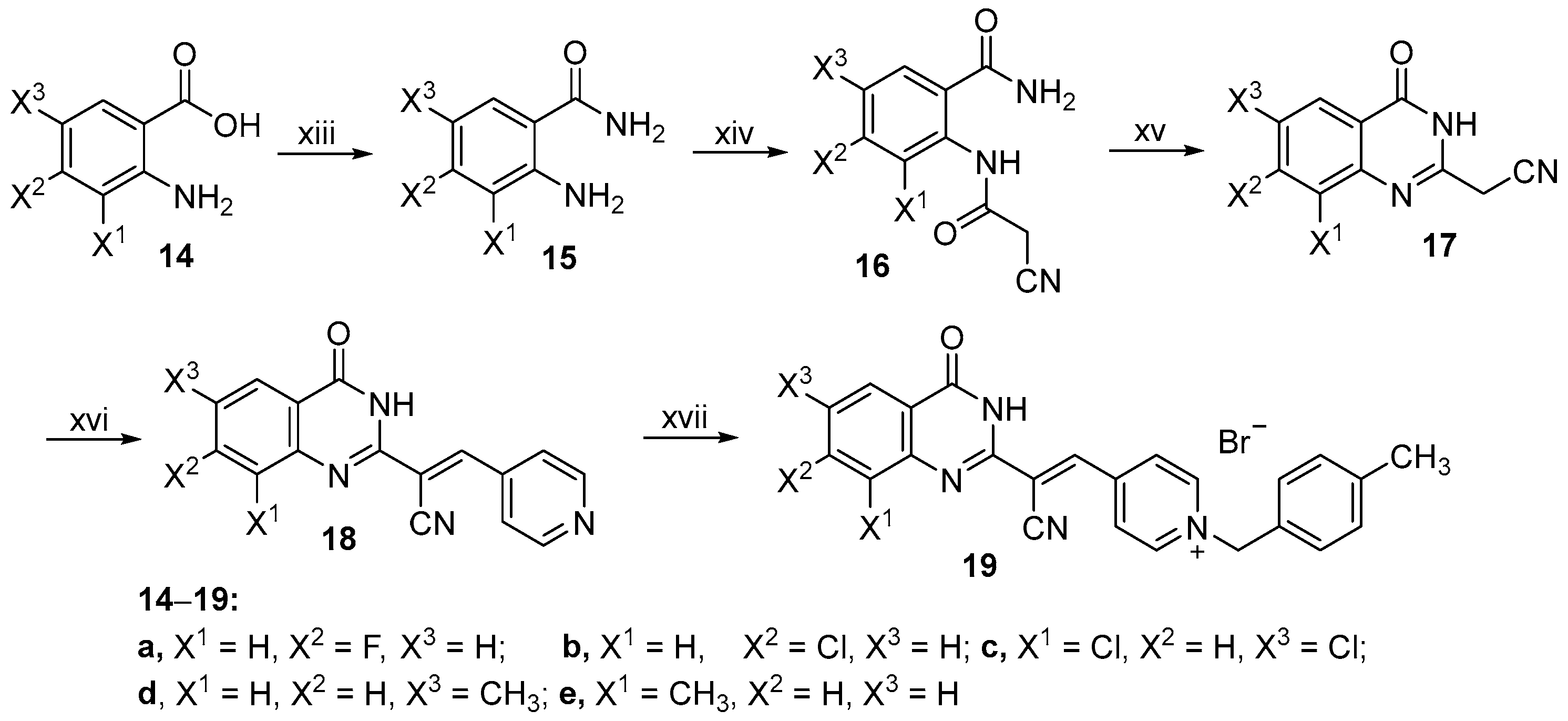
Preparation of quinazolone pyridiniums 19a–d with different substituents on quinazolone ring. Reagents and conditions: (xiii) N,N-carbonyldiimidazole, 25% ammonia water solution, N,N-dimethyl formamide, 70 °C; (xiv) cyanoacetic acid, 1-(3-dimethylaminopropyl)-3-ethylcarbodiimide hydrochloride, 1-hydroxybenzotriazole hydrate, N,N-dimethyl formamide, r.t.; (xv) 10% sodium hydroxide aqueous solution, r.t.; (xvi) 4-formylpyridine, piperidine, ethanol, 80 °C; (xvii) 4-methylbenzyl bromide, potassium carbonate, acetonitrile, 80 °C.
Preliminary antibacterial assay indicated that 4-pyridine derivative 9c exhibited good anti-Escherichia coli activity, thus compound 9c was further optimized to react with different benzyl bromides to produce quinazolone pyridiniums 13a–i (Scheme 3) because it has been revealed that quaternary ammonium compounds are able to not only disrupt the structure of bacterial cell membranes and alter their permeability but also improve their antibacterial activity.
Finally, the obtained highly active compound 13b was further optimized by changing the substituents in the quinazolone ring such as introducing fluorine, chlorine, and methyl groups. A series of intermediates 15a–e were prepared in acetonitrile at 70 °C by the reaction of corresponding aminobenzoic acids 14a–e and 25% ammonia water solution, using N,N’-carbonyldiimidazole as catalyst. The target molecules 19a–e were prepared according to the procedures for preparation of quinazolone pyridinium 13b (Scheme 4).
2.2. Antibacterial Activity
The in vitro antibacterial activities of all the synthesized compounds were evaluated by the continuous dilution method recommended by Clinical and Laboratory Standards Institute (CLSI), and antibacterial norfloxacin was used as the positive control [34]. As shown in Table 1, most of the prepared compounds exhibited moderate to good antibacterial activity and some of them showed equipotent antibacterial activity to norfloxacin for some tested bacteria, indicating that heteroarylcyanovinyl quinazolones were potential to confront infectious bacteria.
Table 1.
In vitro antibacterial data (MIC, μg/mL) for cyanovinyl quinazolone derivatives 3–19.
Furyl derivatives 4a–c demonstrated good antibacterial effects on E. coli, with MIC values ranging from 2 to 4 μg/mL, comparable to norfloxacin. Methyl-substituted compound 4b gave better antibacterial activity than unsubstituted 4a against E. faecalis, E. coli ATCC 25922, and P. aeruginosa, highlighting the beneficial role of methyl substitution. However, the hydroxymethyl derivative 4c was unfavorable for enhancing activity. Thiophene hybrids 5a–b also showed good inhibitory activity against most of the tested strains, and unmodified thienyl derivative 5a exhibited better bacteriostatic effect against S. aureus ATCC 25923 and P. aeruginosa (MICs = 1 μg/mL), which was fourfold more active than norfloxacin. However, the incorporation of methyl group into thienyl ring was negative because compound 5b gave lower activity in comparison to the unsubstituted 5a. Among compounds 6–8 with other five-membered heterocycles, thiazolyl derivative 6b effectively suppressed the growth of E. coli and P. aeruginosa, with MICs of 1 μg/mL. The pyrrolyl derivative 6c gave a specific inhibition on S. aureus ATCC 25923, which was fourfold more potent than norfloxacin.
Noticeably, pyridyl derivatives 9a–c also exerted good antibacterial inhibition against Gram-positive bacteria; particularly, 4-pyridyl derivative 9c exhibited strong antibacterial potency against S. aureus ATCC 29213, E. coli, and P. aeruginosa with low MICs of 1 μg/mL, which was two-, four-, and fourfold more active than norfloxacin, respectively. It is noteworthy that 3-pyridyl analog 9b gave good anti-MRSA performance with an MIC value of 2 μg/mL, which was superior to norfloxacin (MIC = 4 μg/mL). However, the pyrimidyl analog 10 displayed moderate antibacterial ability against most of the tested bacteria, but it demonstrated twofold inhibitory effect in contrast to norfloxacin against S. aureus ATCC 25923 and P. aeruginosa.
To investigate the effect of larger conjugated heterocycles on antibacterial activity, the five-membered heteroaryl moieties were replaced by benzimidazolyl and benzotriazolyl rings. Unfortunately, this replacement was unfavorable for enhancing the antibacterial activity, and compounds 11a and 11b showed some inhibition only for individual strains.
Quaternary ammonium compounds are widely present in antibacterial cephalosporins such as cefozopran and ceftaroline, in which organic oniums can not only destroy bacterial cell membranes but also enhance antibacterial potency. Therefore, compound 9c was further transformed into the corresponding pyridiniums 13a–i by introducing different substituted benzyl bromides. In comparison to compound 9c, its pyridiniums 13a–i gave better antibacterial performance. Particularly, p-methylbenzyl pyridinium 13b showed outstanding antibacterial efficacy against MRSA and E. coli, with low MIC values of 1 and 0.5 μg/mL, respectively, which was four- and eightfold more active than norfloxacin. This result indicated that the introduction of pyridinium moiety was positive for antibacterial potential.
In view of the good antibacterial potential of p-methylbenzyl pyridinium 13b, this encouraged us to further investigate the effect of different substituents in the quinazolone ring on antibacterial activity of target pyridiniums 19a–e. Antibacterial evaluation indicated that 7-fluoroquinazolone pyridinium 19a gave exceptional activity against MRSA and E. coli, with MIC values of 0.5 μg/mL, which were eightfold more potent than norfloxacin. Methyl substitution at C-6 position of quinazolone exerted good anti-P. aeruginosa potency; whereas the introduction of chorine at C-7 position or both C-6 and C-8 was unfavorable for bioactivity. Considering that quinazolone pyridinium 19a displayed the most broad-spectrum antibacterial activity against all the tested strains (MIC values = 0.5–8 μg/mL), this compound was selected for further investigation on its druggability and preliminary antibacterial mechanisms.
2.3. Hemolytic Assay
The hemolysis test is an indispensable evaluation criterion in drug research and clinical application. Healthy human red blood cells were treated by varying concentrations of compound 19a for 3 h, using saline and 1% Triton X-100 solution as negative and positive controls, respectively, and the percentage of red blood cell lysis was measured [35,36]. As depicted in Figure 2 and Figure S1, compound 19a exhibited a low hemolysis rate at a high concentration of 256 × MIC. At the concentration of 16-fold MIC, the hemolytic activity of quinazolone pyridinium 19a (4.57%) was below the highest international standard hemolytic rate of 5%, indicating the low toxicity of compound 19a to human blood cells.
Figure 2.
Assessment of hemolysis of quinazolone pyridinium 19a.
2.4. Resistance Study
The emergence of bacterial resistance leads to a decrease in clinical drug efficacy or treatment failure, greatly increasing the difficulty of clinical treatment [37,38]. The trend of resistance development of quinazolone pyridinium 19a against MRSA and E. coli was investigated, with norfloxacin as positive control [39,40]. After 20 generations of cultivation, both MRSA and E. coli exhibited significant resistance to norfloxacin, with MIC values increasing by 32- and 64-fold, respectively. In contrast, compound 19a hardly developed resistance against both bacteria (Figure 3). These outcomes suggested that the occurrence of resistance was difficult under the treatment of compound 19a, implying the large potential of the highly active molecule 19a as an antibacterial candidate.
Figure 3.
Resistance development of quinazolone pyridinium 19a and norfloxacin against MRSA (A) and E. coli (B).
2.5. Bactericidal Kinetics
The rapid bactericidal capability is helpful to reduce the duration of bacterial infections and thus lower the probability of resistance emergence. To further explore the efficiency of compound 19a in killing bacterial cells, the bactericidal kinetics of quinazolone pyridinium 19a and norfloxacin against MRSA and E. coli were evaluated [41,42,43]. As illustrated in Figure 4, compound 19a was able to rapidly eliminate MRSA and E. coli within 6 h, displaying superior bactericidal effects to the reference drugs. Nearly complete bacterial eradication was achieved after 6 h of cultivation at a concentration of 4 × MIC. These results revealed that quinazolone pyridinium 19a could quickly kill bacteria, which might contribute to preventing the development of drug resistance.
Figure 4.
Bactericidal kinetic curves of quinazolone pyridinium 19a and norfloxacin against MRSA (A) and E. coli (B).
2.6. Antibiofilm Activity
Bacterial biofilms composed of bacteria and their own extracellular polymers can protect bacteria from the killing of antibiotics and the impact of host immune response, increasing their resistance to antibiotics by 1000 times, resulting in wounds that are difficult to heal for a long time [44,45]. Therefore, the drug efficacy of antibacterial agents will be severely affected once biofilms are formed. Crystal violet staining assay was conducted to investigate the inhibitory effect of quinazolone pyridinium 19a on the formation of MRSA and E. coli biofilm [46,47]. As shown in Figure 5, compound 19a could inhibit biofilm formations of both bacteria in a concentration-dependent manner. The inhibitory rate of MRSA and E. coli biofilms exceeded 60% at the concentration of eightfold MIC. These results indicated the excellent anti-biofilm capability of quinazolone pyridinium 19a against MRSA and E. coli, potentially contributing to its low propensity for resistance development.
Figure 5.
The biofilm inhibition of quinazolone pyridinium 19a against MRSA and E. coli.
2.7. Membrane Damage Assay
The bacterial cell membrane with specific morphology protects the cell from external disturbances to ensure a relatively stable internal microenvironment [48,49]. Additionally, the cell membrane controls the transport of nutrients as a conduit for intracellular and extracellular substance exchange. Many signal protein receptors on the cell membrane facilitate internal and external signal transmission, making membrane stability crucial for bacterial growth [50,51]. In view of the large potential of organic oniums in penetrating cell membranes and altering membrane permeability, the membrane-targeting ability of quinazolone pyridinium 19a was investigated.
2.7.1. Membrane Depolarization Assay
The depolarization of the cytoplasmic membrane can perturb the potential of the bacterial membrane, which disrupts the electrochemical balance and impairs normal physiological functions [52]. Using the 3,3′-dipropylthiadicarbocyanine iodide (diSC35) fluorescent indicator, the effect of quinazolone pyridinium 19a on the membrane potential of MRSA and E. coli was assessed [53,54]. The results, shown in Figure 6, indicated that the fluorescence intensity in both bacteria increased with the concentration of compound 19a, suggesting that it could depolarize the membrane in a concentration-dependent manner.
Figure 6.
MRSA and E. coli cell membrane depolarization evoked by quinazolone pyridinium 19a.
2.7.2. Assay of Outer Membrane Damage
Gram-negative bacteria with a rigid protective outer shell are more difficult to inactivate than Gram-positive bacteria. The Gram-negative cell membranes composed of outer and inner membranes are conducive to prevent antibiotics and other antibacterial agents from entering and destroying the cells [55,56]. The permeabilizing effect of quinazolone pyridinium 19a on the outer membrane of E. coli was determined using hydrophobic 1-N-phenylnaphthylamine (NPN), a fluorescent indicator that emits fluorescence upon encountering membrane-internal hydrophobic substances [57,58]. As depicted in Figure 7, the fluorescence intensity positively correlated with the concentration of compound 19a, indicating that quinazolone pyridinium 19a could enhance the permeability of the E. coli outer membrane in a concentration-dependent manner, thereby compromising membrane integrity.
Figure 7.
Outer membrane permeability of quinazolone pyridinium 19a against E. coli.
