Next Article in Journal
Enhanced Stability and Charge Separation of InP by Assembling Al2O3 and Metallic Al for Photocatalytic Overall Water Splitting
Next Article in Special Issue
Novel Halolactones Derived from Vanillin: Design, Synthesis, Structural Characterization, and Evaluation of Antiproliferative and Hemolytic Activities
Previous Article in Journal
Effect of Support and Polymer Modifier on the Catalytic Performance of Supported Palladium Catalysts in Hydrogenation
Previous Article in Special Issue
SGLT2 Inhibitors: From Molecular Mechanisms to Clinical Outcomes in Cardiology and Diabetology
 
 
Font Type:
Arial Georgia Verdana
Font Size:
Aa Aa Aa
Line Spacing:
Column Width:
Background:
Article

Balsalazide-Derived Heterotriaryls as Sirtuin 5 Inhibitors: A Case Study of a Reversible Covalent Inhibition Strategy

Department of Pharmacy—Center for Drug Research, Ludwig-Maximilians University, Butenandtstr. 5-13, 81377 Munich, Germany
*
Author to whom correspondence should be addressed.
Molecules 2025, 30(18), 3821; https://doi.org/10.3390/molecules30183821
Submission received: 22 August 2025 / Revised: 16 September 2025 / Accepted: 18 September 2025 / Published: 20 September 2025
(This article belongs to the Special Issue Organic Molecules in Drug Discovery and Development)

Abstract

Sirtuin 5 is an NAD+-dependent lysine deacylase that is involved in various biological processes and has emerged as a promising target for pharmaceutical therapies. The development of highly potent and subtype-selective sirtuin 5 inhibitors for their application as chemical tools and drug candidates still poses a significant challenge. Based on our own optimized balsalazide-derived sirtuin 5 inhibitors, this work presents a systematic investigation of the inhibitory effects of derivatives with moieties that were guided by docking experiments to target the nicotinamide ribose vicinal hydroxy groups of the essential co-factor NAD+ via reversible covalent binding to potentially enhance their potency. Our results show that functionalizations with these moieties were tolerated to some extent and possessed a distinct stereo-selective preference. The (S)-configured cyanomethyl derivative 50 with an IC50 of 27 µM emerged from our synthesized library of compounds as the most potent functionalized inhibitor and lies in a similar potency range to other established sirtuin 5 inhibitors. Our findings offer a deeper insight into the structure–activity relationships of our balsalazide-derived heterotriaryl-based sirtuin 5 inhibitors and thus could provide an avenue for further optimizations in the future.

Graphical Abstract

1. Introduction

Sirtuins, belonging to the unique class III histone deacetylases, represent highly conserved NAD+-dependent enzymes [1]. In mammals, seven different sirtuin subtypes were identified, each with its own distinct function and subcellular localization [2]. As a protein that predominantly resides in the mitochondria, sirtuin 5 has gained significant interest over the years due to its governing role in various metabolic processes such as ammonia detoxification [3], ROS elimination [4], β-oxidation of fatty acids [5], glycolysis [6] and ketogenesis [7]. Dysregulation of sirtuin 5 has been implicated with the progression and exacerbation of numerous diseases, including metabolic disorders [8], neurodegeneration [9,10] and cancer [11,12,13]. Thus, sirtuin 5 presents itself as a promising biological target for pharmaceutical interventions. Extensive efforts were undertaken over the years to develop novel and effective Sirt5 inhibitors. However, most of them still suffer from sub-par potency, lack of subtype selectivity and poor pharmacokinetic properties, signifying the challenges and obstacles associated with the development of drug-like sirtuin 5 inhibitors. Representative potent sirtuin 5 inhibitors include the indolinone GW5074 [14,15], the β-naphthol-based cambinol [16] and Maurer et al. compound 2 [16] (Figure 1). However, these compounds also exhibit comparable inhibitory potency against other sirtuin subtypes such as sirtuin 2. Additionally, these inhibitors, as well as Liu et al. compound 37 [17], may exhibit promiscuity to other biological targets due to highly reactive motifs such as Michael acceptors and alkylidene thiobarbiturates that are typical in false-positive pan-assay interference compounds (PAINS) [18]. Although approved drugs such as anthralin, methacycline and balsalazide emerged as sirtuin 5 inhibitors in a high-throughput screening [19], their drug repurposing potential is limited due to significant liabilities associated with toxicity (anthralin), instability (anthralin), unwanted antimicrobial effects (methacycline) and suboptimal pharmacokinetic properties (balsalazide) [20,21]. For the latter, however, optimization efforts that involve the substitution of the gut-bacteria labile azo bond of balsalazide with metabolically more stable heteroaromatic rings such as isoxazole (CG_209) and triazole (CG_220) have been successfully conducted in our previous work [21,22].
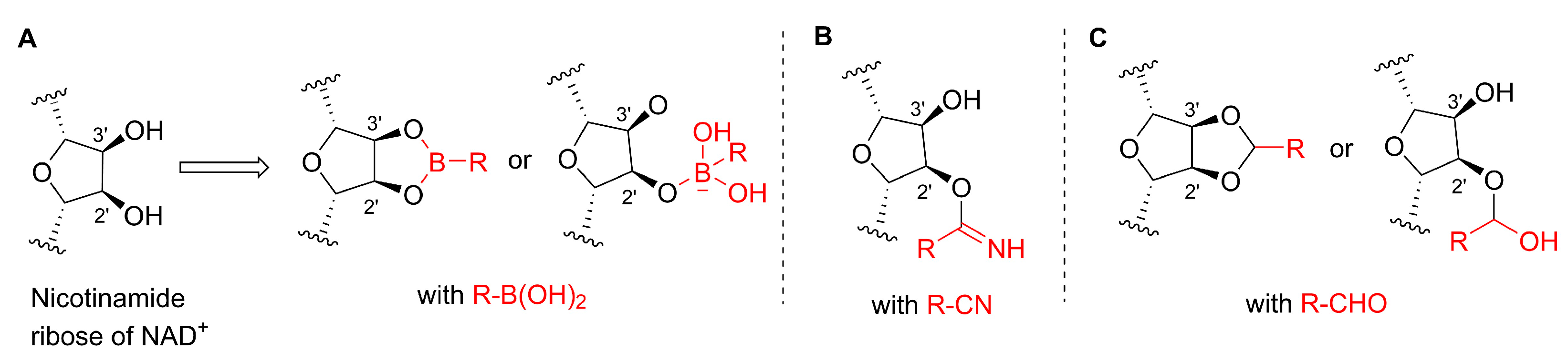
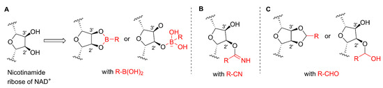
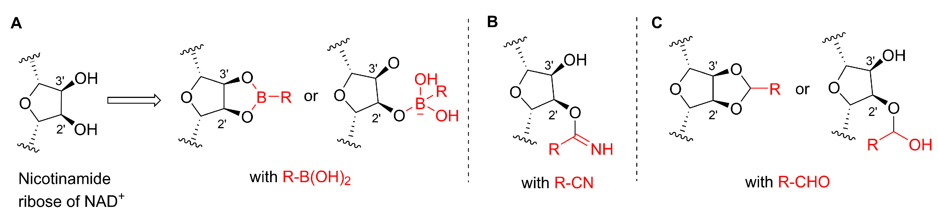
In continuation of our work on the optimization of balsalazide as a drug-like sirtuin 5 inhibitor through comprehensive SAR studies [21,22] and our work on developing reversible covalent sirtuin inhibitors [23], we sought to explore the potential of reversible covalent inhibition as a tool to further improve the potency of our subtype selective sirtuin 5 inhibitors CG_209 and CG_220. Reversible covalent inhibition with suitable functional groups has seen notable success in drug development as exemplified by the boronic acid-containing bortezomib in the treatment of multiple myeloma [24,25], the nitrile-based saxagliptin for the treatment of diabetes mellitus type II [26], and the aldehyde-containing sickle cell anemia drug voxelotor [27]. Nitriles can undergo reversible covalent bonding with the more reactive 2′-OH of the nicotinamide ribose based on the mechanistic insight of sirtuin catalysis [1], while boronic acids and aldehydes can additionally react with the 3′-OH nicotinamide ribose to form cyclic boronates and acetals (Figure 2). Reversible covalent inhibitors have the advantage of prolonged inhibition and thus potency compared to non-covalent inhibitors, yet at the same time reduced off-target toxicity and immunogenicity compared to irreversible covalent inhibitors, making them promising candidates for drug development [28]. Based on our previous docking experiments of balsalazide in sirtuin 5 [21], the position of balsalazide was shown to be in spatial proximity to the nicotinamide ribose ring of the co-factor NAD+. These findings suggested the potential of the yet-unexploited co-factor NAD+ as a site for additional binding interactions. A similar strategy has been executed to great success in the other sirtuin subtypes such as the development of mechanism-based sirtuin 2 inhibitors that yielded nanomolar potency [29]. However, to the best of our knowledge, this approach has never been investigated before in the field of sirtuin 5. Furthermore, the application of reversible covalent inhibition in the development of sirtuin 5 inhibitors remains unexplored. Thus, this work focuses on the systematic investigation of rational modifications of CG_209 and CG_220 that employ various functional groups such as boronic acids, nitriles and aldehydes at appropriate positions on the inhibitor scaffolds to not only give further insight into their structure–activity relationships, but to perhaps also potentially improve their potency through their engagement in reversible covalent bonding with the nicotinamide ribose hydroxy groups of NAD+.

2. Results & Discussion

2.1. Design Rationale of Inhibitors via Docking Experiments

Initial docking experiments with the envisaged boronic acid derivatives in sirtuin 5 were performed to give an insight into their potential binding poses (Figure 3). The results suggested the α-carbon atom to the essential terminal carboxylic acid as the appropriate position for functional group modifications to target the nicotinamide ribose hydroxy groups of the co-factor NAD+. Notably, the docking calculations also predicted the requirement of an additional methylene group for optimal spacing of the modifications to allow reversible covalent bonding with the nicotinamide ribose hydroxy groups. Acknowledging the presence of a newly introduced chiral center involved in the functional group modifications, syntheses and subsequent biological evaluation of enantiomerically pure derivatives will additionally provide insight, if any, into the stereospecific preference of these moieties in the active site.

2.2. Chemistry

The syntheses of lead structures CG_209 and CG_220 were generally performed following literature procedures [22] with slight modifications, particularly in the preparation of the benzamide 6 (Scheme 1). Instead of the reported three-step procedure [22], the amide 6 was synthesized directly from 4-ethynylbenzoic acid (4) and β-alanine ethyl ester hydrochloride (5) with CDI as an amide coupling reagent. For the preparation of the isoxazole CG_209, the salicylic acid moiety of 5-formylsalicylic acid (1) was first protected with acetone to give the acetonide 2. Aldoxime 3 was then synthesized from acetonide 2 with hydroxylamine hydrochloride. PIFA-mediated oxidation of the aldoxime 3 to the nitrile oxide intermediate allowed the 1,3-dipolar cycloaddition with alkyne 6 to yield isoxazole 7. Subsequent saponification of the acetonide and the ethyl ester gave lead structure CG_209 in 73% yield. Similarly, the preparation of triazole CG_220 involved the initial protection of 5-nitrosalicylic acid (8) to give acetonide 9. The nitroarene 9 was then reduced to the aniline 10 and subsequently, after diazotation, converted to azide 11 with sodium azide. The copper catalyzed azide-alkyne cycloaddition (CuAAC) between azide 11 and alkyne 6 then afforded triazole 12. Finally, dual protective group saponification led to the formation of lead structure CG_220.
The syntheses of the enantiomerically pure boronic acid and cyanomethyl derivatives were initiated by the reduction of 4-benzyl N-Boc-(S)- (13) and (R)- (14) aspartate to their corresponding primary alcohols 15 and 16 with ethyl chloroformate to initially generate the mixed anhydride intermediates and then sodium borohydride following procedures from Isernia et al. [31] (Scheme 2). Conversion of the primary alcohol 15 to the alkyl iodide 17 via an Appel reaction was performed with triphenylphosphine and iodine following a published protocol [31]. Similarly, bromination of alcohols 15 and 16 via an Appel reaction afforded the alkyl bromides 18 and 19 according to published work by Röhrich et al. [32]. The borylation of the alkyl bromides 18 and 19 was then successfully performed with B2pin2, Pd2(dba)3 catalyst and t-Bu2MeP·HBF4 ligand to give the boronic acid pinacol esters 20 and 21 in 60% and 51% yield, respectively.
Kolbe nitrile synthesis of the cyanomethyl compounds 22 and 23 from the alkyl bromides 18 and 19 was performed using Bu4NCN, inspired by a method from Isernia et al. [31].
The N-Boc-protected derivatives 2023 were then treated with HCl in dioxane following a procedure from Klein et al. [33] to give the primary amine hydrochlorides 2427, which were subsequently coupled with 4-ethynylbenzoic acid (4) utilizing CDI as an amide coupling reagent to give amides 2831 in good yields. Of particular note was the formation of 2-oxazoline 45 as the main product when the bromo derivative 44 was subjected to amide coupling with 4-ethynylbenzoic acid (Scheme 3), suggesting that efficient introduction of the boronic acid pinacol ester and the nitrile moieties must be performed prior to the amide coupling as late-stage functionalization to the boronic acid pinacol esters or nitriles would no longer be possible with oxazoline 45. Since the identity of the product was initially ambiguous, the X-ray crystal structure of compound 45 was solved to confirm its molecular structure (see Supplementary Materials). The duality of CDI as both an amide coupling reagent and subsequently a source of base in the form of imidazole allows the facile base-mediated formation of 2-oxazoline in a single step.
1,3-Dipolar cycloaddition of the alkynes 2831 and the previously synthesized aldoxime 3 in a methanol–water mixture then afforded the isoxazoles 3235. Notably, transesterification of the benzyl ester with the solvent methanol also occurred in this reaction but was only limited to the boronic acid pinacol esters derivatives 32 and 33, presumably due to the strong Lewis acidity of the boronic acid pinacol ester in the neighboring position to the benzyl ester that promotes this transesterification process. Nonetheless, the next synthetic steps were carried on since the benzyl ester (or the methyl ester) only served as a protecting group for the terminal carboxylic acid and will have to be hydrolyzed in the following steps. The syntheses of triazoles 3841 were performed via CuAAC of alkynes 2831 and the previously prepared azide 11. Remarkably, mixtures of both the boronic acid pinacol esters and the free boronic acids were generated. For example, CuAAC of alkyne 28 and azide 11 yielded 17% of the boronic acid pinacol ester 38 and 24% of the boronic acid 42, while CuAAC of alkyne 29 and azide 11 yielded 8% of the boronic acid pinacol ester 39 and 33% of the boronic acid 43. Subsequent oxidative cleavage of the boronic acid pinacol esters 32, 33 and 38 with sodium periodate gave boronic acids 36, 37 and 42 in satisfactory yields.
The borylation step involving the conversion of alkyl bromides 18 and 19 to the boronic acid pinacol esters 20 and 21 represents a pivotal segment in the syntheses of the envisaged boronic acid derivatives and required several rounds of optimizations in the reagents, reaction conditions and purification methods used (Table 1), all of which are listed here as entries in Table 1 and were inspired from published methods that were specifically developed for the preparation of alkyl boronic acids and esters thereof. Alkyl iodide 17 was initially subjected to borylation utilizing CuI as catalyst, triphenylphosphine as ligand and lithium methanolate as a base (entry 1 [34]), but this approach was unsuccessful. Replacement of the triphenylphosphine ligand with another phosphine-based ligand Xantphos and the base with potassium tert-butoxide with reactions performed both at room temperature (entry 2 [35]) and at elevated temperature (entry 3) likewise showed no success.
Substitution of the transition metal catalyst to Ni(II) in combination with a chiral pyridine bisoxazoline ligand led instead to the undesired dehalogenation of alkyl iodide 17 in 33% yield (entry 4). Such undesired dehalogenation was notably not observed in the original study where this method was developed [36]. Alternatively, utilization of Pd2(dba)3 catalyst and t-Bu2MeP·HBF4 ligand with potassium carbonate as a base was performed in a solvent mixture of tert-butanol and water and gave trace amounts of the product (entry 5 [37]). Similarly, traces of the product were obtained when tetrabutylammonium iodide was additionally employed with the reagents listed in entry 1 (entry 6 [38]). However, applying the exact same reagents and conditions from entry 6 with alkyl bromide 18 as the starting material, a significant increase in the yield was obtained, and the desired pinacol ester product 20 could be isolated in 10% yield (entry 7 [38]). When the reagents and the reaction conditions from entry 1 were repeated with alkyl bromide 18, still no desired product 20 was formed (entry 8 [34]), highlighting the importance of tetrabutylammonium iodide in entry 7. Entry 5, which initially afforded only traces amount of the desired product 20, was repeated using alkyl bromide 18, yielding 16% of the desired boronic acid pinacol ester 20 (entry 9 [37]). This suggests that alkyl bromide 18 is better suited than iodide 17 in the borylation, likely due to the latter’s lower stability in the given reaction conditions. The reaction time in entry 9 was then systematically varied to optimize the yield of product 20, with 6 h identified as optimal despite incomplete consumption of starting material 18 (entry 10a). Finally, purification of the boronic acid pinacol ester 20 using boric acid-impregnated silica gel was performed, which was prepared as described by Hitosugi et al. [39]. This further improved the yield to 60% (entry 10b) due to the reduction of the Lewis basicity of the silica gel and thus the over-adsorption of the boronic acid pinacol ester 20 to the silica gel, a common problem in the purification of boronic acids and esters [39].
In the final step, the isoxazole cyanomethyl compounds 34 and 35 and the triazole cyanomethyl compounds 40 and 41 were subjected to saponification to afford the desired enantiomerically pure cyanomethylated isoxazoles 47 and 48 and triazoles 49 and 50 (Scheme 4). Similarly, the saponification of the boronic acids 36, 37, 42 and 43 was performed, albeit selective to the terminal methyl or benzyl ester to prevent the degradation of the boronic acids that stems from the inter- or intramolecular salicylic acid-boronic acid reactions. Selective saponification of the terminal methyl or benzyl ester was achieved by performing the reaction at 0 °C. Notably, in the presence of a base the boronic acids react intramolecularly with the neighboring amide moiety to form the cyclic boronates 5154. All attempts at deprotection of the acetonides to free salicylates led to very unstable products, and not even traces of the target products could be isolated.
The preparation of the corresponding aldehyde derivatives was initially attempted by chemoselective reduction of the nitrile intermediates (34, 35, 40, 41), but disappointing results were obtained. So we moved to an alternative approach, which was initiated with the formation of the allyl ester 55 from carboxylic acid 13 with allyl bromide and diisopropylethylamine following published protocols [40]. Subsequent blue LED-mediated radical decarboxylation of allyl ester 55 to form a racemic mixture of the N-Boc-protected homoallylic amine 56 was accomplished with a combination of palladium and iridium-photoredox catalyst following a protocol published by Lang et al. [40]. N-Boc deprotection with HCl in dioxane gave primary amine 57, and subsequent amide coupling with 4-ethynylbenzoic acid (4) then afforded amide 58 in 81% yield. 1,3-Dipolar cycloaddition of alkyne 58 with aldoxime 3 and CuAAC of alkyne 58 with azide 11 gave isoxazole 59 and triazole 62, respectively. The saponification of the acetonide and benzyl ester moieties of isoxazole 59 and triazole 62 then yielded isoxazole 60 and triazole 63. In the final step, ozonolysis was performed to oxidize the terminal vinyl groups of isoxazole 60 and triazole 63 to their corresponding racemic aldehydes 61 and 64 (Scheme 5).

