Solubility of Sulfamethazine in Acetonitrile–Ethanol Cosolvent Mixtures: Thermodynamic Analysis and Mathematical Modeling
Abstract
1. Introduction
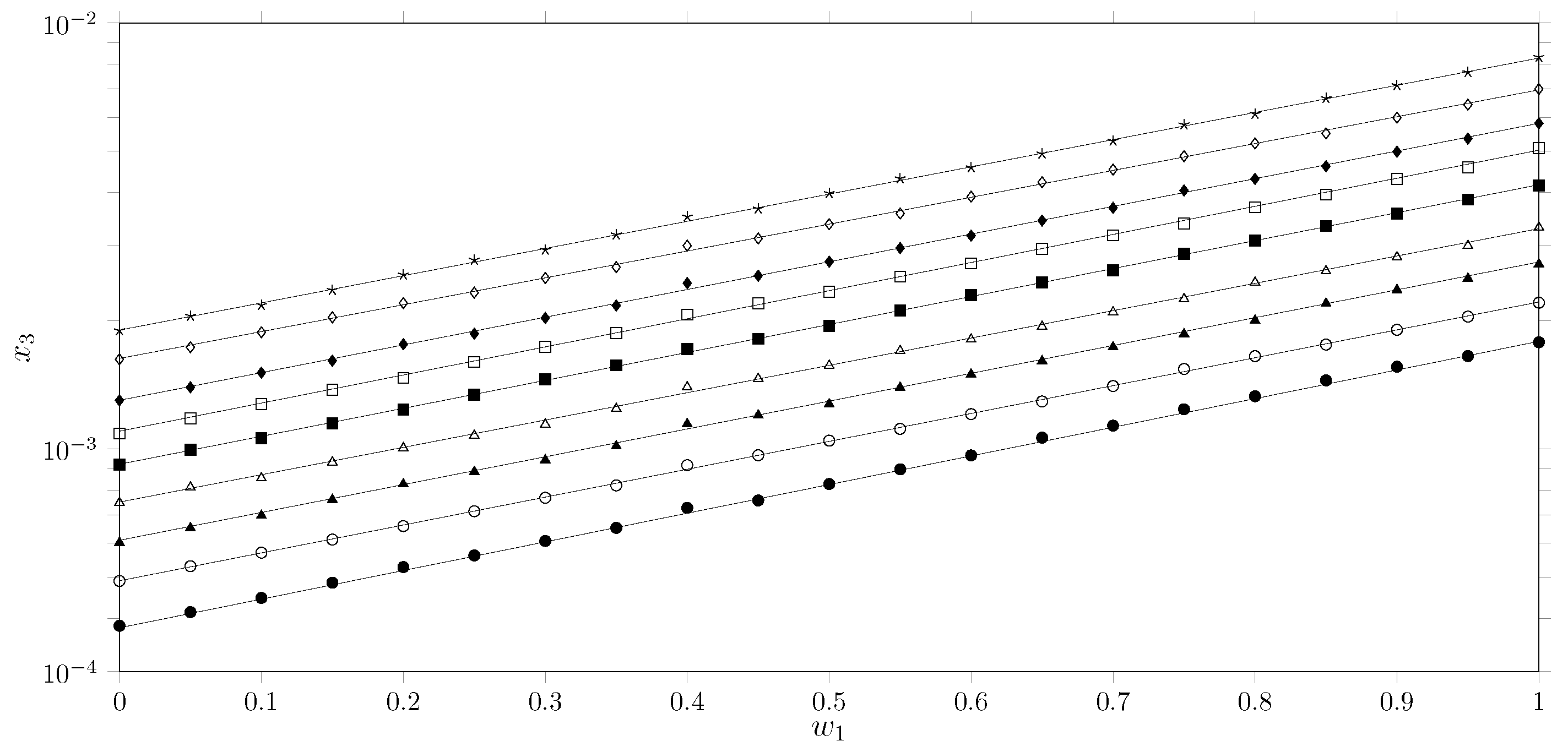
2. Results and Discussion
| w1 c | Temperature/K b | ||||
|---|---|---|---|---|---|
| 278.15 | 283.15 | 288.15 | 293.15 | 298.15 | |
| 0.00 | 3.84 ± 0.033 | 4.89 ± 0.05 | 6.02 ± 0.01 | 7.47 ± 0.04 d | 9.18 ± 0.07 d |
| 0.05 | 4.14 ± 0.05 | 5.3 ± 0.05 | 6.52 ± 0.09 | 8.12 ± 0.04 | 9.94 ± 0.07 |
| 0.10 | 4.47 ± 0.05 | 5.7 ± 0.08 | 6.97 ± 0.07 | 8.53 ± 0.03 | 10.58 ± 0.13 |
| 0.15 | 4.85 ± 0.06 | 6.12 ± 0.09 | 7.6 ± 0.09 | 9.3 ± 0.14 | 11.47 ± 0.22 |
| 0.20 | 5.28 ± 0.04 | 6.59 ± 0.06 | 8.26 ± 0.07 | 10.04 ± 0.13 | 12.37 ± 0.19 |
| 0.25 | 5.62 ± 0.09 | 7.14 ± 0.04 | 8.83 ± 0.1 | 10.75 ± 0.14 | 13.4 ± 0.19 |
| 0.30 | 6.08 ± 0.10 | 7.68 ± 0.05 | 9.41 ± 0.14 | 11.42 ± 0.05 | 14.56 ± 0.07 |
| 0.35 | 6.52 ± 0.08 | 8.2 ± 0.03 | 10.15 ± 0.23 | 12.42 ± 0.16 | 15.72 ± 0.17 |
| 0.40 | 7.27 ± 0.14 | 9.15 ± 0.10 | 11.44 ± 0.03 | 13.96 ± 0.05 | 17.16 ± 0.24 |
| 0.45 | 7.57 ± 0.02 | 9.66 ± 0.18 | 11.99 ± 0.11 | 14.61 ± 0.15 | 18.13 ± 0.22 |
| 0.50 | 8.27 ± 0.11 | 10.46 ± 0.08 | 12.73 ± 0.08 | 15.69 ± 0.29 | 19.44 ± 0.36 |
| 0.55 | 8.96 ± 0.08 | 11.14 ± 0.10 | 13.93 ± 0.16 | 16.99 ± 0.17 | 21.11 ± 0.36 |
| 0.60 | 9.65 ± 0.12 | 12.06 ± 0.04 | 14.96 ± 0.12 | 18.07 ± 0.14 | 22.96 ± 0.21 |
| 0.65 | 10.62 ± 0.23 | 12.92 ± 0.12 | 16.08 ± 0.29 | 19.36 ± 0.21 | 24.6 ± 0.5 |
| 0.70 | 11.33 ± 0.23 | 14.04 ± 0.13 | 17.34 ± 0.27 | 20.94 ± 0.13 | 26.28 ± 0.3 |
| 0.75 | 12.38 ± 0.22 | 15.40 ± 0.06 | 18.6 ± 0.14 | 22.48 ± 0.28 | 28.73 ± 0.26 |
| 0.80 | 13.29 ± 0.26 | 16.51 ± 0.17 | 20.01 ± 0.25 | 24.58 ± 0.15 | 30.81 ± 0.08 |
| 0.85 | 14.48 ± 0.21 | 17.57 ± 0.30 | 21.95 ± 0.23 | 26.13 ± 0.4 | 33.35 ± 0.4 |
| 0.90 | 15.6 ± 0.1 | 19.03 ± 0.29 | 23.6 ± 0.3 | 28.18 ± 0.4 | 35.68 ± 0.4 |
| 0.95 | 16.51 ± 0.09 | 20.44 ± 0.20 | 25.11 ± 0.19 | 29.97 ± 0.06 | 38.49 ± 0.31 |
| 1.00 | 17.8 ± 0.35 e | 22.04 ± 0.11 e | 27.14 ± 0.13 e | 33.1 ± 0.32 e | 41.52 ± 0.3 e |
| w1 c | Temperature/K b | ||||
| 303.15 | 308.15 | 313.15 | 318.15 | ||