2.7.3. Study of Inner Membrane Permeabilization
Inner membrane permeability was further investigated toward MRSA and E. coli to explore the membrane disruption of quinazolone pyridinium 19a using propidium iodide (PI), a living cell membrane impenetrable dye [59,60]. PI can only penetrate the cell membrane of dead bacteria to reach the nucleus, where it intercalates with the cell’s DNA to produce red fluorescence. The accumulation of red fluorescence within the cells of both MRSA and E. coli increased with the concentration of quinazolone pyridinium 19a, manifesting the increasing contents of the PI in bacterial cell and the gradual death of strains. Microscopy images of bacteria stained with PI (Figure 8B) also gave stronger red fluorescence after treatment, which underscored the enhanced permeability of the inner membranes of MRSA and E. coli induced by compound 19a.
Figure 8.
The permeabilization of inner membrane with increasing concentrations of quinazolone pyridinium 19a. (A) Increased inner membrane permeability of MRSA and E. coli evoked by quinazolone pyridinium 19a. (B) Fluorescence micrographs (400× magnification) of PI staining after treatment of MRSA and E. coli with quinazolone pyridinium 19a.
Experiments on cell membrane depolarization and permeability revealed that quinazolone pyridinium 19a effectively disrupted the membrane stability and integrity of MRSA and E. coli, potentially causing damage to the bacterial cell membrane, ultimately leading to bacterial apoptosis.
2.8. The Leakage of Intracellular Protein and Nucleic Acid
The biomacromolecules such as nucleic acids and protein inside the cell will have a chance to flow out once the structure of the cell membrane is destroyed [61]. This was evidenced by the measurement of nucleic acid leakage from MRSA and E. coli at 260 nm using a spectrophotometer, which showed an increase in leakage correlating with the concentration of 19a (Figure 9). Similar results were obtained for protein leakage through the Bradford assay, and the fluorescence intensity in MRSA and E. coli treated by compound 19a at 8 × MIC was 12- and 14-fold higher than that of the control group. These outcomes further supported a loss of cell membrane integrity caused by compound 19a, consistent with its ability to depolarize bacterial membranes and enhance inner and outer membrane permeability.
Figure 9.
Nucleic acid (A) and protein (B) leakage induced by quinazolone pyridinium 19a.
2.9. Intracellular ROS Accumulation
Appropriate reactive oxygen species (ROS) plays an important role in bacterial signal transduction and homeostasis, while high levels of ROS may cause dysfunction, disease, and even cell death [62,63]. The aromatic conjugated system with a large skeleton is generally believed to stimulate the production of high concentrations of ROS, cause oxidative stress and serious damage to cell structure, and ultimately lead to bacterial apoptosis. Considering the large conjugated skeleton of quinazolone pyridinium 19a, its effect on the generation of ROS in bacteria was assessed using the DCFH-DA probe [64,65]. As shown in Figure 10, a modest increase in fluorescence intensity indicated a slight stimulation of ROS production by compound 19a in both MRSA and E. coli, suggesting that oxidative stress was not the dominant factor of bacterial death.
Figure 10.
Enhancement of ROS levels in bacteria after treatment with quinazolone pyridinium 19a.
2.10. Detection of Metabolic Activity
The change of metabolic activity in both bacteria types post-treatment with quinazolone pyridinium 19a was determined using the redox indicator Alamar Blue [66,67]. As depicted in Figure 11, the metabolic activity of MRSA and E. coli decreased to varying degrees after treatment with compound 19a, showing a negative correlation with the concentration of the compound. Notably, the metabolic activity of E. coli was more significantly affected than that of MRSA, which was consistent with the previous observations of inner membrane permeabilization. These results suggested that quinazolone pyridinium 19a would cause bacterial membrane damage and further lead to metabolic inactivation.
Figure 11.
Decreased metabolic activity of bacteria after treatment with quinazolone pyridinium 19a.
2.11. Interaction Between Compound 19a and DNA
DNA as an essential biomacromolecule for bacterial development and normal metabolism has become a significant therapeutic target in multitudinous bacterial infections [68]. The damage to bacterial cell membranes facilitates the entry of quinazolone pyridinium 19a into the cells to bind with biological targets such as DNA, exerting its bioactivity. Therefore, the interaction between compound 19a and calf thymus DNA was explored using UV-visible and fluorescence spectroscopy.
2.11.1. DNA Binding Study
The binding ability of quinazolone pyridinium 19a to calf thymus DNA was investigated by UV-vis spectroscopy [69,70]. As shown in Figure 12, the maximum absorption peak of DNA at 260 nm increased proportionally with the concentration of compound 19a, accompanied by a slight red shift, potentially due to orbital overlap and coupling during the binding of compound 19a with DNA, and the subsequent reduction in π-electron transition energy. Moreover, the absorption of the molecule 19a-DNA complex exceeded the sum of their individual absorptions, indicating the presence of hyperchromic effect interaction. This might be attributed to the damage to the DNA double-helix structure.

Figure 12.
(A) Absorbance spectra of DNA with quinazolone pyridinium 19a. c(DNA) = 7.41 × 10−5 mol/L, and c(compound 19a) = 0−3.111 × 10−5 mol/L for curves a–h respectively at increment 0.4444 × 10− 5 mol/L. (B) Comparison of the absorption at 260 nm between the value of compound 19a–DNA complex and the sum values of free DNA and free 19a.
2.11.2. Competitive Binding Study
To identify the mode of interaction between DNA and compound 19a, competitive studies were conducted using the classical DNA intercalator acridine orange (AO) [71,72]. With increasing concentrations of compound 19a, a gradual decrease in the fluorescence intensity of the AO-DNA complex was observed in Figure 13, suggesting that compound 19a can replace the DNA intercalator AO and embed into calf thymus DNA.
Figure 13.
Competitive reaction between AO and quinazolone pyridinium 19a. c(DNA) = 7.41 × 10−5 mol/L, and c(compound 19a) = 0−3.111 × 10−5 mol/L for curves a–h respectively at increment 0.4444 × 10− 5 mol/L.
2.12. Allosteric Modulation of Compound 19a with PBP2a
Previous studies have confirmed that the introduction of aromatic group at the C-2 position of quinazolinone can interact with the allosteric site of PBP2a, prompting the active site to interact with antibacterial drugs, and ultimately produce bactericidal effects [15,16]. In view of the excellent anti-MRSA activity of compound 19a, the potential of quinazolone pyridinium 19a as an allosteric to PBP2a was explored.
2.12.1. Contents of PBP2a
The effect of compound 19a on PBP2a was studied by measuring the changes of PBP2a content in MRSA treated with compound 19a alone and in combination with β-lactam drug cefdinir using a PBP2a Elisa Assay Kit. The results in Table 2 showed that the content of PBP2a decreased after the treatment of compound 19a. Moreover, the expressions of PBP2a treated with cefdinir and compound 19a alone were higher than that of a combination of compound 19a and cefdinir, indicating that quinazolone pyridinium 19a could exert synergistic effects with cefdinir to inhibit the expression of PBP2a.
Table 2.
Contents of PBP2a in MRSA of quinazolone pyridinium 19a and cefdinir on MRSA.
2.12.2. Allosteric Site Binding Affinity of PBP2a
Binding of quinazolone pyridinium 19a to the allosteric site was determined by monitoring the intrinsic fluorescence of tryptophan and tyrosine residues of PBP2a [73,74]. The emission spectra of individual proteins and at different concentrations of compound 19a were measured by fluorescence photometers, and the normalized difference in fluorescence was plotted versus concentration. As illustrated in Figure 14, there was a gradual decrease in fluorescence intensity with increasing content of quinazolone pyridinium 19a. This trend suggested a reduction in the intrinsic fluorescence of PBP2a, indicating the progressive binding of compound 19a to PBP2a allosteric domain. In addition, a red shift could be observed distinctly.
Figure 14.
Binding of quinazolone pyridinium 19a to the PBP2a allosteric site (λex = 280 nm). (A) Emission spectra of acylated PBP2a intrinsic fluorescence with 19a at different concentrations. c(compound 19a) = 0−16 μM for curves a–h respectively at increment 2 μM. (B) The change in the maximum fluorescence intensity.
2.12.3. Molecular Docking
Molecular docking is an important tool to helpfully understand the possible binding mode of molecules with protein [75,76], and the supramolecular interaction between active molecule 19a and PBP2a (PDB code: 4CJN) was studied by computational simulation. As depicted in Figure 15, the amino group at N-3 position and the fluorine atom at C-7 position of quinazolinone could form hydrogen bonds with residues SER-191 and SRR-193 with distances of 2.1 and 2.9 Å, respectively. Moreover, the nitrogen atom of the cyano group was able to bind with residue LYS-215 via a hydrogen bond. Meanwhile, the aromantic conjugated skeleton of compound 19a also provided π-π stacking interaction with PBP2a. These results indicated that quinazolone pyridinium 19a could exert strong supramolecular binding with PBP2a by multiple hydrogen bonds, which could helpfully stabilize compound 19a-PBP2a complex, inducing a conformational change of PBP2a.
Figure 15.
Interaction between the highly active quinazolone pyridinium 19a with PBP2a (PDB code 4CJN) at the allosteric site. (A) Three-dimensional conformation of quinazolone pyridinium 19a docked in PBP2a. Color-codes are as follows: green, compound 19a; pink, residues that form hydrogen bonds with compound 19a; yellow dashed lines, hydrogen bonds. (B) Two-dimensional conformation of quinazolone pyridinium 19a docked in PBP2a.
The above results indicated that quinazolone pyridinium 19a significantly enhanced the anti-MRSA activity of cefdinir by inducing PBP2a allosteric regulation of MRSA and triggering the opening of the active site, enabling cefdinir to bind to the active site to inhibit the expression of PBP2a.
3. Materials and Methods
3.1. Instruments and Chemicals
All the reagents and solvents were purchased commercially and could be used without purification. The melting points were recorded on the X-6 melting point instrument. The NMR spectra including 1H NMR and 13C NMR of target compounds were recorded on the Bruker AVANCE III 600 MHz or Bruker AV 400 spectrometer. The high-resolution mass spectra (HRMS) of molecules were measured by Bruker Impact II through using an ESI resource.
3.2. Synthesis of Intermediates and Target Molecules
3.2.1. Synthesis of Intermediate 2
A mixture of anthranilamide (300 mg, 2.20 mmol), cyanoacetic acid (225 mg, 2.64 mmol), 1-(3-dimethylaminopropyl)-3-ethylcarbodiimide hydrochloride (507 mg, 2.64 mmol), and 1-hydroxybenzotriazole hydrate (404.91 mg, 2.64 mmol) were stirred in DMF (5 mL) at room temperature for 6 h. The solution was poured into a separatory funnel and extracted three times with H2O/DCM system. The organic phases were combined and dried with anhydrous Na2SO4, which was further purified by silica gel column chromatography (300–400 mesh) (Eluent: petroleum ether/ethyl acetate = 3/1~1/1, V/V) to afford compound 2 as white solid (255 mg). Yield: 50.3%.
3.2.2. Synthesis of Intermediate 3
A mixture of 2-(2-cyanoacetamide) benzamide (255 mg, 1.26 mmol) and 0.5 mol/L aqueous NaOH (5 mL) were stirred at room temperature for 30 min. After the reaction was completed, 1 mol/L HCl was added to the solution to bring the pH to slightly acidic, and the mixture was filtered under reduced pressure and washed with water. The precipitate was collected and dried to afford compound 3 as white solid (225 mg). Yield: 88.2%.
3.2.3. Synthesis of (E)-3-(Furan-2-yl)-2-(4-oxo-3,4-dihydroquinazolin-2-yl)acrylonitrile (4a)
A mixture of compound 3 (50 mg, 0.27 mmol), furan-2-formaldehyde (26 mg, 0.27 mmol) and piperidine (0.2 mL) was stirred in ethanol (5 mL) at 80 °C for 4 h. After the reaction was completed, solvent was removed. The crude product was purified by silica gel column chromatography (300–400 mesh) (eluent, dichloromethane/methanol = 30/1~10/1, V/V) to afford compound 4a as yellow solid (62 mg). Yield: 87.3%, M.p.: 173–175 °C. 1H NMR (400 MHz, DMSO-d6) δ 8.39 (s, 1H, C=CH), 8.02 (d, J = 1.5 Hz, 1H, quinazolone-5-H), 7.98 (d, J = 7.9 Hz, 1H, furan-5-H), 7.50 (t, J = 6.7 Hz, 1H, quinazolone-7-H), 7.45 (d, J = 8.9 Hz, 1H, quinazolone-8-H), 7.29 (d, J = 3.5 Hz, 1H, furan-3-H), 7.19 (t, J = 6.6 Hz, 1H, quinazolone-6-H), 6.79–6.78 (m, 1H, furan-4-H) ppm. 13C NMR (101 MHz, DMSO-d6) δ 171.7, 159.2, 152.0, 150.4, 146.8, 131.8, 131.3, 126.3, 126.3, 123.5, 122.8, 118.5, 117.3, 113.7, 110.6 ppm. HRMS (ESI) calcd. for C15H9N3O2 [M + H]+, 264.0768; found, 264.0769.
3.2.4. Synthesis of (E)-3-(5-Methylfuran-2-yl)-2-(4-oxo-3,4-dihydroquinazolin-2-yl)acrylonitrile (4b)
Compound 4b was prepared according to the procedure described for compound 4a, starting from compound 3 (50 mg, 0.27 mmol) and 5-methylfuran-2-formaldehyde (30 mg, 0.27 mmol). The target compound 4b was obtained as yellow solid (55 mg). Yield: 73.5%, M.p.: 245–247 °C. 1H NMR (400 MHz, DMSO-d6) δ 12.48 (s, 1H, quinazolone-NH), 8.27 (s, 1H, C=CH), 8.12 (d, J = 7.8 Hz, 1H, quinazolone-5-H), 7.84 (t, J = 8.3 Hz, 1H, quinazolone-7-H), 7.71 (d, J = 8.0 Hz, 1H, quinazolone-8-H), 7.54 (t, J = 7.3 Hz, 1H, quinazolone-6-H), 7.33 (d, J = 3.4 Hz, 1H, furan-3-H), 6.56 (d, J = 3.3 Hz, 1H, furan-4-H), 2.45 (s, 3H, furan-CH3) ppm. 13C NMR (101 MHz, DMSO-d6) δ 162.1, 159.5, 149.7, 148.6, 147.8, 135.3, 134.2, 127.9, 127.6, 126.4, 123.5, 121.4, 116.4, 111.7, 99.7, 14.4 ppm. HRMS (ESI) calcd. for C16H11N3O2 [M + H]+, 278.0924; found, 278.0923.