2.3. Biological Evaluation

The synthesized cyclic boronate, cyanomethyl and formylmethyl derivatives of CG_209 and CG_220 were tested for their inhibitory effects against sirtuin 5 using a fluorescence-based assay utilizing a 7-amino-4-methyl coumarin-based succinylated lysine as its substrate. The IC50 values of these compounds were calculated as a mean of three measurements (Table 2). The determined IC50 values of the literature-known lead structures CG_209 and CG_220 in this assay were in accordance with their published values of 12 µM and 7 µM, respectively [21,22]. In general, all the functionalized inhibitors showed micromolar inhibitory effects against sirtuin 5 but showed a loss in the potency compared to their lead structures. Among the three functional group modifications that were employed, cyanomethyl analogues showed the highest potency, followed by formyl and then boronate derivatives. Significant loss in the potency of the boronates 5154 could be observed compared to their lead structures CG_209 and CG_220.
We previously investigated the tolerance of several modifications in the salicylic acid moiety and found that a free salicylate is beneficial, but not mandatory, for affinity for Sirt5 [22]. So, although the acetonide protecting group may contribute to the loss in potency observed for 5154 here, we believe that this observation is likely due to the introduction of the cyclic boronate moieties. The additional rigidization associated with the cyclic boronate may restrict the flexibility of the inhibitor that is required for optimal fitting in the active site of sirtuin 5. In contrast, functionalization with cyanomethyl groups was better tolerated with cyanomethyl derivative 50 representing the most potent functionalized inhibitor in this library screening. With an IC50 of 27 µM, the potency of compound 50 thus lies in a similar range of other established sirtuin 5 inhibitors published in the literature. Additionally, a general trend of higher potency for the triazole derivatives (49, 50, 53, 54 and 64) could be interpreted when they were compared with the isoxazole derivatives (47, 48, 51, 52 and 61) of the corresponding functionalization. For example, the S-enantiomer of triazole boronate 54 displayed an IC50 of 61 µM, a doubling in the potency compared to its corresponding isoxazole derivative 52. Furthermore, a stereo-selective preference of these functional group modifications could be observed. In all cases, the S-enantiomers showed higher potency than the corresponding R-enantiomers. The S-enantiomer of the cyanomethyl isoxazole 48, for instance, displayed an IC50 of 65 µM, whereas the corresponding R-enantiomer 47 had an IC50 of 97 µM. Based on these results, we concluded that modifications incorporating moieties such as boronic acids, cyanomethyl and formylmethyl groups were tolerated to a certain extent and retained micromolar inhibitory in vitro activities against sirtuin 5. Although these functionalized derivatives did not yield the anticipated enhancement in potency and thus reversible covalent inhibition of the functionalized inhibitors is not evident as their inhibitory activities would otherwise be significantly improved via reversible covalent binding with the co-factor NAD+, our findings offer valuable insights into the SAR of balsalazide analogues as sirtuin 5 inhibitors. Importantly, these results highlight the triazole-based scaffold with potentially further modifications in the S-configuration as a promising platform for further structural elaborations. Future optimization efforts focusing on diverse functional group modifications that are not limited to reversible covalent inhibition may lead to the development of more potent sirtuin 5 inhibitors. Although the exact binding mechanism of these functionalized sirtuin 5 inhibitors could not yet be shown in this study due to significant challenges in obtaining stable co-crystals with these inhibitors, ongoing efforts are actively being made to elucidate its structural biology. Notably, the majority of the obtained sirtuin 5 co-crystals are in complex with macromolecules or peptide-based larger molecules [41,42], highlighting the challenges in obtaining sirtuin 5 co-crystals with low-molecular inhibitors.

