Sign in to use this feature.

Years

Between: -

Subjects

remove_circle_outline
remove_circle_outline
remove_circle_outline
remove_circle_outline
remove_circle_outline
remove_circle_outline
remove_circle_outline
remove_circle_outline
remove_circle_outline

Journals

remove_circle_outline
remove_circle_outline
remove_circle_outline
remove_circle_outline
remove_circle_outline
remove_circle_outline
remove_circle_outline
remove_circle_outline
remove_circle_outline

Article Types

Countries / Regions

remove_circle_outline
remove_circle_outline
remove_circle_outline
remove_circle_outline
remove_circle_outline

Search Results (623)

Search Parameters:
Keywords = cosolvent

Order results
Result details
Results per page
Select all
Export citation of selected articles as:
19 pages, 4682 KB  
Article
Facile Synthesis of Modified Single-Crystal NCM811 Cathode Materials and the Electrochemical Performance for Lithium-Ion Batteries
by Zixiang Wang, Binhao Li, Jing Wang, Kemeng Nong and Shuhui Liu
Inorganics 2026, 14(3), 86; https://doi.org/10.3390/inorganics14030086 - 20 Mar 2026
Viewed by 458
Abstract
To address the capacity decay of NCM811 caused by microcracks and cation disorder during cycling, La, Al, and F tri-doped micron-sized single-crystal NCM811 material with a LiNbO3 coating was synthesized via a facile co-solvent method. Using a mixed glucose–urea thermal solution as [...] Read more.
To address the capacity decay of NCM811 caused by microcracks and cation disorder during cycling, La, Al, and F tri-doped micron-sized single-crystal NCM811 material with a LiNbO3 coating was synthesized via a facile co-solvent method. Using a mixed glucose–urea thermal solution as the reaction medium, metal salts were incorporated, followed by step-wise sintering, ball-milling, heat treatment, and wet-chemical coating. This approach enables atomic-level precursor mixing and ensures homogeneous element distribution. La3+ enlarges the lithium layer spacing to enhance ion diffusion and Al3+ suppresses Ni3+ reduction to Ni2+, mitigating cation mixing and improving conductivity, while F stabilizes the crystal structure via its strong electronegativity. The LiNbO3 coating protects the interface from electrolyte attack, and the single-crystal morphology effectively suppresses microcracking. Compared to unmodified single-crystal NCM811 prepared identically, the modified material exhibits reduced cation disorder, improved crystallinity, and superior thermal stability. Electrochemical tests in half-cells with 1 M LiPF6/(EC/EMC/DMC) electrolyte (2.8–4.3 V) show an initial discharge capacity of 208.32 mAh/g at 0.1 C and 194.05 mAh/g at 1 C. After 200 cycles at 1 C, the capacity retention remains at 92.21%, exceeding the market average. Rate performance is also notably enhanced, with the 5 C discharge capacity increasing from 141.12 mAh/g (unmodified) to 166.81 mAh/g, demonstrating improved kinetics and structural stability. Full article
(This article belongs to the Section Inorganic Materials)
Show Figures

Figure 1

22 pages, 6156 KB  
Article
Systematic Investigation of N-Heterocyclic Carbenes as Innovative Catalysts for the Depolymerization of Polyethylene Terephthalate (PET)
by Lukas Killinger, Ronny Hanich-Spahn, Matthias Rudolph, Tobias Oppenländer, René Döpp and A. Stephen K. Hashmi
Catalysts 2026, 16(3), 273; https://doi.org/10.3390/catal16030273 - 18 Mar 2026
Viewed by 516
Abstract
The rapid growth of polyethylene terephthalate (PET) waste and the limitations of conventional recycling methods for mixed waste streams emphasize the need for chemical recycling routes that deliver high-value monomers in a sustainable, resource-efficient manner. This work explores N-heterocyclic carbenes (NHCs) as organocatalysts [...] Read more.
The rapid growth of polyethylene terephthalate (PET) waste and the limitations of conventional recycling methods for mixed waste streams emphasize the need for chemical recycling routes that deliver high-value monomers in a sustainable, resource-efficient manner. This work explores N-heterocyclic carbenes (NHCs) as organocatalysts for the glycolysis of PET with ethylene glycol to bis(hydroxyethyl)terephthalate (BHET), aiming for milder conditions and higher activity. A systematic catalyst screening links steric and electronic properties (percent buried volume, Tolman electronic parameter) of the NHCs to performance in the glycolysis process, resulting in a catalyst system with high PET conversion (up to 97%) and BHET yield (up to 65%). Mechanistic investigations (experimental and computational) support an anionic activation pathway for glycolysis. To lower the reaction temperature, selective cosolvent systems were explored, albeit with some loss of catalytic activity. Cooperative catalysis combining NHCs with Lewis acids enhances activity, leading to a high conversion (up to 90%) while maintaining lower temperatures than state-of-the-art glycolysis methods. The process was successfully transferred to post-consumer waste streams to validate the practicality. Full article
(This article belongs to the Section Catalysis in Organic and Polymer Chemistry)
Show Figures