| 0.00 | 10.87 ± 0.14 c | 12.99 ± 0.23 d | 16.23 ± 0.16 d | 18.96 ± 0.15 | |
| 0.05 | 11.78 ± 0.09 | 13.95 ± 0.24 | 17.32 ± 0.09 | 20.51 ± 0.19 | |
| 0.10 | 12.74 ± 0.19 | 15.09 ± 0.13 | 18.77 ± 0.15 | 21.73 ± 0.07 | |
| 0.15 | 13.77 ± 0.19 | 16.1 ± 0.14 | 20.36 ± 0.14 | 23.59 ± 0.15 | |
| 0.20 | 14.67 ± 0.04 | 17.61 ± 0.08 | 21.98 ± 0.14 | 25.62 ± 0.34 | |
| 0.25 | 15.99 ± 0.19 | 18.63 ± 0.20 | 23.26 ± 0.21 | 27.76 ± 0.13 | |
| 0.30 | 17.36 ± 0.12 | 20.29 ± 0.4 | 25.17 ± 0.25 | 29.32 ± 0.33 | |
| 0.35 | 18.70 ± 0.15 | 21.7 ± 0.17 | 26.7 ± 0.07 | 31.82 ± 0.4 | |
| 0.40 | 20.66 ± 0.25 | 24.49 ± 0.15 | 30.01 ± 0.2 | 35.08 ± 0.5 | |
| 0.45 | 21.95 ± 0.15 | 25.49 ± 0.4 | 31.18 ± 0.4 | 36.61 ± 0.24 | |
| 0.50 | 23.40 ± 0.29 | 27.51 ± 0.13 | 33.69 ± 0.4 | 39.82 ± 0.32 | |
| 0.55 | 25.4 ± 0.5 | 29.61 ± 0.17 | 35.69 ± 0.24 | 43.12 ± 0.23 | |
| 0.60 | 27.25 ± 0.24 | 31.65 ± 0.24 | 39.1 ± 0.49 | 45.76 ± 0.8 | |
| 0.65 | 29.46 ± 0.16 | 34.34 ± 0.21 | 42.27 ± 0.36 | 49.29 ± 0.7 | |
| 0.70 | 31.71 ± 0.54 | 36.81 ± 0.4 | 45.24 ± 0.23 | 52.83 ± 0.6 | |
| 0.75 | 33.84 ± 0.24 | 40.43 ± 0.28 | 48.66 ± 0.13 | 57.7 ± 0.6 | |
| 0.80 | 36.9 ± 0.4 | 43.03 ± 0.5 | 52.14 ± 0.7 | 61.1 ± 0.7 | |
| 0.85 | 39.6 ± 0.5 | 46.09 ± 0.2 | 55.04 ± 0.05 | 66.53 ± 0.8 | |
| 0.90 | 43.0 ± 0.5 | 49.87 ± 0.5 | 59.91 ± 0.6 | 71.36 ± 1 | |
| 0.95 | 45.77 ± 0.13 | 53.49 ± 0.4 | 64.27 ± 1.1 | 76.53 ± 0.9 | |
| 1.00 | 50.8 ± 0.9 e | 58.12 ± 0.4 e | 69.95 ± 1.7 | 83.07 ± 0.6 e | |
2.1. Calorimetric Analysis of SMT
| Sample | Enthalpy a, | Temperature a, | Ref. |
|---|---|---|---|
| Original sample | 33.41 ± 0.3 | 468.9 ± 0.5 | This work |
| 33.57 ± 0.3 | 468.5 ± 0.5 | [26] | |
| 468.6 | [37] | ||
| 31.1 | 471.7 | [38] | |
| 39.2 | 469 | [39] | |
| Acetonitrile | 33.57 ± 0.3 | 467.9 ± 0.5 | This work |
| 34.27 ± 0.3 | 468.7 ± 0.5 | [26] | |
| Acetonitrile () | 32.27 ± 0.3 | 467.9 ± 0.5 | This work |
| Ethanol | 33.27 ± 0.3 | 469.7 ± 0.5 | This work |
2.2. Thermodynamic Analysis of the Solubility of SMT in Cosolvent Mixtures {MeCN (1) + EtOH (2)}
- Sector I: ;
- Sector II: ;
- Sector III: ;
- Sector IV: ;
- Sector V: ;
- Sector VI: ;
- Sector VII: ;
- Sector VIII: .