3. Materials and Methods

3.1. Chemical Synthesis

All solvents and reagents were purchased from commercial sources and used without further purification. Standard vacuum line techniques were applied. Reactions were monitored via thin-layer silica gel chromatography (TLC) using polyester sheets POLYGRAM SIL G/UV254 coated with 0.2 mm silica gel (Macherey-Nagel, Düren, Germany). Plates were visualized using UV light (254 nm or 365 nm) or staining with KMnO4, curcumin, CAM (ceric ammonium molybdate) or DNPH (dinitrophenylhydrazine). Products were purified by flash column chromatography (normal-phase silica gel chromatography or boric acid-impregnated normal-phase silica gel chromatography) using SiO2 60 (0.040–0.063 mm, 230–400 mesh ASTM) from Merck (Darmstadt, Germany). NMR spectra were recorded with Avance III HD 400 MHz Bruker BioSpin and Avance III HD 500 MHz Bruker BioSpin (1H-NMR: 400 MHz and 500 MHz, 13C-NMR: 101 MHz and 126 MHz) (Bruker, Billerica, MA, USA) using the deuterated solvent stated. Chemical shifts (δ) are quoted in parts per million (ppm) and referenced to the residual solvent peak. Multiplicities are denoted as follows: s—singlet, d—doublet, t—triplet, q—quartet and quin—quintet. Coupling constants J are given in Hz and rounded to the nearest 0.1 Hz. Infrared spectra were recorded from 4000 to 650 cm−1 on a Perkin Elmer Spectrum BX-59343 FT-IR instrument (Perkin Elmer, Shelton, CT, USA). A Smiths Detection DuraSamp IR II Diamond ATR sensor (Smiths Detection, Danbury, CT, USA) was used for detection. The absorption bands are reported in wavenumbers [cm−1]. High-resolution mass spectra (HR-MS) were recorded using a Jeol Mstation 700 or JMS GCmate II Jeol instrument (Jeol, Tokyo, Japan) for electron impact ionization (EI). Thermo Finnigan LTQ (Thermo Finnigan, Somerset, NJ, USA) was used for electrospray ionization (ESI). Melting points were measured with a Büchi Schmelzpunktapparatur B-540 (Büchi, Flawil, Switzerland). HPLC analytical measurements at 210 nm and 254 nm for purities determination was performed with a Zorbax Eclipse Plus C18 column (Waters, Milford, MA, USA) with a diameter of 4.6 mm and a length of 150 mm and a particle size of 3.5 µm.
General Procedure A—N-Boc deprotection with HCl [33]. The appropriate N-Boc-protected amine (1.0 equivalent) was dissolved in 4.0 M HCl dioxane solution (3.2 equivalents) under N2 atmosphere and stirred at room temperature for 1 h. The solvent was removed in vacuo and then co-evaporated with diethyl ether (4×). The obtained amine hydrochlorides could be used for the subsequent steps without further purification.
General Procedure B—Amide coupling with CDI. To a stirred solution of the appropriate carboxylic acid (1.0 equivalent) in DMF with a concentration of 0.20 M, CDI (1.1 equivalents) was added. The reaction mixture was stirred at room temperature for 15 min. Afterwards, the appropriate amine (1.0 equivalent) was added, and unless stated otherwise, the solution was stirred at room temperature for 3 d. The solution was diluted with EtOAc, and the organic phase was washed with brine (3×). The organic phase was dried using a phase separation paper, and the solvent was removed in vacuo. If necessary, the crude product was purified by FCC using the indicated eluent.
General Procedure C—PIFA-mediated isoxazole formation [43]. To a stirred solution of the appropriate alkyne (1.0 equivalent) in MeOH/H2O (5:1 v/v) with a concentration of 0.10 M, the appropriate oxime (1.5 equivalents) was added. Then, 0.5 equivalents of PIFA were added every 2 h. After the addition of 1.5 equivalents PIFA, the reaction mixture was stirred at room temperature for another 16 h. The solvents were removed in vacuo, and the crude product was resuspended in EtOAc. Water was added, the resulting two phases were separated, and the aqueous phase was extracted with EtOAc (3×). The combined organic phases were dried using a phase separation paper and the solvent was removed in vacuo. The crude product was purified by FCC using the indicated eluent.
General Procedure D—Copper-catalyzed azide-alkyne cycloaddition. To a stirred solution of the appropriate azide (1.0 equivalent) in t-BuOH/DMSO (21:1 v/v) with a concentration of 0.13 M, we added a solution of the appropriate alkyne (1.2 equivalents) in t-BuOH with a concentration of 0.33 M. A 0.027 M aq. CuSO4 solution (0.2 equivalents) and a 0.13 M aq. sodium ascorbate solution (1.0 equivalent) were added, and the reaction mixture was stirred at room temperature for 18 h. The reaction mixture was diluted with EtOAc, and the organic phase was washed sequentially with 1 M HCl (1×), aq. sat. NaHCO3 (1×) and brine (1×). The organic phase was dried using a phase separation paper, and the solvent was removed in vacuo. The crude product was purified by the indicated method.
General Procedure E—Alkaline deprotection of acetonides and esters. To a stirred solution of the appropriate protected starting material (1.0 equivalent) in THF with a concentration of 0.15 M, an aq. KOH solution was added with the stated concentration and equivalents. The reaction mixture was stirred at the stated temperature for the stated time and then acidified to pH 1 with 2 M HCl. EtOAc was added to the suspension, the resulting two phases were separated, and the aqueous phase was extracted with EtOAc (3×). The combined organic phases were dried using a phase separation paper, and the solvent was removed in vacuo. The crude product was purified by the indicated method.
Ethyl 3-(4-ethynylbenzamido)propanoate (6). Prepared according to General Procedure B from ß-alanine ethyl ester hydrochloride (1.00 g, 6.51 mmol) and 4-ethynylbenzoic acid (1.00 g, 6.51 mmol). The reaction mixture was stirred at room temperature for 2.5 h. The amide 6 (1.20 g, 4.89 mmol, 75%) was obtained as a brownish-yellow solid. Analytical data are in alignment with literature [22].
Benzyl (R)-3-((tert-butoxycarbonyl)amino)-4-(4,4,5,5-tetramethyl-1,3,2-dioxaborolan-2-yl)butanoate (20). Pd2(dba)3 (31.9 mg, 0.0348 mmol), di-tert-butyl(methyl)phosphonium tetrafluoroborate (51.8 mg, 0.209 mmol), bis(pinacolato)diboron (2.12 g, 8.35 mmol), K2CO3 (1.92 g, 13.9 mmol) and alkyl bromide 18 (2.59 g, 6.96 mmol) were added to a 100 mL round-bottomed flask and evacuated and backfilled three times with N2. 19 mL of a degassed t-BuOH/H2O (12:1 v/v) solution were added. The reaction mixture was stirred at 65 °C for 6 h, then diluted with EtOAc (200 mL). The organic phase was washed with brine (2 × 200 mL), dried using a phase separation paper, concentrated in vacuo and purified by FCC with boric acid-impregnated silica gel (hexanes/EtOAc 89:11) to give boronic acid pinacol ester 20 (1.75 g, 4.17 mmol, 60%) as a yellow oil. 1H-NMR (400 MHz, (CDCl3): δ (ppm) = 7.37–7.29 (m, 5H, 2′-H, 3′-H, 4′-H, 5′-H and 6′-H), 5.12–5.09 (m, 2H, 1′-CH2), 4.24–4.16 (m, 1H, 3-H), 2.69–2.52 (m, 2H, 2-H), 1.42 (s, 9H, C(CH3)3), 1.24–1.20 (m, 12H, (C(CH3)2)2), 1.15 (d, J = 6.7 Hz, 2H, 4-H). 13C-NMR (101 MHz, (CDCl3): δ (ppm) = 171.59 (C-1), 155.13 (NHCOO), 136.05 (C-1′), 128.67–128.32 (C-2′, C-3′, C-4′, C-5′ and C-6′), 83.59 ((C(CH3)2)2), 79.22 (C(CH3)3), 66.41 (1′-CH2), 44.96 (C-3) 41.17 (C-2), 28.56 (C(CH3)3), 24.97–24.86 ((C(CH3)2)2), 17.78 (C-4). IR (ATR): (cm−1) = 3348, 2977, 1709, 1514, 1366, 1168, 1140, 1019, 965, 846, 697. HR-MS (ESI): m/z = [M + Na]+ calcd for C22H34BNO6Na+: 442.2377; found: 442.2372. Specific rotation: [α ] D 20 +3 (c 0.1 in DMSO).
Benzyl (S)-3-((tert-butoxycarbonyl)amino)-4-(4,4,5,5-tetramethyl-1,3,2-dioxaborolan-2-yl)butanoate (21). Pd2(dba)3 (49.2 mg, 0.0537 mmol), di-tert-butyl(methyl)phosphonium tetrafluoroborate (80.0 mg, 0.322 mmol), bis(pinacolato)diboron (3.27 g, 12.9 mmol), K2CO3 (2.97 g, 21.5 mmol) and alkyl bromide 19 (4.00 g, 10.7 mmol) were added to a 100 mL round-bottomed flask and evacuated and backfilled three times with N2. 32 mL of a degassed t-BuOH/H2O (12:1 v/v) solution were added. The reaction mixture was stirred at 65 °C for 6 h, then diluted with EtOAc (500 mL). The organic phase was washed with brine (2 × 400 mL), dried using a phase separation paper, concentrated in vacuo and purified by FCC with boric acid-impregnated silica gel (hexanes/EtOAc 89:11) to give boronic acid pinacol ester 21 (2.30 g, 5.48 mmol, 51%) as a yellow oil. 1H-NMR (400 MHz, (CDCl3): δ (ppm) = 7.38–7.29 (m, 5H, 2′-H, 3′-H, 4′-H, 5′-H and 6′-H), 5.13–5.08 (m, 2H, 1′-CH2), 4.27–4.08 (m, 1H, 3-H), 2.75–2.52 (m, 2H, 2-H), 1.45–1.40 (m, 9H, C(CH3)3), 1.25–1.20 (m, 12H, (C(CH3)2)2)), 1.15 (d, J = 6.7 Hz, 2H, 4-H). 13C-NMR (101 MHz, (CDCl3): δ (ppm) = 171.65 (C-1), 155.13 (NHCOO), 136.04 (C-1′), 128.68–128.34 (C-2′, C-3′, C-4′, C-5′ and C-6′), 83.59 ((C(CH3)2)2), 79.16 (C(CH3)3), 66.42 (1′-CH2), 44.87 (C-3), 41.13 (C-2), 28.56 (C(CH3)3), 24.96–24.86 ((C(CH3)2)2)), 17.96 (C-4). IR (ATR): (cm−1) = 3371, 2977, 1711, 1498, 1366, 1164, 1140, 1019, 967, 846, 696. HR-MS (ESI): m/z = [M + Na]+ calcd for C22H34BNO6Na+: 442.2377; found: 442.2376. Specific rotation: [α ] D 20 −5 (c 0.1 in DMSO).
(R)-4-(Benzyloxy)-4-oxo-1-(4,4,5,5-tetramethyl-1,3,2-dioxaborolan-2-yl)butan-2-aminium chloride (24). Prepared according to General Procedure A from N-Boc-protected amine 20 (3.20 g, 7.63 mmol). The amine hydrochloride 24 (2.45 g, 7.65 mmol, quant.) was obtained as a viscous yellow oil. 1H-NMR (500 MHz, (CD3)2SO): δ (ppm) = 8.04 (s, 3H, NH3+), 7.40–7.32 (m, 5H, 2′-H, 3′-H, 4′-H, 5′-H and 6′-H), 5.14 (d, J = 6.9 Hz, 2H, 1′-CH2), 3.63–3.53 (m, 1H, 2-H), 2.79–2.67 (m, 2H, 3-H), 1.27–1.22 (m, 1H, 1-H), 1.19 (d, J = 2.5 Hz, 12H, (C(CH3)2)2), 1.16–1.13 (m, 1H, 1-H). 13C-NMR (126 MHz, (CD3)2SO): δ (ppm) = 169.87 (C-4), 135.74 (C-1′), 128.45–128.05 (C-2′, C-3′, C-4′, C-5′ and C-6′), 83.51 ((C(CH3)2)2), 66.06 (1′-CH2), 44.96 (C-2), 38.12 (C-3), 24.46 ((C(CH3)2)2), 16.03 (C-1). IR (ATR): (cm−1) = 3263, 1978, 2883, 2828, 2109, 1727, 1382, 1322, 1204, 1163, 1140, 967, 844, 696. HR-MS (ESI): m/z = [M]+ calcd for C17H27BNO4+: 320.2028; found: 320.2027. Specific rotation: [α ] D 20 −6 (c 0.1 in DMSO).
(S)-4-(Benzyloxy)-4-oxo-1-(4,4,5,5-tetramethyl-1,3,2-dioxaborolan-2-yl)butan-2-aminium chloride (25). Prepared according to General Procedure A from N-Boc-protected amine 21 (2.80 g, 6.68 mmol). The amine hydrochloride 25 (2.14 g, 6.68 mmol, quant.) was obtained as a viscous yellow oil. 1H-NMR (500 MHz, (CD3)2SO): δ (ppm) = 8.04 (s, 3H, NH3+), 7.40–7.33 (m, 5H, 2′-H, 3′-H, 4′-H, 5′-H and 6′-H), 5.14 (d, J = 6.9 Hz, 2H, 1′-CH2), 3.64–3.51 (m, 1H, 2-H), 2.78–2.67 (m, 2H, 3-H), 1.27–1.22 (m, 1H, 1-H), 1.19 (d, J = 2.5 Hz, 12H, C(CH3)2)2), 1.16–1.10 (m, 1H, 1-H). 13C-NMR (101 MHz, (CD3)2SO): δ (ppm) = 169.86 (C-4), 135.74 (C-1′), 128.44–128.04 (C-2′, C-3′, C-4′, C-5′ and C-6′), 83.50 ((C(CH3)2)2), 66.05 (1′-CH2), 44.96 (C-2), 38.12 (C-3), 24.46 ((C(CH3)2)2), 16.02 (C-1). IR (ATR): (cm−1) = 2977, 2883, 2833, 2034, 1730, 1381, 1324, 1211, 1165, 1139, 966, 845, 696. HR-MS (ESI): m/z = [M]+ calcd for C17H27BNO4+: 320.2028; found: 320.2038. Specific rotation: [α ] D 20 +7 (c 0.1 in DMSO).
(R)-4-(Benzyloxy)-1-cyano-4-oxobutan-2-aminium chloride (26). Prepared according to General Procedure A from N-Boc-protected amine 22 (2.50 g, 7.85 mmol). The amine hydrochloride 26 (1.72 g, 7.84 mmol, quant.) was obtained as a purple-gray solid. m.p.: 107 °C. 1H-NMR (400 MHz, (CD3)2SO): δ (ppm) = 8.59 (s, 3H, NH3+), 7.44–7.32 (m, 5H, 2′-H, 3′-H, 4′-H, 5′-H and 6′-H), 5.15 (s, 2H, 1′-CH2), 3.84 (p, J = 6.3 Hz, 1H, 2-H), 3.06 (dd, J = 6.0, 1.4 Hz, 2H, 1-H), 2.96–2.81 (m, 2H, 3-H). 13C-NMR (126 MHz, (CD3)2SO): δ (ppm) = 168.99 (C-4), 135.58 (C-1′), 128.47–128.16 (C-2′, C-3′, C-4′, C-5′ and C-6′), 116.74 (CN), 66.36 (1′-CH2), 43.86 (C-2), 36.09 (C-3), 20.80 (C-1). IR (ATR): (cm−1) = 3033, 2923, 2854, 2641, 2500, 2252, 1716, 1541, 1454, 1401, 1217, 1188, 1157, 1117, 972, 754, 696. HR-MS (ESI): m/z = [M]+ calcd for C12H15N2O2+: 219.1128; found: 219.1137. Specific rotation: [α ] D 20 −8 (c 0.1 in DMSO).
(S)-4-(Benzyloxy)-1-cyano-4-oxobutan-2-aminium chloride (27). Prepared according to General Procedure A from N-Boc-protected amine 23 (1.30 g, 4.08 mmol). The amine hydrochloride 27 (895 g, 4.08 mmol, quant.) was obtained as a beige solid. m.p.: 109 °C. 1H-NMR (400 MHz, (CD3)2SO): δ (ppm) = 8.59 (s, 3H, NH3+), 7.43–7.33 (m, 5H, 2′-H, 3′-H, 4′-H, 5′-H and 6′-H), 5.15 (s, 2H, 1′-CH2), 3.84 (p, J = 6.3 Hz, 1H, 2-H), 3.06 (dd, J = 6.0, 1.4 Hz, 2H, 1-H), 2.95–2.80 (m, 2H, 3-H). 13C-NMR (101 MHz, (CD3)2SO): δ (ppm) = 168.98 (C-4), 135.57 (C-1′), 128.46–128.15 (C-2′, C-3′, C-4′, C-5′ and C-6′), 116.74 (CN), 66.36 (1′-CH2), 43.86 (C-2), 36.09 (C-3), 20.80 (C-1). IR (ATR): (cm−1) = 3033, 2922, 2854, 2641, 2541, 2252, 1716, 1541, 1454, 1401, 1217, 1188, 1157, 1117, 972, 754, 696. HR-MS (ESI): m/z = [M]+ calcd for C12H15N2O2+: 219.1128; found: 219.1124. Specific rotation: [α ] D 20 +8 (c 0.1 in DMSO).
Benzyl (R)-3-(4-ethynylbenzamido)-4-(4,4,5,5-tetramethyl-1,3,2-dioxaborolan-2-yl)butanoate (28). Prepared according to General Procedure B from amine hydrochloride 24 (2.45 g, 7.68 mmol) and 4-ethynylbenzoic acid (1.18 g, 7.68 mmol). The crude product was purified by FCC with boric acid-impregnated silica gel (hexanes/EtOAc 75:25) to give amide 28 (2.73 mg, 6.10 mmol, 80%) as a yellow oil. 1H-NMR (400 MHz, (CD3)2SO): δ (ppm) = 8.38 (d, J = 8.2 Hz, 1H, CONH), 7.79–7.75 (m, 2H, 2′-H and 6′-H), 7.57–7.53 (m, 2H, 3′-H and 5′-H), 7.34–7.25 (m, 5H, 2″-H, 3″-H, 4″-H, 5″-H and 6″-H), 5.06–5.04 (m, 2H, 1″-CH2), 4.50–4.43 (m, 1H, 3-H), 4.36 (s, 1H, C≡CH), 2.69–2.55 (m, 2H, 2-H), 1.14 (s, 12H, C(CH3)2)2), 1.10–1.05 (m, 2H, 4-H). 13C-NMR (101 MHz, (CD3)2SO): δ (ppm) = 170.65 (C-1), 164.56 (CONH), 136.12 (C-1″), 134.80 (C-1′), 131.49 (C-3′ and C-5′), 128.30–127.80 (C-2″, C-3″, C-4″, C-5″ and C-6″), 127.48 (C-2′ and C-6′), 124.19 (C-4′), 82.88 ((C(CH3)2)2), 82.72 (C≡CH and C≡CH), 65.46 (1″-CH2), 43.97 (C-3), 41.04 (C-2), 24.48 ((C(CH3)2)2), 17.81 (C-4). IR (ATR): (cm−1) = 3263, 2978, 2109, 1729, 1641, 1537, 1372, 1323, 1140, 967, 848, 696. HR-MS (ESI): m/z = [M + H]+ calcd for C26H31BNO5+: 448.2290; found: 448.2288. Specific rotation: [α ] D 20 +6 (c 0.1 in DMSO).
Benzyl (S)-3-(4-ethynylbenzamido)-4-(4,4,5,5-tetramethyl-1,3,2-dioxaborolan-2-yl)butanoate (29). Prepared according to General Procedure B from amine hydrochloride 25 (2.14 g, 6.68 mmol) and 4-ethynylbenzoic acid (1.03 g, 6.68 mmol). The crude product was purified by FCC with boric acid-impregnated silica gel (hexanes/EtOAc 75:25) to give amide 29 (1.92 g, 4.29 mmol, 64%) as a yellow oil. 1H-NMR (500 MHz, (CD3)2SO): δ (ppm) = 8.38 (d, J = 8.2 Hz, 1H, CONH), 7.78–7.75 (m, 2H, 2′-H and 6′-H), 7.57–7.53 (m, 2H, 3′-H and 5′-H), 7.33–7.26 (m, 5H, 2″-H, 3″-H, 4″-H, 5″-H and 6″-H), 5.07–5.04 (m, 2H, 1″-CH2), 4.50–4.43 (m, 1H, 3-H), 4.36 (s, 1H, C≡CH), 2.69–2.55 (m, 2H, 2-H), 1.14 (s, 12H, C(CH3)2)2), 1.10–1.03 (m, 2H, 4-H). 13C-NMR (101 MHz, (CD3)2SO): δ (ppm) = 170.65 (C-1), 164.56 (CONH), 136.12 (C-1′), 134.80 (C-1′), 131.49 (C-3′ and C-5′), 128.30–127.80 (C-2′′, C-3″, C-4″, C-5″ and C-6″), 127.48 (C-2′ and C-6′), 124.20 (C-4′), 82.88 ((C(CH3)2)2, C≡CH and C≡CH), 65.46 (1″-CH2), 43.98 (C-3), 41.04 (C-2), 24.48 ((C(CH3)2)2), 17.80 (C-4). IR (ATR): (cm−1) = 3284, 2978, 2107, 1731, 1639, 1535, 1372, 1323, 1139, 966, 846, 696. HR-MS (ESI): m/z = [M + H]+ calcd for C26H31BNO5+: 448.2290; found: 448.2295. Specific rotation: [α ] D 20 −5 (c 0.1 in DMSO).