3.2.5. Synthesis of (E)-3-(5-(Hydroxymethyl)furan-2-yl)-2-(4-oxo-3,4-dihydroquinazolin-2-yl)acrylonitrile (4c)
Compound 4c was prepared according to the procedure described for compound 4a, starting from compound 3 (50 mg, 0.27 mmol) and 5-(hydroxymethyl)-furan-2-formaldehyde (34 mg, 0.27 mmol). The target compound 4c was obtained as yellow solid (53 mg). Yield: 66.9%, M.p.: > 300 °C. 1H NMR (400 MHz, DMSO-d6) δ 12.51 (s, 1H, quinazolone-NH), 8.33 (s, 1H, C=CH), 8.13 (d, J = 6.7 Hz, 1H, quinazolone-5-H), 7.85 (t, J = 6.9 Hz, 1H, quinazolone-7-H), 7.71 (d, J = 7.8 Hz, 1H, quinazolone-8-H), 7.55 (t, J = 7.0 Hz, 1H, quinazolone-6-H), 7.40 (d, J = 3.6 Hz, 1H, furan-3-H), 6.71 (d, J = 3.5 Hz, 1H, furan-4-H), 5.57 (t, J = 5.8 Hz, 1H, CH2-OH), 4.56 (d, J = 5.6 Hz, 2H, CH2-OH) ppm. 13C NMR (101 MHz, DMSO-d6) δ 162.2, 162.1, 149.6, 148.6, 148.3, 135.3, 134.7, 127.9, 127.7, 126.4, 122.2, 121.5, 116.2, 111.5, 101.0, 56.5 ppm. HRMS (ESI) calcd. for C16H11N3O3 [M + H]+, 294.0873; found, 294.0873.
3.2.6. Synthesis of (E)-2-(4-Oxo-3,4-dihydroquinazolin-2-yl)-3-(thiophen-2-yl)acrylonitrile (5a)
Compound 5a was prepared according to the procedure described for compound 4a, starting from compound 3 (50 mg, 0.27 mmol) and thiophene-2-formaldehyde (30 mg, 0.27 mmol). The target compound 5a was obtained as yellow solid (70 mg). Yield: 92.8%, M.p.: 176–178 °C. 1H NMR (400 MHz, DMSO-d6) δ 12.52 (s, 1H, quinazolone-NH), 8.75 (s, 1H, C=CH), 8.19–8.12 (m, 2H, quinazolone-5-H, thiophene-5-H), 7.88–7.83 (m, 2H, quinazolone-8-H, quinazolone-7-H), 7.72 (d, J = 7.7 Hz, 1H, thiophene-3-H), 7.55 (t, J = 7.0 Hz, 1H, quinazolone-6-H), 7.38–7.36 (m, 1H, thiophene-4-H) ppm. 13C NMR (101 MHz, DMSO-d6) δ 162.1, 149.4, 148.6, 142.2, 137.7, 136.6, 135.7, 135.3, 129.2, 127.9, 127.7, 126.4, 121.5, 116.6, 102.5 ppm. HRMS (ESI) calcd. for C15H9N3OS [M + H]+, 280.0539; found, 280.0538.
3.2.7. Synthesis of (E)-3-(3-Methylthiophen-2-yl)-2-(4-oxo-3,4-dihydroquinazolin-2-yl)acrylonitrile (5b)
Compound 5b was prepared according to the procedure described for compound 4a, starting from compound 3 (50 mg, 0.27 mmol) and 3-methylthiophene-2-formaldehyde (34 mg, 0.27 mmol). The target compound 5b was obtained as yellow solid (53 mg). Yield: 66.9%, M.p.: 285–287 °C. 1H NMR (400 MHz, DMSO-d6) δ 12.73 (s, 1H, quinazolone-NH), 8.84 (d, J = 5.6 Hz, 1H, quinazolone-5-H,), 8.51 (s, 1H, C=CH), 8.18 (d, J = 7.9 Hz, 1H, thiophene-5-H), 7.89 (t, J = 7.7 Hz, 1H, quinazolone-7-H), 7.82 (d, J = 7.7 Hz, 1H, quinazolone-8-H), 7.70 (d, J = 8.1 Hz, 1H, thiophene-4-H), 7.61 (t, J = 7.5 Hz, 1H, quinazolone-6-H), 2.51 (s, 3H, thiophene-CH3) ppm. 13C NMR (101 MHz, DMSO-d6) δ 162.0, 151.3, 149.4, 147.4, 139.8, 135.5, 134.3, 131.8, 128.4, 126.5, 123.4, 121.9, 115.4, 111.5, 101.4, 15.1 ppm. HRMS (ESI) calcd. for C16H11N3OS [M + H]+, 294.0696; found, 294.0694
3.2.8. Synthesis of (E)-3-(1H-Imidazol-2-yl)-2-(4-oxo-3,4-dihydroquinazolin-2-yl)acrylonitrile (6a)
Compound 6a was prepared according to the procedure described for compound 4a, starting from compound 3 (50 mg, 0.27 mmol) and imidazole-2-formaldehyde (26 mg, 0.27 mmol). The target compound 6a was obtained as yellow solid (35 mg). Yield: 49.2%, M.p.: 243–245 °C. 1H NMR (400 MHz, DMSO-d6) δ 8.31 (s, 1H, C=CH), 8.17 (d, J = 7.9 Hz, 1H, quinazolone-5-H), 7.89 (t, J = 6.9 Hz, 1H, quinazolone-7-H), 7.76 (d, J = 8.1 Hz, 1H, quinazolone-8-H), 7.71 (m, 2H, imidazole-4-H, imidazole-5-H), 7.60 (t, J = 7.5 Hz, 1H, quinazolone-6-H) ppm. 13C NMR (101 MHz, DMSO-d6) δ 162.2, 149.2, 148.3, 141.1, 139.3, 135.4, 133.8, 133.0, 128.2, 128.0, 126.5, 121.7, 115.3, 108.9 ppm. HRMS (ESI) calcd. for C14H9N5O [M + H]+, 264.0880; found, 264.0880.
3.2.9. Synthesis of (E)-2-(4-Oxo-3,4-dihydroquinazolin-2-yl)-3-(thiazol-2-yl)acrylonitrile (6b)
Compound 6b was prepared according to the procedure described for compound 4a, starting from compound 3 (50 mg, 0.27 mmol) and thiazole-2-formaldehyde (34 mg, 0.27 mmol). The target compound 6b was obtained as yellow solid (59 mg). Yield: 78.0%, M.p.: 245–247 °C. 1H NMR (400 MHz, DMSO-d6) δ 12.76 (s, 1H, quinazolone-NH), 8.75 (s, 1H, C=CH), 8.30 (m, 2H, quinazolone-5-H, thiazole-4-H), 8.17 (d, J = 6.9 Hz, 1H, thiazole-5-H), 7.88 (t, J = 6.9 Hz, 1H, quinazolone-7-H), 7.77 (d, J = 7.9 Hz, 1H, quinazolone-8-H), 7.60 (t, J = 7.1 Hz, 1H, quinazolone-6-H) ppm. 13C NMR (101 MHz, DMSO-d6) δ 162.0, 159.7, 148.9, 148.3, 146.1, 140.4, 135.4, 128.3, 128.2, 127.4, 126.5, 121.8, 115.7, 108.5 ppm. HRMS (ESI) calcd. for C14H8N4OS [M + H]+, 281.0492; found, 281.0492.
3.2.10. Synthesis of (E)-2-(4-Oxo-3,4-dihydroquinazolin-2-yl)-3-(1H-pyrrol-2-yl)acrylonitrile (6c)
Compound 6c was prepared according to the procedure described for compound 4a, starting from compound 3 (50 mg, 0.27 mmol) and pyrrole-2-aldehyde (26 mg, 0.27 mmol). The target compound 6c was obtained as yellow solid (49 mg). Yield: 69.2%, M.p.: >300 °C. 1H NMR (400 MHz, DMSO-d6) δ 11.70 (s, 1H, pyrrole-NH), 8.51 (s, 1H, C=CH), 7.96 (d, J = 6.7 Hz, 1H, quinazolone-5-H), 7.51–7.43 (m, 1H, quinazolone-7-H), 7.39 (d, J = 7.5 Hz, 1H, quinazolone-8-H), 7.24 (d, J = 7.9 Hz, 1H, pyrrole-5-H), 7.15 (d, J = 8.0 Hz, 1H, pyrrole-3-H), 6.36–6.24 (m, 1H, pyrrole-4-H) ppm. 13C NMR (101 MHz, DMSO-d6) δ 171.6, 160.1, 152.2, 135.8, 131.2, 128.1, 126.3, 126.0, 123.9, 122.9, 122.5, 120.2, 113.3, 111.8, 105.4 ppm. HRMS (ESI) calcd. for C15H10N4O [M + H]+, 263.0927; found, 263.0929.
3.2.11. Synthesis of (E)-3-(2-Methylthiazol-5-yl)-2-(4-oxo-3,4-dihydroquinazolin-2-yl)acrylonitrile (7)
Compound 7 was prepared according to the procedure described for compound 4a, starting from compound 3 (50 mg, 0.27 mmol) and 2-methylthiazole-5-formaldehyde (35 mg, 0.27 mmol). The target compound 7 was obtained as yellow solid (57 mg). Yield: 71.7%, M.p.: 245–247 °C. 1H NMR (400 MHz, DMSO-d6) δ 12.57 (s, 1H, quinazolone-NH), 8.76 (s, 1H, C=CH), 8.25 (s, 1H, thiazole-4-H), 8.14 (d, J = 6.7 Hz, 1H, quinazolone-5-H), 7.86 (t, J = 6.9 Hz, 1H, quinazolone-7-H), 7.72 (d, J = 7.7 Hz, 1H, quinazolone-8-H), 7.56 (t, J = 7.0 Hz, 1H, quinazolone-6-H) ppm. 13C NMR (101 MHz, DMSO-d6) δ 173.7, 159.6, 152.5, 149.1, 140.6, 140.4, 135.4, 132.0, 128.0, 127.9, 126.5, 121.6, 116.4, 101.1, 20.0 ppm. HRMS (ESI) calcd. for C15H10N4OS [M + H]+, 295.0648; found, 295.0648.
3.2.12. Synthesis of (E)-3-(1H-Imidazol-4-yl)-2-(4-oxo-3,4-dihydroquinazolin-2-yl)acrylonitrile (8a)
Compound 8a was prepared according to the procedure described for compound 4a, starting from compound 3 (50 mg, 0.27 mmol) and imidazole-4-formaldehyde (26 mg, 0.27 mmol). The target compound 8a was obtained as yellow solid (51 mg). Yield: 71.8%, M.p.: >300 °C. 1H NMR (400 MHz, DMSO-d6) δ 12.66 (s, 2H, quinazolone-NH, imidazole-NH), 8.40 (s, 1H, C=CH), 8.13 (d, J = 7.9 Hz, 1H, quinazolone-5-H), 8.04 (s, 1H, imidazole-2-H), 8.00 (s, 1H, imidazole-5-H), 7.84 (t, J = 6.9 Hz, 1H, quinazolone-7-H), 7.70 (d, J = 7.8 Hz, 1H, quinazolone-8-H), 7.53 (t, J = 7.0 Hz, 1H, quinazolone-6-H) ppm. 13C NMR (101 MHz, DMSO-d6) δ 162.2, 150.1, 148.7, 139.3, 138.9, 135.2, 135.0, 129.1, 127.7, 127.4, 126.4, 121.4, 116.9, 101.2 ppm. HRMS (ESI) calcd. for C14H9N5O [M + H]+, 264.0880; found, 264.0879.
3.2.13. Synthesis of (E)-3-(2-Butyl-5-chloro-1H-imidazol-4-yl)-2-(4-oxo-3,4-dihydroquinazolin-2-yl)acrylonitrile (8b)
Compound 8b was prepared according to the procedure described for compound 4a, starting from compound 3 (50 mg, 0.27 mmol) and 2-butyl-5-chloro-1H-imidazole-4-aldehyde (50 mg, 0.27 mmol). The target compound 8b was obtained as yellow solid (89 mg). Yield: 93.2%, M.p.: 173–175 °C. 1H NMR (400 MHz, DMSO-d6) δ 8.07 (d, J = 7.8 Hz, 1H, quinazolone-5-H), 7.74 (t, J = 7.6 Hz, 1H, quinazolone-7-H), 7.58 (d, J = 8.2 Hz, 1H, quinazolone-8-H), 7.41 (t, J = 7.4 Hz, 1H, quinazolone-6-H), 7.21 (s, 1H, C=CH), 2.70–2.59 (m, 2H, CH2CH2CH2CH3), 1.80 (q, J = 7.5 Hz, 2H, CH2CH2CH2CH3), 1.35 (q, J = 7.4 Hz, 2H, CH2CH2CH2CH3), 0.93 (t, J = 7.3 Hz, 3H, CH2CH2CH2CH3) ppm. 13C NMR (101 MHz, DMSO-d6) δ 163.3, 159.6, 152.8, 149.8, 141.1, 135.1, 134.3, 129.0, 127.1, 126.2, 125.7, 121.9, 121.0, 31.2, 30.0, 22.1, 14.3 ppm. HRMS (ESI) calcd. for C18H16ClN5O [M + H]+, 354.1116; found, 354.1115.
3.2.14. Synthesis of (E)-2-(4-Oxo-3,4-dihydroquinazolin-2-yl)-3-(pyridin-2-yl)acrylonitrile (9a)
Compound 9a was prepared according to the procedure described for compound 4a, starting from compound 3 (50 mg, 0.27 mmol) and pyridine-2-formaldehyde (29 mg, 0.27 mmol). The target compound 9a was obtained as yellow solid (24 mg). Yield: 32.4%, M.p.: 237–239 °C. 1H NMR (400 MHz, DMSO-d6) δ 12.69 (s, 1H, quinazolone-NH), 8.83 (d, J = 5.5 Hz, 1H, pyridine-6-H), 8.46 (s, 1H, C=CH), 8.18 (d, J = 7.9 Hz, 1H, quinazolone-5-H), 8.04 (t, J = 7.9 Hz, 1H, quinazolone-7-H), 7.89 (t, J = 6.9 Hz, 1H, pyridine-5-H), 7.82 (d, J = 7.8 Hz, 1H, quinazolone-8-H), 7.78 (d, J = 7.7 Hz, 1H, pyridine-3-H), 7.62–7.60 (m, 1H, quinazolone-6-H), 7.58–7.56 (m, 1H, pyridine-4-H) ppm. 13C NMR (101 MHz, DMSO-d6) δ 162.1, 150.8, 150.6, 149.5, 148.4, 148.1, 138.0, 135.4, 128.2, 127.7, 126.6, 126.5, 121.9, 115.4, 109.5 ppm. HRMS (ESI) calcd. for C16H10N4O [M + H]+, 275.0927; found, 275.0930.
3.2.15. Synthesis of (E)-2-(4-Oxo-3,4-dihydroquinazolin-2-yl)-3-(pyridin-3-yl)acrylonitrile (9b)
Compound 9b was prepared according to the procedure described for compound 4a, starting from compound 3 (50 mg, 0.27 mmol) and pyridine-3-formaldehyde (29 mg, 0.27 mmol). The target compound 9b was obtained as yellow solid (55 mg). Yield: 74.3%, M.p.: 263–265 °C. 1H NMR (400 MHz, DMSO-d6) δ 12.72 (s, 1H, quinazolone-NH), 8.99 (s, 1H. pyridine-2-H), 8.76 (d, J = 3.5 Hz, 1H, pyridine-6-H), 8.55 (s, 1H, C=CH), 8.46 (d, J = 8.1 Hz, 1H, pyridine-4-H), 8.17 (d, J = 7.8 Hz, 1H, quinazolone-5-H), 7.88 (t, J = 7.6 Hz, 1H, quinazolone-7-H), 7.76 (d, J = 8.0 Hz, 1H, quinazolone-8-H), 7.67 (m, 1H, pyridine-5-H), 7.59 (t, J = 7.5 Hz, 1H, quinazolone-6-H) ppm. 13C NMR (101 MHz, DMSO-d6) δ 162.1, 152.8, 151.6, 149.1, 148.3, 146.7, 136.3, 135.5, 128.9, 128.2, 128.1, 126.5, 124.7, 121.8, 116.0, 109.1 ppm. HRMS (ESI) calcd. for C16H10N4O [M + H]+, 275.0927; found, 275.0928.