2.3. Thermodynamic Functions of Mixing of SMT in Cosolvent Mixtures {MeCN (1) + EtOH (2)}
2.4. Enthalpic Compensation of the SMT Solution Process in {MeCN (1) + EtOH (2)} Cosolvent Mixtures
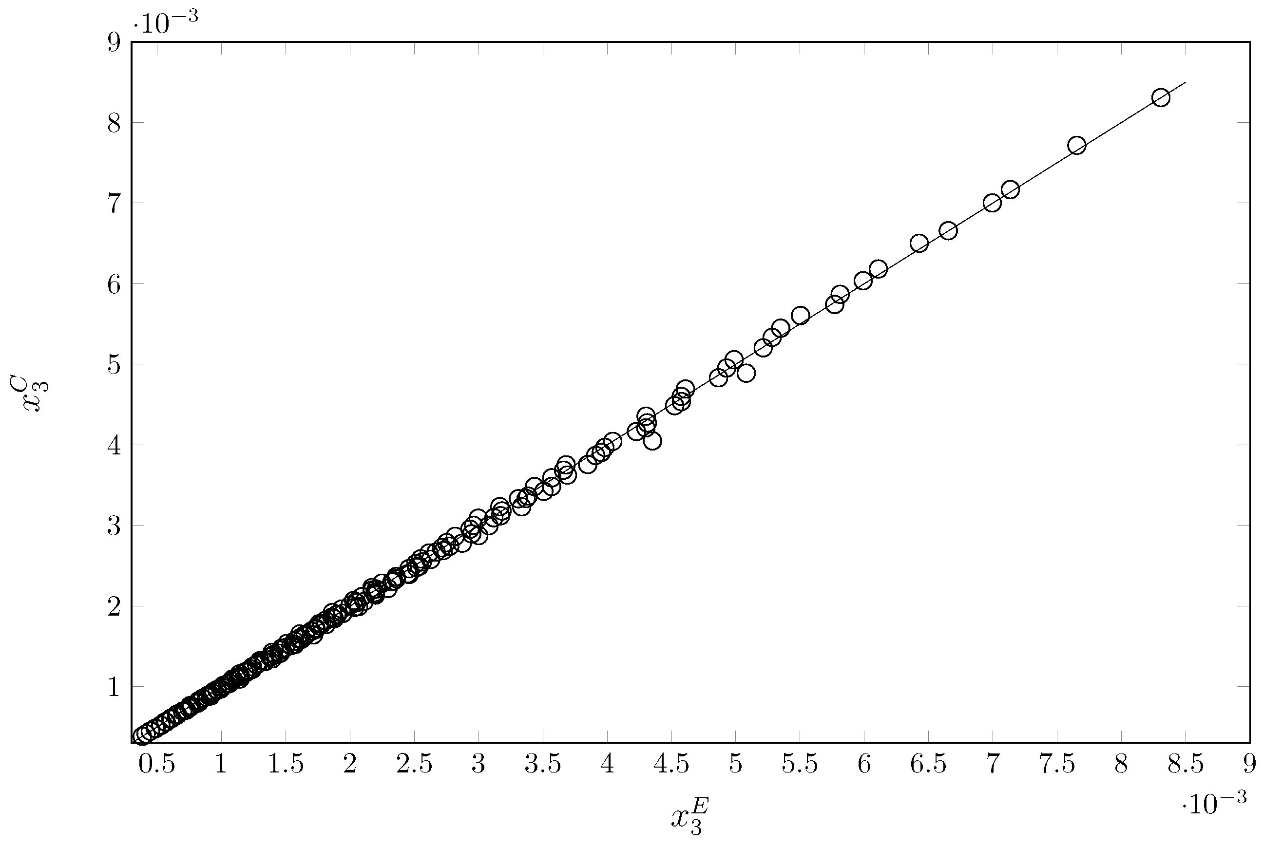
3. Computational Validation
4. Materials and Methods
4.1. Reagents
4.2. Solubility Determination
4.3. Calorimetric Study
5. Conclusions
Author Contributions
Funding
Institutional Review Board Statement
Informed Consent Statement
Data Availability Statement
Acknowledgments
Conflicts of Interest
Abbreviations
| Hydrogen bond donor Lewis acidity | |
| Hydrogen bond acceptor Lewis basicity | |
| Solubility parameter | |
| Enthalpy of fusion | |
| Melting point | |
| Apparent enthalpy of solution | |
| Apparent Gibbs energy of solution | |
| Apparent entropy of solution | |
| Enthalpic contribution to | |
| Entropic contribution to | |
| Apparent enthalpy of mixing | |
| Apparent Gibbs energy of mixing | |
| Apparent entropy of mixing | |
| DCS | Differential scanning calorimetry |
| EtOH | Ethanol |
| MeCN | Acetonitrile |
| SMT | Sulfamethazine |
| MRD | Mean relative deviation |
| Mass fraction of acetonitrile | |
| Mole fraction of SMT |
References
- Ovung, A.; Bhattacharyya, J. Sulfonamide drugs: Structure, antibacterial property, toxicity, and biophysical interactions. Biophys. Rev. 2021, 13, 259–272. [Google Scholar] [CrossRef] [PubMed]
- Kidwai, M.; Saxena, S.; Rastogi, S.; Venkataramanan, R. Pyrimidines as Anti-Infective Agents. Curr. Med. Chem.-Anti-Infect. Agents 2003, 2, 269–286. [Google Scholar] [CrossRef]
- Kalkut, G. Sulfonamides and Trimethoprim: The Journal as a University. Cancer Investig. 1998, 16, 612–615. [Google Scholar] [CrossRef] [PubMed]
- Hamscher, G. Veterinary Pharmaceuticals. In Organic Pollutants in the Water Cycle; John Wiley & Sons, Ltd.: Hoboken, NJ, USA, 2006. [Google Scholar] [CrossRef]
- Zhang, X.; Xing, H.; Zhao, Y.; Ma, Z. Pharmaceutical Dispersion Techniques for Dissolution and Bioavailability Enhancement of Poorly Water-Soluble Drugs. Pharmaceutics 2018, 10, 74. [Google Scholar] [CrossRef]
- Sheen, P.C.; Khetarpal, V.K.; Cariola, C.M.; Rowlings, C.E. Formulation studies of a poorly water-soluble drug in solid dispersions to improve bioavailability. Int. J. Pharm. 1995, 118, 221–227. [Google Scholar] [CrossRef]
- Yaws, C.L.; Narasimhan, P.K.; Lou, H.H.; Pike, R.W. Solubility of Chemicals in Water. In Water Encyclopedia; John Wiley & Sons, Ltd.: Hoboken, NJ, USA, 2005; pp. 555–559. [Google Scholar] [CrossRef]
- Martin, A.; Busramante, P.; Chun, A. Physical Pharmacy and Pharmaceutical Sciences, 4th ed.; Lippincott Williams & Wilkins: Ambler, PA, USA, 2011. [Google Scholar]
- Nyamba, I.; Sombié, C.B.; Yabré, M.; Zimé-Diawara, H.; Yaméogo, J.; Ouédraogo, S.; Lechanteur, A.; Semdé, R.; Evrard, B. Pharmaceutical approaches for enhancing solubility and oral bioavailability of poorly soluble drugs. Eur. J. Pharm. Biopharm. 2024, 204, 114513. [Google Scholar] [CrossRef]
- Yalkowsky, S.H. Solubility and Solubilization in Aqueous Media; ACS Personal Reference Book; American Chemical Society: Washington, DC, USA, 1999. [Google Scholar]
- Rubino, J.; Yalkowsky, S. Cosolvency and cosolvent polarity. Pharm. Res. 1987, 4, 220–230. [Google Scholar] [CrossRef]