Benzyl (R)-4-cyano-3-(4-ethynylbenzamido)butanoate (30). Prepared according to General Procedure B from amine hydrochloride 26 (1.72 g, 7.84 mmol) and 4-ethynylbenzoic acid (1.21 g, 7.84 mmol). The crude product was purified by FCC (hexanes/EtOAc 80:20) to give amide 30 (1.58 g, 4.56 mmol, 58%) as a white solid. 1H-NMR (500 MHz, CDCl3): δ (ppm) = 7.66 (m, 2H, 2′-H and 6′-H), 7.53 (m, 2H, 3′-H and 5′-H), 7.36 (m, 5H, 2″-H, 3″-H, 4″-H, 5″-H and 6″-H), 7.00 (CONH), 5.18 (s, 2H, 1″-CH2), 4.71 (m, 1H, 3-H), 3.22 (s, 1H, C≡CH), 2.90 (m, 4H, 2-H and 4-H). 13C-NMR (126 MHz, CDCl3): δ (ppm) = 170.69 (C-1), 166.31 (CONH), 135.06 (C-1″), 133.32 (C-1′), 132.54 (C-3′ and C-5′), 128.91–128.65 (C-2″, C-3″, C-4″, C-5″ and C-6″), 127.14 (C-2′ and C-6′), 126.16 (C-4′), 116.88 (CN), 82.73 (C≡CH), 80.05 (C≡CH), 67.51 (1″-CH2), 43.67 (C-3), 36.92 (C-2), 22.68 (C-4). IR (ATR): (cm−1) = 3366, 3337, 3295, 3263, 2938, 2248, 1731, 1717, 1650, 1607, 1585, 1525, 1426, 1385, 1290, 1272, 1165, 1084, 1001, 967, 900, 853, 766, 751, 699. HR-MS (ESI): m/z = [M + Na]+ calcd for C21H18O3N2Na+: 369.1215; found: 369.1208. Specific rotation: [α ] D 20 −9 (c 0.1 in CHCl3).
Benzyl (S)-4-cyano-3-(4-ethynylbenzamido)butanoate (31). Prepared according to General Procedure B from amine hydrochloride 27 (895 mg, 4.08 mmol) and 4-ethynylbenzoic acid (628 mg, 4.08 mmol). The crude product was purified by FCC (hexanes/EtOAc 70:30) to give amide 31 (998 mg, 2.88 mmol, 71%) as a beige solid. m.p.: 103 °C. 1H-NMR (500 MHz, CDCl3): δ (ppm) = 7.66 (m, 2H, 2′-H and 6′-H), 7.53 (m, 2H, 3′-H and 5′-H), 7.36 (m, 5H, 2′′-H, 3″-H, 4″-H, 5″-H and 6″-H), 7.00 (CONH), 5.18 (s, 2H, 1″-CH2), 4.71 (m, 1H, 3-H), 3.22 (s, 1H, C≡CH), 2.90 (m, 4H, 2-H and 4-H). 13C-NMR (126 MHz, CDCl3): δ (ppm) = 170.69 (C-1), 166.33 (CONH), 135.07 (C-1″), 133.32 (C-1′), 132.54 (C-3′ and C-5′), 128.91–128.64 (C-2″, C-3″, C-4″, C-5″ and C-6″), 127.15 (C-2′ and C-6′), 126.16 (C-4′), 116.89 (CN), 82.73 (C≡CH), 80.05 (C≡CH), 67.51 (1″-CH2), 43.68 (C-3), 36.93 (C-2), 22.68 (C-4). IR (ATR): (cm−1) = 3366, 3294, 3263, 2962, 2938, 2248, 1729, 1717, 1649, 1607, 1525, 1495, 1454, 1384, 1322, 1273, 1166, 1082, 1012, 967, 900, 853, 766, 750, 730, 699. HR-MS (ESI): m/z = [M + Na]+ calcd for C21H18O3N2Na+: 369.1215; found: 369.1210. Specific rotation: [α ] D 20 +10 (c 0.1 in CHCl3).
Methyl (R)-3-(4-(3-(2,2-dimethyl-4-oxo-4H-benzo[d][1,3]dioxin-6-yl)isoxazol-5-yl)benzamido)-4-(4,4,5,5-tetramethyl-1,3,2-dioxaborolan-2-yl)butanoate (32). Prepared according to General Procedure C from alkyne 28 (350 mg, 0.782 mmol) and aldoxime 3 (260 mg, 1.17 mmol). The crude product was purified by FCC with boric acid-impregnated silica gel (hexanes/EtOAc 60:40) to give isoxazole 32 (141 mg, 0.239 mmol, 31%) as a pale yellow oil. 1H-NMR (500 MHz, (CD3)2SO): δ (ppm) = 8.44 (d, J = 8.2 Hz, 1H, CONH), 8.39 (d, J = 2.2 Hz, 1H, 5′′′-H), 8.24 (dd, J = 8.6, 2.2 Hz, 1H, 7′′′-H), 8.04–8.00 (m, 2H, 3′-H and 5′-H), 7.99–7.95 (m, 2H, 2′-H and 6′-H), 7.87 (s, 1H, 4″-H), 7.34 (d, J = 8.6 Hz, 1H, 8′′′-H), 4.50–4.41 (m, 1H, 3-H), 3.57 (s, 3H, OCH3), 2.66–2.54 (m, 2H, 2-H), 1.75 (s, 6H, 2′′′-(CH3)2), 1.16–1.15 (m, 12H, (C(CH3)2)2), 1.13–1.08 (m, 2H, 4-H). 13C-NMR (126 MHz, (CD3)2SO): δ (ppm) = 171.22 (C-1), 169.26 (C-5″), 164.50 (CONH), 161.38 (C-3″), 159.75 (C-4′′′), 156.78 (C-8a′′′), 136.25 (C-1′), 134.79 (C-7′′′), 128.74 (C-4′), 128.18 (C-2′ and C-6′), 127.33 (C-5′′′), 125.41 (C-3′ and C-5′), 123.34 (C-6′′′), 118.54 (C-8′′′), 113.56 (C-4a′′′), 107.01 (C-2′′′), 99.67 (C-4″), 82.90 (C(CH3)2)2), 51.32 (OCH3), 43.96 (C-3), 40.95 (C-2), 25.32 (2′′′-(CH3)2), 24.95–24.48 (C(CH3)2)2), 17.76 (C-4). IR (ATR): (cm−1) = 3324, 2979, 1732, 1626, 1498, 1378, 1286, 1200, 1141, 1046, 846, 826, 673. HR-MS (ESI): m/z = [M + H]+ calcd for C31H36BN2O9+: 591.2514; found: 591.2500. Specific rotation: [α ] D 20 +3 (c 0.1 in DMSO).
Methyl (S)-3-(4-(3-(2,2-dimethyl-4-oxo-4H-benzo[d][1,3]dioxin-6-yl)isoxazol-5-yl)benzamido)-4-(4,4,5,5-tetramethyl-1,3,2-dioxaborolan-2-yl)butanoate (33). Prepared according to General Procedure C from alkyne 29 (650 mg, 1.45 mmol) and aldoxime 3 (482 mg, 2.18 mmol). The crude product was purified by FCC with boric acid-impregnated silica gel (hexanes/EtOAc 60:40) to give isoxazole 33 (187 mg, 0.316 mmol, 22%) as a pale yellow oil. 1H-NMR (400 MHz, (CD3)2SO): δ (ppm) = 8.44 (d, J = 8.2 Hz, 1H, CONH), 8.39 (d, J = 2.2 Hz, 1H, 5′′′-H), 8.24 (dd, J = 8.6, 2.2 Hz, 1H, 7′′′-H), 8.04–8.00 (m, 2H, 3′-H and 5′-H), 7.98–7.95 (m, 2H, 2′-H and 6′-H), 7.87 (s, 1H, 4″-H), 7.34 (d, J = 8.6 Hz, 1H, 8′′′-H), 4.50–4.41 (m, 1H, 3-H), 3.57 (s, 3H, OCH3), 2.65–2.54 (m, 2H, 2-H), 1.75 (s, 6H, 2′′′-(CH3)2), 1.16–1.15 (m, 12H, (C(CH3)2)2), 1.13–1.09 (m, 2H, 4-H). 13C-NMR (126 MHz, (CD3)2SO): δ (ppm) = 171.22 (C-1), 169.26 (C-5″), 164.51 (CONH), 161.38 (C-3″), 159.75 (C-4′′′), 156.78 (C-8a′′′), 136.26 (C-1′), 134.79 (C-7′′′), 128.74 (C-4′), 128.18 (C-2′ and C-6′), 127.34 (C-5′′′), 125.41 (C-3′ and C-5′), 123.33 (C-6′′′), 118.54 (C-8′′′), 113.56 (C-4a′′′), 107.01 (C-2′′′), 99.68 (C-4″), 82.90 (C(CH3)2)2), 51.33 (OCH3), 43.96 (C-3), 40.95 (C-2), 25.32 (2′′′-(CH3)2), 24.95–24.48 (C(CH3)2)2), 17.73 (C-4). IR (ATR): (cm−1) = 3388, 2980, 1735, 1624, 1498, 1379, 1288, 1200, 1139, 1052, 847, 828, 673. HR-MS (ESI): m/z = [M + H]+ calcd for C31H36BN2O9+: 591.2514; found: 591.2510. Specific rotation: [α ] D 20 −3 (c 0.1 in DMSO).
Benzyl (R)-4-cyano-3-(4-(3-(2,2-dimethyl-4-oxo-4H-benzo[d][1,3]dioxin-6-yl)isoxazol-5-yl)benzamido)butanoate (34). Prepared according to General Procedure C from alkyne 30 (50.0 mg, 0.144 mmol) and aldoxime 3 (47.9 mg, 0.217 mmol). The crude product was purified by FCC (hexanes/EtOAc 60:40) to give isoxazole 34 (11.5 mg, 0.0203 mmol, 14%) as a white solid. m.p.: 161 °C. 1H-NMR (400 MHz, (CD3)2SO): δ (ppm) = 8.88 (d, J = 7.9 Hz, 1H, CONH), 8.40 (d, J = 2.3 Hz, 1H, 5″-H), 8.25 (dd, J = 8.6, 2.3 Hz, 1H, 7′′′-H), 8.02 (m, 4H, 2′-H, 3′-H, 5′-H and 6′-H), 7.90 (s, 1H, 4″-H), 7.35 (d, J = 3.7 Hz, 1H, 8′′′-H), 7.32 (m, 5H, 2′′′′-H, 3′′′′-H, 4′′′′-H, 5′′′′-H and 6′′′′-H), 5.11 (s, 2H,1′′′′-CH2), 4.63 (d, J = 6.9 Hz, 1H, 3-H), 2.93 (d, J = 11.9 Hz, 2H, 4-H), 2.83 (d, J = 9.5 Hz, 2H, 2-H), 1.75 (s, 6H, C(CH3)2). 13C-NMR (126 MHz, (CD3)2SO): δ (ppm) = 169.84 (C-1), 169.15 (C-5″), 165.29 (CONH), 161.43 (C-3″), 159.76 (C-4′′′), 156.79 (C-8a′′′), 135.92 (C-1′′′′), 135.30 (C-1′), 134.81 (C-7′′′), 129.17 (C-4′), 128.35 (C-2′ and C-6′), 128.00 -127.88, (C-2′′′′, C-3′′′′, C-4′′′′, C-5′′′′ and C-6′′′′), 127.36 (C-5′′′), 125.54 (C-3′ and C-5′), 123.31 (C-4a′′′), 118.55 (C-8′′′), 118.28 (CN), 107.02 (C-2′′′), 99.89 (C-4″), 65.82 (1′′′′-CH2), 43.67 (C-3), 37.71 (C-2), 25.32 (C(CH3)2), 22.43 (C-4). IR (ATR): (cm−1) = 3354, 1735, 1642, 1620, 1598, 1534, 1500, 1417, 1389, 1312, 1291, 1194, 1144, 1059, 981, 925, 855, 816, 774, 745, 697, 672. HR-MS (ESI): m/z = [M − H] calcd for C32H26O7N3: 564.1771; found: 564.1770. Specific rotation: [α ] D 20 −25 (c 0.1 in CHCl3).
Benzyl (S)-4-cyano-3-(4-(3-(2,2-dimethyl-4-oxo-4H-benzo[d][1,3]dioxin-6-yl)isoxazol-5-yl)benzamido)butanoate (35). Prepared according to General Procedure C from alkyne 31 (620 mg, 1.79 mmol) and aldoxime 3 (594 mg, 2.68 mmol). The crude product was purified by FCC (hexanes/EtOAc 60:40) to give isoxazole 35 (239 mg, 0.423 mmol, 24%) as a white solid. m.p.: 162 °C. 1H-NMR (400 MHz, (CD3)2SO): δ (ppm) = 8.88 (d, J = 7.9 Hz, 1H, CONH), 8.40 (d, J = 2.3 Hz, 1H, 5″-H), 8.25 (dd, J = 8.6, 2.3 Hz, 1H, 7′′′-H), 8.02 (m, 4H, 2′-H, 3′-H, 5′-H and 6′-H), 7.90 (s, 1H, 4″-H), 7.35 (d, J = 3.7 Hz, 1H, 8′′′-H), 7.32 (m, 5H, 2′′′′-H, 3′′′′-H, 4′′′′-H, 5′′′′-H and 6′′′′-H), 5.11 (s, 2H, 1′′′′-CH2), 4.63 (d, J = 6.9 Hz, 1H, 3-H), 2.93 (d, J = 11.9 Hz, 2H, 4-H), 2.83 (d, J = 9.5 Hz, 2H, 2-H), 1.75 (s, 6H, C(CH3)2). 13C-NMR (126 MHz, (CD3)2SO): δ (ppm) = 169.84 (C-1), 169.15 (C-5″), 165.29 (CONH), 161.43 (C-3″), 159.75 (C-4′′′), 156.79 (C-8a′′′), 135.92 (C-1′′′′), 135.30 (C-1′), 134.81 (C-7′′′), 129.17 (C-4′), 128.35 (C-2′ and C-6′), 128.00 -127.88 (C-2′′′′, C-3′′′′, C-4′′′′, C-5′′′′ and C-6′′′′), 127.36 (C-5′′′), 125.54 (C-3′ and C-5′), 123.31 (C-4a′′′), 118.54 (C-8′′′), 118.28 (CN), 107.01 (C-2′′′), 99.88 (C-4″), 65.82 (C-7′′′′), 43.67 (C-3), 37.71 (C-2), 25.32 (C(CH3)2), 22.43 (C-4). IR (ATR): (cm−1) = 3354, 1732, 1642, 1620, 1598, 1533, 1499, 1441, 1389, 1312, 1290, 1193, 1144, 1059, 962, 924, 855, 816, 774, 745, 697, 672. HR-MS (ESI): m/z = [M + Na]+ calcd for C32H27O7N3Na+: 588.1747; found: 588.1737. Specific rotation: [α ] D 20 +13 (c 0.1 in CHCl3).
(R)-(2-(4-(3-(2,2-Dimethyl-4-oxo-4H-benzo[d][1,3]dioxin-6-yl)isoxazol-5-yl)benzamido)-4-methoxy-4-oxobutyl)boronic acid (36). To a stirred solution of boronic acid pinacol ester 32 (50 mg, 0.0847 mmol) in 3.5 mL THF/water (4:1 v/v), sodium periodate (90.6 mg, 0.423 mmol) was added, and the reaction mixture was stirred vigorously for 45 min at room temperature. 1M HCl (0.102 mmol, 0.102 mL) was then added to the resulting suspension, and the mixture stirred for another 16 h. The suspension was diluted with EtOAc (50 mL) and water (50 mL), the phases were separated, and the aqueous phase was extracted with EtOAc (2 × 50 mL). The combined organic phases were dried with Na2SO4, concentrated in vacuo and purified by FCC with boric acid-impregnated silica gel (DCM/MeOH 97:3 -> 95:5) to give boronic acid 36 (31.2 mg, 0.0614 mmol, 73%) as a white solid. m.p.: 152 °C. 1H-NMR (500 MHz, (CD3)2SO): δ (ppm) = 8.39 (d, J = 2.2 Hz, 1H, 5′′′-H), 8.37 (d, J = 8.1 Hz, 1H, CONH), 8.25 (dd, J = 8.6, 2.2 Hz, 1H, 7′′′-H), 8.03–8.00 (m, 2H, 3′-H and 5′-H), 7.98–7.96 (m, 2H, 2′-H and 6′-H), 7.87 (s, 1H, 4″-H), 7.66 (s, 2H, B(OH)2), 7.34 (d, J = 8.6 Hz, 1H, 8′′′-H), 4.50–4.43 (m, 1H, 2-H), 3.56 (s, 3H, OCH3), 2.62–2.55 (m, 2H, 3-H), 1.75 (s, 6H, 2′′′-(CH3)2), 1.07–1.01 (m, 2H, 1-H). 13C-NMR (126 MHz, (CD3)2SO): 171.47 (C-4), 169.28 (C-5″), 164.65 (CONH), 161.40 (C-3″), 159.76 (C-4′′′), 156.78 (C-8a′′′), 136.32 (C-1′), 134.81 (C-7′′′), 128.73 (C-4′), 128.20 (C-2′ and C-6′), 127.34 (C-5′′′), 125.43 (C-3′ and C-5′), 123.34 (C-6′′′), 118.54 (C-8′′′), 113.56 (C-4a′′′), 107.01 (C-2′′′), 99.68 (C-4″), 51.21 (OCH3), 44.57 (C-2), 40.81 (C-3), 25.32 (2′′′-(CH3)2), 22.16 (C-1). IR (ATR): (cm−1) = 3323, 2952, 1731, 1623, 1498, 1286, 1200, 927, 764. HR-MS (ESI): m/z = [M − H] calcd for C25H24BN2O9: 507.1575; found: 507.1579. Specific rotation: [α ] D 20 −11 (c 0.1 in DMSO).
(S)-(2-(4-(3-(2,2-Dimethyl-4-oxo-4H-benzo[d][1,3]dioxin-6-yl)isoxazol-5-yl)benzamido)-4-methoxy-4-oxobutyl)boronic acid (37). To a stirred solution of boronic acid pinacol ester 33 (170 mg, 0.288 mmol) in 12 mL THF/water (4:1 v/v), sodium periodate (308 mg, 1.44 mmol) was added, and the reaction mixture was stirred vigorously for 45 min at room temperature. 1M HCl (0.346 mmol, 0.346 mL) was then added to the resulting suspension, and the mixture stirred for another 16 h. The suspension was diluted with EtOAc (100 mL) and water (100 mL), the phases were separated, and the aqueous phase was extracted with EtOAc (2 × 100 mL). The combined organic phases were dried with Na2SO4, concentrated in vacuo and purified by FCC with boric acid-impregnated silica gel (DCM/MeOH 97:3 -> 95:5) to give boronic acid 37 (93.1 mg, 0.183 mmol, 64%) as a white solid. m.p.: 157 °C. 1H-NMR (500 MHz, (CD3)2SO): δ (ppm) = 8.39 (d, J = 2.2 Hz, 1H, 5′′′-H), 8.37 (d, J = 8.2 Hz, 1H), 8.25 (dd, J = 8.6, 2.2 Hz, 1H, 7′′′-H), 8.03–8.00 (m, 2H, 3′-H and 5′-H), 7.99–7.96 (m, 2H, 2′-H and 6′-H), 7.87 (s, 1H, 4″-H), 7.66 (s, 2H, B(OH)2), 7.34 (d, J = 8.6 Hz, 1H, 8′′′-H), 4.51–4.41 (m, 1H, 2-H), 3.56 (s, 3H, OCH3), 2.64–2.55 (m, 2H, 3-H), 1.75 (s, 6H, 2′′′-(CH3)2), 1.08–0.99 (m, 2H, 1-H). 13C-NMR (126 MHz, (CD3)2SO): δ (ppm) = 171.47 (C-4), 169.28 (C-5″), 164.65 (CONH), 161.40 (C-3″), 159.76 (C-4′′′), 156.78 (C-8a′′′), 136.32 (C-1′), 134.81 (C-7′′′), 128.73 (C-4′), 128.20 (C-2′ and C-6′), 127.34 (C-5′′′), 125.43 (C-3′ and C-5′), 123.34 (C-6′′′), 118.54 (C-8′′′), 113.56 (C-4a′′′), 107.01 (C-2′′′), 99.68 (C-4″), 51.22 (OCH3), 44.56 (C-2), 40.82 (C-3), 25.32 (2′′′-(CH3)2), 22.09 (C-1). IR (ATR): (cm−1) = 3364, 2997, 1730, 1622, 1498, 1287, 1200, 927, 764. HR-MS (ESI): m/z = [M − H] calcd for C25H24BN2O9: 507.1575; found: 507.1568. Specific rotation: [α ] D 20 +10 (c 0.1 in DMSO).
Benzyl (R)-3-(4-(1-(2,2-dimethyl-4-oxo-4H-benzo[d][1,3]dioxin-6-yl)-1H-1,2,3-triazol-4-yl)benzamido)-4-(4,4,5,5-tetramethyl-1,3,2-dioxaborolan-2-yl)butanoate (38). Prepared according to General Procedure D from azide 11 (300 mg, 1.37 mmol) and alkyne 28 (735 mg, 1.64 mmol). The crude product was purified by FCC with boric acid-impregnated silica gel (hexanes/EtOAc 50:50) to give triazole 38 (153 mg, 0.230 mmol, 17%) as a pale yellow solid. m.p.: 140 °C. 1H-NMR (500 MHz, (CD3)2SO): δ (ppm) = 9.54 (s, 1H, 5″-H), 8.42 (d, J = 2.7 Hz, 1H, 5′′′-H), 8.37 (d, J = 8.2 Hz, 1H, CONH), 8.32 (dd, J = 8.9, 2.7 Hz, 1H, 7′′′-H), 8.05–8.00 (m, 2H, 3′-H and 5′-H), 7.95–7.89 (m, 2H, 2′-H and 6′-H), 7.44 (d, J = 8.9 Hz, 1H, 8′′′-H), 7.37–7.27 (m, 5H, 2′′′′-H, 3′′′′-H, 4′′′′-H, 5′′′′-H and 6′′′′-H), 5.09–5.07 (m, 2H, 1′′′′-CH2), 4.55–4.48 (m, 1H, 3-H), 2.73–2.67 (m, 1H, 2-H), 2.65–2.58 (m, 1H, 2-H), 1.78 (s, 6H, 2′′′-(CH3)2), 1.17 (s, 12H, (C(CH3)2)2), 1.16–1.06 (m, 2H, 4-H). 13C-NMR (126 MHz, (CD3)2SO): δ (ppm) = 170.71 (C-1), 164.88 (CONH), 159.48 (C-4′′′), 155.21 (C-8a′′′), 146.69 (C-4″), 136.16 (C-1′′′′), 134.27 (C-1′), 132.54 (C-4′), 131.70 (C-6′′′), 128.66 (C-7′′′), 128.31 (C-2′′′′, C-3′′′′, C-4′′′′, C-5′′′′ and C-6′′′′), 128.03 (C-2′ and C-6′), 127.90–127.81 (C-2′′′′, C-3′′′′, C-4′′′′, C-5′′′′ and C-6′′′′), 124.90 (C-3′ and C-5′), 120.66 (C-5″), 120.18 (C-5′′′), 119.26 (C-8′′′), 113.77 (C-4a′′′), 107.23 (C-2′′′), 82.90 ((C(CH3)2)2), 65.47 (1′′′′-CH2), 43.97 (C-3), 41.10 (C-2), 25.27 (2′′′-(CH3)2), 24.66–24.51 ((C(CH3)2)2), 17.85 (C-4). IR (ATR): (cm−1) = 3316, 2977, 1736, 1628, 1509, 1378, 1295, 1139, 1047, 853, 697. HR-MS (ESI): m/z = [M + H]+ calcd for C36H40BN4O8+: 667.2939; found: 667.2961. Specific rotation: [α ] D 20 +4 (c 0.1 in DMSO).
Benzyl (S)-3-(4-(1-(2,2-dimethyl-4-oxo-4H-benzo[d][1,3]dioxin-6-yl)-1H-1,2,3-triazol-4-yl)benzamido)-4-(4,4,5,5-tetramethyl-1,3,2-dioxaborolan-2-yl)butanoate (39). Prepared according to General Procedure D from azide 11 (300 mg, 1.37 mmol) and alkyne 29 (735 mg, 1.64 mmol). The crude product was purified by FCC with boric acid-impregnated silica gel (hexanes/EtOAc 50:50) to give triazole 39 (76.8 mg, 0.115 mmol, 8%) as a pale yellow solid. m.p.: 129 °C. 1H-NMR (400 MHz, (CD3)2SO): δ (ppm) = 9.53 (s, 1H, 5′′-H), 8.41 (d, J = 2.7 Hz, 1H, 5′′′-H), 8.36 (d, J = 8.2 Hz, 1H, CONH), 8.31 (dd, J = 8.9, 2.7 Hz, 1H, 7′′′-H), 8.05–7.98 (m, 2H, 3′-H and 5′-H), 7.95–7.87 (m, 2H, 2′-H and 6′-H), 7.43 (d, J = 8.9 Hz, 1H, 8′′′-H), 7.35–7.26 (m, 5H, 2′′′′-H, 3′′′′-H, 4′′′′-H, 5′′′′-H and 6′′′′-H), 5.08–5.06 (m, 2H, 1′′′′-CH2), 4.55–4.44 (m, 1H, 3-H), 2.72–2.65 (m, 1H, 2-H), 2.64–2.57 (m, 1H, 2-H), 1.77 (s, 6H, 2′′′-(CH3)2), 1.16 (s, 12H, (C(CH3)2)2), 1.16–1.04 (m, 1H, 4-H). 13C-NMR (101 MHz, (CD3)2SO): δ (ppm) = 170.71 (C-1), 164.87 (CONH), 159.48 (C-4′′′), 155.21 (C-8a′′′), 146.69 (C-4″), 136.15 (C-1′′′′), 134.27 (C-1′), 132.53 (C-4′), 131.70 (C-6′′′), 128.65 (C-7′′′), 128.31 (C-2′′′′, C-3′′′′, C-4′′′′, C-5′′′′ and C-6′′′′), 128.02 (C-2′ and C-6′), 127.89–127.80 (C-2′′′′, C-3′′′′, C-4′′′′, C-5′′′′ and C-6′′′′), 124.90 (C-3′ and C-5′), 120.66 (C-5″), 120.18 (C-5′′′), 119.25 (C-8′′′), 113.77 (C-4a′′′), 107.23 (C-2′′′), 82.89 ((C(CH3)2)2), 65.47 (1′′′′-CH2), 43.97 (C-3), 41.09 (C-2), 25.27 (2′′′-(CH3)2), 24.66–24.50 ((C(CH3)2)2), 17.87 (C-4). IR (ATR): (cm−1) = 3316, 2977, 1734, 1627, 1509, 1377, 1295, 1139, 1046, 847, 697. HR-MS (ESI): m/z = [M + H]+ calcd for C36H40BN4O8+: 667.2939; found: 667.2949. Specific rotation: [α ] D 20 −3 (c 0.1 in DMSO).