3.2.16. Synthesis of (E)-2-(4-Oxo-3,4-dihydroquinazolin-2-yl)-3-(pyridin-4-yl)acrylonitrile (9c)
Compound 9c was prepared according to the procedure described for compound 4a, starting from compound 3 (50 mg, 0.27 mmol) and pyridine-4-formaldehyde (29 mg, 0.27 mmol). The target compound 9c was obtained as yellow solid (41 mg). Yield: 55.4%, M.p.: 272–274 °C. 1H NMR (400 MHz, DMSO-d6) δ 12.73 (s, 1H, quinazolone-NH), 8.88–8.82 (m, 2H, pyridine-2-H, pyridine-6-H), 8.51 (s, 1H, C=CH), 8.18 (d, J = 6.7 Hz, 1H, quinazolone-5-H), 7.89 (t, J = 6.9 Hz, 1H, quinazolone-7-H), 7.84–7.81 (m, 2H, pyridine-3-H, pyridine-5-H), 7.78 (d, J = 7.7 Hz, 1H, quinazolone-8-H), 7.61 (t, J = 7.0 Hz, 1H, quinazolone-6-H) ppm. 13C NMR (101 MHz, DMSO-d6) δ 162.0, 151.3, 148.8, 148.2, 147.4, 139.8, 135.5, 128.4, 128.2, 126.5, 123.4, 121.9, 115.4, 111.5 ppm. HRMS (ESI) calcd. for C16H10N4O [M + H]+, 275.0927; found, 275.0927.
3.2.17. Synthesis of (E)-3-(2-Methoxypyrimidin-5-yl)-2-(4-oxo-3,4-dihydroquinazolin-2-yl)acrylonitrile (10)
Compound 10 was prepared according to the procedure described for compound 4a, starting from compound 3 (50 mg, 0.27 mmol) and 2-methoxypyrimidin-5-formaldehyde (37 mg, 0.27 mmol). The target compound 10 was obtained as yellow solid (78 mg). Yield: 94.7%, M.p.: 235–237 °C. 1H NMR (600 MHz, DMSO-d6) δ 9.18 (s, 2H, pyrimidine-4-H, pyrimidine-6-H), 8.52 (s, 1H, C=CH), 8.02–8.01 (m, 1H, quinazolone-5-H), 7.61–7.55 (m, 1H, quinazolone-7-H), 7.53 (d, J = 8.1 Hz, 1H, quinazolone-8-H), 7.31–7.23 (m, 1H, quinazolone-6-H), 4.02 (s, 3H, pyrimidine-CH3) ppm. 13C NMR (151 MHz, DMSO-d6) δ 170.6, 165.7, 160.6, 157.5, 151.3, 140.0, 132.1, 126.7, 126.3, 124.5, 122.4, 122.4, 118.5, 114.5, 55.7 ppm. HRMS (ESI) calcd. for C16H11N5O2 [M + Na]+, 328.0805; found, 328.0791.
3.2.18. Synthesis of (E)-3-(1H-Benzo[d]imidazol-2-yl)-2-(4-oxo-3,4-dihydroquinazolin-2-yl)acrylonitrile (11a)
Compound 11a was prepared according to the procedure described for compound 4a, starting from compound 3 (50 mg, 0.27 mmol) and benzimidazole-2-formaldehyde (34 mg, 0.27 mmol). The target compound 11a was obtained as yellow solid (62 mg). Yield: 73.3%, M.p.: > 300 °C. 1H NMR (400 MHz, DMSO-d6) δ 8.61 (s, 1H, C=CH), 8.03 (d, J = 7.7 Hz, 1H, quinazolone-5-H), 7.74–7.71 (m, 1H, quinazolone-7-H), 7.70–7.66 (m, 2H, quinazolone-6-H, quinazolone-8-H), 7.56–7.49 (m, 2H, benzimidazole-4-H, benzimidazole-7-H), 7.29–7.27 (m, 2H, benzimidazole-5-H, benzimidazole-6-H) ppm. 13C NMR (101 MHz, DMSO-d6) δ 171.6, 167.3, 159.1, 155.4, 151.9, 150.3, 147.7, 139.2, 133.2, 131.5, 127.2, 126.4, 124.0, 123.6, 123.0, 120.5, 117.5, 114.1 ppm. HRMS (ESI) calcd. for C18H11N5O [M + H]+, 314.1036; found, 314.1039.
3.2.19. Synthesis of (E)-3-(Benzo[d]thiazol-2-yl)-2-(4-oxo-3,4-dihydroquinazolin-2-yl)acrylonitrile (11b)
Compound 11b was prepared according to the procedure described for compound 4a, starting from compound 3 (50 mg, 0.27 mmol) and benzothiazol-2-aldehyde (40 mg, 0.27 mmol). The target compound 11b was obtained as yellow solid (64 mg). Yield: 71.5%, M.p.: >300 °C. 1H NMR (400 MHz, DMSO-d6) δ 12.83 (s, 1H, quinazolone-NH), 8.83 (s, 1H, C=CH), 8.33 (d, J = 7.6 Hz, 1H, benzothiazole-4-H), 8.23 (d, J = 8.4 Hz, 1H, benzothiazole-7-H), 8.19 (d, J = 6.6 Hz, 1H, quinazolone-5-H), 7.90 (t, J = 6.9 Hz, 1H, quinazolone-7-H), 7.81 (d, J = 7.9 Hz, 1H, quinazolone-8-H), 7.71–7.66 (m, 1H, benzothiazole-5-H), 7.66 -7.64 (m, 1H, benzothiazole-6-H), 7.62–7.60 (m, 1H, quinazolone-6-H) ppm. 13C NMR (101 MHz, DMSO-d6) δ 171.8, 165.9, 160.1, 159.2, 153.1, 151.8, 148.2, 141.0, 136.4, 135.5, 128.6, 128.4, 128.2, 126.5, 124.7, 123.4, 118.6, 115.4 ppm. HRMS (ESI) calcd. for C18H11N5O [M + H]+, 331.0648; found, 331.0650.
3.2.20. Synthesis of (E)-3-(1H-Indol-3-yl)-2-(4-oxo-3,4-dihydroquinazolin-2-yl)acrylonitrile (12a)
Compound 12a was prepared according to the procedure described for compound 4a, starting from compound 3 (50 mg, 0.27 mmol) and indole-3-carboxaldehyde (47 mg, 0.27 mmol). The target compound 12a was obtained as yellow solid (68 mg). Yield: 80.6%, M.p.: >300 °C. 1H NMR (400 MHz, DMSO-d6) δ 12.50 (s, indole-NH), 8.88 (s, 1H, indole-2-H), 8.60 (s, 1H, C=CH), 8.18–8.07 (m, 2H, quinazolone-5-H, indole-4-H), 7.83 (t, J = 7.0 Hz, 1H, quinazolone-7-H), 7.69 (d, J = 8.0 Hz, 1H, indole-7-H), 7.59–7.55 (m, 1H, quinazolone-8-H), 7.51 (t, J = 7.5 Hz, 1H, indole-6-H), 7.32–7.24 (m, 2H, indole-5-H, quinazolone-6-H) ppm. 13C NMR (101 MHz, DMSO-d6) δ 162.6, 150.6, 149.0, 140.8, 136.3, 135.2, 130.6, 128.2, 127.6, 127.0, 126.4, 123.8, 122.0, 121.2, 119.3, 118.8, 113.2, 110.7, 98.2 ppm. HRMS (ESI) calcd. for C19H12N4O [M + H]+, 313.1084; found, 313.1085.
3.2.21. Synthesis of (E)-3-(Benzo[b]thiophen-3-yl)-2-(4-oxo-3,4-dihydroquinazolin-2-yl)acrylonitrile (12b)
Compound 12b was prepared according to the procedure described for compound 4a, starting from compound 3 (50 mg, 0.27 mmol) and benzothiophene-3-formaldehyde (53 mg, 0.27 mmol). The target compound 12b was obtained as yellow solid (83 mg). Yield: 93.3%, M.p.: 273–275 °C. 1H NMR (400 MHz, DMSO-d6) δ 12.90 (s, 1H, quinazolone-NH), 8.98 (s, 1H, benzothiophene-2-H), 8.77 (s, 1H, C=CH), 8.45 (d, J = 8.0 Hz, 1H, benzothiophene-4-H), 8.21–8.11 (m, 2H, benzothiophene-7-H, quinazolone-5-H), 7.87 (t, J = 7.6 Hz, 1H, quinazolone-7-H), 7.76 (d, J = 8.1 Hz, 1H, quinazolone-8-H), 7.63–7.57 (m, 2H, benzothiophene-5-H, benzothiophene-6-H), 7.57–7.51 (m, 1H, quinazolone-6-H) ppm. 13C NMR (101 MHz, DMSO-d6) δ 162.3, 150.3, 149.5, 139.3, 139.0, 138.6, 135.4, 133.5, 128.7, 128.1, 127.9, 126.5, 126.2, 125.6, 123.6, 122.7, 117.1, 113.3, 107.1 ppm. HRMS (ESI) calcd. for C19H11N3OS [M + H]+, 330.0696; found, 330.0711.
3.2.22. Synthesis of (E)-3-(Benzofuran-3-yl)-2-(4-oxo-3,4-dihydroquinazolin-2-yl)acrylonitrile (12c)
Compound 12c was prepared according to the procedure described for compound 4a, starting from compound 3 (50 mg, 0.27 mmol) and benzofuran--3-formaldehyde (47 mg, 0.27 mmol). The target compound 12c was obtained as yellow solid (73 mg). Yield: 86.3%, M.p.: 272–274 °C. 1H NMR (400 MHz, DMSO-d6) δ 10.24 (s, 1H, quinazolone-NH), 9.24 (s, 1H, benzofuran-2-H), 8.77 (s, 1H, C=CH), 8.34 (d, J = 6.9 Hz, 1H, quinazolone-5-H), 7.99 (t, J = 8.4 Hz, 1H, quinazolone-7-H), 7.84 (d, J = 8.2 Hz, 1H, benzofuran-4-H), 7.61 (t, J = 8.0 Hz, 1H, quinazolone-6-H), 7.55 (d, J = 6.2 Hz, 1H, quinazolone-8-H), 7.29 (t, J = 6.9 Hz, 1H, benzofuran-6-H), 7.03 (d, J = 7.3 Hz, 1H, benzofuran-7-H), 6.97 (t, J = 8.0 Hz, 1H, benzofuran-5-H) ppm. 13C NMR (101 MHz, DMSO-d6) δ 158.4, 155.2, 147.7, 146.4, 144.7, 136.2, 130.7, 130.0, 129.8, 127.5, 127.4, 126.6, 122.4, 121.1, 120.4, 116.8, 116.8, 115.9, 109.4 ppm. HRMS (ESI) calcd. for C19H11N3O2 [M + H]+, 314.0924; found, 314.0926.
3.2.23. Synthesis of (E)-1-Benzyl-4-(2-cyano-2-(4-oxo-3,4-dihydroquinazolin-2-yl)vinyl)pyridin-1-ium (13a)
A mixture of compound 9c (50 mg, 0.18 mmol) and benzyl bromide (62 mg, 0.36 mmol) was stirred in acetonitrile (5 mL) at 80 °C for 12 h. After the reaction was completed, the solvent was removed to give a crude product, which was purified by silica gel column chromatography (300–400 mesh) (eluent, dichloromethane/methanol = 30/1~10/1, V/V) to afford compound 13a as yellow solid (74 mg). Yield: 91.2%, M.p.: 239–241 °C. 1H NMR (400 MHz, DMSO-d6) δ 12.86 (s, 1H, quinazolone-NH), 9.39–9.37 (m, 2H, pyridine-2-H, pyridine-6-H), 8.68 (s, 1H, C=CH), 8.50–8.48 (m, 2H, pyridine-3-H, pyridine-5-H), 8.20 (d, J = 9.1 Hz, 1H, quinazolone-5-H), 7.92 (t, J = 7.7 Hz, 1H, quinazolone-7-H), 7.81 (d, J = 7.9 Hz, 1H, quinazolone-8-H), 7.66 (t, J = 7.5 Hz, 1H, quinazolone-6-H), 7.61 (d, J = 6.0 Hz, 2H, Ph-2-H, Ph-6-H), 7.49 (m, 3H, Ph-3-H, Ph-4-H, Ph-5-H), 5.95 (s, 2H, CH2-Ph) ppm. 13C NMR (101 MHz, DMSO-d6) δ 161.9, 148.4, 148.2, 148.0, 146.1, 143.7, 135.7, 134.3, 130.0, 129.8, 129.6, 129.0, 128.5, 128.1, 126.6, 122.0, 116.0, 114.6, 64.0 ppm. HRMS (ESI) calcd. for C23H17N4O+Br− [M − Br−]+, 365.1397; found, 365.1397.
3.2.24. Synthesis of (E)-4-(2-Cyano-2-(4-oxo-3,4-dihydroquinazolin-2-yl)vinyl)-1-(4-methylbenzyl)pyridin-1-ium (13b)
Compound 13b was prepared according to the procedure described for compound 13a, starting from compound 9c (50 mg, 0.18 mmol) and p-methylbenzyl bromide (67 mg, 0.36 mmol). The target compound 13b was obtained as yellow solid (80 mg). Yield: 95.5%, M.p.: 253–255 °C. 1H NMR (400 MHz, DMSO-d6) δ 12.86 (s, 1H, quinazolone-NH), 9.39–9.37 (m, 2H, pyridine-2-H, pyridine-6-H), 8.69 (s, 1H, C=CH), 8.50–8.48 (m, 2H, pyridine-3-H, pyridine-5-H), 8.20 (d, J = 6.9 Hz, 1H, quinazolone-5-H), 7.92 (t, J = 7.0 Hz, 1H, quinazolone-7-H), 7.81 (d, J = 8.0 Hz, 1H, quinazolone-8-H), 7.65 (t, J = 7.5 Hz, 1H, quinazolone-6-H), 7.52 (d, J = 8.0 Hz, 2H, Ph-2-H, Ph-6-H), 7.30 (d, J = 7.9 Hz, 2H, Ph-3-H, Ph-5-H,), 5.91 (s, 2H, CH2-Ph), 2.33 (s, 3H, Ph-CH3) ppm. 13C NMR (101 MHz, DMSO-d6) δ 161.9, 148.3, 148.2, 148.0, 146.0, 143.7, 139.7, 135.7, 131.4, 130.3, 129.7, 129.0, 128.5, 128.0, 126.6, 122.0, 115.9, 114.6, 63.8, 21.3 ppm. HRMS (ESI) calcd. for C24H19N4O+Br− [M − Br−]+, 379.1553; found, 379.1552.