- Gao, H.; Williams, J.; Carrier, S.; Brummel, C.L. Bioanalytical Solutions to Acetonitrile Shortages. Bioanalysis 2010, 2, 1627–1640. [Google Scholar] [CrossRef] [PubMed]
- Buonomenna, M.G.; Bae, J. Organic Solvent Nanofiltration in Pharmaceutical Industry. Sep. Purif. Rev. 2015, 44, 157–182. [Google Scholar] [CrossRef]
- Le Daré, B.; Gicquel, T. Therapeutic Applications of Ethanol: A Review. J. Pharm. Pharm. Sci. 2019, 22, 525–535. [Google Scholar] [CrossRef]
- Lee, J.E.; Jayakody, J.T.M.; Kim, J.I.; Jeong, J.W.; Choi, K.M.; Kim, T.S.; Seo, C.; Azimi, I.; Hyun, J.; Ryu, B. The Influence of Solvent Choice on the Extraction of Bioactive Compounds from Asteraceae: A Comparative Review. Foods 2024, 13, 3151. [Google Scholar] [CrossRef] [PubMed]
- Chakraborty, S.; Ghosh, K.; Biswas, S.; Roy Chaudhuri, C.; Roy Chowdhury, A.; Chakravarty, R.; Nayak, D.; Kaushik, S.; Barui, A.; Kundu, S. Spectroscopic investigation of hydrogen bond network stability and microplastic leaching in ethanol-based potentised medicines at extreme dilutions during prolonged plastic storage. Spectrochim. Acta Part A Mol. Biomol. Spectrosc. 2025, 343, 126615. [Google Scholar] [CrossRef] [PubMed]
- McConvey, I.F.; Woods, D.; Lewis, M.; Gan, Q.; Nancarrow, P. The Importance of Acetonitrile in the Pharmaceutical Industry and Opportunities for its Recovery from Waste. Org. Process Res. Dev. 2012, 16, 612–624. [Google Scholar] [CrossRef]
- Zhong, P.; Zhang, L.; Luo, N.; Liu, J. Advances in the Application of Acetonitrile in Organic Synthesis since 2018. Catalysts 2023, 13, 761. [Google Scholar] [CrossRef]
- Wilson, M. Purification Methods. In Medicines from Animal Cell Culture; John Wiley & Sons, Ltd.: Hoboken, NJ, USA, 2007; Chapter 18; pp. 347–370. [Google Scholar] [CrossRef]
- Henry, R.J. The mode of action of sulfonamides. Bacteriol. Rev. 1943, 7, 175–262. [Google Scholar] [CrossRef]
- Jouyban, A. Review of the Cosolvency Models for Predicting Drug Solubility in Solvent Mixtures: An Update. J. Pharm. Pharm. Sci. 2019, 22, 466–485. [Google Scholar] [CrossRef]
- Gumbleton, M.; Sneader, W. Pharmacokinetic considerations in rational drug design. Clin. Pharmacokinet. 1994, 26, 161–168. [Google Scholar] [CrossRef]
- Jafari Ozumchelouei, E.; Hamidian, A.H.; Zhang, Y.; Yang, M. Physicochemical properties of antibiotics: A review with an emphasis on detection in the aquatic environment. Water Environ. Res. 2020, 92, 177–188. [Google Scholar] [CrossRef]
- Hoff, R.; Kist, T.B.L. Analysis of sulfonamides by capillary electrophoresis. J. Sep. Sci. 2009, 32, 854–866. [Google Scholar] [CrossRef]
- Delgado, D.R.; Martínez, F. Solubility and solution thermodynamics of sulfamerazine and sulfamethazine in some ethanol+water mixtures. Fluid Phase Equilibria 2013, 360, 88–96. [Google Scholar] [CrossRef]
- Delgado, D.R.; Castro-Camacho, J.K.; Ortiz, C.P.; Caviedes-Rubio, D.I.; Martinez, F. Dissolution Thermodynamics of the Solubility of Sulfamethazine in (Acetonitrile + 1-Propanol) Mixtures. Pharmaceuticals 2024, 17, 1594. [Google Scholar] [CrossRef] [PubMed]
- Antina, L.A.; Kalyagin, A.A.; Ksenofontov, A.A.; Pavelyev, R.S.; Lodochnikova, O.A.; Islamov, D.R.; Antina, E.V.; Berezin, M.B. Effect of polar protic solvents on the photophysical properties of bis(BODIPY) dyes. J. Mol. Liq. 2021, 337, 116416. [Google Scholar] [CrossRef]