Figure 1

12 pages, 4629 KB  
Article
Recycling Polyester/Cotton Blended Textile Wastes by Alcohol-Assisted Alkaline Hydrolysis
by Scott Martínez-Vila, Remedios Prieto-Fuentes, Aïda Duran-Serra, Xavier Colom-Fajula, Javier Cañavate-Ávila and Fernando Carrillo-Navarrete
Textiles 2026, 6(1), 31; https://doi.org/10.3390/textiles6010031 - 12 Mar 2026
Viewed by 382
Abstract
The textile industry faces significant challenges regarding the need for textile waste recycling. This study investigates the feasibility of alkaline hydrolysis assisted by alcoholic co-solvents, such as ethanol, for recycling polyester/cotton blend textiles. Ethanol-assisted alkaline hydrolysis under mild conditions enabled almost complete depolymerisation [...] Read more.
The textile industry faces significant challenges regarding the need for textile waste recycling. This study investigates the feasibility of alkaline hydrolysis assisted by alcoholic co-solvents, such as ethanol, for recycling polyester/cotton blend textiles. Ethanol-assisted alkaline hydrolysis under mild conditions enabled almost complete depolymerisation of polyester, allowing the recovery of its monomers, terephthalic acid and ethylene glycol, which may be used to produce new polyester fibre. However, the treatment was found to adversely affect the properties of the cotton fibres, resulting in a recycled material of lower quality and functionality than the original material. In particular, a significant change in the structure of the cotton fibre was observed, namely, the transformation of cellulose I into cellulose II, as confirmed by FTIR analysis, along with a decrease in both the degree of polymerization and tensile strength, especially at an ethanol/water ratio of 40/60. Hence, alcohol-assisted alkaline hydrolysis is advisable for the chemical recycling of polyester, but it presents limitations when cotton fibres are also present. Full article
(This article belongs to the Special Issue Textile Recycling and Sustainability)
Show Figures

Graphical abstract

13 pages, 1063 KB  
Article
Reducing the Gap Between Chemical and Biological Assessment of Petroleum-Contaminated Soils: An FTIR-Based Method Using Aqueous Dimethyl Sulfoxide Extraction
by Guzel R. Farrahova, Natalya G. Tanykova, Elizaveta M. Kolosova, Yuliya Yu. Petrova, Ruslan Ya. Bajbulatov and Oleg S. Sutormin
Environments 2026, 13(3), 140; https://doi.org/10.3390/environments13030140 - 5 Mar 2026
Viewed by 635
Abstract
Chemical and biological approaches are widely applied to assess petroleum hydrocarbon contamination in soils; however, their results are often difficult to compare due to the use of fundamentally different extraction media. Chemical analytical methods typically rely on non-polar organic solvents, whereas biological toxicity [...] Read more.
Chemical and biological approaches are widely applied to assess petroleum hydrocarbon contamination in soils; however, their results are often difficult to compare due to the use of fundamentally different extraction media. Chemical analytical methods typically rely on non-polar organic solvents, whereas biological toxicity assessments are based on aqueous soil extracts, reflecting water-soluble fractions of contaminants. This methodological discrepancy complicates the integrated evaluation of soil contamination and the assessment of remediation effectiveness. This study proposes an FTIR-based approach for assessing petroleum hydrocarbon contamination in sandy podzolic soil based on extraction with aqueous dimethyl sulfoxide (DMSO). The proposed method aims to reduce the methodological gap between classical chemical monitoring and aqueous-based biological assessment frameworks. The extraction performance of distilled water and aqueous DMSO solutions with different concentrations was evaluated using model soil samples artificially contaminated with crude oil. Crude oil was used as a multicomponent contaminant, whereas “petroleum hydrocarbons” refers to the operationally defined hydrocarbon fraction extracted from the soil–oil system and detected by FTIR in the C–H stretching region. Hydrocarbon extraction efficiency was assessed based on characteristic C–H stretching absorption bands in the 2800–3100 cm−1 infrared region. Distilled water exhibited limited extraction capacity and rapidly reached saturation, resulting in weak and concentration-independent absorption responses. In contrast, aqueous DMSO increased the apparent solubility of hydrocarbons and yielded reproducible, concentration-dependent spectral responses. A 75% (v/v) aqueous DMSO solution was selected as a practical compromise extraction medium, increasing analytical sensitivity while remaining more compatible with aqueous conditions than conventional non-polar organic solvents. The proposed method provides a lower-hazard and methodologically coherent extraction approach for FTIR-based chemical monitoring of petroleum-contaminated soils and may facilitate improved comparability between chemical measurements and aqueous-based biological assessment approaches in integrated soil contamination and remediation studies. Full article
Show Figures