3.2.25. Synthesis of (E)-1-(4-(tert-Butyl)benzyl)-4-(2-cyano-2-(4-oxo-3,4-dihydroquinazolin-2-yl)vinyl)pyridine -1-ium (13c)
Compound 13c was prepared according to the procedure described for compound 13a, starting from compound 9c (50 mg, 0.18 mmol) and p-tert butyl benzyl bromide (85 mg, 0.36 mmol). The target compound 13c was obtained as yellow solid (80 mg). Yield: 93.0%, M.p.: 238–240 °C. 1H NMR (400 MHz, DMSO-d6) δ 12.87 (s, 1H, quinazolone-NH), 9.39–9.37 (m, 2H, pyridine-2-H, pyridine-6-H) 8.69 (s, 1H, C=CH), 8.50–8.48 (m, 2H, pyridine-3-H, pyridine-5-H), 8.20 (d, J = 9.1 Hz, 1H, quinazolone-5-H), 7.92 (t, J = 6.9 Hz, 1H, quinazolone-7-H), 7.81 (d, J = 7.6 Hz, 1H, quinazolone-8-H), 7.65 (t, J = 7.0 Hz, 1H, quinazolone-6-H), 7.55 (d, J = 8.5 Hz, 2H, Ph-2-H, Ph-6-H), 7.50 (d, J = 8.6 Hz, 2H, Ph-3-H, Ph-5-H), 5.91 (s, 2H, CH2-Ph), 1.28 [s, 9H, C(CH3)3] ppm. 13C NMR (101 MHz, DMSO-d6) δ 161.9, 152.7, 148.3, 148.2, 148.0, 146.0, 143.7, 135.7, 131.5, 129.4, 129.0, 128.4, 128.1, 126.7, 126.6, 122.0, 115.9, 114.6, 63.7, 34.9, 31.5 ppm. HRMS (ESI) calcd. for C27H25N4O+Br− [M − Br−]+, 421.2023; found, 421.2022.
3.2.26. Synthesis of (E)-4-(2-Cyano-2-(4-oxo-3,4-dihydroquinazolin-2-yl)vinyl)-1-(4-fluorobenzyl)pyridin-1-ium (13d)
Compound 13d was prepared according to the procedure described for compound 13a, starting from compound 9c (50 mg, 0.18 mmol) and p-fluorobenzyl bromide (70 mg, 0.36 mmol). The target compound 13d was obtained as yellow solid (80 mg). Yield: 94.1%, M.p.: 231–243 °C. 1H NMR (400 MHz, DMSO-d6) δ 12.88 (s, 1H, quinazolone-NH), 9.38 (d, J = 6.6 Hz, 2H, pyridine-2-H, pyridine-6-H), 8.69 (s, 1H, C=CH), 8.49 (d, J = 6.6 Hz, 2H, pyridine-3-H, pyridine-5-H), 8.20 (d, J = 7.1 Hz, 1H, quinazolone-5-H), 7.93 (t, J = 8.3 Hz, 1H, quinazolone-7-H), 7.81 (d, J = 8.1 Hz, 1H, quinazolone-8-H), 7.75 -7.71 (m, 2H, Ph-3-H, Ph-5-H), 7.66 (t, J = 7.7 Hz, 1H, quinazolone-6-H), 7.37–7.33 (m, 2H, Ph-2-H, Ph-6-H), 5.95 (s, 2H, CH2-Ph) ppm. 13C NMR (101 MHz, DMSO-d6) δ 164.4, 162.0, 148.4, 148.2, 148.0, 146.0, 143.7, 135.7, 132.4, 132.3, 130.6, 130.5, 129.0, 128.5, 128.1, 126.6, 122.0, 116.8, 116.6, 116.0, 114.6, 63.0 ppm. HRMS (ESI) calcd. for C23H16FN4O+Br− [M − Br−]+, 383.1303; found, 383.1302.
3.2.27. Synthesis of (E)-1-(4-Chlorobenzyl)-4-(2-cyano-2-(4-oxo-3,4-dihydroquinazolin-2-yl)vinyl)pyridin-1-ium (13e)
Compound 13e was prepared according to the procedure described for compound 13a, starting from compound 9c (50 mg, 0.18 mmol) and p-chlorobenzyl bromide (75 mg, 0.36 mmol). The target compound 13e was obtained as yellow solid (80 mg). Yield: 91.5%, M.p.: 226–228 °C. 1H NMR (400 MHz, DMSO-d6) δ 12.88 (s, 1H, quinazolone-NH), 9.37 (d, J = 6.7 Hz, 2H, pyridine-2-H, pyridine-6-H), 8.69 (s, 1H, C=CH), 8.49 (d, J = 6.4 Hz, 2H, pyridine-3-H, pyridine-5-H), 8.20 (d, J = 8.9 Hz, 1H, quinazolone-5-H), 7.93 (t, J = 7.0 Hz, 1H, quinazolone-7-H), 7.82 (d, J = 7.9 Hz, 1H, quinazolone-8-H), 7.70–7.63 (m, 3H, Ph-3-H, Ph-5-H, quinazolone-6-H), 7.58 (d, J = 8.5 Hz, 2H, Ph-2-H, Ph-6-H), 5.96 (s, 2H, CH2-Ph) ppm. 13C NMR (101 MHz, DMSO-d6) δ 161.9, 148.4, 148.2, 148.0, 146.2, 143.7, 135.7, 134.9, 133.2, 131.8, 129.8, 129.0, 128.5, 128.1, 126.6, 122.0, 116.0, 114.6, 63.0 ppm. HRMS (ESI) calcd. for C23H16ClN4O+Br− [M − Br−]+, 399.1007; found, 399.1004.
3.2.28. Synthesis of (E)-4-(2-Cyano-2-(4-oxo-3,4-dihydroquinazolin-2-yl)vinyl)-1-(4-(trifluoromethyl)benzyl) pyridin-1-ium (13f)
Compound 13f was prepared according to the procedure described for compound 13a, starting from compound 9c (50 mg, 0.18 mmol) and p-trifluoromethylbenzyl bromide (85 mg, 0.36 mmol). The target compound 13f was obtained as yellow solid (77 mg). Yield: 82.3%, M.p.: 221–223 °C. 1H NMR (400 MHz, DMSO-d6) δ 12.87 (s, 1H, quinazolone-NH), 9.39–9.38 (m, 2H, pyridine-2-H, pyridine-6-H), 8.69 (s, 1H, C=CH), 8.51 (d, J = 6.8 Hz, 2H, pyridine-3-H, pyridine-5-H), 8.20 (d, J = 9.2 Hz, 1H, quinazolone-5-H), 7.95–7.90 (m, 1H, quinazolone-7-H), 7.88 (d, J = 8.4 Hz, 2H, Ph-3-H, Ph-5-H), 7.82 (m, 3H, quinazolone-8-H, Ph-2-H, Ph-6-H)), 7.66 (t, J = 8.1 Hz, 1H, quinazolone-6-H), 6.07 (s, 2H, CH2-Ph) ppm. 13C NMR (101 MHz, DMSO-d6) δ 161.9, 148.6, 148.2, 148.0, 146.4, 143.6, 138.7, 135.7, 134.5, 130.5, 130.2, 129.0, 128.5, 128.2, 126.6, 125.8, 122.1, 116.1, 114.6, 63.1 ppm. HRMS (ESI) calcd. for C24H16F3N4O+Br− [M − Br−]+, 433.1271; found, 433.1271.
3.2.29. Synthesis of (E)-4-(2-Cyano-2-(4-oxo-3,4-dihydroquinazolin-2-yl)vinyl)-1-(4-nitrobenzyl)pyridin-1-ium (13g)
Compound 13g was prepared according to the procedure described for compound 13a, starting from compound 9c (50 mg, 0.18 mmol) and p-nitrobenzyl bromide (80 mg, 0.36 mmol). The target compound 13g was obtained as yellow solid (88 mg). Yield: 98.5%, M.p.: 237–239 °C. 1H NMR (400 MHz, DMSO-d6) δ 12.88 (s, 1H, quinazolone-NH), 9.42–9.40 (m, 2H, pyridine-2-H, pyridine-6-H), 8.70 (s, 1H, C=CH), 8.52 (d, J = 6.7 Hz, 2H, pyridine-3-H, pyridine-5-H), 8.38–8.30 (m, 2H, Ph-3-H, Ph-5-H), 8.21 (d, J = 9.0 Hz, 1H, quinazolone-5-H), 7.96–7.90 (m, 1H, quinazolone-7-H), 7.87 (d, J = 8.8 Hz, 2H, Ph-2-H, Ph-6-H), 7.82 (d, J = 7.8 Hz, 1H, quinazolone-8-H), 7.66 (t, J = 7.1 Hz, 1H, quinazolone-6-H), 6.14 (s, 2H, CH2-Ph) ppm. 13C NMR (101 MHz, DMSO-d6) δ 161.9, 148.7, 148.5, 148.0, 146.5, 143.6, 141.2, 135.7, 131.0, 130.6, 129.0, 128.5, 128.2, 126.6, 126.0, 124.7, 122.0, 116.1, 114.6, 62.8 ppm. HRMS (ESI) calcd. for C23H16N5O3+Br− [M − Br−]+, 410.1248; found, 410.1248.
3.2.30. Synthesis of (E)-4-(2-Cyano-2-(4-oxo-3,4-dihydroquinazolin-2-yl)vinyl)-1-(4-cyanobenzyl)pyridin-1-ium (13h)
Compound 13h was prepared according to the procedure described for compound 13a, starting from compound 9c (50 mg, 0.18 mmol) and p-cyanobenzyl bromide (71 mg, 0.36 mmol). The target compound 13h was obtained as yellow solid (76 mg). Yield: 88.6%, M.p.: 236–238 °C. 1H NMR (400 MHz, DMSO-d6) δ 12.88 (s, 1H, quinazolone-NH), 9.40–9.38 (m, 2H, pyridine-2-H, pyridine-6-H), 8.70 (s, 1H, C=CH), 8.51 (d, J = 6.8 Hz, 2H, pyridine-3-H, pyridine-5-H), 8.20 (d, J = 8.0 Hz, 1H, quinazolone-5-H), 7.99 (d, J = 8.4 Hz, 2H, Ph-3-H, Ph-5-H), 7.95–7.91 (m, 1H, quinazolone-7-H), 7.83–7.80 (m, 3H, quinazolone-8-H, Ph-2-H, Ph-6-H), 7.66 (t, J = 7.6 Hz, 1H, quinazolone-6-H), 6.07 (s, 2H, CH2-Ph) ppm. 13C NMR (101 MHz, DMSO-d6) δ 161.9, 148.6, 148.2, 148.0, 146.4, 143.6, 139.4, 135.7, 133.6, 130.5, 129.0, 128.4, 128.2, 126.6, 122.0, 118.8, 116.1, 114.6, 112.7, 63.1 ppm. HRMS (ESI) calcd. for C24H16N5O +Br− [M − Br−]+, 390.1349; found, 390.1349.
3.2.31. Synthesis of (E)-4-(2-Cyano-2-(4-oxo-3,4-dihydroquinazolin-2-yl)vinyl)-1-(2,4- difluorobenzyl)pyridin-1-ium (13i)
Compound 13i was prepared according to the procedure described for compound 13a, starting from compound 9c (50 mg, 0.18 mmol) and 2,4-difluorobenzyl bromide (76 mg, 0.36 mmol). The target compound 13i was obtained as yellow solid (84 mg). Yield: 95.6%, M.p.: 238–240 °C. 1H NMR (400 MHz, DMSO-d6) δ 12.87 (s, 1H, quinazolone-NH), 9.32 (d, J = 6.3 Hz, 2H, pyridine-2-H, pyridine-6-H), 8.70 (s, 1H, C=CH), 8.50 (d, J = 6.4 Hz, 2H, pyridine-3-H, pyridine-5-H), 8.20 (d, J = 7.8 Hz, 1H, quinazolone-5-H), 7.93 (t, J = 7.6 Hz, 1H, quinazolone-7-H), 7.86–7.81 (m, 2H, quinazolone-8-H, Ph-6-H), 7.66 (t, J = 7.5 Hz, 1H, quinazolone-6-H), 7.46 (t, J = 8.7 Hz, 1H, Ph-5-H), 7.29 (t, J = 7.2 Hz, 1H, Ph-3-H), 6.04 (s, 2H, CH2-Ph) ppm. 13C NMR (101 MHz, DMSO-d6) δ 165.1, 165.0, 162.9, 162.8, 162.7, 162.5, 161.6, 160.4, 160.3, 148.6, 148.2, 148.0, 146.3, 143.6, 135.7, 134.1, 134.0, 134.0, 133.9, 129.0, 128.5, 128.1, 127.3, 126.6, 122.1, 117.9, 117.8, 117.7, 117.7, 116.0, 114.6, 113.1, 113.1, 112.9, 112.9, 105.6, 105.3, 105.1, 57.9 ppm. HRMS (ESI) calcd. for C23H15F2N4O+Br− [M − Br−]+, 401.1208; found, 401.1208.
3.2.32. Synthesis of Intermediates 15a–e
Intermediate 15 was prepared through the reported methods described in reference [77].
3.2.33. Synthesis of (E)-4-(2-cyano-2-(7-fluoro-4-oxo-3,4-dihydroquinazolin-2-yl)vinyl)-1-(4-methylbenzyl) pyridin-1-ium (19a)
Compound 19a was prepared according to the procedure described for compound 13a, starting from compound 18a (50 mg, 0.17 mmol) and p-methylbenzyl bromide (60 mg, 0.34 mmol). The target compound 19a was obtained as yellow solid (50 mg). Yield: 55.0%, M.p.: 260–262 °C. 1H NMR (600 MHz, DMSO) δ 12.95 (s, 1H, quinazolone-NH), 9.38 (d, J = 6.4 Hz, 2H, pyridine-2-H, pyridine-6-H), 8.70 (s, 1H, C=CH), 8.48 (d, J = 6.3 Hz, 2H, pyridine-3-H, pyridine-5-H), 8.27–8.25 (m, 1H, quinazolone-5-H), 7.62 (d, J = 8.9Hz, 1H, quinazolone-8-H), 7.52 (m, 3H, quinazolone-6-H, Ph-2-H, Ph-6-H), 7.30 (d, J = 7.8 Hz, 2H, Ph-3-H, Ph-5-H), 5.92 (s, 2H, CH2-Ph), 2.33(s, 3H, Ph-CH3) ppm. 13C NMR (151 MHz, DMSO-d6) δ 166.4 (d, J = 252 Hz, 1JCF, quinazolone-7-C), 161.2 (quinazolone-4-CO), 150.1 (quinazolone-2-C), 149.6 (quinazolone-9-C), 148.2 (pyridine-4-C), 146.0 (pyridine-2,6-C), 144. 5 (CN-C=CH), 139.7 (Ph-4-C), 131.4 (Ph-1-C), 130.3 (Ph-3,5-2C), 129.7 (d, J = 11 Hz, 3JCF, quinazolone-5-C), 129.7 (Ph-2,6-2C), 128.1 (pyridine-3,5-C), 119.1 (quinazolone-10-C), 117.4 (d, J = 23 Hz, 2JCF, quinazolone-6-C), 115.7 (CN-C=CH), 114.5 (CN-C=CH), 113.7 (d, J = 23 Hz, 2JCF, quinazolone-8-C), 63.7 (CH2-Ph), 21.3 (CH3) ppm. HRMS (ESI) calcd. for C24H18FN4O+Br− [M − Br−]+, 397.1459; found, 397.1460.