- Reimers, J.R.; Hall, L.E. The Solvation of Acetonitrile. J. Am. Chem. Soc. 1999, 121, 3730–3744. [Google Scholar] [CrossRef]
- Delgado, D.R.; Ortiz, C.P.; Martínez, F.; Jouyban, A. Equilibrium solubility of sulfadiazine in (acetonitrile+ ethanol) mixtures: Determination, correlation, dissolution thermodynamics, and preferential solvation. Int. J. Thermophys. 2024, 45, 129. [Google Scholar] [CrossRef]
- Ortiz, C.P.; Caviedes-Rubio, D.I.; Martinez, F.; Delgado, D.R. Solubility of Sulfamerazine in Acetonitrile + Ethanol Cosolvent Mixtures: Thermodynamics and Modeling. Molecules 2024, 29, 5294. [Google Scholar] [CrossRef]
- Taft, R.W.; Kamlet, M.J. The solvatochromic comparison method. 2. The .alpha.-scale of solvent hydrogen-bond donor (HBD) acidities. J. Am. Chem. Soc. 1976, 98, 2886–2894. [Google Scholar] [CrossRef]
- Kamlet, M.J.; Taft, R.W. The solvatochromic comparison method. I. The .beta.-scale of solvent hydrogen-bond acceptor (HBA) basicities. J. Am. Chem. Soc. 1976, 98, 377–383. [Google Scholar] [CrossRef]
- Vrhovšek, A.; Gereben, O.; Jamnik, A.; Pusztai, L. Hydrogen Bonding and Molecular Aggregates in Liquid Methanol, Ethanol, and 1-Propanol. J. Phys. Chem. B 2011, 115, 13473–13488. [Google Scholar] [CrossRef] [PubMed]
- Alavi, S.; Takeya, S.; Ohmura, R.; Woo, T.K.; Ripmeester, J.A. Hydrogen-bonding alcohol-water interactions in binary ethanol, 1-propanol, and 2-propanol+methane structure II clathrate hydrates. J. Chem. Phys. 2010, 133, 074505. [Google Scholar] [CrossRef]
- Xu, R.; Tang, G.; Fu, X.L.; Yan, Q.L. Phase Equilibrium and Thermodynamics Studies on Dissolving Processes of Energetic Compounds: A Brief Review. Cryst. Growth Des. 2022, 22, 909–936. [Google Scholar] [CrossRef]
- Brittain, H.G.; Grant, D.J.; Myrdal, P.B. Effects of polymorphism and solid-state solvation on solubility and dissolution rate. In Polymorphism in Pharmaceutical Solids; CRC Press: Boca Raton, FL, USA, 2018; pp. 448–492. [Google Scholar]
- Khattab, F.I. Thermal analysis of pharmaceutical compounds. V. The use of differential scanning calorimetry in the analysis of certain pharmaceuticals. Thermochim. Acta 1983, 61, 253–268. [Google Scholar] [CrossRef]
- Sunwoo, C.; Eisen, H. Solubility parameter of selected sulfonamides. J. Pharm. Sci. 1971, 60, 238–244. [Google Scholar] [CrossRef] [PubMed]
- Martínez, F.; Ávila, C.M.; Gómez, A. Thermodynamic study of the solubility of some sulfonamides in cyclohexane. J. Braz. Chem. Soc. 2003, 14, 803–808. [Google Scholar] [CrossRef]
- Krug, R.R.; Hunter, W.G.; Grieger, R.A. Enthalpy-entropy compensation. 1. Some fundamental statistical problems associated with the analysis of van’t Hoff and Arrhenius data. J. Phys. Chem. 1976, 80, 2335–2341. [Google Scholar] [CrossRef]
- Krug, R.R.; Hunter, W.G.; Grieger, R.A. Enthalpy-entropy compensation. 2. Separation of the chemical from the statistical effect. J. Phys. Chem. 1976, 80, 2341–2351. [Google Scholar] [CrossRef]
- Perlovich, G.L.; Kurkov, S.V.; Bauer-Brandl, A. Thermodynamics of solutions: II. Flurbiprofen and diflunisal as models for studying solvation of drug substances. Eur. J. Pharm. Sci. 2003, 19, 423–432. [Google Scholar] [CrossRef]