Benzyl (R)-4-cyano-3-(4-(1-(2,2-dimethyl-4-oxo-4H-benzo[d][1,3]dioxin-6-yl)-1H-1,2,3-triazol-4-yl)benzamido)butanoate (40). Prepared according to General Procedure D from azide 11 (150 mg, 0.684 mmol) and alkyne 30 (284 mg, 0.821 mmol). The crude product was resuspended in EtOAc (20 mL), filtered and the solid residue collected to give triazole 40 (157 mg, 0.278 mmol, 41%) as a pale yellow solid. m.p.: 196 °C. 1H-NMR (400 MHz, (CD3)2SO): δ (ppm) = 9.55 (s, 1H, 5′′-H), 8.79 (d, J = 7.9 Hz, 1H, CONH), 8.41 (d, J = 2.7 Hz, 1H, 5′′′-H), 8.31 (dd, J = 8.9, 2.8 Hz, 1H, 7′′′-H), 8.08–8.04 (m, 2H, 3′-H and 5′-H), 7.98–7.94 (m, 2H, 2′-H and 6′-H), 7.44 (d, J = 8.9 Hz, 1H, 8′′′-H), 7.36–7.28 (m, 5H, 2′′′′-H, 3′′′′-H, 4′′′′-H, 5′′′′-H and 6′′′′-H), 5.11 (s, 2H, 1′′′′-CH2), 4.68–4.57 (m, 1H, 3-H), 2.99–2.75 (m, 4H, 2-H and 4-H), 1.77 (s, 6H, (CH3)2). 13C-NMR (101 MHz, (CD3)2SO): δ (ppm) = 169.88 (C-1), 165.63 (CONH), 159.48 (C-4′′′), 155.23 (C-8a′′′), 146.59 (C-4″), 135.94 (C-1′′′′), 133.35 (C-1′), 133.04 (C-4′), 131.69 (C-6′′′), 128.69 (C-7′′′), 128.35 (C-2′′′′, C-3′′′′, C-4′′′′, C-5′′′′ and C-6′′′′), 128.17 (C-2′ and C-6′), 127.99–127.86 (C-2′′′′, C-3′′′′, C-4′′′′, C-5′′′′ and C-6′′′′), 125.04 (C-3′ and C-5′), 120.81 (C-5″), 120.22 (C-5′′′), 119.26 (C-8′′′), 118.32 (CN), 113.77 (C-4a′′′), 107.23 (C-2′′′), 65.81 (1′′′′-CH2), 43.61 (C-3), 37.77 (C-2), 25.27 ((CH3)2), 22.45 (C-4). IR (ATR): (cm−1) = 3330, 1735, 1721, 1645, 1524, 1506, 1296, 1040. HR-MS (ESI): m/z = [M + H]+ calcd for C31H28N5O6+: 566.2040; found: 566.2034. Specific rotation: [α ] D 20 −9 (c 0.1 in DMSO).
Benzyl (S)-4-cyano-3-(4-(1-(2,2-dimethyl-4-oxo-4H-benzo[d][1,3]dioxin-6-yl)-1H-1,2,3-triazol-4-yl)benzamido)butanoate (41). Prepared according to General Procedure D from azide 11 (200 mg, 0.912 mmol) and alkyne 31 (379 mg, 1.09 mmol). The crude product was resuspended in EtOAc (20 mL), filtered and the solid residue collected to give triazole 41 (275 mg, 0.487 mmol, 53%) as a yellow solid. m.p.: 198 °C. 1H-NMR (400 MHz, (CD3)2SO): δ (ppm) = 9.55 (s, 1H, 5′′-H), 8.80 (d, J = 7.9 Hz, 1H, CONH), 8.41 (d, J = 2.7 Hz, 1H, 5′′′-H), 8.31 (dd, J = 8.9, 2.7 Hz, 1H, 7′′′-H), 8.10–8.03 (m, 2H, 3′-H and 5′-H), 8.00–7.93 (m, 2H, 2′-H and 6′-H), 7.44 (d, J = 9.0 Hz, 1H, 8′′′-H), 7.37–7.28 (m, 5H, 2′′′′-H, 3′′′′-H, 4′′′′-H, 5′′′′-H and 6′′′′-H), 5.11 (s, 2H, 1′′′′-CH2), 4.67–4.57 (m, 1H, 3-H), 2.99–2.76 (m, 4H, 2-H and 4-H), 1.77 (s, 6H, (CH3)2). 13C-NMR (126 MHz, (CD3)2SO): δ (ppm) = 169.89 (C-1), 165.62 (CONH), 159.48 (C-4′′′), 155.23 (C-8a′′′), 146.59 (C-4″), 135.94 (C-1′′′′), 133.35 (C-1′), 133.04 (C-4′), 131.69 (C-6′′′), 128.69 (C-7′′′), 128.35 (C-2′′′′, C-3′′′′, C-4′′′′, C-5′′′′ and C-6′′′′), 128.17 (C-2′ and C-6′), 127.99–127.87 (C-2′′′′, C-3′′′′, C-4′′′′, C-5′′′′ and C-6′′′′), 125.05 (C-3′ and C-5′), 120.82 (C-5″), 120.22 (C-5′′′), 119.26 (C-8′′′), 118.33 (CN), 113.77 (C-4a′′′), 107.24 (C-2′′′), 65.81 (1′′′′-CH2), 43.61 (C-3), 37.77 (C-2), 25.27 ((CH3)2), 22.45 (C-4). IR (ATR): (cm−1) = 3325, 1734, 1720, 1636, 1523, 1506, 1295, 1039. HR-MS (ESI): m/z = [M + Na]+ calcd for C31H27N5O6Na+: 588.1859; found: 588.1864. Specific rotation: [α ] D 20 +7 (c 0.1 in DMSO).
(R)-(4-(Benzyloxy)-2-(4-(1-(2,2-dimethyl-4-oxo-4H-benzo[d][1,3]dioxin-6-yl)-1H-1,2,3-triazol-4-yl)benzamido)-4-oxobutyl)boronic acid (42). Method A: Prepared according to General Procedure D from azide 11 (300 mg, 1.37 mmol) and alkyne 28 (735 mg, 1.64 mmol). The crude product was purified by FCC with boric acid-impregnated silica gel (DCM/MeOH 95:5) to give triazole 42 (193 mg, 0.331 mmol, 24%) as a yellow solid. Method B: To a stirred solution of boronic acid pinacol ester 38 (70 mg, 0.105 mmol) in 5 mL THF/water (4:1 v/v), sodium periodate (112 mg, 0.525 mmol) was added, and the reaction mixture was stirred vigorously for 45 min at room temperature. 1 M HCl (0.126 mmol, 0.126 mL) was added to the resulting suspension, and the mixture stirred for another 16 h. The suspension was then filtered and the filtrate concentrated in vacuo. The crude product was purified by FCC with boric acid-impregnated silica gel (DCM/MeOH 95:5) to give triazole 42 (41.9 mg, 0.0717 mmol, 68%) as a yellow solid. m.p.: 138 °C. 1H-NMR (400 MHz, (CD3)2SO): δ (ppm) = 9.53 (s, 1H, 5″-H), 8.41 (d, J = 2.7 Hz, 1H, 5′′′-H), 8.31 (dd, J = 8.8, 2.5 Hz, 2H, CONH and 7′′′-H), 8.05–8.00 (m, 2H, 3′-H and 5′-H), 7.94–7.88 (m, 2H, 2′-H and 6′-H), 7.67 (s, 2H, B(OH)2), 7.44 (d, J = 8.9 Hz, 1H, 8′′′-H), 7.35–7.26 (m, 5H, 2′′′′-H, 3′′′′-H, 4′′′′-H, 5′′′′-H and 6′′′′-H), 5.05 (s, 2H, 1′′′′-CH2), 4.47–4.55 (m, 1H, 2-H), 2.69–2.62 (m, 2H, 3-H), 1.77 (s, 6H, (CH3)2), 1.08–1.01 (m, 2H, 1-H). 13C-NMR (126 MHz, (CD3)2SO): δ (ppm) = 170.97 (C-4), 165.07 (CONH), 159.49 (C-4′′′), 155.22 (C-8a′′′), 146.69 (C-4″), 136.21 (C-1′′′′), 134.28 (C-1′), 132.55 (C-4′), 131.71 (C-6′′′), 128.69 (C-7′′′), 128.30–128.04 (C-2′′′′, C-3′′′′, C-4′′′′, C-5′′′′ and C-6′′′′), 127.85 (C-2′ and C-6′), 127.81 (C-2′′′′, C-3′′′′, C-4′′′′, C-5′′′′ and C-6′′′′), 124.92 (C-3′ and C-5′), 120.68 (C-5″), 120.20 (C-5′′′), 119.26 (C-8′′′), 113.77 (C-4a′′′), 107.24 (C-2′′′), 65.40 (1′′′′-CH2), 44.53 (C-2), 41.01 (C-3), 25.27 ((CH3)2), 22.49 (C-1). IR (ATR): (cm−1) = 3307, 1735, 1624, 1509, 1295, 1202, 1047, 932, 697. HR-MS (ESI): m/z = [M + Na]+ calcd for C30H29BN4O8Na+: 607.1976; found: 607.1970. Specific rotation: [α ] D 20 −15 (c 0.1 in DMSO).
(S)-(4-(Benzyloxy)-2-(4-(1-(2,2-dimethyl-4-oxo-4H-benzo[d][1,3]dioxin-6-yl)-1H-1,2,3-triazol-4-yl)benzamido)-4-oxobutyl)boronic acid (43). Prepared according to General Procedure D from azide 11 (300 mg, 1.37 mmol) and alkyne 29 (735 mg, 1.64 mmol). The crude product was purified by FCC with boric acid-impregnated silica gel (DCM/MeOH 95:5) to give triazole 43 (263 mg, 0.450 mmol, 33%) as a yellow solid. m.p.: 141 °C. 1H-NMR (500 MHz, (CD3)2SO): δ (ppm) = 9.53 (s, 1H, 5″-H), 8.41 (d, J = 2.7 Hz, 1H, 5″′-H), 8.31 (dd, J = 9.0, 2.5 Hz, 2H, CONH and 7′′′-H), 8.05–7.99 (m, 2H, 3′-H and 5′-H), 7.93–7.90 (m, 2H, 2′-H and 6′-H), 7.67 (s, 2H, B(OH)2), 7.44 (d, J = 8.9 Hz, 1H, 8′′′-H), 7.35–7.26 (m, 5H, 2′′′′-H, 3′′′′-H, 4′′′′-H, 5′′′′-H and 6′′′′-H), 5.05 (s, 2H, 1′′′′-CH2), 4.47–4.55 (m, 1H, 2-H), 2.67–2.63 (m, 2H, 3-H), 1.77 (s, 6H, (CH3)2), 1.10–1.00 (m, 2H, 1-H). 13C-NMR (126 MHz, (CD3)2SO): δ (ppm) = 170.98 (C-4), 165.09 (CONH), 159.50 (C-4′′′), 155.23 (C-8a′′′), 146.70 (C-4″), 136.21 (C-1′′′′), 134.28 (C-1′), 132.57 (C-4′), 131.72 (C-6′′′), 128.70 (C-7′′′), 128.31–128.05 (C-2′′′′, C-3′′′′, C-4′′′′, C-5′′′′ and C-6′′′′), 127.87 (C-2′ and C-6′), 127.82 (C-2′′′′, C-3′′′′, C-4′′′′, C-5′′′′ and C-6′′′′), 124.93 (C-3′ and C-5′), 120.69 (C-5″), 120.22 (C-5′′′), 119.27 (C-8′′′), 113.78 (C-4a′′′), 107.25 (C-2′′′), 65.41 (1′′′′-CH2), 44.54 (C-2), 41.02 (C-3), 25.28 ((CH3)2), 22.63 (C-1). IR (ATR): (cm−1) = 3307, 1733, 1617, 1506, 1296, 1199, 1036, 929, 697. HR-MS (ESI): m/z = [M + Na]+ calcd for C30H29BN4O8Na+: 607.1976; found: 607.1970. Specific rotation: [[α ] D 20 +14 (c 0.1 in DMSO).
(S)-4-(Benzyloxy)-1-bromo-4-oxobutan-2-aminium (44). Prepared according to General Procedure A from N-Boc-protected amine 18 (520 mg, 1.40 mmol). The aminium 44 (380 mg, 1.39 mmol, quant.) was obtained as a white solid. m.p.: 109 °C. 1H-NMR (400 MHz, (CD3)2SO): δ (ppm) = 8.49 (s, 3H, NH3+), 7.45–7.29 (m, 5H, 2′-H, 3′-H, 4′-H, 5′-H and 6′-H), 5.15 (s, 2H, 1′-CH2), 3.88–3.72 (m, 3H, 1-H and 2-H), 2.87 (dd, J = 6.4, 1.4 Hz, 2H, 3-H). 13C-NMR (101 MHz, (CD3)2SO): δ (ppm) = 169.19 (C-4), 135.62 (C-1′), 128.47–128.13 (C-2′, C-3′, C-4′, C-5′ and C-6′), 66.30 (1′-CH2), 47.67 (C-2), 35.66 (C-3), 33.90 (C-1). IR (ATR): (cm−1) = 3203, 2866, 2812, 2590, 1720, 1708, 1501, 1395, 1348, 1227, 1154, 1138, 1082, 944, 739, 697. HR-MS (ESI): m/z = [M]+ calcd for C11H15BrNO2+: 272.0281; found: 272.0279. Specific rotation: [α ] D 20 −4 (c 0.1 in DMSO).
Benzyl (S)-2-(2-(4-ethynylphenyl)-4,5-dihydrooxazol-4-yl)acetate (45). Prepared according to General Procedure B from aminium 44 (459 mg, 1.68 mmol) and 4-ethynylbenzoic acid (284 mg, 1.85 mmol). The reaction mixture was stirred at room temperature for 16 h. The crude product was purified by FCC (hexanes/EtOAc 75:25) to give oxazoline 45 (269 mg, 0.842 mmol, 50%) as a yellow solid. m.p.: 82 °C. 1H-NMR (400 MHz, (CD3)2SO): δ (ppm) = 7.86–7.82 (m, 2H, 2″-H and 6″-H), 7.60–7.55 (m, 2H, 3″-H and 5″-H), 7.39–7.28 (m, 5H, 2′′′-H, 3′′′-H, 4′′′-H, 5′′′-H and 6′′′-H), 5.13 (d, J = 2.0 Hz, 2H, 1′′′-CH2), 4.63–4.55 (m, 2H, 4′-H and 5′-H), 4.41 (s, 1H, C≡CH), 4.20–4.11 (m, 1H, 5′-H), 2.78–2.73 (m, 2H, 2-H). 13C-NMR (101 MHz, (CD3)2SO): δ (ppm) = 170.65 (C-1), 162.29 (C-2′), 136.08 (C-1′′′), 131.94 (C-3″ and C-5″), 128.40–127.97 (C-2′′′, C-3′′′, C-4′′′, C-5′′′ and C-6′′′), 127.84 (C-2″ and C-6″), 127.41 (C-1″), 124.73 (C-4″), 83.24 (C≡CH or C≡CH), 82.80 (C≡CH or C≡CH), 72.12 (C-5′), 65.53 (1′′′-CH2), 62.91 (C-4′), 39.50 (C-2). IR (ATR): (cm−1) = 3212, 2812, 2590, 1719, 1710, 1645, 1500, 1348, 1227, 1167, 1082, 954, 739, 697, 679. HR-MS (ESI): m/z = [M + H]+ calcd for C20H18NO3+: 320.1287; found: 320.1280. Specific rotation: [α ] D 20 −42 (c 0.1 in DMSO).
(R)-5-(5-(4-((1-Carboxy-3-cyanopropan-2-yl)carbamoyl)phenyl)isoxazol-3-yl)-2-hydroxybenzoic acid (47). Prepared according to General Procedure E from isoxazole 34 (12.0 mg, 0.0212 mmol) and 0.70 M aq. KOH solution (5.95 mg, 0.106 mmol). The reaction mixture was stirred at room temperature for 2.5 h. The crude product was purified by FCC (hexanes/EtOAc 30:70 + 1% AcOH) to give isoxazole 47 (4.60 mg, 0.0106 mmol, 50%) as a white solid. m.p.: 228 °C. 1H-NMR (400 MHz, (CD3)2SO): δ (ppm) = 12.41 (s, 1H, 1-COOH or 1′′′-COOH), 8.85 (d, J = 7.8 Hz, 1H, CONH), 8.33 (d, J = 2.3 Hz, 1H, 6-H), 8.07 (s, 1H, 4-H), 8.03 (m, 4H, 2″-H, 3″-H, 5″-H and 6″-H), 7.77 (s, 1H, 4′-H), 7.11 (d, J = 8.6 Hz, 1H, 3-H), 4.54 (d, J = 7.2 Hz, 1H, 2′′′-H), 2.89 (d, J = 5.0 Hz, 2H, 3′′′-H), 2.67 (d, J = 7.9 Hz, 2H, 1′′′-H). 13C-NMR (126 MHz, (CD3)2SO): δ (ppm) = 171.53 (1′′′-COOH), 171.21 (1-COOH), 168.73 (C-5′), 165.27 (CONH), 163.49 (C-2), 161.95 (C-3′), 135.23 (C-4″), 132.99 (C-4), 129.32 (C-1″), 128.65 (C-6), 128.28 (C-3″ and C-5″), 125.51 (C-2″ and C-6″), 119.09 (C-5), 118.38 (CN), 118.09 (C-3), 114.62 (C-1), 99.62 (C-4′), 43.61 (C-2′′′), 37.66 (C-1″), 22.34 (C-3″). IR (ATR): (cm−1) = 2922, 1653, 1598, 1540, 1497, 1423, 1291, 1207, 1074, 948, 798, 768, 686. HR-MS (ESI): m/z = [M − H] calcd for C22H16O7N3: 434.0988; found: 434.0986. Specific rotation: [α ] D 20 −28 (c 0.1 in DMSO). Purity (HPLC): 210 nm: >95%; 254 nm: >95%.
(S)-5-(5-(4-((1-Carboxy-3-cyanopropan-2-yl)carbamoyl)phenyl)isoxazol-3-yl)-2-hydroxybenzoic acid (48). Prepared according to General Procedure E from isoxazole 35 (228 mg, 0.403 mmol) and 0.70 M aq. KOH solution (113 mg, 2.02 mmol). The reaction mixture was stirred at room temperature for 2.5 h. The crude product was purified by FCC (hexanes/EtOAc 30:70 + 1% AcOH) to give isoxazole 48 (95.6 mg, 0.220 mmol, 55%) as a white solid. m.p.: 231 °C. 1H-NMR (400 MHz, (CD3)2SO): δ (ppm) = 12.41 (s, 1H, 1-COOH or 1′′′-COOH), 8.85 (d, J = 7.8 Hz, 1H, CONH), 8.33 (d, J = 2.3 Hz, 1H, 6-H), 8.07 (s, 1H, 4-H), 8.03 (m, 4H, 2″-H, 3″-H, 5″-H and 6″-H), 7.77 (s, 1H, 4′-H), 7.11 (d, J = 8.6 Hz, 1H, 3-H), 4.54 (d, J = 7.2 Hz, 1H, 2′′′-H), 2.89 (d, J = 5.0 Hz, 2H, 3′′′-H), 2.67 (d, J = 7.9 Hz, 2H, 1′′′-H). 13C-NMR (126 MHz, (CD3)2SO): δ (ppm) = 171.53 (1′′′-COOH), 171.31 (1-COOH), 168.81 (C-5′), 165.26 (CONH), 162.53 (C-2), 161.82 (C-3′), 135.26 (C-4″), 133.35 (C-4), 129.28 (C-1″), 128.65 (C-6), 128.29 (C-3″ and C-5″), 125.52 (C-2″ and C-6″), 119.47 (C-5), 118.38 (CN), 118.22 (C-3), 113.88 (C-1), 99.64 (C-4′), 43.61 (C-2′′′), 37.66 (C-1″), 22.34 (C-3″). IR (ATR): (cm−1) = 2922, 1664, 1597, 1533, 1496, 1421, 1287, 1197, 797, 768, 686. HR-MS (ESI): m/z = [M − H] calcd for C22H16O7N3: 434.0988; found: 434.0986. Specific rotation: [α ] D 20 +28 (c 0.1 in DMSO). Purity (HPLC): 210 nm: >95%; 254 nm: >95%.
(R)-5-(4-(4-((1-Carboxy-3-cyanopropan-2-yl)carbamoyl)phenyl)-1H-1,2,3-triazol-1-yl)-2-hydroxybenzoic acid (49). Prepared according to General Procedure E from triazole 40 (60.0 mg, 0.106 mmol) and 0.70 M aq. KOH solution (29.8 mg, 0.530 mmol). The reaction mixture was stirred at room temperature for 30 min. The crude product was resuspended in EtOAc (10 mL), filtered and the solid residue collected to give cyanomethyl 49 (18.0 mg, 0.0413 mmol, 39%) as a white solid. m.p.: 290 °C. 1H-NMR (400 MHz, (CD3)2SO): δ (ppm) = 12.43 (s, 1H, 1-COOH or 1′′′-COOH), 9.42 (s, 1H, 5′-H), 8.74 (d, J = 7.7 Hz, 1H, CONH), 8.30 (d, J = 2.8 Hz, 1H, 6-H), 8.12–8.06 (m, 1H, 4-H), 8.08–8.04 (m, 2H, 2″-H and 6″-H), 8.01–7.94 (m, 2H, 3″-H and 5″-H), 7.22 (d, J = 9.0 Hz, 1H, 3-H), 4.58–4.48 (m, 1H, 2′′′-H), 2.98–2.80 (m, 2H, 3′′′-H), 2.77–2.60 (m, 2H, 1′′′-H). 13C-NMR (101 MHz, (CD3)2SO): δ (ppm) = 171.58 (1′′′-COOH), 170.84 (1-COOH), 165.60 (CONH), 160.93 (C-2), 146.40 (C-4′), 133.30 (C-4″), 133.19 (C-1″), 128.48 (C-5), 128.13 (C-3″ and C-5″), 127.37 (C-4), 125.01 (C-2″ and C-6″), 121.67 (C-6), 120.62 (C-5′), 118.68 (C-3), 118.42 (CN), 114.03 (C-1), 43.55 (C-2′′′), 37.71 (C-3′′′), 22.36 (C-1′′′). IR (ATR): (cm−1) = 3364, 3116, 1728, 1673, 1521, 1291, 1184, 1042, 829, 772, 691. HR-MS (ESI): m/z = [M + H]+ calcd for C21H18N5O6+: 436.1257; found: 436.1250. Specific rotation: [α ] D 20 −18 (c 0.1 in DMSO). Purity (HPLC): 210 nm: >95%; 254 nm: >95%.
(S)-5-(4-(4-((1-Carboxy-3-cyanopropan-2-yl)carbamoyl)phenyl)-1H-1,2,3-triazol-1-yl)-2-hydroxybenzoic acid (50). Prepared according to General Procedure E from triazole 41 (120 mg, 0.212 mmol) and 0.70 M aq. KOH solution (59.5 mg, 1.06 mmol). The reaction mixture was stirred at room temperature for 30 min. The crude product was resuspended in EtOAc (10 mL), filtered and the solid residue collected to give cyanomethyl 50 (53.7 mg, 0.123 mmol, 58%) as a white solid. m.p.: 292 °C. 1H-NMR (400 MHz, (CD3)2SO): δ (ppm) = 12.44 (s, 1H, 1-COOH or 1′-COOH), 9.42 (s, 1H, 5′-H), 8.74 (d, J = 7.7 Hz, 1H, CONH), 8.30 (d, J = 2.8 Hz, 1H, 6-H), 8.11–8.08 (m, 1H, 4-H), 8.10–8.03 (m, 2H, 2″-H and 6″-H), 8.01–7.94 (m, 2H, 3″-H and 5″-H), 7.22 (d, J = 8.9 Hz, 1H, 3-H), 4.58–4.48 (m, 1H, 2′′′′-H), 2.97–2.81 (m, 2H, 3′′′-H), 2.77–2.61 (m, 2H, 1′′′-H). 13C-NMR (101 MHz, (CD3)2SO): δ (ppm) = 171.58 (1′′′-COOH), 170.85 (1-COOH), 165.60 (CONH), 160.91 (C-2), 146.40 (C-4′), 133.31 (C-4″), 133.19 (C-1″), 128.50 (C-5), 128.13 (C-3″ and C-5″), 127.40 (C-4), 125.01 (C-2″ and C-6″), 121.67 (C-6), 120.62 (C-5′), 118.69 (C-3), 118.42 (CN), 113.99 (C-1), 43.55 (C-2′′′), 37.71 (C-3′′′), 22.36 (C-1′′′). IR (ATR): (cm−1) = 3364, 3116, 1716, 1675, 1546, 1292, 1194, 1045, 828, 768, 691. HR-MS (ESI): m/z = [M − H] calcd for C21H16N5O6: 434.1101; found: 434.1102. Specific rotation: [α ] D 20 +12 (c 0.1 in DMSO). Purity (HPLC): 210 nm: >95%; 254 nm: >95%.
(R)-2-(6-(4-(3-(2,2-Dimethyl-4-oxo-4H-benzo[d][1,3]dioxin-6-yl)isoxazol-5-yl)phenyl)-2-hydroxy-3,4-dihydro-2H-1,5,2-oxazaborinin-4-yl)acetic acid (51). Prepared according to General Procedure E from isoxazole 36 (30.0 mg, 0.0590 mmol) and 0.40 M aq. KOH solution (4.97 mg, 0.0885 mmol). The reaction mixture was stirred at 0 °C for 30 min. The crude product was resuspended in DCM (10 mL), filtered and the solid residue collected to give cyclic boronic acid 51 (15.1 mg, 0.0317 mmol, 54%) as an off-white solid. m.p.: 233 °C. 1H-NMR at 90 °C (400 MHz, (CD3)2SO): δ (ppm) = 8.41–8.37 (m, 1H, 5′′′′-H), 8.25–8.19 (m, 1H, 7′′′′-H), 8.09–7.97 (m, 4H, 2″-H, 3″-H, 5″-H and 6″-H), 7.77–7.68 (m, 1H, 4′′′-H), 7.29 (d, J = 8.6 Hz, 1H, 8′′′′-H), 4.27–4.10 (m, 1H, 4′-H), 3.78–3.53 (m, 2H, 2-H or 3′-H), 2.69–2.54 (m, 2H, 2-H or 3′-H), 1.76 (s, 6H, (CH3)2). 13C-NMR (126 MHz, (CD3)2SO): δ (ppm) = 172.68 (C-1), 169.16 (C-5′′′), 166.79 (C-6′), 161.45 (C-3′′′), 159.75 (C-4′′′′), 156.81 (C-8a′′′′), 134.79 (C-1″ and C-7′′′′), 128.75 (C-4″), 128.37 (C-2″ and C-6″ or C-3″ and C-5″), 127.36 (C-5′′′′), 125.87–125.51 (C-2″ and C-6″ or C-3″ and C-5″), 123.23 (C-6′′′′), 118.56 (C-8′′′′), 113.56 (C-4a′′′′), 107.02 (C-2′′′′), 99.66 (C-4′′′), 64.03 (C-2 or C-3′), 48.18 (C-4′), 25.33 ((CH3)2). IR (ATR): (cm−1) = 3122, 2995, 1736, 1619, 1287, 1199, 1016, 927, 763, 674. HR-MS (ESI): m/z = [M + H]+ calcd for C24H22BN2O8+: 477.1469; found: 477.1427. Specific rotation: [α ] D 20 −6 (c 0.1 in DMSO). Purity (HPLC): 210 nm: 94%; 254 nm: >95%.