3.2.34. Synthesis of (E)-4-(2-(7-Chloro-4-oxo-3,4-dihydroquinazolin-2-yl)-2-cyanovinyl)-1-(4- methylbenzyl)pyridin-1-ium (19b)
Compound 19b was prepared according to the procedure described for compound 13a, starting from compound 18b (50 mg, 0.16 mmol) and p-methylbenzyl bromide (60 mg, 0.32 mmol). The target compound 19a was obtained as yellow solid (54 mg). Yield: 60.9%, M.p.: 270–272 °C. 1H NMR (600 MHz, DMSO-d6) δ 12.87 (s, 1H, quinazolone-NH), 9.34 (d, J = 5.6 Hz, 2H, pyridine-2-H, pyridine-6-H), 8.67 (s, 1H, C=CH), 8.47 (d, J = 5.6 Hz, 2H, pyridine-3-H, pyridine-5-H), 8.17–8.14 (m, 1H, quinazolone-5-H), 7.68 (d, J = 7.9 Hz, 1H, quinazolone-8-H), 7.63 (d, J = 7.8 Hz, 1H, quinazolone-6-H), 7.50 (d, J = 7.4 Hz, 2H, Ph-3-H, Ph-5-H), 7.30 (d, J = 7.1 Hz, 2H, Ph-3-H, Ph-5-H), 5.89 (s, 2H, CH2-Ph), 2.33 (s, 3H, Ph-CH3) ppm.
3.2.35. Synthesis of (E)-4-(2-Cyano-2-(6,8-dichloro-4-oxo-3,4-dihydroquinazolin-2-yl)vinyl)-1-(4- methylbenzyl)pyridin-1-ium (19c)
Compound 19c was prepared according to the procedure described for compound 13a, starting from compound 18c (50 mg, 0.15 mmol) and p-methylbenzyl bromide (54 mg, 0.30 mmol). The target compound 19c was obtained as yellow solid (58 mg). Yield: 68.9%, M.p.: 264–266 °C. 1H NMR (600 MHz, DMSO-d6) δ 13.23 (s, 1H), 9.34 (d, J = 5.9 Hz, 2H, pyridine-2-H, pyridine-6-H), 8.68 (s, 1H, C=CH), 8.47 (d, J = 5.9 Hz, 2H, pyridine-3-H, pyridine-5-H), 8.24 (s, 1H, quinazolone-7-H), 8.10 (s, 1H, quinazolone-5-H), 7.50 (d, J = 7.4 Hz, 2H, Ph-2-H, Ph-6-H), 7.30 (d, J = 7.3 Hz, 2H, Ph-3-H, Ph-5-H), 5.89 (s, 2H, CH2-Ph), 2.33 (s, 3H, Ph-CH3) ppm.
3.2.36. Synthesis of (E)-4-(2-Cyano-2-(6-methyl-4-oxo-3,4-dihydroquinazolin-2-yl)vinyl)-1-(4- methylbenzyl)pyridin-1-ium (19d)
Compound 19d was prepared according to the procedure described for compound 13a, starting from compound 18d (50 mg, 0.17 mmol) and p-methylbenzyl bromide (64 mg, 0.34 mmol). The target compound 19d was obtained as yellow solid (88 mg). Yield: 96.2%, M.p.: 248–250 °C. 1H NMR (600 MHz, DMSO-d6) δ 12.83 (s, 1H, quinazolone-NH), 9.39 (d, J = 6.2 Hz, 2H, pyridine-2-H, pyridine-6-H), 8.71 (s, 1H, C=CH), 8.49 (d, J = 6.2 Hz, 2H, pyridine-3-H, pyridine-5-H), 8.02 (d, J = 7.9 Hz, 1H, quinazolone-5-H), 7.77 (d, J = 7.2 Hz, 1H, quinazolone-7-H), 7.56–7.47 (m, 3H, quinazolone-8-H, Ph-3-H, Ph-5-H), 7.30 (d, J = 7.6 Hz, 2H, Ph-3-H, Ph-5-H), 5.93 (s, 2H, CH2-Ph), 2.61 (s, 3H, quinazolone-CH3), 2.33 (s, 3H, Ph-CH3) ppm. 13C NMR (151 MHz, DMSO-d6) δ 162.1, 151.0, 148.3, 146.0, 143.0, 139.7, 136.9, 136.0, 131.4, 130.3, 129.7, 128.0, 124.2, 123.5, 122.0, 116.4, 114.5, 63.7, 21.3, 17.2 ppm.
3.2.37. Synthesis of (E)-4-(2-Cyano-2-(8-methyl-4-oxo-3,4-dihydroquinazolin-2-yl)vinyl)-1-(4- methylbenzyl)pyridin-1-ium (19e)
Compound 19e was prepared according to the procedure described for compound 13a, starting from compound 18e (50 mg, 0.17 mmol) and p-methylbenzyl bromide (64 mg, 0.34 mmol). The target compound 19e was obtained as yellow solid (62 mg). Yield: 72.9%, M.p.: 252–254 °C. 1H NMR (600 MHz, DMSO-d6) δ 12.83 (s, 1H, quinazolone-NH), 9.40 (d, J = 6.4 Hz, 2H, pyridine-2-H, pyridine-6-H), 8.71 (s, 1H, C=CH), 8.49 (d, J = 6.4 Hz, 2H, pyridine-3-H, pyridine-5-H), 8.02 (d, J = 7.7 Hz, 1H, quinazolone-5-H), 7.77 (d, J = 7.2 Hz, 1H, quinazolone-7-H), 7.53 (t, J = 7.5 Hz, 3H, quinazolone-6-H, Ph-3-H, Ph-5-H), 7.30 (d, J = 7.8 Hz, 2H, Ph-3-H, Ph-5-H), 5.93 (s, 2H, CH2-Ph), 2.61 (s, 3H, quinazolone-CH3), 2.33 (s, 3H, Ph-CH3) ppm. 13C NMR (151 MHz, DMSO-d6) δ 162.1, 151.1, 148.3, 146.0, 143.0, 139.7, 136.9, 136.0, 131.4, 130.3, 129.7, 128.5, 128.0, 124.2, 123.4, 122.0, 116.4, 114.5, 63.7, 21.3, 17.2 ppm.
3.3. Biological Assay
3.3.1. Antibacterial Evaluation
Minimal inhibitory concentration (MIC, μg/mL) is defined as the lowest concentration of target compounds that completely inhibit the growth of bacteria, by means of the standard twofold serial dilution method in 96-well microtest plates according to the Clinical and Laboratory Standards Institute (CLSI). Norfloxacin was used as a reference drug. No compound in DMSO with bacteria inoculation was used as a negative control to ensure that the solvent had no effect on bacteria growth. All the bacteria growth was monitored visually, and the experiments were performed in triplicate.
The target molecules were evaluated for their antibacterial activities against five Gram-positive bacteria (Methicillin-resistant Staphylococcus aureus N315, Staphylococcus aureus, Staphylococcus aureus ATCC 25923, Staphylococcus aureus ATCC 29213, Enterococcus faecalis) and six Gram-negative bacteria (Klebsiella pneumonia, Escherichia coli, Escherichia coli ATCC 25922, Pseudomonas aeruginosa, Pseudomonas aeruginosa ATCC 27853, Acinetobacter baumannii). The compounds were dissolved in DMSO to prepare the stock solutions. The compounds and reference drugs were prepared in Mueller–Hinton broth (Guangdong huaikai microbial sci.& tech Co., Ltd., Guangzhou, Guangdong, China) by twofold serial dilution to obtain the required concentrations of 256, 128, 64, 32, 16, 8, 4, 2, 1, 0.5, and 0.25 μg/mL. These dilutions were inoculated and incubated at 37 °C for 24 h.
3.3.2. Hemolytic Toxicity
The human red blood cells (RBCs) were collected and washed three times with saline. Subsequently, the cells were reallocated in saline to provide 5% V/V red blood cells suspension. The suspension (100 μL) was added to a 96-well plate containing 100 μL of fourfold serially diluted quinazolone pyridinium 19a solution and incubated for 1 h at 37 °C. The mixture was centrifuged at 2000 rpm for 5 min, and the supernatant (100 μL) was removed to a new 96-well plate. The absorbance of the supernatant was measured at 540 nm using a microplate reader. Distilled water and Triton X-100 were used as positive and negative controls, respectively. The hemolytic activity was calculated by the following equation: hemolysis (%) = [(ODsample−ODsaline)/(OD Triton X-100−ODsaline)] × 100%.
3.3.3. Drug-Resistance Assay
The propensity of drug resistance induced by quinazolone pyridinium 19a for MRSA and E. coli was evaluated by the sequential passaging method, and the MIC values were tested as described in biological assays procedures. After the MIC value was determined in the first generation, half-MIC suspension of resistant E. coli cells was taken for subculture, and every MIC value was obtained after 12 h incubation with quinazolone pyridinium 19a. The process lasted for 20 days.
3.3.4. Inhibition of Bacterial Growth
MRSA and E. coli culture (107 CFU/mL) was respectively treated with quinazolone pyridinium 19a (1× and 4 × MIC), norfloxacin (1 × MIC) in a 96-well plate at 37 °C. At different intervals (0, 1, 2, 3, 4, 5 and 6 h), 20 μL bacteria solution were separately removed and 10-fold serially diluted in sterile phosphate-buffered saline (PBS). Each dilution (100 μL) was plated onto the Mueller–Hinton agar plates and incubated at 37 °C for 24 h. Finally, the number of bacterial colony growth on plates was counted, and CFU per mL was calculated.
3.3.5. Inhibition of Biofilm
Aliquots of 100 μL MRSA and E. coli bacteria suspensions (an OD600 around 0.1) and quinazolone pyridinium 19a at the different concentrations of 0, 0.5, 1. 2, 4, and 8 × MIC were co-incubated in a 96-well plate for 24 h at 37 °C. The suspension was removed from the wells, and the biofilms were washed twice with PBS carefully to remove planktonic cells. The 0.1% crystal violet was added to each well for 30 min to stain the biofilm. After crystal violet was discarded, the biofilm samples were washed with phosphate buffer saline and dried, the absorbance at 600 nm was measured using a microplate reader (Tecan Infinite M200 Pro). The % viability of the treated biofilms concerning the control was calculated and plotted. Dimethyl sulfoxide was used as a negative control, and all samples were conducted in triplicate.
3.3.6. Membrane Depolarization
The pre-cultured MRSA and E. coli strain were harvested (6000 rpm, 5 min), washed, and resuspended with a mixed buffer (5 mM HEPES/5 mM glucose/100 mM KCl solution, 1/1/1, V/V/V). The bacterial suspensions (~105 CFU/mL, 100 μL) were added to the wells and followed by diSC35 dye (10 μM, 50 μL) and EDTA (200 μM, 50 μL), and the mixture were preincubated for about 30 min in dark. After cultivation, bacterial suspensions were removed, and wells were washed with PBS. Then the bacteria were dosed with active quinazolone pyridinium 19a (0.5, 1. 2, 4, and 8 × MIC), and the fluorescence spectrum was recorded on fluorescence photometer set to an excitation wavelength of 622 nm and an emission wavelength of 670 nm. DMSO was used as a negative control, and all samples were conducted in triplicate.
3.3.7. Assay for Outer Membrane Permeability
The MRSA and E. coli train was treated similarly as mentioned in earlier experiments, followed by the addition of N-phenylnaphthylamine dye (10 μM, 50 μL) and pre-incubation for about 30 min. After cultivation, the bacterial suspensions were removed, and wells were washed with PBS. Then the bacteria were dosed with active quinazolone pyridinium 19a (0.5, 1. 2, 4, and 8 × MIC), and the fluorescence spectrum was recorded on fluorescence photometer set to an excitation wavelength of 350 nm and an emission wavelength of 420 nm. DMSO was used as a negative control, and all samples were conducted in triplicate
3.3.8. Assay for Inner Membrane Damage
The MRSA and E. coli strain was treated similarly as mentioned in earlier experiments, followed by the addition of PI (10 μM, 50 μL) and pre-incubation for 30 min at 37 °C. After cultivation, the bacterial suspensions were removed, and wells were washed with PBS. Then the bacteria were dosed with active quinazolone pyridinium 19a (0.5, 1. 2, 4, and 8 × MIC), and the fluorescence spectrum was recorded on fluorescence photometer set toan excitation wavelength of 535 nm and an emission wavelength of 617 nm. DMSO was used as a negative control, and all samples were conducted in triplicate.
3.3.9. Leakage of Cellular Protein
A range of concentrations of quinazolone pyridinium 19a (0.5, 1, 2, 4, and 8 × MIC) were incubated with MRSA and E. coli (~105 CFU/mL). The bacterial suspension was added to an equal volume of 0.01 M phosphate buffer saline as a control. After the cultivation at 37 °C for 18 h, the bacterial supernatant (6000 rpm, 5 min)were collected. The concentration of leaked proteins in the supernatant was measured using a standard Bradford assay. DMSO was used as a negative control, and all samples were conducted in triplicate.
3.3.10. Assessment of Metabolic Inactivation
The MRSA and E. coli suspensions (~105 CFU/mL) were treated with a range of concentrations of quinazolone pyridinium 19a for 6 h at 37 °C. Alamar blue (50 μg/mL, 25 μL) was added to incubate with both control and treated cells for 1 h at 37 °C, then well contents were measured at 570 nm on a Thermo Scientific Microplate Reader (Thermo Fisher Scientific, Waltham, MA, USA). The average % reduction was used to determine metabolic activity. Dimethyl sulfoxide was used as a negative control, and all samples were conducted in triplicate.
3.3.11. Reactive Oxygen Species (ROS) Production
The MRSA and E. coli cells (~105 CFU/mL) were treated with quinazolone pyridinium 19a (0.5, 1, 2, 4, and 8 × MIC) at 37 °C for 18 h, then DCFH-DA dye (10 μM, 30 μL) was added to incubate with bacterial suspensions at 37 °C for 30 min in dark. After cultivation, the bacterial suspensions were removed, and wells were washed with PBS. Fluorescence was measured at an excitation wavelength of 488 nm and an emission wavelength of 522 nm. DMSO was used as a negative control, and all samples were conducted in triplicate.
3.3.12. Absorption Spectra of DNA
UV spectra were recorded at room temperature on a TU-2450 spectrophotometer (Puxi Analytic Instrument Ltd. of Beijing, China) equipped with 1.0 cm quartz cells. The stock solution of quinazolone pyridinium 19a was prepared in DMF. Tris-HCl buffer solution (pH = 7.4) was prepared by mixing and diluting Tris (tris(hydroxymethyl)aminomethane) solution with HCl solution. Tris and HCl were analytical purity. DNA intercalation assay was carried out using calf thymus DNA as a substrate. Quinazolone pyridinium 19a kept adding to the calf thymus DNA solution (c(DNA) = 1.56 × 10−4 mol/L) to make the final concentration of quinazolone pyridinium 19a ranging 0 to 2.67 × 10−5 mol/L
3.3.13. AO Binding Assay
AO was added to the calf thymus DNA solution (c(DNA) = 1.56 × 10−4 mol/L). Then, quinazolone pyridinium19a kept adding to the above solution to make the final concentration of quinazolone pyridinium 19a ranging 0–2.67 × 10−5 mol/L. The fluorescence spectral was recorded under each gradient.