- Perlovich, G.L.; Kurkov, S.V.; Kinchin, A.N.; Bauer-Brandl, A. Thermodynamics of solutions III: Comparison of the solvation of (+)-naproxen with other NSAIDs. Eur. J. Pharm. Biopharm. 2004, 57, 411–420. [Google Scholar] [CrossRef]
- Perlovich, G.L.; Ryzhakov, A.M.; Strakhova, N.N.; Kazachenko, V.P.; Schaper, K.J.; Raevsky, O.A. Thermodynamic aspects of solubility and partitioning processes of some sulfonamides in the solvents modeling biological media. J. Chem. Thermodyn. 2014, 69, 56–65. [Google Scholar] [CrossRef]
- Perlovich, G.L. Thermodynamic characteristics of cocrystal formation and melting points for rational design of pharmaceutical two-component systems. CrystEngComm 2015, 17, 7019–7028. [Google Scholar] [CrossRef]
- Myers, D.B.; Scott, R.L. Thermodynamic functions for nonelectrolyte solutions. Ind. Eng. Chem. 1963, 55, 43–46. [Google Scholar] [CrossRef]
- Koga, Y. Mixing Schemes in Aqueous Solutions of Nonelectrolytes: A Thermodynamic Approach. J. Phys. Chem. 1996, 100, 5172–5181. [Google Scholar] [CrossRef]
- DrugBank. Sulfamethazine. Available online: https://go.drugbank.com/drugs/DB01582 (accessed on 15 August 2025).
- Mohamed Ameen, H.; Kunsági-Máté, S.; Szente, L.; Lemli, B. Encapsulation of sulfamethazine by native and randomly methylated β-cyclodextrins: The role of the dipole properties of guests. Spectrochim. Acta Part A Mol. Biomol. Spectrosc. 2020, 225, 117475. [Google Scholar] [CrossRef] [PubMed]
- Wypych, G. Handbook of Solvents; Noyes Publications: Norwich, NY, USA, 2001. [Google Scholar]
- Tisza, L. The thermodynamics of phase equilibrium. Ann. Phys. 1961, 13, 1–92. [Google Scholar] [CrossRef]
- Prausnitz, J.; Lichtenthaler, R.; de Azevedo, E. Molecular Thermodynamics of Fluid-Phase Equilibria; Pearson Education: London, UK, 1998. [Google Scholar]
- Hildebrand, J.H.; Prausnitz, J.M.; Scott, R.L. Regular and Related Solutions: The Solubility of Gases, Liquids, and Solids; Van Nostrand Reinhold: New York, NY, USA, 1970. [Google Scholar]
- Silbey, R.J.; Alberty, R.A.; Papadantonakis, G.A.; Bawendi, M.G. Physical Chemistry; John Wiley & Sons: Hoboken, NJ, USA, 2022. [Google Scholar]
- Deagan, A.I.; Read, C.M.; Crane-Robinson, C. Enthalpy–entropy compensation: The role of solvation. Eur. Biophys. J. 2017, 46, 301–308. [Google Scholar] [CrossRef]
- Ryde, U. A fundamental view of enthalpy–entropy compensation. MedChemComm 2014, 5, 1324–1336. [Google Scholar] [CrossRef]
- Bustamante, P.; Romero, S.; Peña, A.; Escalera, B.; Reillo, A. Enthalpy-entropy compensation for the solubility of drugs in solvent mixtures: Paracetamol, acetanilide, and nalidixic acid in dioxane–water. J. Pharm. Sci. 1998, 87, 1590–1596. [Google Scholar] [CrossRef]
- Bustamante, C.; Bustamante, P. Nonlinear enthalpy–entropy compensation for the solubility of phenacetin in dioxane–water solvent mixtures. J. Pharm. Sci. 1996, 85, 1109–1111. [Google Scholar] [CrossRef]
- Grant, D.; Mehdizadeh, M.; Chow, A.L.; Fairbrother, J. Non-linear van’t Hoff solubility-temperature plots and their pharmaceutical interpretation. Int. J. Pharm. 1984, 18, 25–38. [Google Scholar] [CrossRef]
- Fathi-Azarbayjani, A.; Abbasi, M.; Vaez-Gharamaleki, J.; Jouyban, A. Measurement and correlation of deferiprone solubility: Investigation of solubility parameter and application of van’t Hoff equation and Jouyban–Acree model. J. Mol. Liq. 2016, 215, 339–344. [Google Scholar] [CrossRef]