(S)-2-(6-(4-(3-(2,2-Dimethyl-4-oxo-4H-benzo[d][1,3]dioxin-6-yl)isoxazol-5-yl)phenyl)-2-hydroxy-3,4-dihydro-2H-1,5,2-oxazaborinin-4-yl)acetic acid (52). Prepared according to General Procedure E from isoxazole 37 (20.0 mg, 0.0393 mmol) and 0.40 M aq. KOH solution (3.31 mg, 0.0590 mmol). The reaction mixture was stirred at 0 °C for 30 min. The crude product was resuspended in DCM (10 mL), filtered and the solid residue collected to give cyclic boronic acid 52 (10.4 mg, 0.0218 mmol, 56%) as an off-white solid. m.p.: 188 °C. 1H-NMR at 90 °C (400 MHz, (CD3)2SO): δ (ppm) = 8.41–8.37 (m, 1H, 5′′′′-H), 8.22 (dd, J = 8.6, 2.2 Hz, 1H, 7′′′′-H), 8.08–7.95 (m, 4H, 2″-H, 3″-H, 5″-H and 6″-H), 7.75–7.69 (m, 1H, 4′′′-H), 7.29 (d, J = 8.7 Hz, 1H, 8′′′′-H), 4.41–4.00 (m, 1H, 4′-H), 3.70–3.41 (m, 2H, 2-H or 3′-H), 2.63–2.56 (m, 1H, 2-H or 3′-H), 2.41–2.31 (m, 1H, 2-H or 3′-H), 1.76 (s, 6H, (CH3)2). 13C-NMR (101 MHz, (CD3)2SO): δ (ppm) = 161.07 (C-3″), 159.11 (C-4′′′′), 156.42 (C-8a′′′′), 134.33 (C-7′′′′ and C-1″), 127.92 (C-2″ and C-6″ or C-3″ and C-5″), 126.91 (C-5′′′′), 125.28 (C-2″ and C-6″ or C-3″ and C-5″), 123.05 (C-6′′′′), 117.93 (C-8′′′′), 113.27 (C-4a′′′′), 106.50 (C-2′′′′), 25.01 ((CH3)2). IR (ATR): (cm−1) = 3118, 2918, 1738, 1619, 1287, 1199, 1018, 926, 762, 674. HR-MS (ESI): m/z = [M − H] calcd for C24H20BN2O8: 475.1313; found: 475.1294. Specific rotation: [α ] D 20 +4 (c 0.1 in DMSO). Purity (HPLC): 210 nm: >95%; 254 nm: >95%.
(R)-2-(6-(4-(1-(2,2-Dimethyl-4-oxo-4H-benzo[d][1,3]dioxin-6-yl)-1H-1,2,3-triazol-4-yl)phenyl)-2-hydroxy-3,4-dihydro-2H-1,5,2-oxazaborinin-4-yl)acetic acid (53). Prepared according to General Procedure E from triazole 42 (180 mg, 0.308 mmol) and 0.40 M aq. KOH solution (25.9 mg, 0.462 mmol). The reaction mixture was stirred at 0 °C for 1 h. The crude product was purified by FCC with boric acid-impregnated silica gel (DCM/MeOH 90:10 + 1% AcOH) to give cyclic boronic acid 53 (56.5 mg, 0.119 mmol, 39%) as a white solid. m.p.: 292 °C (decomposition). 1H-NMR (400 MHz, CD3OD): δ (ppm) = 9.08 (s, 1H, 5″-H), 8.42 (d, J = 2.7 Hz, 1H, 5′′′′-H), 8.22 (dd, J = 8.9, 2.7 Hz, 1H, 7′′′′-H), 8.07–8.02 (m, 2H, 3″-H and 5″-H), 7.97–7.92 (m, 2H, 2″-H and 6″-H), 7.31 (d, J = 8.9 Hz, 1H, 8′′′′-H), 4.38–4.29 (m, 1H, 4′-H), 2.74–2.66 (m, 1H, 2-H), 2.56–2.47 (m, 1H, 2-H), 1.80 (s, 6H, (CH3)2), 0.92–0.83 (m, 1H, 3′-H), 0.77–0.68 (m, 1H, 3′-H). 13C-NMR (101 MHz, CD3OD): δ (ppm) = 174.68 (C-1), 168.94 (C-6′), 161.47 (C-4′′′′), 157.46 (C-8a′′′′), 148.62 (C-4′′′), 136.12 (C-1′ and C-4″), 133.45 (C-6′′′′), 129.95 (C-7′′′′), 129.18 (C-2″ and C-6″), 126.84 (C-3″ and C-5″), 121.99 (C-5′′′′), 121.34 (C-5′′′), 120.35 (C-8′′′′), 115.55 (C-4a′′′′), 108.66 (C-2′′′′), 47.39 (C-4′), 40.50 (C-2), 25.86 ((CH3)2). IR (ATR): (cm−1) = 3343, 1733, 1618, 1509, 1379, 1299, 1044, 828, 767. HR-MS (ESI): m/z = [M + H]+ calcd for C23H22BN4O7+: 477.1582; found: 477.1564. Specific rotation: [α ] D 20 −12 (c 0.1 in DMSO). Purity (HPLC): 210 nm: >95%; 254 nm: >95%.
(S)-2-(6-(4-(1-(2,2-Dimethyl-4-oxo-4H-benzo[d][1,3]dioxin-6-yl)-1H-1,2,3-triazol-4-yl)phenyl)-2-hydroxy-3,4-dihydro-2H-1,5,2-oxazaborinin-4-yl)acetic acid (54). Prepared according to General Procedure E from triazole 43 (205 mg, 0.351 mmol) and 0.40 M aq. KOH solution (29.5 mg, 0.526 mmol). The reaction mixture was stirred at 0 °C for 1 h. The crude product was purified by FCC with boric acid-impregnated silica gel (DCM/MeOH 90:10 + 1% AcOH) to give cyclic boronic acid 54 (53.0 mg, 0.111 mmol, 32%) as a pale yellow solid. m.p.: 304 °C (decomposition). 1H-NMR (500 MHz, CD3OD): δ (ppm) = 9.10 (s, 1H, 5′′′-H), 8.42 (d, J = 2.7 Hz, 1H, 5′′′′-H), 8.23 (dd, J = 8.9, 2.7 Hz, 1H, 7′′′′-H), 8.10–8.05 (m, 2H, 3″-H and 5″-H), 8.00–7.95 (m, 2H, 2″-H and 6″-H), 7.31 (d, J = 9.0 Hz, 1H, 8′′′′-H), 4.36–4.26 (m, 1H, 4′-H), 2.76–2.67 (m, 1H, 2-H), 2.64–2.50 (m, 1H, 2-H), 1.80 (s, 6H, (CH3)2), 0.92–0.86 (m, 1H, 3′-H), 0.82–0.73 (m, 1H, 3′-H). 13C-NMR (126 MHz, CD3OD): δ (ppm) = 175.06 (C-1), 169.18 (C-6′), 161.46 (C-4′′′′), 157.48 (C-8a′′′′), 148.51 (C-4′′′), 135.11 (C-1″ and C-4″), 133.43 (C-6′′′′), 129.95 (C-7′′′′), 129.33 (C-2″ and C-6″), 126.91 (C-3″ and C-5″), 121.99 (C-5′′′′), 121.46 (C-5′′′), 120.36 (C-8′′′′), 115.56 (C-4a′′′′), 108.66 (C-2′′′′), 45.77 (C-4′), 40.53 (C-2), 25.86 ((CH3)2). IR (ATR): (cm−1) = 3343, 1733, 1616, 1508, 1378, 1298, 1041, 826, 766. HR-MS (ESI): m/z = [M + H]+ calcd for C23H22BN4O7+: 477.1582; found: 477.1583. Specific rotation: [α ] D 20 +8 (c 0.1 in DMSO). Purity (HPLC): 210 nm: >95%; 254 nm: >95%.
1-(Benzyloxy)-1-oxohex-5-en-3-aminium (57). Prepared according to General Procedure A from N-Boc-protected homoallyl amine 56 (1.37 g, 4.29 mmol). The aminium 57 (945 mg, 4.31 mmol, quant.) was obtained as a viscous yellow oil. 1H-NMR (400 MHz, (CD3)2SO): δ (ppm) = 8.22 (s, 3H, NH3+), 7.40–7.32 (m, 5H, 2′-H, 3′-H, 4′-H, 5′-H and 6′-H), 5.83–5.71 (m, 1H, 5-H), 5.17–5.10 (m, 4H, 6-H and 1′-CH2), 3.58–3.48 (m, 1H, 3-H), 2.81–2.64 (m, 2H, 2-H), 2.47–2.30 (m, 2H, 4-H). 13C-NMR (101 MHz, (CD3)2SO): δ (ppm) = 169.74 (C-1), 135.71 (C-1′), 132.41 (C-5), 128.45 -128.18 (2′-H, 3′-H, 4′-H, 5′-H and 6′-H), 119.51 (C-6), 66.10 (1′-CH2), 46.86 (C-3), 36.42 (C-4), 36.09 (C-2). IR (ATR): (cm−1) = 2977, 2880, 2834, 1998, 1728, 1601, 1497, 1395, 1216, 1190, 1128, 923, 738, 696. HR-MS (ESI): m/z = [M]+ calcd for C13H18NO2+: 220.1332; found: 220.1353.
Benzyl 3-(4-ethynylbenzamido)hex-5-enoate (58). Prepared according to General Procedure B from aminium 57 (490 mg, 2.23 mmol) and 4-ethynylbenzoic acid (344 mg, 2.23 mmol). The crude product was purified by FCC (hexanes/EtOAc 80:20) to give amide 58 (629 mg, 1.81 mmol, 81%) as a pale yellow solid. m.p.: 104 °C. 1H-NMR (400 MHz, (CD3)2SO): δ (ppm) = 8.42 (d, J = 8.4 Hz, 1H, CONH), 7.81–7.77 (m, 2H, 2′-H and 6′-H), 7.57–7.54 (m, 2H, 3′-H and 5′-H), 7.33–7.27 (m, 5H, 2″-H, 3″-H, 4″-H, 5″-H and 6″-H), 5.77 (ddt, J = 17.2, 10.2, 7.0 Hz, 1H, 5-H), 5.10–4.99 (m, 4H, 6-H and 1″-CH2), 4.45–4.38 (m, 1H, 3-H), 4.37 (s, 1H, C≡CH), 2.66–2.61 (m, 2H, 2-H), 2.33–2.28 (m, 2H, 4-H). 13C-NMR (101 MHz, (CD3)2SO): δ (ppm) = 170.67 (C-1), 164.98 (CONH), 136.08 (C-1″), 134.92 (C-5), 134.62 (C-1′), 131.55 (C-3′ and C-5′), 128.31–127.86 (C-2″, C-3″, C-4″, C-5″ and C-6″), 127.50 (C-2′ and C-6′), 124.32 (C-4′), 117.42 (C-6), 82.90 (C≡CH and C≡CH), 65.54 (1″-CH2), 46.34 (C-3), 38.63 (C-2), 38.46 (C-4). IR (ATR): (cm−1) = 3317, 3271, 1737, 1716, 1638, 1543, 1536, 1495, 1301, 1258, 1164, 1116, 854, 757, 698, 675. HR-MS (ESI): m/z = [M + H]+ calcd for C22H22NO3+: 348.1600; found: 348.1607.
Benzyl 3-(4-(3-(2,2-dimethyl-4-oxo-4H-benzo[d][1,3]dioxin-6-yl)isoxazol-5-yl)benzamido)hex-5-enoate (59). To a stirred solution of alkyne 58 (844 mg, 2.43 mmol) in 24 mL MeOH/H2O (5:1 v/v), aldoxime 3 (806 mg, 3.64 mmol) and PIFA (403 mg, 1.82 mmol) were added. The reaction mixture was stirred at 70 °C for 2 h. Another equivalent of PIFA (403 mg, 1.82 mmol) was added, and the reaction mixture was stirred at 70 °C for another 2 h. The solvents were removed in vacuo, and the crude product was redissolved in EtOAc (150 mL). Water (150 mL) was added, the resulting two phases were separated, and the aqueous phase was extracted with EtOAc (3 × 150 mL). The combined organic phases were dried using a phase separation paper, and the solvent was removed in vacuo. The crude product was purified by FCC (hexanes/EtOAc 70:30) to give isoxazole 59 (163.2 mg, 0.290 mmol, 12%) as a white solid. m.p.: 173 °C. 1H-NMR (500 MHz, CDCl3): δ (ppm) = 8.37 (d, J = 2.2 Hz, 1H, 5′′′-H), 8.19 (dd, J = 8.6, 2.2 Hz, 1H, 7′′′-H), 7.89–7.86 (m, 2H, 3′-H and 5′-H), 7.84–7.81 (m, 2H, 2′-H and 6′-H), 7.39–7.31 (m, 5H, 2′′′′-H, 3′′′′-H, 4′′′′-H, 5′′′′-H and 6′′′′-H), 7.11 (d, J = 8.6 Hz, 1H, 8′′′-H), 6.97 (d, J = 8.7 Hz, 1H, CONH), 6.94 (s, 1H, 4″-H), 5.81 (ddt, J = 19.5, 9.6, 7.1 Hz, 1H, 5-H), 5.20–5.09 (m, 4H, 6-H and 1′′′′-CH2), 4.60–4.52 (m, 1H, 3-H), 2.74 (d, J = 5.0 Hz, 2H, 2-H), 2.54–2.38 (m, 2H, 4-H), 1.79 (s, 6H, (CH3)2). 13C-NMR (126 MHz, CDCl3): δ (ppm) = 171.98 (C-1), 169.88 (C-5″), 165.75 (CONH), 161.72 (C-3″), 160.74 (C-4′′′), 157.46 (C-8a′′′), 136.06 (C-1′), 135.57 (C-1′′′′), 134.69 (C-7′′′), 133.95 (C-5), 129.88 (C-4′), 128.85–128.57 (C-2′′′′, C-3′′′′, C-4′′′′, C-5′′′′ and C-6′′′′), 128.35 (C-5′′′), 127.89 (C-2′ and C-6′), 126.12 (C-3′ and C-5′), 123.97 (C-6′′′), 118.77 (C-6), 118.39 (C-8′′′), 113.90 (C-4a′′′), 107.10 (C-2′′′), 98.46 (C-4″), 66.91 (1′′′′-CH2), 46.21 (C-3), 38.59 (C-4), 37.59 (C-2), 26.04 ((CH3)2). IR (ATR): (cm−1) = 3300, 2922, 2851, 1748, 1720, 1634, 1627, 1534, 1429, 1284, 1200, 1050, 922, 914, 822, 763, 688. HR-MS (ESI): m/z = [M + H]+ calcd for C33H31N2O7+: 567.2131; found: 567.2117.
5-(5-(4-((1-Carboxypent-4-en-2-yl)carbamoyl)phenyl)isoxazol-3-yl)-2-hydroxybenzoic acid (60). Prepared according to General Procedure E from isoxazole 59 (165 mg, 0.291 mmol) and 0.70 M aq. KOH solution (81.4 mg, 1.45 mmol). The reaction mixture was stirred at room temperature for 1.5 h. The crude product was resuspended in EtOAc (20 mL), filtered and the solid residue collected to give vinyl 60 (127 mg, 0.291 mmol, quant.) as a white solid. m.p.: 225 °C. 1H-NMR (500 MHz, (CD3)2SO): δ (ppm) = 12.19 (s, 1H, 1-COOH or 1′′′-COOH), 8.45 (d, J = 8.4 Hz, 1H, CONH), 8.34 (d, J = 2.3 Hz, 1H, 6-H), 8.06 (dd, J = 8.7, 2.3 Hz, 1H, 4-H), 8.05–7.99 (m, 2H, 2′′-H and 6′′-H), 8.01–7.95 (m, 2H, 3′′-H and 5′′-H), 7.76 (s, 1H, 4′-H), 7.14 (d, J = 8.6 Hz, 1H, 3-H), 5.81 (ddt, J = 17.1, 10.2, 7.0 Hz, 1H, 4′′′-H), 5.11–5.01 (m, 2H, 5′′′-H), 4.43–4.34 (m, 1H, 2′′′-H), 2.57–2.51 (m, 2H, 1′′′-H), 2.37–2.30 (m, 2H, 3′′′-H). 13C-NMR (126 MHz, (CD3)2SO): δ (ppm) = 172.42 (1′′′-COOH), 171.32 (1-COOH), 168.91 (C-5′), 164.84 (CONH), 162.53 (C-2), 161.80 (C-3′), 136.02 (C-4″), 135.10 (C-4′′′), 133.35 (C-4), 128.94 (C-1″), 128.65 (C-6), 128.16 (C-3″ and C-5″), 125.42 (C-2″ and C-6″), 119.50 (C-5), 118.22 (C-3), 117.31 (C-5′′′), 113.88 (C-1), 99.48 (C-4′), 46.26 (C-2′′′), 38.71 (C-1′′′), 38.45 (C-3′′′). IR (ATR): (cm−1) = 3315, 2916, 1729, 1688, 1632, 1589, 1531, 1499, 1421, 1290, 1212, 926, 796, 769, 695. HR-MS (ESI): m/z = [M − H] calcd for C23H19N2O7: 435.1192; found: 435.1192.
5-(5-(4-((1-Carboxy-4-oxobutan-2-yl)carbamoyl)phenyl)isoxazol-3-yl)-2-hydroxybenzoic acid (61). A solution of vinyl 60 (85 mg, 0.195 mmol) in 7 mL MeOH was flushed with N2 and cooled to -78 °C. O3 (flowrate: 25–30, power: 35%) was then bubbled into the solution for 3.5 min. Me2S (21.7 µL, 0.292 mmol) was added and the solution stirred at room temperature for 1 h. The solvent was removed in vacuo and the crude product purified by PTLC (DCM/MeOH 88:12 + 1% AcOH) to give formylmethyl 61 (31.4 mg, 0.0716 mmol, 37%) as a beige solid. m.p.: 275 °C. 1H-NMR (500 MHz, (CD3)2SO): δ (ppm) = 9.73 (s, 1H, CONH), 9.68 (s, 1H, 4′′′-H), 8.23 (d, J = 2.4 Hz, 1H, 6-H), 8.04–8.00 (m, 2H, 2′′-H and 6″-H), 7.94–7.90 (m, 2H, 3″-H and 5″-H), 7.71 (dd, J = 8.5, 2.4 Hz, 1H, 4-H), 7.61 (s, 1H, 4′-H), 6.74 (d, J = 8.4 Hz, 1H, 3-H), 4.63–4.53 (m, 1H, 2′′′-H), 2.76–2.55 (m, 2H, 3′′′-H), 2.32–2.22 (m, 2H, 1′′′-H). 13C-NMR (126 MHz, (CD3)2SO): δ (ppm) = 202.04 (C-4′′′), 174.07 (1′′′-COOH), 170.65 (1-COOH), 168.14 (C-5′), 166.02 (C-2), 164.19 (CONH), 162.94 (C-3′), 135.74 (C-4″), 129.76 (C-4), 129.28 (C-1″), 128.61 (C-6), 127.76 (C-3″ and C-5″), 125.50 (C-2″ and C-6″), 120.44 (C-5), 116.97 (C-3), 115.53 (C-1), 99.33 (C-4′), 48.90 (C-3′′′), 43.15 (C-2′′′), 41.28 (C-1′′′). IR (ATR): (cm−1) = 3300, 2925, 1715, 1635, 1560, 1497, 1392, 1257, 1077, 948, 834, 768, 700. HR-MS (ESI): m/z = [M − H] calcd for C22H17N2O8: 437.0985; found: 437.0988. Purity (HPLC): 210 nm: 90%; 254 nm: 91%.
Benzyl 3-(4-(1-(2,2-dimethyl-4-oxo-4H-benzo[d][1,3]dioxin-6-yl)-1H-1,2,3-triazol-4-yl)benzamido)hex-5-enoate (62). Prepared according to General Procedure D from azide 11 (300 mg, 1.37 mmol) and alkyne 58 (571 mg, 1.64 mmol). The crude product was resuspended in EtOAc (20 mL), filtered and the solid residue collected to give triazole 62 (550 mg, 0.971 mmol, 71%) as a white solid. m.p.: 173 °C. 1H-NMR (400 MHz, (CD3)2SO): δ (ppm) = 9.53 (s, 1H, 5′′-H), 8.42–8.38 (m, 2H, CONH and 5′′′-H), 8.31 (dd, J = 8.9, 2.7 Hz, 1H, 7′′′-H), 8.06–8.00 (m, 2H, 3′-H and 5′-H), 7.96–7.90 (m, 2H, 2′-H and 6′-H), 7.43 (d, J = 8.9 Hz, 1H, 8′′′-H), 7.35–7.27 (m, 5H, 2′′′′-H, 3′′′′-H, 4′′′′-H, 5′′′′-H and 6′′′′-H), 5.87–5.74 (m, 1H, 5-H), 5.13–5.01 (m, 4H, 6-H and 1′′′′-CH2), 4.50–4.40 (m, 1H, 3-H), 2.69–2.64 (m, 2H, 2-H), 2.34 (t, J = 6.9 Hz, 2H, 4-H), 1.77 (s, 6H, (CH3)2). 13C-NMR (101 MHz, (CD3)2SO): δ (ppm) = 170.73 (C-1), 165.27 (CONH), 159.48 (C-4′′′), 155.22 (C-8a′′′), 146.67 (C-4″), 136.11 (C-1′′′′), 134.99 (C-5), 134.08 (C-1′), 132.66 (C-4′), 131.70 (C-6′′′), 128.67 (C-7′′′), 128.33 (C-2′′′′, C-3′′′′, C-4′′′′, C-5′′′′ and C-6′′′′), 128.04 (C-2′ and C-6′), 127.92–127.87 (C-2′′′′, C-3′′′′, C-4′′′′, C-5′′′′ and C-6′′′′), 124.95 (C-3′ and C-5′), 120.69 (C-5″), 120.20 (C-5′′′), 119.25 (C-8′′′), 117.41 (C-6), 113.77 (C-4a′′′), 107.23 (C-2′′′), 65.55 (1′′′′-CH2), 46.33 (C-3), 38.71 (C-2 or C-4), 38.53 (C-2 or C-4), 25.27 ((CH3)2). IR (ATR): (cm−1) = 3313, 1735, 1630, 1507, 1295, 1170, 1047, 932, 851, 697. HR-MS (ESI): m/z = [M + H]+ calcd for C32H31N4O6+: 567.2244; found: 567.2259.
5-(4-(4-((1-Carboxypent-4-en-2-yl)carbamoyl)phenyl)-1H-1,2,3-triazol-1-yl)-2-hydroxybenzoic acid (63). Prepared according to General Procedure E from triazole 62 (422 mg, 0.745 mmol) and 0.70 M aq. KOH solution (208 mg, 3.71 mmol). The reaction mixture was stirred at room temperature for 1.5 h. The crude product was resuspended in EtOAc (50 mL), filtered and the solid residue collected to give vinyl 63 (249 mg, 0.570 mmol, 77%) as a white solid. m.p.: 223 °C. 1H-NMR (400 MHz, (CD3)2SO): δ (ppm) = 12.12 (s, 1H, 1-COOH or 1′′′-COOH), 9.40 (s, 1H, 5′-H), 8.34 (d, J = 8.4 Hz, 1H, CONH), 8.30 (d, J = 2.8 Hz, 1H, 6-H), 8.09 (dd, J = 8.9, 2.8 Hz, 1H, 4-H), 8.06–7.99 (m, 2H, 2′′-H and 6′′-H), 7.98–7.90 (m, 2H, 3′′-H and 5′′-H), 7.22 (d, J = 8.9 Hz, 1H, 3-H), 5.87–5.75 (m, 1H, 4′′′-H), 5.13–5.00 (m, 2H, 5′′′-H), 4.44–4.34 (m, 1H, 2′′′-H), 2.52–2.48 (m, 2-H, 1′′′-H), 2.33 (t, J = 6.9 Hz, 2H, 3′′′-H). 13C-NMR (126 MHz, (CD3)2SO): δ (ppm) = 172.47 (1′′′-COOH), 170.87 (1-COOH), 165.19 (CONH), 160.89 (C-2), 146.49 (C-4′), 135.17 (C-4′′′), 134.06 (C-4″), 132.80 (C-1″), 128.52 (C-5), 128.00 (C-3″ and C-5″), 127.40 (C-4), 124.93 (C-2″ and C-6″), 121.65 (C-6), 120.50 (C-5′), 118.70 (C-3), 117.26 (C-5′′′), 113.96 (C-1), 46.18 (C-2′′′), 38.77 (C-1′′′), 38.49 (C-3′′′). IR (ATR): (cm−1) = 3119, 1723, 1669, 1593, 1546, 1492, 1288, 1209, 1182, 1046, 828, 689. HR-MS (ESI): m/z = [M + H]+ calcd for C22H21N4O6+: 437.1461; found: 437.1471.
5-(4-(4-((1-Carboxy-4-oxobutan-2-yl)carbamoyl)phenyl)-1H-1,2,3-triazol-1-yl)-2-hydroxybenzoic acid (64). A solution of vinyl 63 (100 mg, 0.229 mmol) in 8 mL MeOH was flushed with N2 and cooled to −78 °C. O3 (flowrate: 25–30, power: 35%) was then bubbled into the solution for 3.5 min. Me2S (25.5 µL, 0.344 mmol) was added and the solution stirred at room temperature for 1 h. The solvent was removed in vacuo and the crude product purified by PTLC (DCM/MeOH 85:15 + 1% AcOH) to give aldehyde 64 (18.9 mg, 0.0431 mmol, 19%) as a beige solid. m.p.: 151 °C (decomposition). 1H-NMR (500 MHz, (CD3)2SO): δ (ppm) = 9.69 (s, 1H, 4′′′-H), 9.65 (s, 1H, CONH), 9.27 (s, 1H, 5′-H), 8.13 (d, J = 2.9 Hz, 1H, 6-H), 8.06–8.01 (m, 2H, 2′′-H and 6″-H), 7.89–7.85 (m, 2H, 3″-H and 5″-H), 7.69 (dd, J = 8.7, 2.9 Hz, 1H, 4-H), 6.82 (d, J = 8.7 Hz, 1H, 3-H), 4.61–4.55 (m, 1H, 2′′′-H), 2.76–2.55 (m, 2H, 3′′′-H), 2.30–2.20 (m, 2H, 1′′′-H). 13C-NMR (126 MHz, (CD3)2SO): δ (ppm) = 202.17 (C-4′′′), 174.34 (1′′′-COOH), 170.08 (1-COOH), 164.53 (CONH), 164.03 (C-2), 146.09 (C-4′), 133.81 (C-4″), 133.18 (C-1″), 127.57 (C-3″ and C-5″), 125.87 (C-5), 125.00 (C-2″ and C-6″), 123.76 (C-4), 121.70 (C-6), 120.71 (C-1), 120.23 (C-5′), 117.03 (C-3), 49.01 (C-3′′′), 43.08 (C-2′′′), 41.44 (C-1′′′). IR (ATR): (cm−1) = 3300, 2918, 1716, 1636, 1576, 1487, 1374, 1252, 1043, 829, 769, 706. HR-MS (ESI): m/z = [M-H] calcd for C21H17N4O7: 437.1097; found: 437.1102. Purity (HPLC): 210 nm: 94%; 254 nm: 92%.