3.3.14. Measurement of PBP2a Contents
The 106 CFU/mL of MRSA were treated with corresponding compounds for 6 h at 37 °C and 200 rpm. Following treatment, the cells were centrifuged at 5000 rpm for 5 min, and the supernatant was discarded. The PBP2a contents in control and treated cells were measured using the PBP2a Elisa Assay Kit (Nanjing Herb Source Bio-Technology Co., Ltd., Nanjing, China).
To investigate the binding of quinazolone pyridinium 19a to the allosteric site of PBP2a, the transpeptidase active site of purified PBP2a was irreversibly acylated by incubation with an excess amount of oxacillin for 45 min at room temperature. Unbound oxacillin was re-moved with a protein desalting column (Pierce), and the acylated protein was used in subsequent experiments. Binding of quinazolone pyridinium 19a to the allosteric site was determined by monitoring the intrinsic fluorescence of tryptophan and tyrosine residues of PBP2a. Using the fluorescence spectrofluorometer, PBP2a (500 nM) was incubated at room temperature in buffer containing HEPES (pH 7, 25 mM), NaCl (1 M) for 10 min. Upon excitation at 280 nm, the emission spectra of protein alone were taken. Quinazolone pyridinium 19a was titrated into the reaction, and the emission spectra were measured. The decrease in fluorescent emission at 330 nm for each concentration of quinazolone pyridinium 19a was quantified. The normalized difference in fluorescence was plotted versus concentration. All the experiments were done at least in triplicate.
3.3.15. Interaction with PBP2a
Crystal structure of PBP2a (PDB code: 4CJN) in PBD format was downloaded from the Protein Data Bank. AutoDock 4.2.6 was used to perform docking of the highly active quinazolone pyridinium 19a with the ligand molecule. Discovery Studio 4.5 Client (2D) was used to visualize the molecular interactions.
4. Conclusions
A series of novel structural heteroarylcyanovinyl quinazolones and quinazolone pyridiniums were designed and synthesized, and most of the target molecules exhibited potent antibacterial activity against Gram-positive and Gram-negative bacteria. SAR studies demonstrated that the introduction of pyridiniums was beneficial to broaden the antibacterial spectrum, and the position, number, and type of substituents on quinazolone also played important roles in affecting the antibacterial activity. Quinazolone pyridinium 19a showed stronger antibacterial activity than norfloxacin against MRSA and E. coli with extremely low MICs of 0.5 μg/mL, as well as no obvious resistance and hemolytic toxicity and good inhibition of bacterial biofilm. Further mechanistic studies revealed that the highly active compound 19a with a unique quaternary ammonium exerted its antibacterial activity through the multitargeting actions of destroying bacterial cell membranes, intercalating into the bacterial DNA and decreasing the metabolic activity. Moreover, active molecule 19a could enhance the anti-MRSA activity of β-lactam drug as an allosteric modulator of PBP2a. These significant findings indicated that quinazolone pyridinium 19a can be exploited as a promising candidate for the treatment of infections with multidrug-resistant bacteria, specifically MRSA infections.
Supplementary Materials
The following supporting information can be downloaded at: https://www.mdpi.com/article/10.3390/molecules30020243/s1, Figure S1: Picture of hemolytic rates of compound 19a; Figure S2: The plot of A0/(A-A0) versus 1/[compound 19a], yielding the binding constant, K = 1.01 × 105 L/mol, R = 0.996, SD = 0.039 (R is the correlation coefficient; SD is standard deviation), spectra of compounds.
Author Contributions
C.Z. (Corresponding author) guided this work; J.D. (First author) carried out the experiments, analyzed the experimental results, and wrote the original draft; Q.L. carried out the experiments and revised the manuscript; Z.L. carried out the experiments; Z.Z. and Y.L. contributed to the supervision and review. All authors have read and agreed to the published version of the manuscript.
Funding
This research was supported in part by grants from the National Natural Science Foundation of China (NSFC), China (No. 82473771), the Key Project of Innovation Research 2035 Pilot Plan of Southwest University, China (SWU-XDZD22007), and the National College Students’ Innovation and Entrepreneurship Training Program (S202410635164).
Institutional Review Board Statement
Not applicable.
Informed Consent Statement
Not applicable.
Data Availability Statement
The original contributions presented in this study are included in the article/supplementary material. Further inquiries can be directed to the corresponding author.
Conflicts of Interest
The authors declare no conflict of interest.
References
- Kaur, H.; Jakob, R.P.; Marzinek, J.K.; Robert, G.; Imai, Y.; Bolla, J.R.; Agustoni, E.; Robinson, C.V.; Bond, P.J.; Lewis, K.; et al. The antibiotic darobactin mimics a β-strand to inhibit outer membrane insertase. Nature 2021, 593, 125–129. [Google Scholar] [CrossRef]
- Zhang, Z.Q.; Koirala, B.; Hernandez, Y.; Zimmerman, M.; Brady, S.F. Bioinformatic prospecting and synthesis of a bifunctional lipopeptide antibiotic that evades resistance. Science 2022, 376, 991–996. [Google Scholar]
- Gerlach, D.; Guo, Y.L.; Castro, C.D.; Kim, S.H.; Schlatterer, K.; Xu, F.F.; Pereira, C.; Seeberger, P.H.; Ali, S.; Codée, J.; et al. Methicillin-resistant Staphylococcus aureus alters cell wall glycosylation to evade immunity. Nature 2018, 563, 705–709. [Google Scholar] [CrossRef]
- Lewis, K. The science of antibiotic discovery. Cell 2020, 181, 29–45. [Google Scholar] [CrossRef]
- Wang, Z.W.; Wang, M.X.; Yao, X.; Li, Y.; Tan, J.; Wang, L.Z.; Qiao, W.T.; Geng, Y.Q.; Liu, Y.X.; Wang, Q.M. Design, synthesis and antiviral activity of novel quinazolinones. Eur. J. Med. Chem. 2012, 53, 275–282. [Google Scholar] [CrossRef]
- Plescia, F.; Maggio, B.; Daidone, G.; Raffa, D. 4-(3H)-quinazolinones N-3 substituted with a five membered heterocycle: A promising scaffold towards bioactive molecules. Eur. J. Med. Chem. 2021, 213, 113070. [Google Scholar] [CrossRef] [PubMed]
- Li, H.B.; Fu, G.H.; Zhong, W.H. Natural quinazolinones: From a treasure house to promising anticancer leads. Eur. J. Med. Chem. 2023, 245, 114915. [Google Scholar] [CrossRef]
- Li, Z.H.; Zhao, L.; Bian, Y.Q.; Li, Y.; Qu, J.; Song, F. The antibacterial activity of quinazoline and quinazolinone hybrids. Curr. Top. Med. Chem. 2022, 22, 1035–1044. [Google Scholar] [CrossRef]
- Wang, J.; Ansari, M.F.; Zhou, C.H. Identification of unique quinazolinone thiazoles as novel structural scaffolds for potential gram-negative bacterial conquerors. J. Med. Chem. 2021, 64, 7630–7645. [Google Scholar] [CrossRef]
- Gatadi, S.; Lakshmi, T.V.; Nanduri, S. 4(3H)-quinazolinone derivatives: Promising antibacterial drug leads. Eur. J. Med. Chem. 2019, 170, 157–172. [Google Scholar] [CrossRef]
- Dai, J.; Battini, N.; Zang, Z.L.; Luo, Y.; Zhou, C.H. Discovery of alkaloid quinazolone-derived imidazolenones with novel structural scaffolds of multitargeting antibacterial potential. Chin. J. Chem. 2023, 41, 3645–3661. [Google Scholar] [CrossRef]
- Deng, Y.; Zhang, Y.; Chen, X.H.; Li, C.H. Antibacterial activity evaluation of pleuromutilin derivatives with 4 (3H)-quinazolinone scaffold against methicillin-resistant Staphylococcus aureus. Eur. J. Med. Chem. 2022, 246, 114960. [Google Scholar] [CrossRef]
- Wang, J.; Battini, N.; Ansari, M.F.; Zhou, C.H. Synthesis and biological evaluation of quinazolinonethiazoles as new potential conquerors towards Pseudomonas aeruginosa. Chin. J. Chem. 2021, 39, 1093–1103. [Google Scholar] [CrossRef]
- Ambade, S.S.; Gupta, V.K.; Bhole, R.P.; Khedekar, P.B.; Chikhale, R.V. A review on five and six-membered heterocyclic compounds targeting the penicillin-binding protein 2 (PBP2A) of methicillin-resistant Staphylococcus aureus (MRSA). Molecules 2023, 28, 7008. [Google Scholar] [CrossRef] [PubMed]
- Dai, J.; Battini, N.; Zang, Z.L.; Luo, Y.; Zhou, C.H. Novel thiazolylketenyl quinazolinones as potential anti-MRSA agents and allosteric modulator for PBP2a. Molecules 2023, 28, 4240. [Google Scholar] [CrossRef]
- Janardhanan, J.; Bouley, R.; Martinez-Caballero, S.; Peng, Z.H.; Batuecas-Mordillo, M.; Meisel, J.E.; Ding, D.R.; Schroeder, V.A.; Wolter, W.R.; Mahasenan, K.V.; et al. The quinazolinone allosteric inhibitor of PBP 2a synergizes with piperacillin and tazobactam against methicillin-resistant Staphylococcus aureus. Antimicrob. Agents Chemother. 2019, 63, e02637-18. [Google Scholar] [CrossRef]
- Liu, H.; Xu, T.; Xue, Z.H.; Huang, M.J.; Wang, T.T.; Zhang, M.M.; Yang, R.G.; Guo, Y. Current development of thiazole-containing compounds as potential antibacterials against methicillin-resistant Staphylococcus aureus. ACS Infect. Dis. 2024, 10, 350–370. [Google Scholar] [CrossRef]
- Zhou, X.M.; Hu, Y.Y.; Fang, B.; Zhou, C.H. Benzenesulfonyl thiazoloimines as unique multitargeting antibacterial agents towards Enterococcus faecalis. Eur. J. Med. Chem. 2023, 248, 115088. [Google Scholar] [CrossRef]
- Zhang, L.; Peng, X.M.; Damu, G.L.V.; Geng, R.X.; Zhou, C.H. Comprehensive review in current developments of imidazole-based medicinal chemistry. Med. Res. Rev. 2014, 34, 340–437. [Google Scholar] [CrossRef]
- Li, S.R.; Tan, Y.M.; Zhang, L.; Zhou, C.H. Comprehensive insights into medicinal research on imidazole-based supramolecular complexes. Pharmaceutics 2023, 15, 1348. [Google Scholar] [CrossRef]
- Ahmed, K.; Choudhary, M.I.; Saleem, R.S.Z. Heterocyclic pyrimidine derivatives as promising antibacterial agents. Eur. J. Med. Chem. 2023, 259, 115701. [Google Scholar] [CrossRef]
- Tan, Y.M.; Wang, Y.; Li, S.; Zhang, S.L.; Zhou, C.H. Azolylpyrimidinediols as novel structural scaffolds of DNA-groove binders against intractable Acinetobacter baumannii. J. Med. Chem. 2023, 66, 4910–4931. [Google Scholar] [CrossRef] [PubMed]
- Islam, M.B.; Islam, M.I.; Nath, N.; Emran, T.B.; Rahman, M.R.; Sharma, R.; Matin, M.M. Recent advances in pyridine scaffold: Focus on chemistry, synthesis, and antibacterial activities. BioMed Res. Int. 2023, 2023, 9967591. [Google Scholar] [CrossRef]
- Kerru, N.; Gummidi, L.; Maddila, S.; Gangu, K.K.; Jonnalagadda, S.B. A review on recent advances in nitrogen-containing molecules and their biological applications. Molecules 2020, 25, 1909. [Google Scholar] [CrossRef]
- Zang, Z.L.; Wang, Y.X.; Battini, N.; Gao, W.W.; Zhou, C.H. Synthesis and antibacterial medicinal evaluation of carbothioamido hydrazonyl thiazolylquinolone with multitargeting antimicrobial potential to combat increasingly global resistance. Eur. J. Med. Chem. 2024, 275, 116626. [Google Scholar] [CrossRef]
- Wang, Y.X.; Deng, Z.; Bibi, A.; Fang, B.; Zhou, C.H. Unique azolyl acylhydrazonyl hybridization of aloe emodins to access potential antibacterial agents. Chin. J. Chem. 2024, 42, 1741–1758. [Google Scholar] [CrossRef]
- Wang, Y.X.; Du, Y.F.; Huang, H. A survey of the role of nitrile groups in protein–ligand interactions. Future Med. Chem. 2018, 10, 2713–2727. [Google Scholar] [CrossRef] [PubMed]
- Wen, Z.Y.; Zhang, Y.Q.; Chen, Y.; Zhao, Y.F.; Shao, W.Y.; Ma, Z.H. Characterization of the fludioxonil and phenamacril dual resistant mutants of Fusarium graminearum. Pestic. Biochem. Physiol. 2024, 200, 105815. [Google Scholar] [CrossRef]
- Tischer, M.; Pradel, G.; Ohlsen, K.; Holzgrabe, U. Quaternary ammonium salts and their antimicrobial potential: Targets or nonspecific interactions? ChemMedChem 2012, 7, 22–31. [Google Scholar] [CrossRef] [PubMed]
- Jennings, M.C.; Minbiole, K.P.C.; Wuest, W.M. Quaternary ammonium compounds: An antimicrobial mainstay and platform for innovation to address bacterial resistance. ACS Infect. Dis. 2015, 1, 288–303. [Google Scholar] [CrossRef]
- Fedorowicz, J.; Saczewski, J.; Konopacka, A.; Waleron, K.; Lejnowski, D.; Ciura, K.; Tomasic, T.; Skok, Z.; Savijoki, K.; Morawska, M.; et al. Synthesis and biological evaluation of hybrid quinolone-based quaternary ammonium antibacterial agents. Eur. J. Med. Chem. 2019, 179, 576–590. [Google Scholar] [CrossRef] [PubMed]