- Machatha, S.G.; Yalkowsky, S.H. Estimation of the ethanol/water solubility profile from the octanol/water partition coefficient. Int. J. Pharm. 2004, 286, 111–115. [Google Scholar] [CrossRef]
- Alyamani, M.; Alshehri, S.; Alam, P.; Ud Din Wani, S.; Ghoneim, M.M.; Shakeel, F. Solubility and solution thermodynamics of raloxifene hydrochloride in various (DMSO+water) compositions. Alex. Eng. J. 2022, 61, 9119–9128. [Google Scholar] [CrossRef]
- Yalkowsky, S.; Wu, M. Estimation of the ideal solubility (crystal–liquid fugacity ratio) of organic compounds. J. Pharm. Sci. 2010, 99, 1100–1106. [Google Scholar] [CrossRef]
- Beerbower, A.; Wu, P.; Martin, A. Expanded Solubility Parameter Approach I: Naphthalene and Benzoic Acid in Individual Solvents. J. Pharm. Sci. 1984, 73, 179–188. [Google Scholar] [CrossRef]
- Echeagaray-Solorza, N.Y.; Díaz-Romero, Y.; Tobón Galicia, L.G.; Tejada Paniagua, S. Predicting drug solubility in cosolvent systems using artificial intelligence algorithms. Rev. Colomb. Cienc. Químico-Farm. 2025, 54, 131–144. [Google Scholar] [CrossRef]
- Higuchi, T.; Connors, K. Advances in Analytical Chemistry and Instrumentation; Interscience Publishers, Inc.: Hoboken, NJ, USA, 1965. [Google Scholar]
- Dittert, L.W.; Higuchi, T.; Reese, D.R. Phase solubility technique in studying the formation of complex salts of triamterene. J. Pharm. Sci. 1964, 53, 1325–1328. [Google Scholar] [CrossRef]







| w1 b | c | c | ||||
|---|---|---|---|---|---|---|
| /kJ· | /kJ· | /J·· | /kJ· | |||
| 0.00 | 17.39 ± 0.16 | 29.21 ± 0.27 | 39.7 ± 1.7 | 11.82 ± 0.31 | 0.712 | 0.288 |
| 0.05 | 17.2 ± 0.16 | 29.1 ± 0.29 | 40.0 ± 2.0 | 11.9 ± 0.3 | 0.710 | 0.290 |
| 0.10 | 17.03 ± 0.16 | 29.09 ± 0.24 | 40.5 ± 1.5 | 12.06 ± 0.29 | 0.707 | 0.293 |
| 0.15 | 16.83 ± 0.2 | 29.05 ± 0.3 | 41.0 ± 2.3 | 12.2 ± 0.4 | 0.704 | 0.296 |
| 0.20 | 16.64 ± 0.15 | 29.04 ± 0.25 | 41.7 ± 1.5 | 12.4 ± 0.29 | 0.701 | 0.299 |
| 0.25 | 16.46 ± 0.18 | 29.03 ± 0.3 | 42.2 ± 2.1 | 12.6 ± 0.3 | 0.698 | 0.302 |
| 0.30 | 16.28 ± 0.17 | 29.02 ± 0.31 | 42.8 ± 2.2 | 12.7 ± 0.4 | 0.695 | 0.305 |
| 0.35 | 16.10 ± 0.17 | 29.00 ± 0.31 | 43.4 ± 2.2 | 12.9 ± 0.4 | 0.692 | 0.308 |
| 0.40 | 15.83 ± 0.16 | 28.92 ± 0.18 | 44.0 ± 1.0 | 13.08 ± 0.24 | 0.689 | 0.311 |
| 0.45 | 15.72 ± 0.16 | 28.84 ± 0.28 | 44.1 ± 1.9 | 13.13 ± 0.33 | 0.687 | 0.313 |
| 0.50 | 15.53 ± 0.18 | 28.83 ± 0.19 | 44.7 ± 1.2 | 13.29 ± 0.26 | 0.684 | 0.316 |
| 0.55 | 15.34 ± 0.16 | 28.71 ± 0.24 | 44.9 ± 1.4 | 13.37 ± 0.29 | 0.682 | 0.318 |
| 0.60 | 15.16 ± 0.15 | 28.65 ± 0.31 | 45.3 ± 2.1 | 13.5 ± 0.3 | 0.680 | 0.320 |
| 0.65 | 14.97 ± 0.19 | 28.57 ± 0.31 | 45.7 ± 2.3 | 13.6 ± 0.4 | 0.678 | 0.322 |
| 0.70 | 14.80 ± 0.18 | 28.46 ± 0.25 | 45.9 ± 1.7 | 13.66 ± 0.31 | 0.676 | 0.324 |
| 0.75 | 14.59 ± 0.13 | 28.4 ± 0.28 | 46.4 ± 1.7 | 13.81 ± 0.31 | 0.673 | 0.327 |
| 0.80 | 14.42 ± 0.16 | 28.22 ± 0.26 | 46.4 ± 1.6 | 13.8 ± 0.3 | 0.672 | 0.328 |
| 0.85 | 14.24 ± 0.16 | 28.05 ± 0.33 | 46.4 ± 2.4 | 13.8 ± 0.4 | 0.670 | 0.330 |
| 0.90 | 14.05 ± 0.16 | 28.1 ± 0.29 | 47.2 ± 1.9 | 14.05 ± 0.33 | 0.667 | 0.333 |
| 0.95 | 13.88 ± 0.11 | 28.26 ± 0.31 | 48.3 ± 1.9 | 14.38 ± 0.33 | 0.663 | 0.337 |
| 1.00 | 13.66 ± 0.16 | 28.5 ± 0.6 | 50 ± 6 | 14.8 ± 0.6 | 0.658 | 0.342 |