3.2. Sirtuin 5 Assay

The inhibitory activities of the synthesized target compounds were determined by Reaction Biology Corporation (Malvern, PA, USA) using a fluorescence-based assay. The sirtuin 5 enzyme utilized in this assay was produced in-house by Reaction Biology. The enzyme construct (accession number: NM_012241) comprised amino acids 37–310 (C-terminal region), carried an N-terminal His-tag and was expressed in Escherichia coli. The recombinant protein was purified to >95% purity, as confirmed by SDS-PAGE, and supplied in a solution containing 50 mM Tris-HCl (pH 8.0), 137 mM NaCl, 2.7 mM KCl, 1 mM MgCl2, 1 mg/mL BSA, and 1% DMSO with a protein concentration of 19 nM. Test compounds were prepared at a concentration of 10 mM in DMSO and incubated with 5 µL sirtuin 5 in the assay buffer per well at 30 °C for 10 min in a concentration range between 5 nM and 0.1 mM. 5 µL assay buffer without sirtuin 5 were used for control wells. The deacylation reaction was initiated by the addition of 5 µL substrate mixture comprising 50 µM fluorogenic substrate Ac-Lys-succ-AMC and the co-factor NAD+. After a 2 h incubation at 30 °C, the reaction was terminated by adding 10 µL protease-based developer with 4 mM nicotinamide, which cleaves 7-amino-4-methylcoumarin to yield a fluorescent signal. Fluorescence was measured after an additional 1 h incubation at 30 °C, with excitation/emission wavelengths of 360/460 nm with EnVision® Plate Reader (Revvity, Waltham, MA, USA). To standardize results, a no-inhibitor control representing 100% enzyme activity was included in all assays. IC50 values for sirtuin 5 inhibition were determined in triplicate using a 10-dose, 3-fold serial dilution series. For each replicate, individual IC50 values were calculated by fitting sigmoidal dose–response curves using Prism 8.0.2 software (GraphPad Software, Boston, MA, USA). The final IC50 values are reported as the mean ± standard deviation of the triplicate measurements.

3.3. Computational Methods

Molecular docking studies were performed using the Schrödinger software suite (version 2020-3, Schrödinger Inc., New York, NY, USA) [44]. X-ray crystal structure of sirtuin 5 in complex with its reference succinyl peptide substrate (PDB ID: 3RIY [30]) was obtained from the Protein Data Bank [45] and prepared using the Protein Preparation Wizard. Ligands were prepared with the Ligand Preparation Wizard, employing Epik for protonation state and charge assignments with a pH value of 7.4 assumed [46]. The protein was prepared without the ligand in the active site. The center of mass of ligand 2 in Chain A of 3RIY was set as center of the docking grid (x = −12.8, y = 2.41 and z = −6.59). Docking was conducted using Glide in standard precision (SP) mode with default parameters. OPLS4 force field was applied for structural optimization and docking. The resulting poses were analyzed and visualized using PyMOL 2.5.8 (Schrödinger Inc., New York, NY, USA). Top-ranked docking poses (5 poses) were evaluated based on their spatial alignment and interactions relative to the co-crystallized succinyl peptide substrate.

4. Conclusions

A growing body of literature implicating sirtuin 5 with the development and exacerbation of various diseases has solidified this NAD+-dependent lysine deacylase as a promising biological target for pharmaceutical interventions. However, the accessibility to potent sirtuin 5 inhibitors with satisfactory pharmacokinetic properties remains limited. Through a comprehensive SAR analysis of balsalazide, we previously generated a series of derivatives with optimized pharmacokinetic properties and further attempted to optimize their potency through various inhibitor–enzyme interactions. Herein, we continued this endeavor by employing the principles of reversible covalent bonding, a well-established optimization method in drug development, to potentially enhance the binding affinity and potency of these sirtuin 5 inhibitors. Guided by initial docking experiments, the introduction of boronic acid, cyanomethyl and formylmethyl groups was rationally employed at the most optimal position for reversible covalent bonding with the nicotinamide ribose vicinal hydroxy groups of the essential co-factor NAD+. Challenges associated with the syntheses and purification of alkyl boronic acids, as well as the syntheses of enantiomerically pure derivatives, were addressed and navigated through method developments and optimizations, and chiral-pool syntheses from commercially available amino acid derivatives. Biological evaluation of the synthesized functionalized inhibitors showed that these modifications were tolerated to some extent, but did not show any significant improvement in inhibitory potency compared to their lead structures. Additionally, triazole-based inhibitors demonstrated superior potency compared to their corresponding isoxazole-based inhibitors. Furthermore, a stereo-selective preference of these functional group modifications was observed with S-enantiomers showing higher potency compared to their corresponding R-enantiomers. Among the functional group modifications, the cyanomethyl derivatives emerged as the most potent inhibitors, highlighted by the S-enantiomer of the triazole-based cyanomethyl derivative 50 with an IC50 of 27 µM, which lies in a similar potency range to current established sirtuin 5 inhibitors. The exact binding mechanisms of the functionalized sirtuin 5 inhibitors could not yet be proven in this work due to the lack of co-crystal structures, but we are still actively pursuing this area of research. Nevertheless, our findings offer valuable insight into the SAR of balsalazide analogues as sirtuin 5 inhibitors and thus a viable foundation for the design and development of more potent balsalazide-based sirtuin 5 inhibitors in the future.

Supplementary Materials

The following supporting information can be downloaded at: https://www.mdpi.com/article/10.3390/molecules30183821/s1: S1. 1H and 13C NMR spectra of synthesized compounds; S2. HPLC chromatograms of tested compounds; S3. Crystal structure data of compound 45 (including relevant references no. [47,48,49,50]).

Author Contributions

Conceptualization, F.B.; methodology, R.W., S.A.H., T.W. and F.B.; software, T.W.; validation, R.W., T.W. and F.B.; formal analysis, R.W., T.W. and F.B.; investigation, R.W., S.A.H. and T.W.; resources, F.B.; data curation, R.W., T.W. and F.B.; writing—original draft preparation, R.W.; writing—review and editing, T.W. and F.B.; visualization, R.W. and T.W.; supervision, F.B.; project administration, F.B.; funding acquisition, F.B. All authors have read and agreed to the published version of the manuscript.

Funding

This research was funded by Deutsche Forschungsgemeinschaft (DFG, German Research Foundation) with funds from SFB1309 (Chemical Biology of Epigenetic Modifications, project ID: 325871075–SFB1309) to F.B.

Institutional Review Board Statement

Not applicable.

Informed Consent Statement

Not applicable.

Data Availability Statement

The entirety of the experimental data and protocols are stored in the university’s electronic lab journal at LMU Munich.

Acknowledgments

We thank Lars Allmendinger and Claudia Glas for NMR services, Werner Spahl and Sonja Kosak for MS services, Anna Niedrig for HPLC services and Peter Mayer for X-ray crystallographic services.

Conflicts of Interest

The authors declare no conflicts of interest.

Abbreviations

The following abbreviations are used in this manuscript:
NAD+Nicotinamide adenine dinucleotide
IC50Half maximal inhibitory concentration
CDI1,1′-Carbonyldiimidazole
PIFA(Bis(trifluoroacetoxy)iodo)benzene
CuAACCopper-catalyzed azide-alkyne cycoladdition
LEDLight-emitting diode
FCCFlash column chromatography
PTLCPreparative thin-layer chromatography