Graphical abstract

14 pages, 793 KB  
Article
Printing Hybrid, Interdigitated Back-Contact Solar Cells
by Guancheng Li, David Angel Trujillo and Robert L. Opila
Materials 2026, 19(5), 985; https://doi.org/10.3390/ma19050985 - 4 Mar 2026
Viewed by 426
Abstract
Interdigitated back-contact solar cells were fabricated entirely with inkjet printing. poly(3,4-ethylenedioxythiophene):polystyrene sulfonate (PEDOT:PSS), TiO2, and metal lines were printed on a textured silicon substrate with only one inkjet printer. No vacuum deposition or diffusion of a back surface field is needed [...] Read more.
Interdigitated back-contact solar cells were fabricated entirely with inkjet printing. poly(3,4-ethylenedioxythiophene):polystyrene sulfonate (PEDOT:PSS), TiO2, and metal lines were printed on a textured silicon substrate with only one inkjet printer. No vacuum deposition or diffusion of a back surface field is needed for the printed IBC solar cell. Adding co-solvent to the PEDOT:PSS and passivation of the Si surface significantly reduced the losses and enhanced the short-circuit current, Jsc, and, as a result, improved the fill factor and efficiency of the devices. The thickness of the PEDOT:PSS layer is approximately half a micrometer measured by profilometer, which is thicker than the optimal range typically reported; there is still a best short-circuit current, Jsc, of 19.2 mA/cm2. To further improve the performance of the devices, an anti-reflective coating on the front side is required. Also, an improved metal contact ink is needed to improve the contact resistance between the PEDOT:PSS layer and the metal contact. The initial performance of all printed cells are compared to conventionally fabricated devices. Full article
(This article belongs to the Special Issue Microstructures and Coatings for Advanced Optoelectronic Materials)
Show Figures

Graphical abstract

10 pages, 755 KB  
Article
Influence of Ethanol Content on the Electrooxidation of Triethanolamine in Highly Apolar Media on Platinum Microelectrode
by László Kiss, Heng Li, Xiao-Hang Chen and Sándor Kunsági-Máté
Reactions 2026, 7(1), 17; https://doi.org/10.3390/reactions7010017 - 2 Mar 2026
Viewed by 363
Abstract
Ethanol is widely used as an additive in fuels, so its effect on the electrochemical oxidation of triethanolamine was investigated on a 25 μm platinum microelectrode. Ethyl acetate was applied as a cosolvent to increase the permittivity of the medium. A hydrocarbon n [...] Read more.
Ethanol is widely used as an additive in fuels, so its effect on the electrochemical oxidation of triethanolamine was investigated on a 25 μm platinum microelectrode. Ethyl acetate was applied as a cosolvent to increase the permittivity of the medium. A hydrocarbon n-heptane, typically present in gasohol samples as the main component, was studied, and its solutions prepared with ethanol in the entire concentration range (between 0 and 100 v/v% ethanol contents) were mixed with ethyl acetate. The as-prepared liquid mixtures were prepared separately, and they were mixed with ethyl acetate in uniform ratios. Triethanolamine, the selected redox-active compound, exhibited a sharp peak in ethyl acetate at the 15 mM concentration. The changes in the voltammograms served as a good template for quantitative analysis of ethanol content. The most suitable analytical signal used for it was the current minimum after the anodic peak, and this parameter proved more sensitive and reproducible than the anodic peak height itself. The scatterings of the current minimum values were typically within some nanoamperes. MTBE (methyl tert-butyl ether) was added to the apolar mixtures of ethanol, and this ether had a negligible interfering effect on the estimation of ethanol content. Full article
Show Figures