- Sowmiah, S.; Esperanca, J.M.S.S.; Rebelo, L.P.N.; Afonso, C.A.M. Pyridinium salts: From synthesis to reactivity and applications. Org. Chem. Front. 2018, 5, 453–493. [Google Scholar] [CrossRef]
- Fromm-Dornieden, C.; Rembe, J.; Schafer, N.; Bohm, J.; Stuermer, E.K. Cetylpyridinium chloride and miramistin as antiseptic substances in chronic wound management-prospects and limitations. J. Med. Microbiol. 2015, 64, 407–414. [Google Scholar] [CrossRef]
- Wang, N.; Yu, H.; Zhu, Z.H.; Wang, H.; Wei, Y.F.; Wang, Q.; Zhou, Y.L.; Fang, T.Q.; Zhang, Y.; Cui, M.H.; et al. Novel methyldithiocarbazate derivatives as NDM-1 inhibitors to combat multidrug-resistant bacterial infection with β-lactams. Eur. J. Med. Chem. 2022, 239, 114521. [Google Scholar] [CrossRef]
- Guo, Y.; Hou, E.H.; Wen, T.Y.; Yan, X.T.; Han, M.Y.; Bai, L.P.; Fu, X.J.; Liu, J.F.; Qin, S.S. Development of membrane-active honokiol/magnolol amphiphiles as potent antibacterial agents against methicillin-resistant Staphylococcus aureus (MRSA). J. Med. Chem. 2021, 64, 12903–12916. [Google Scholar] [CrossRef]
- Zhang, J.; Tan, Y.M.; Li, S.R.; Battini, N.; Zhang, S.L.; Lin, J.M.; Zhou, C.H. Discovery of benzopyridone cyanoacetates as new type of potential broad-spectrum antibacterial candidates. Eur. J. Med. Chem. 2024, 265, 116107. [Google Scholar] [CrossRef]
- Brown, E.D.; Wright, G.D. Antibacterial drug discovery in the resistance era. Nature 2016, 529, 336–343. [Google Scholar] [CrossRef]
- García-Castro, M.; Sarabia, F.; Díaz-Morilla, A.; López-Romero, J.M. Approved antibacterial drugs in the last 10 years: From the bench to the clinic. Explor. Drug Sci. 2023, 1, 180–209. [Google Scholar] [CrossRef]
- Yang, X.C.; Zeng, C.M.; Avula, S.R.; Peng, X.M.; Geng, R.X.; Zhou, C.H. Novel coumarin aminophosphonates as potential multitargeting antibacterial agents against Staphylococcus aureus. Eur. J. Med. Chem. 2023, 245, 114891. [Google Scholar] [CrossRef]
- Li, F.F.; Zhao, W.H.; Tangadanch, V.K.R.; Meng, J.P.; Zhou, C.H. Discovery of novel phenylhydrazone-based oxindole-thiolazoles as potent antibacterial agents toward Pseudomonas aeruginosa. Eur. J. Med. Chem. 2022, 239, 114521. [Google Scholar] [CrossRef]
- Cai, Q.N.; Yu, Q.; Liang, W.X.; Li, H.Z.; Liu, J.Y.; Li, H.X.; Chen, Y.Z.; Fang, S.F.; Zhong, R.C.; Liu, S.P.; et al. Membrane-active nonivamide derivatives as effective broad-spectrum antimicrobials: Rational design, synthesis, and biological evaluation. J. Med. Chem. 2022, 65, 16754–16773. [Google Scholar] [CrossRef]
- Zhou, X.M.; Li, Q.Y.; Lu, X.; Bheemanaboina, R.R.Y.; Fang, B.; Cai, G.X.; Zhou, C.H. Identification of unique indolylcyanoethylenyl sulfonylanilines as novel structural scaffolds of potential antibacterial agents. Eur. J. Med. Chem. 2023, 260, 115773. [Google Scholar] [CrossRef]
- Lin, S.M.; Koh, J.J.; Aung, T.T.; Sin, W.L.; Lim, F.H.; Wang, L.; Lakshminarayanan, R.; Zhou, L.; Tan, D.T.H.; Cao, D.R.; et al. Semisynthetic flavone-derived antimicrobials with therapeutic potential against methicillin-resistant Staphylococcus aureus (MRSA). J. Med. Chem. 2017, 60, 6152–6165. [Google Scholar] [CrossRef]
- Sharma, S.; Mohler, J.; Mahajan, S.D.; Schwartz, S.A.; Bruggemann, L.; Aalinkeel, R. Microbial biofilm: A review on formation, infection, antibiotic resistance, control measures, and innovative treatment. Microorganisms 2023, 11, 1614. [Google Scholar] [CrossRef] [PubMed]
- Li, W.; Yang, X.; Ahmad, N.; Zhang, S.L.; Zhou, C.H. Novel aminothiazoximone-corbelled ethoxycarbonylpyrimidones with antibiofilm activity to conquer gram-negative bacteria through potential multitargeting effects. Eur. J. Med. Chem. 2024, 268, 116219. [Google Scholar] [CrossRef]
- Wang, Y.Y.; Zhang, X.Y.; Zhong, X.L.; Huang, Y.J.; Lin, J.; Chen, W.M. Design and synthesis of 3-hydroxy-pyridin-4(1H)-ones–ciprofloxacin conjugates as dual antibacterial and antibiofilm agents against Pseudomonas aeruginosa. J. Med. Chem. 2023, 66, 2169–2193. [Google Scholar] [CrossRef] [PubMed]
- Li, S.R.; Zeng, C.M.; Peng, X.M.; Chen, J.P.; Li, S.; Zhou, C.H. Benzopyrone-mediated quinolones as potential multitargeting antibacterial agents. Eur. J. Med. Chem. 2023, 262, 115878. [Google Scholar] [CrossRef] [PubMed]
- Nikolic, P.; Mudgil, P. The Cell wall, cell membrane and virulence factors of Staphylococcus aureus and their role in antibiotic resistance. Microorganisms 2023, 11, 259. [Google Scholar] [CrossRef]
- Deng, Z.; Bheemanaboina, R.R.Y.; Luo, Y.; Zhou, C.H. Aloe emodin-conjugated sulfonyl hydrazones as novel type of antibacterial modulators against S. aureus 25923 through multifaceted synergistic effects. Bioorg. Chem. 2022, 127, 106035. [Google Scholar] [CrossRef]
- Liang, W.X.; Yu, Q.; Zheng, Z.X.; Liu, J.Y.; Cai, Q.M.; Liu, S.P.; Lin, S.M. Design and synthesis of phenyl sulfide-based cationic amphiphiles as membrane-targeting antimicrobial agents against Gram-positive pathogens. J. Med. Chem. 2022, 65, 14221–14236. [Google Scholar] [CrossRef]
- Sun, J.W.; Rutherford, S.T.; Silhavy, T.J.; Huang, K.C. Physical properties of the bacterial outer membrane. Nat. Rev. Microbiol. 2022, 20, 236–248. [Google Scholar] [CrossRef] [PubMed]
- Genet, S.; Costalat, R.; Burger, J. The influence of plasma membrane electrostatic properties on the stability of cell ionic composition. Biophys. J. 2001, 81, 2442–2457. [Google Scholar] [CrossRef]
- Liu, J.Y.; Li, H.G.; Li, H.Z.; Fang, S.F.; Shi, J.G.; Chen, Y.Z.; Zhong, R.C.; Liu, S.P.; Lin, S.M. Rational design of dipicolylamine-containing carbazole amphiphiles combined with Zn2+ as potent broad-spectrum antibacterial agents with a membrane-disruptive mechanism. J. Med. Chem. 2021, 64, 10429–10444. [Google Scholar] [CrossRef]
- Yang, X.; Sun, H.; Maddili, S.K.; Li, S.; Yang, R.G.; Zhou, C.H. Dihydropyrimidinone imidazoles as unique structural antibacterial agents for drug-resistant Gram-negative pathogens. Eur. J. Med. Chem. 2022, 232, 114188. [Google Scholar] [CrossRef]
- Ferreira, R.J.; Kasson, P.M. Antibiotic uptake across Gram-negative outer membranes: Better predictions towards better antibiotics. ACS Infect. Dis. 2019, 5, 2096–2104. [Google Scholar] [CrossRef]
- Rojas, E.R.; Billings, G.; Odermatt, P.D.; Auer, G.K.; Zhu, L.; Miguel, A.; Chang, F.; Weibel, D.B.; Theriot, J.A.; Huang, K.C. The outer membrane is an essential load-bearing element in Gram-negative bacteria. Nature 2018, 559, 617–621. [Google Scholar] [CrossRef]
- Sun, H.; Li, Z.Z.; Jeyakkumar, P.; Zang, Z.L.; Fang, B.; Zhou, C.H. A new discovery of unique 13-(benzimidazolylmethyl)berberines as promising broad-spectrum antibacterial agents. J. Agric. Food Chem. 2022, 70, 12320–12329. [Google Scholar] [CrossRef]
- Zhao, J.S.; Ahmad, N.; Li, S.; Zhou, C.H. Hydrazyl hydroxycoumarins as new potential conquerors towards Pseudomonas aeruginosa. Bioorg. Med. Chem. Lett. 2024, 103, 129709. [Google Scholar] [CrossRef]
- Shi, Y.G.; Zhang, R.R.; Zhu, C.M.; Xu, M.F.; Gu, Q.; Ettelaie, R.; Lin, S.; Wang, Y.F.; Leng, X.Y. Antimicrobial mechanism of alkyl gallates against Escherichia coli and Staphylococcus aureus and its combined effect with electrospun nanofibers on Chinese Taihu icefish preservation. Food Chem. 2021, 346, 128949. [Google Scholar] [CrossRef]
- Zang, Z.L.; Gao, W.W.; Zhou, C.H. Unique aminothiazolyl coumarins as potential DNA and membrane disruptors towards Enterococcus faecalis. Bioorg. Chem. 2024, 148, 107451. [Google Scholar] [CrossRef]
- Yao, C.Y.; Li, X.D.; Bi, W.W.; Jiang, C. Relationship between membrane damage, leakage of intracellular compounds, and inactivation of Escherichia coli treated by pressurized CO2. J. Basic Microbiol. 2014, 54, 858–865. [Google Scholar] [CrossRef]
- Song, J.F.; Wang, M.M.; Tao, H.Y.; Yang, A.M.; Zhu, Z.H.; Bai, S.L.; Luo, M.M.; Xu, J.P.; Liu, X.K.; Sun, Y.C.; et al. Manipulation of bacterial ROS production leads to self-escalating DNA damage and resistance-resistant lethality for intracellular mycobacteria. Microbiology 2023, 7, 548098. [Google Scholar]
- Zou, L.L.; Wang, J.; Gao, Y.; Ren, X.Y.; Rottenberg, M.E.; Lu, J.; Holmgren, A. Synergistic antibacterial activity of silver with antibiotics correlating with the upregulation of the ROS production. Sci. Rep. 2018, 8, 11131. [Google Scholar] [CrossRef]
- Tan, Y.M.; Zhang, J.; Wei, Y.J.; Hu, Y.G.; Li, S.R.; Zhang, S.L.; Zhou, C.H. Cyanomethylquinolones as a new class of potential multitargeting broad-spectrum antibacterial agents. J. Med. Chem. 2024, 67, 9028–9053. [Google Scholar] [CrossRef]
- Zhang, P.L.; Laiche, M.H.; Li, Y.L.; Gao, W.W.; Lin, J.M.; Zhou, C.H. An unanticipated discovery of novel naphthalimidopropanediols as potential broad-spectrum antibacterial members. Eur. J. Med. Chem. 2022, 241, 114657. [Google Scholar] [CrossRef]
- Zhao, W.H.; Xu, J.H.; Tangadanchu, V.K.R.; Zhou, C.H. Thiazolyl hydrazineylidenyl indolones as unique potential multitargeting broad-spectrum antimicrobial agents. Eur. J. Med. Chem. 2023, 256, 115452. [Google Scholar] [CrossRef]
- Yahia, E.; Mohammad, H.; Abdelghany, T.M.; Fayed, E.; Seleem, M.N.; Mayhoub, A.S. Phenylthiazole antibiotics: A metabolism-guided approach to overcome short duration of action. Eur. J. Med. Chem. 2017, 126, 604–613. [Google Scholar] [CrossRef]
- Yang, X.C.; Zhang, P.L.; Kumar, K.V.; Li, S.; Geng, R.X.; Zhou, C.H. Discovery of unique thiazolidinone-conjugated coumarins as novel broad spectrum antibacterial agents. Eur. J. Med. Chem. 2022, 232, 114192. [Google Scholar] [CrossRef]
- Farag, N.A.H.; El-Tayeb, W. Design, synthesis and docking studies of new furobenzopyranones and pyranobenzopyranones as photoreagent towards DNA and as antimicrobial agents. Eur. J. Med. Chem. 2010, 45, 317–325. [Google Scholar] [CrossRef]
- Zhang, J.; Battini, N.; Ou, J.M.; Zhang, S.L.; Zhang, L.; Zhou, C.H. New efforts toward aminothiazolylquinolones with multitargeting antibacterial potential. J. Agric. Food Chem. 2023, 71, 2322–2332. [Google Scholar] [CrossRef]
- Chen, J.P.; Battini, N.; Ansari, M.F.; Zhou, C.H. Membrane active 7-thiazoxime quinolones as novel DNA binding agents to decrease the genes expression and exert potent anti-methicillin-resistant Staphylococcus aureus activity. Eur. J. Med. Chem. 2021, 217, 113340. [Google Scholar] [CrossRef]
- Cui, S.F.; Addla, D.; Zhou, C.H. Novel 3-aminothiazolquinolones: Design, synthesis, bioactive evaluation, SARs, and preliminary antibacterial mechanism. J. Med. Chem. 2016, 59, 4488–4510. [Google Scholar] [CrossRef]
- Bouley, R.; Kumarasiri, M.; Peng, Z.; Otero, L.H.; Song, W.; Suckow, M.A.; Schroeder, V.A.; Wolter, W.R.; Lastochkin, E.; Antunes, N.T.; et al. Discovery of antibiotic (E)-3-(3-carboxyphenyl)-2-(4-cyanostyryl)quinazolin-4(3H)-one. J. Am. Chem. Soc. 2015, 137, 1738–1741. [Google Scholar] [CrossRef]
- Zhang, P.L.; Lavanya, G.; Zhang, S.L.; Cai, G.X.; Zhou, C.H. An unanticipated discovery towards novel naphthalimide corbelled aminothiazoximes as potential anti-MRSA agents and allosteric modulators for PBP2a. Eur. J. Med. Chem. 2022, 229, 114050. [Google Scholar] [CrossRef]
- Pinzi, L.; Rastelli, G. Molecular docking: Shifting paradigms in drug discovery. Int. J. Mol. Sci. 2019, 20, 4331. [Google Scholar] [CrossRef]
- Wang, J.X.; Zhang, P.L.; Gopala, L.; Lv, J.S.; Lin, J.M.; Zhou, C.H. A unique hybridization route to access hydrazylnaphthalimidols as novel structural scaffolds of multitargeting broad-spectrum antifungal candidates. J. Med. Chem. 2024, 67, 8932–8961. [Google Scholar] [CrossRef]
- Nathubhai, A.; Wood, P.J.; Lloyd, M.D.; Thompson, A.S.; Threadgill, M.D. Design and discovery of 2-arylquinazolin-4-ones as potent and selective inhibitors of Tankyrases. ACS Med. Chem. Lett. 2013, 4, 1173–1177. [Google Scholar] [CrossRef]
Disclaimer/Publisher’s Note: The statements, opinions and data contained in all publications are solely those of the individual author(s) and contributor(s) and not of MDPI and/or the editor(s). MDPI and/or the editor(s) disclaim responsibility for any injury to people or property resulting from any ideas, methods, instructions or products referred to in the content. |
© 2025 by the authors. Licensee MDPI, Basel, Switzerland. This article is an open access article distributed under the terms and conditions of the Creative Commons Attribution (CC BY) license (https://creativecommons.org/licenses/by/4.0/).



