| b | ||||
|---|---|---|---|---|
| /kJ· | /kJ· | /J· | /kJ· | |
| 0.00 | 6.1 ± 0.19 | 4.4 ± 0.4 | −5.9 ± 2.0 | −1.74 ± 0.33 |
| 0.05 | 5.91 ± 0.19 | 4.2 ± 0.4 | −5.6 ± 2.2 | −1.7 ± 0.4 |
| 0.10 | 5.74 ± 0.19 | 4.2 ± 0.4 | −5.0 ± 1.8 | −1.49 ± 0.31 |
| 0.15 | 5.54 ± 0.22 | 4.2 ± 0.4 | −4.5 ± 2.5 | −1.3 ± 0.4 |
| 0.20 | 5.35 ± 0.18 | 4.2 ± 0.4 | −3.9 ± 1.8 | −1.16 ± 0.31 |
| 0.25 | 5.17 ± 0.2 | 4.2 ± 0.4 | −3.3 ± 2.3 | −1.0 ± 0.4 |
| 0.30 | 4.99 ± 0.20 | 4.2 ± 0.4 | −2.8 ± 2.4 | −0.8 ± 0.4 |
| 0.35 | 4.81 ± 0.20 | 4.2 ± 0.4 | −2.2 ± 2.4 | −0.7 ± 0.4 |
| 0.40 | 4.54 ± 0.18 | 4.1 ± 0.4 | −1.6 ± 1.4 | −0.48 ± 0.26 |
| 0.45 | 4.43 ± 0.19 | 4.0 ± 0.4 | −1.5 ± 2.1 | −0.4 ± 0.3 |
| 0.50 | 4.24 ± 0.2 | 4.0 ± 0.4 | −0.9 ± 1.6 | −0.27 ± 0.28 |
| 0.55 | 4.05 ± 0.19 | 3.9 ± 0.4 | −0.6 ± 1.7 | −0.19 ± 0.3 |
| 0.60 | 3.87 ± 0.18 | 3.8 ± 0.4 | −0.3 ± 2.3 | −0.1 ± 0.4 |
| 0.65 | 3.68 ± 0.21 | 3.7 ± 0.4 | 0.1 ± 2.5 | 0.0 ± 0.4 |
| 0.70 | 3.51 ± 0.20 | 3.6 ± 0.4 | 0.3 ± 1.9 | 0.10 ± 0.32 |
| 0.75 | 3.30 ± 0.16 | 3.6 ± 0.4 | 0.8 ± 1.9 | 0.25 ± 0.33 |
| 0.80 | 3.13 ± 0.19 | 3.4 ± 0.4 | 0.8 ± 1.9 | 0.24 ± 0.32 |
| 0.85 | 2.95 ± 0.19 | 3.2 ± 0.4 | 0.9 ± 2.6 | 0.3 ± 0.4 |
| 0.90 | 2.76 ± 0.19 | 3.3 ± 0.4 | 1.7 ± 2.1 | 0.5 ± 0.3 |
| 0.95 | 2.59 ± 0.15 | 3.4 ± 0.4 | 2.7 ± 2.2 | 0.8 ± 0.3 |
| 1.00 | 2.37 ± 0.19 | 3.6 ± 0.6 | 4 ± 6 | 1.2 ± 0.6 |
Disclaimer/Publisher’s Note: The statements, opinions and data contained in all publications are solely those of the individual author(s) and contributor(s) and not of MDPI and/or the editor(s). MDPI and/or the editor(s) disclaim responsibility for any injury to people or property resulting from any ideas, methods, instructions or products referred to in the content. |
© 2025 by the authors. Licensee MDPI, Basel, Switzerland. This article is an open access article distributed under the terms and conditions of the Creative Commons Attribution (CC BY) license (https://creativecommons.org/licenses/by/4.0/).
Share and Cite
Caviedes-Rubio, D.I.; Buendía-Atencio, C.; Cardenas-Torres, R.E.; Ortiz, C.P.; Martinez, F.; Delgado, D.R. Solubility of Sulfamethazine in Acetonitrile–Ethanol Cosolvent Mixtures: Thermodynamic Analysis and Mathematical Modeling. Molecules 2025, 30, 3590. https://doi.org/10.3390/molecules30173590
Caviedes-Rubio DI, Buendía-Atencio C, Cardenas-Torres RE, Ortiz CP, Martinez F, Delgado DR. Solubility of Sulfamethazine in Acetonitrile–Ethanol Cosolvent Mixtures: Thermodynamic Analysis and Mathematical Modeling. Molecules. 2025; 30(17):3590. https://doi.org/10.3390/molecules30173590
Chicago/Turabian StyleCaviedes-Rubio, Diego Ivan, Cristian Buendía-Atencio, Rossember Edén Cardenas-Torres, Claudia Patricia Ortiz, Fleming Martinez, and Daniel Ricardo Delgado. 2025. "Solubility of Sulfamethazine in Acetonitrile–Ethanol Cosolvent Mixtures: Thermodynamic Analysis and Mathematical Modeling" Molecules 30, no. 17: 3590. https://doi.org/10.3390/molecules30173590
APA StyleCaviedes-Rubio, D. I., Buendía-Atencio, C., Cardenas-Torres, R. E., Ortiz, C. P., Martinez, F., & Delgado, D. R. (2025). Solubility of Sulfamethazine in Acetonitrile–Ethanol Cosolvent Mixtures: Thermodynamic Analysis and Mathematical Modeling. Molecules, 30(17), 3590. https://doi.org/10.3390/molecules30173590