References

  1. Schiedel, M.; Robaa, D.; Rumpf, T.; Sippl, W.; Jung, M. The Current State of NAD+-Dependent Histone Deacetylases (Sirtuins) as Novel Therapeutic Targets. Med. Res. Rev. 2018, 38, 147–200. [Google Scholar] [CrossRef]
  2. Giblin, W.; Lombard, D.B. Chapter 3—Sirtuins, Healthspan, and Longevity in Mammals. In Handbook of the Biology of Aging, 8th ed.; Kaeberlein, M.R., Martin, G.M., Eds.; Academic Press: Cambridge, MA, USA, 2016; pp. 83–132. [Google Scholar]
  3. Nakagawa, T.; Lomb, D.J.; Haigis, M.C.; Guarente, L. SIRT5 Deacetylates carbamoyl phosphate synthetase 1 and regulates the urea cycle. Cell 2009, 137, 560–570. [Google Scholar] [CrossRef] [PubMed]
  4. Lin, Z.-F.; Xu, H.-B.; Wang, J.-Y.; Lin, Q.; Ruan, Z.; Liu, F.-B.; Jin, W.; Huang, H.-H.; Chen, X. SIRT5 desuccinylates and activates SOD1 to eliminate ROS. Biochem. Biophys. Res. Commun. 2013, 441, 191–195. [Google Scholar] [CrossRef]
  5. Zhang, Y.; Bharathi, S.S.; Rardin, M.J.; Uppala, R.; Verdin, E.; Gibson, B.W.; Goetzman, E.S. SIRT3 and SIRT5 regulate the enzyme activity and cardiolipin binding of very long-chain acyl-CoA dehydrogenase. PLoS ONE 2015, 10, e0122297. [Google Scholar] [CrossRef]
  6. Wang, T.; Tan, G.; Jiang, M.; Liu, G.; Li, W.; Qing, X. SIRT5 inhibits glycolysis and nasal type extranodal NK/T cell lymphoma cell proliferation by catalyzing the desuccinylation of glucose-6-phosphate isomerase. Transl. Oncol. 2025, 51, 102215. [Google Scholar] [CrossRef] [PubMed]
  7. Rardin, M.J.; He, W.; Nishida, Y.; Newman, J.C.; Carrico, C.; Danielson, S.R.; Guo, A.; Gut, P.; Sahu, A.K.; Li, B.; et al. SIRT5 regulates the mitochondrial lysine succinylome and metabolic networks. Cell Metab. 2013, 18, 920–933. [Google Scholar] [CrossRef]
  8. Fabbrizi, E.; Fiorentino, F.; Carafa, V.; Altucci, L.; Mai, A.; Rotili, D. Emerging Roles of SIRT5 in Metabolism, Cancer, and SARS-CoV-2 Infection. Cells 2023, 12, 852. [Google Scholar] [CrossRef]
  9. Liu, L.; Peritore, C.; Ginsberg, J.; Shih, J.; Arun, S.; Donmez, G. Protective role of SIRT5 against motor deficit and dopaminergic degeneration in MPTP-induced mice model of Parkinson’s disease. Behav. Brain Res. 2015, 281, 215–221. [Google Scholar] [CrossRef]
  10. Lutz, M.I.; Milenkovic, I.; Regelsberger, G.; Kovacs, G.G. Distinct patterns of sirtuin expression during progression of Alzheimer’s disease. Neuromol Med. 2014, 16, 405–414. [Google Scholar] [CrossRef]
  11. Greene, K.S.; Lukey, M.J.; Wang, X.; Blank, B.; Druso, J.E.; Lin, M.J.; Stalnecker, C.A.; Zhang, C.; Negrón Abril, Y.; Erickson, J.W.; et al. SIRT5 stabilizes mitochondrial glutaminase and supports breast cancer tumorigenesis. Proc. Natl. Acad. Sci. USA 2019, 116, 26625–26632. [Google Scholar] [CrossRef] [PubMed]
  12. Wang, Y.Q.; Wang, H.L.; Xu, J.; Tan, J.; Fu, L.N.; Wang, J.L.; Zou, T.H.; Sun, D.F.; Gao, Q.Y.; Chen, Y.X.; et al. Sirtuin5 contributes to colorectal carcinogenesis by enhancing glutaminolysis in a deglutarylation-dependent manner. Nat. Commun. 2018, 9, 545. [Google Scholar] [CrossRef] [PubMed]
  13. Lu, W.; Zuo, Y.; Feng, Y.; Zhang, M. SIRT5 facilitates cancer cell growth and drug resistance in non-small cell lung cancer. Tumour Biol. 2014, 35, 10699–10705. [Google Scholar] [CrossRef] [PubMed]
  14. Suenkel, B.; Fischer, F.; Steegborn, C. Inhibition of the human deacylase Sirtuin 5 by the indole GW5074. Bioorg Med. Chem. Lett. 2013, 23, 143–146. [Google Scholar] [CrossRef]
  15. Trapp, J.; Jochum, A.; Meier, R.; Saunders, L.; Marshall, B.; Kunick, C.; Verdin, E.; Goekjian, P.; Sippl, W.; Jung, M. Adenosine Mimetics as Inhibitors of NAD+-Dependent Histone Deacetylases, from Kinase to Sirtuin Inhibition. J. Med. Chem. 2006, 49, 7307–7316. [Google Scholar] [CrossRef]
  16. Maurer, B.; Rumpf, T.; Scharfe, M.; Stolfa, D.A.; Schmitt, M.L.; He, W.; Verdin, E.; Sippl, W.; Jung, M. Inhibitors of the NAD(+)-Dependent Protein Desuccinylase and Demalonylase Sirt5. ACS Med. Chem. Lett. 2012, 3, 1050–1053. [Google Scholar] [CrossRef]
  17. Liu, S.; Ji, S.; Yu, Z.J.; Wang, H.L.; Cheng, X.; Li, W.J.; Jing, L.; Yu, Y.; Chen, Q.; Yang, L.L.; et al. Structure-based discovery of new selective small-molecule sirtuin 5 inhibitors. Chem. Biol. Drug Des. 2018, 91, 257–268. [Google Scholar] [CrossRef]
  18. Baell, J.B.; Holloway, G.A. New Substructure Filters for Removal of Pan Assay Interference Compounds (PAINS) from Screening Libraries and for Their Exclusion in Bioassays. J. Med. Chem. 2010, 53, 2719–2740. [Google Scholar] [CrossRef]
  19. Guetschow, E.D.; Kumar, S.; Lombard, D.B.; Kennedy, R.T. Identification of sirtuin 5 inhibitors by ultrafast microchip electrophoresis using nanoliter volume samples. Anal. Bioanal. Chem. 2016, 408, 721–731. [Google Scholar] [CrossRef]
  20. Muijsers, R.B.R.; Goa, K.L. Balsalazide. Drugs 2002, 62, 1689–1705. [Google Scholar] [CrossRef] [PubMed]
  21. Glas, C.; Dietschreit, J.C.B.; Wössner, N.; Urban, L.; Ghazy, E.; Sippl, W.; Jung, M.; Ochsenfeld, C.; Bracher, F. Identification of the subtype-selective Sirt5 inhibitor balsalazide through systematic SAR analysis and rationalization via theoretical investigations. Eur. J. Med. Chem. 2020, 206, 112676. [Google Scholar] [CrossRef] [PubMed]
  22. Glas, C.; Naydenova, E.; Lechner, S.; Wössner, N.; Yang, L.; Dietschreit, J.C.B.; Sun, H.; Jung, M.; Kuster, B.; Ochsenfeld, C.; et al. Development of hetero-triaryls as a new chemotype for subtype-selective and potent Sirt5 inhibition. Eur. J. Med. Chem. 2022, 240, 114594. [Google Scholar] [CrossRef]
  23. Wirawan, R.; Frei, M.; Heider, A.; Papenkordt, N.; Friedrich, F.; Wein, T.; Jung, M.; Groll, M.; Huber, E.M.; Bracher, F. Tailored SirReal-type inhibitors enhance SIRT2 inhibition through ligand stabilization and disruption of NAD+ co-factor binding. RSC Med. Chem. 2025. online ahead of print. [Google Scholar] [CrossRef]
  24. Groll, M.; Berkers, C.R.; Ploegh, H.L.; Ovaa, H. Crystal structure of the boronic acid-based proteasome inhibitor bortezomib in complex with the yeast 20S proteasome. Structure 2006, 14, 451–456. [Google Scholar] [CrossRef]
  25. Beck, P.; Dubiella, C.; Groll, M. Covalent and non-covalent reversible proteasome inhibition. Biol. Chem. 2012, 393, 1101–1120. [Google Scholar] [CrossRef] [PubMed]
  26. Wang, Y.-H.; Zhang, F.; Diao, H.; Wu, R. Covalent Inhibition Mechanism of Antidiabetic Drugs—Vildagliptin vs. Saxagliptin. ACS Catal. 2019, 9, 2292–2302. [Google Scholar] [CrossRef]
  27. Oksenberg, D.; Dufu, K.; Patel, M.P.; Chuang, C.; Li, Z.; Xu, Q.; Silva-Garcia, A.; Zhou, C.; Hutchaleelaha, A.; Patskovska, L.; et al. GBT440 increases haemoglobin oxygen affinity, reduces sickling and prolongs RBC half-life in a murine model of sickle cell disease. Br. J. Haematol. 2016, 175, 141–153. [Google Scholar] [CrossRef] [PubMed]
  28. Boike, L.; Henning, N.J.; Nomura, D.K. Advances in covalent drug discovery. Nat. Rev. Drug Discov. 2022, 21, 881–898. [Google Scholar] [CrossRef] [PubMed]
  29. Farooqi, A.S.; Hong, J.Y.; Cao, J.; Lu, X.; Price, I.R.; Zhao, Q.; Kosciuk, T.; Yang, M.; Bai, J.J.; Lin, H. Novel Lysine-Based Thioureas as Mechanism-Based Inhibitors of Sirtuin 2 (SIRT2) with Anticancer Activity in a Colorectal Cancer Murine Model. J. Med. Chem. 2019, 62, 4131–4141. [Google Scholar] [CrossRef]
  30. Du, J.; Zhou, Y.; Su, X.; Yu, J.J.; Khan, S.; Jiang, H.; Kim, J.; Woo, J.; Kim, J.H.; Choi, B.H.; et al. Sirt5 Is a NAD-Dependent Protein Lysine Demalonylase and Desuccinylase. Science 2011, 334, 806–809. [Google Scholar] [CrossRef]
  31. Isernia, C.; Bucci, E.M.; Napoli, L.d.; Lello, P.D.; Iacovino, R.; Montesarchio, D.; Piccialli, G.; Rossi, F.; Saviano, M.; Benedetti, E. Synthesis and conformation of dipeptide taste ligands containing homo-β-amino acid residues. J. Phys. Org. Chem. 1999, 12, 577–587. [Google Scholar] [CrossRef]
  32. Röhrich, T.; Abu Thaher, B.; Manicone, N.; Otto, H.-H. Substituted 1,2-Thiazetidine 1,1-Dioxides. Synthesis of (RS)- and (S)-1,2-Thiazetidine-3-acetic Acid 1,1-Dioxide and its Reactions with Amino Acids and Dipeptides. Monatsh Chem. 2004, 135, 979–999. [Google Scholar] [CrossRef]
  33. Klein, P.; Barthels, F.; Johe, P.; Wagner, A.; Tenzer, S.; Distler, U.; Le, T.A.; Schmid, P.; Engel, V.; Engels, B.; et al. Naphthoquinones as Covalent Reversible Inhibitors of Cysteine Proteases-Studies on Inhibition Mechanism and Kinetics. Molecules 2020, 25, 2064. [Google Scholar] [CrossRef]
  34. Yang, C.-T.; Zhang, Z.-Q.; Tajuddin, H.; Wu, C.-C.; Liang, J.; Liu, J.-H.; Fu, Y.; Czyzewska, M.; Steel, P.G.; Marder, T.B.; et al. Alkylboronic Esters from Copper-Catalyzed Borylation of Primary and Secondary Alkyl Halides and Pseudohalides. Angew. Chem. Int. Ed. 2012, 51, 528–532. [Google Scholar] [CrossRef] [PubMed]
  35. Ito, H.; Kubota, K. Copper(I)-Catalyzed Boryl Substitution of Unactivated Alkyl Halides. Org. Lett. 2012, 14, 890–893. [Google Scholar] [CrossRef]
  36. Dudnik, A.S.; Fu, G.C. Nickel-Catalyzed Coupling Reactions of Alkyl Electrophiles, Including Unactivated Tertiary Halides, To Generate Carbon–Boron Bonds. J. Am. Chem. Soc. 2012, 134, 10693–10697. [Google Scholar] [CrossRef] [PubMed]
  37. Joshi-Pangu, A.; Ma, X.; Diane, M.; Iqbal, S.; Kribs, R.J.; Huang, R.; Wang, C.-Y.; Biscoe, M.R. Palladium-Catalyzed Borylation of Primary Alkyl Bromides. J. Org. Chem. 2012, 77, 6629–6633. [Google Scholar] [CrossRef]
  38. Ursinyova, N.; Bedford, R.B.; Gallagher, T. Copper-Catalyzed Borylation of Cyclic Sulfamidates: Access to Enantiomerically Pure (β-and γ-Aminoalkyl)boronic Esters. Eur. J. Org. Chem. 2016, 2016, 673–677. [Google Scholar] [CrossRef]
  39. Hitosugi, S.; Tanimoto, D.; Nakanishi, W.; Isobe, H. A Facile Chromatographic Method for Purification of Pinacol Boronic Esters. Chem. Lett. 2012, 41, 972–973. [Google Scholar] [CrossRef]
  40. Lang, S.B.; O’Nele, K.M.; Douglas, J.T.; Tunge, J.A. Dual Catalytic Decarboxylative Allylations of α-Amino Acids and Their Divergent Mechanisms. Chem. Eur. J. 2015, 21, 18589–18593. [Google Scholar] [CrossRef]
  41. Schuetz, A.; Min, J.; Antoshenko, T.; Wang, C.L.; Allali-Hassani, A.; Dong, A.; Loppnau, P.; Vedadi, M.; Bochkarev, A.; Sternglanz, R.; et al. Structural basis of inhibition of the human NAD+-dependent deacetylase SIRT5 by suramin. Structure 2007, 15, 377–389. [Google Scholar] [CrossRef]
  42. Yang, L.-L.; Wang, H.-L.; Yan, Y.-H.; Liu, S.; Yu, Z.-J.; Huang, M.-Y.; Luo, Y.; Zheng, X.; Yu, Y.; Li, G.-B. Sensitive fluorogenic substrates for sirtuin deacylase inhibitor discovery. Eur. J. Med. Chem. 2020, 192, 112201. [Google Scholar] [CrossRef] [PubMed]
  43. Jawalekar, A.M.; Reubsaet, E.; Rutjes, F.P.J.T.; van Delft, F.L. Synthesis of isoxazoles by hypervalent iodine-induced cycloaddition of nitrile oxides to alkynes. Chem. Commun. 2011, 47, 3198–3200. [Google Scholar] [CrossRef]
  44. Friesner, R.A.; Banks, J.L.; Murphy, R.B.; Halgren, T.A.; Klicic, J.J.; Mainz, D.T.; Repasky, M.P.; Knoll, E.H.; Shelley, M.; Perry, J.K.; et al. Glide: A new approach for rapid, accurate docking and scoring. 1. Method and assessment of docking accuracy. J. Med. Chem. 2004, 47, 1739–1749. [Google Scholar] [CrossRef]
  45. Berman, H.M.; Westbrook, J.; Feng, Z.; Gilliland, G.; Bhat, T.N.; Weissig, H.; Shindyalov, I.N.; Bourne, P.E. The Protein Data Bank. Nucleic Acids Res. 2000, 28, 235–242. [Google Scholar] [CrossRef]
  46. Shelley, J.C.; Cholleti, A.; Frye, L.L.; Greenwood, J.R.; Timlin, M.R.; Uchimaya, M. Epik: A software program for pK(a) prediction and protonation state generation for drug-like molecules. J. Comput. Aided Mol. Des. 2007, 21, 681–691. [Google Scholar] [CrossRef]
  47. Bruker. SAINT; Bruker AXS Inc.: Madison, WI, USA, 2012. [Google Scholar]
  48. Sheldrick, G.M. SADABS; University of Göttingen: Göttingen, Germany, 1996. [Google Scholar]
  49. Sheldrick, G.M. SHELXT—Integrated space-group and crystal-structure determination. Acta Cryst. A 2015, A71, 3–8. [Google Scholar] [CrossRef] [PubMed]
  50. Farrugia, L.J. WinGX and ORTEP for Windows: An update. J. Appl. Cryst. 2012, 45, 849–854. [Google Scholar] [CrossRef]
Figure 1. Selected examples of published sirtuin 5 inhibitors.
Figure 1. Selected examples of published sirtuin 5 inhibitors.
Molecules 30 03821 g001
Figure 2. Proposed binding mode of the selected reversible covalent warheads with the nicotinamide ribose of the co-factor NAD+. Boronic acids (A) and aldehydes (C) can react with one or both hydroxy groups to form (cyclic) boronates, and hemiacetals or cyclic acetals. Nitriles (B) can react with the more reactive 2′-OH to form iminoethers. Reversible covalent inhibition strategy blends the benefits of both irreversible covalent inhibition and non-covalent inhibition by prolonging inhibition and thus potency, while maintaining reversibility that reduces off-target toxicity.
Figure 2. Proposed binding mode of the selected reversible covalent warheads with the nicotinamide ribose of the co-factor NAD+. Boronic acids (A) and aldehydes (C) can react with one or both hydroxy groups to form (cyclic) boronates, and hemiacetals or cyclic acetals. Nitriles (B) can react with the more reactive 2′-OH to form iminoethers. Reversible covalent inhibition strategy blends the benefits of both irreversible covalent inhibition and non-covalent inhibition by prolonging inhibition and thus potency, while maintaining reversibility that reduces off-target toxicity.
Molecules 30 03821 g002
Figure 3. Target structures derived from CG_209 (A1) and CG_220 (B1). Docking experiments of the envisaged boronic acid derivatives of CG_209 (cyan) (A2) and CG_220 (cyan) (B2) in the presence of the co-factor NAD+ (grey) (based on PDB ID: 3RIY [30]). Modifications with further functional groups such as nitriles and aldehydes were additionally chosen as suitable moieties for reversible covalent binding. Colors: oxygen (red), nitrogen (blue), phosphorus (orange).
Figure 3. Target structures derived from CG_209 (A1) and CG_220 (B1). Docking experiments of the envisaged boronic acid derivatives of CG_209 (cyan) (A2) and CG_220 (cyan) (B2) in the presence of the co-factor NAD+ (grey) (based on PDB ID: 3RIY [30]). Modifications with further functional groups such as nitriles and aldehydes were additionally chosen as suitable moieties for reversible covalent binding. Colors: oxygen (red), nitrogen (blue), phosphorus (orange).
Molecules 30 03821 g003
Scheme 1. Synthesis of lead structures CG_209 and CG_220 according to published literature with slight modifications, particularly in the preparation of the amide 6.
Scheme 1. Synthesis of lead structures CG_209 and CG_220 according to published literature with slight modifications, particularly in the preparation of the amide 6.
Molecules 30 03821 sch001
Scheme 2. Reagents, conditions and yields: (a) ethyl chloroformate, Et3N, THF, 0 °C, 15 min, then NaBH4, H2O, rt, 1 h, 70% for 15 and 68% for 16; (b) PPh3, I2, imidazole, DCM, rt, 2.5 h, 54%; (c) PPh3, CBr4, dry Et2O, rt, 15 min, 60% for 18 and 58% for 19; (d) B2pin2, Pd2(dba)3, t-Bu2MeP·HBF4, K2CO3, t-BuOH/H2O (12:1 v/v), 60 °C, 6 h, 60% for 20 and 51% for 21; (e) Bu4NCN, DCM, 55 °C, 17 h, 52% for 22 and 63% for 23; (f) 4M HCl in dioxane, rt, 1 h, quant. for 24, 25, 26 and 27; (g) 4-ethynylbenzoic acid (4), CDI, dry DMF, rt, 3 d, 80% for 28, 64% for 29, 58% for 30 and 71% for 31; (h) aldoxime 3, PIFA, MeOH/H2O (5:1 v/v), rt, 16 h, 31% for 32, 22% for 33, 14% for 34 and 24% for 35; (i) azide 11, Na-L-ascorbate, CuSO4, t-BuOH/H2O (21:1 v/v), rt, 18 h, 17% for 38, 8% for 39, 41% for 40, 53% for 41, 24% for 42 and 33% for 43; (j) NaIO4, HCl, THF/H2O (4:1 v/v), rt, 16 h, 73% for 36, 64% for 37 and 68% for 42. * = chiral center.
Scheme 2. Reagents, conditions and yields: (a) ethyl chloroformate, Et3N, THF, 0 °C, 15 min, then NaBH4, H2O, rt, 1 h, 70% for 15 and 68% for 16; (b) PPh3, I2, imidazole, DCM, rt, 2.5 h, 54%; (c) PPh3, CBr4, dry Et2O, rt, 15 min, 60% for 18 and 58% for 19; (d) B2pin2, Pd2(dba)3, t-Bu2MeP·HBF4, K2CO3, t-BuOH/H2O (12:1 v/v), 60 °C, 6 h, 60% for 20 and 51% for 21; (e) Bu4NCN, DCM, 55 °C, 17 h, 52% for 22 and 63% for 23; (f) 4M HCl in dioxane, rt, 1 h, quant. for 24, 25, 26 and 27; (g) 4-ethynylbenzoic acid (4), CDI, dry DMF, rt, 3 d, 80% for 28, 64% for 29, 58% for 30 and 71% for 31; (h) aldoxime 3, PIFA, MeOH/H2O (5:1 v/v), rt, 16 h, 31% for 32, 22% for 33, 14% for 34 and 24% for 35; (i) azide 11, Na-L-ascorbate, CuSO4, t-BuOH/H2O (21:1 v/v), rt, 18 h, 17% for 38, 8% for 39, 41% for 40, 53% for 41, 24% for 42 and 33% for 43; (j) NaIO4, HCl, THF/H2O (4:1 v/v), rt, 16 h, 73% for 36, 64% for 37 and 68% for 42. * = chiral center.
Molecules 30 03821 sch002
Scheme 3. Formation of the 2-oxazoline side product 45, most likely via the imidazole-catalyzed deprotonation of the amide hydrogen atom that leads to nucleophilic attack of the amide at the reactive alkyl bromide.
Scheme 3. Formation of the 2-oxazoline side product 45, most likely via the imidazole-catalyzed deprotonation of the amide hydrogen atom that leads to nucleophilic attack of the amide at the reactive alkyl bromide.
Molecules 30 03821 sch003
Scheme 4. Reagents, reactions conditions and yields: (a) KOH, THF, rt, 0.5–2.5 h, 50% for 47, 55% for 48, 39% for 49 and 58% for 50; (b) KOH, THF, 0 °C, 0.5–1 h, 54% for 51, 56% for 52, 39% for 53 and 32% for 54. * = chiral center.
Scheme 4. Reagents, reactions conditions and yields: (a) KOH, THF, rt, 0.5–2.5 h, 50% for 47, 55% for 48, 39% for 49 and 58% for 50; (b) KOH, THF, 0 °C, 0.5–1 h, 54% for 51, 56% for 52, 39% for 53 and 32% for 54. * = chiral center.
Molecules 30 03821 sch004
Scheme 5. Syntheses of aldehydes 61 and 64.
Scheme 5. Syntheses of aldehydes 61 and 64.
Molecules 30 03821 sch005
Table 1. Method development in the borylation of alkyl halides 17 and 18 for the preparation of boronic acid pinacol ester 20.
Table 1. Method development in the borylation of alkyl halides 17 and 18 for the preparation of boronic acid pinacol ester 20.
Molecules 30 03821 i001
EntryXCatalyst/LigandBaseSolventTemp.TimeYield
1ICuI, PPh3LiOMeDMFrt16 h-
2ICuCl, XantphosKOtBuTHFrt16 h-
3ICuCl, XantphosKOtBuTHF50 °C16 h-
4INiBr2·diglyme, i-Pr-PyBOXKOEti-Pr2O/DMA60 °C16 h-/33% (46) 1
5IPd2(dba)3, t-Bu2MeP·HBF4K2CO3t-BuOH/H2O60 °C16 htraces
6ICuI, PPh3, Bu4NILiOtBuDMF60 °C18 htraces
7BrCuI, PPh3, Bu4NILiOtBuDMF60 °C18 h10%
8BrCuI, PPh3LiOMeDMF60 °C16 h-
9BrPd2(dba)3, t-Bu2MeP·HBF4K2CO3t-BuOH/H2O60 °C16 h16%
10aBrPd2(dba)3, t-Bu2MeP·HBF4K2CO3t-BuOH/H2O60 °C6 h42%
10b 2BrPd2(dba)3, t-Bu2MeP·HBF4K2CO3t-BuOH/H2O60 °C6 h60%
1 Dehalogenated side product 46. Molecules 30 03821 i002 2 Entry 10b differs from entry 10a in the purification method.
Table 2. Inhibition of sirtuin 5 by CG_209 and CG_220 and the functionalized derivatives thereof. The IC50 values were calculated as a mean of three independent measurements with standard deviations shown. * = chiral center.
Table 2. Inhibition of sirtuin 5 by CG_209 and CG_220 and the functionalized derivatives thereof. The IC50 values were calculated as a mean of three independent measurements with standard deviations shown. * = chiral center.
Molecules 30 03821 i003
Compound IDConfigurationHet(Ar)RIC50 (hSirt5)
[µM] ± SD
CG_209-Molecules 30 03821 i004H11 ± 1
CG_220-Molecules 30 03821 i005H9 ± 2
47RMolecules 30 03821 i006CH2CN97 ± 22
48SMolecules 30 03821 i007CH2CN65 ± 15
49RMolecules 30 03821 i008CH2CN35 ± 6
50SMolecules 30 03821 i009CH2CN27 ± 9
51RMolecules 30 03821 i010-203 ± 50
52SMolecules 30 03821 i011-139 ± 18
53RMolecules 30 03821 i012-137 ± 63
54SMolecules 30 03821 i013-61 ± 9
61racMolecules 30 03821 i014CH2CHO82 ± 3
64racMolecules 30 03821 i015CH2CHO60 ± 15
Disclaimer/Publisher’s Note: The statements, opinions and data contained in all publications are solely those of the individual author(s) and contributor(s) and not of MDPI and/or the editor(s). MDPI and/or the editor(s) disclaim responsibility for any injury to people or property resulting from any ideas, methods, instructions or products referred to in the content.

Share and Cite

MDPI and ACS Style

Wirawan, R.; Huber, S.A.; Wein, T.; Bracher, F. Balsalazide-Derived Heterotriaryls as Sirtuin 5 Inhibitors: A Case Study of a Reversible Covalent Inhibition Strategy. Molecules 2025, 30, 3821. https://doi.org/10.3390/molecules30183821

AMA Style

Wirawan R, Huber SA, Wein T, Bracher F. Balsalazide-Derived Heterotriaryls as Sirtuin 5 Inhibitors: A Case Study of a Reversible Covalent Inhibition Strategy. Molecules. 2025; 30(18):3821. https://doi.org/10.3390/molecules30183821

Chicago/Turabian Style

Wirawan, Ricky, Simon A. Huber, Thomas Wein, and Franz Bracher. 2025. "Balsalazide-Derived Heterotriaryls as Sirtuin 5 Inhibitors: A Case Study of a Reversible Covalent Inhibition Strategy" Molecules 30, no. 18: 3821. https://doi.org/10.3390/molecules30183821

APA Style

Wirawan, R., Huber, S. A., Wein, T., & Bracher, F. (2025). Balsalazide-Derived Heterotriaryls as Sirtuin 5 Inhibitors: A Case Study of a Reversible Covalent Inhibition Strategy. Molecules, 30(18), 3821. https://doi.org/10.3390/molecules30183821

Article Metrics

Back to TopTop