Figure 1

26 pages, 2015 KB  
Article
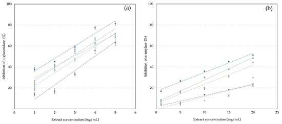
Enzyme-Assisted Extraction of Bioactive Compounds from Rosa canina L. Pseudofruit in Natural Deep Eutectic Solvents: Protease Stability and Biological Activities
by Lemoni Zafeiria, Tzani Andromachi, Karagianni Alexandra, Stavropoulos Georgios, Lymperopoulou Theopisti, Alexandratou Eleni, Detsi Anastasia and Mamma Diomi
Plants 2026, 15(5), 751; https://doi.org/10.3390/plants15050751 - 28 Feb 2026
Viewed by 430
Abstract
Enzyme-Assisted Extraction (EAE) in Natural Deep Eutectic Solvents (NaDES) was investigated as a green approach to extract bioactive compounds from the pseudofruit of Rosa canina L. Initially, the thermal stability of protease (Neutrase®) was evaluated at different temperatures (30–80 °C) in [...] Read more.
Enzyme-Assisted Extraction (EAE) in Natural Deep Eutectic Solvents (NaDES) was investigated as a green approach to extract bioactive compounds from the pseudofruit of Rosa canina L. Initially, the thermal stability of protease (Neutrase®) was evaluated at different temperatures (30–80 °C) in the NaDES Choline Chloride: Glycerol (1:2 molar ratio) (ChCl: Gly) with 20% (w/w) water as a cosolvent and in a buffer solution of the same pH. Kinetic and thermodynamic analyses revealed that ChCl:Gly markedly enhanced enzyme stability, extending half-life by up to 13-fold at 30–50 °C by increasing the enthalpic barrier to deactivation. EAE in NADES parameters, including enzyme loadings and extraction time, were optimized based on total phenolic (TPC) and flavonoid content (TFC), yielding maximum values of 135.75 ± 0.33 mg GAE/g DW and 65.05 ± 0.58 mg CAE/g DW, respectively. Extracts obtained under optimal conditions exhibited enhanced antioxidant, antidiabetic (α-amylase and α-glucosidase inhibition), anti-aging (tyrosinase inhibition), and antibacterial (inhibition of Escherichia coli growth) activities, outperforming enzyme-free extracts in all cases. The optimum extract also significantly reduced A431 cell viability (27–40%, p < 0.05). Overall, EAE in NaDES improved both enzyme stability and extraction efficiency, offering a sustainable and effective alternative for producing bioactive plant extracts. Full article
Show Figures

Figure 1

16 pages, 3975 KB  
Article
Recovery of Bioactive Extracts from Cistus creticus Using Supercritical CO2
by Maria Chiliou, Vasiliki Louli and Kostis Magoulas
Separations 2026, 13(3), 79; https://doi.org/10.3390/separations13030079 - 28 Feb 2026
Viewed by 355
Abstract
Cistus creticus is a species of the Cistus family that exhibits a wide range of bioactivities; therefore, its oil recovery using a green extraction method is of significant importance for both academic research and industrial applications. Thus, the objective of this work is [...] Read more.
Cistus creticus is a species of the Cistus family that exhibits a wide range of bioactivities; therefore, its oil recovery using a green extraction method is of significant importance for both academic research and industrial applications. Thus, the objective of this work is cistus oil recovery by supercritical fluid extraction (SFE) with CO2. To this end, the effect of various process parameters, namely extraction pressure (110–250 bar), extraction temperature (40–60 °C), and solvent flow rate (1–3 kg/h), on the yield of the process was examined. It was shown that an increase in temperature, and particularly in pressure, positively affects the yield, while the flow rate increase mainly enhances the extraction rate. Hence, the highest yield (8.58% wt) was obtained at 60 °C, 250 bar, and 3 kg/h after 150 min of extraction. Furthermore, the experimental data regarding the kinetics of SFE were correlated successfully by a mass balance model based on Lack’s plug flow model. In addition, the comparison of SFE extracts obtained under intermediate conditions with the essential oil produced by hydrodistillation revealed the extraction of heavier compounds, notably a high content of linoleic acid. Finally, the addition of a small amount of co-solvent (5% wt ethanol) to the SFE process enhanced yield (9.53% wt) as well as antioxidant activity (IC50 = 95.4 mgextract/mL) and total phenolic content of the extract (23.2 mgGAE/gextract). Thus, SFE could become a promising alternative to conventional extraction with ethanol, which exhibited the highest yield (28.5% wt) and a high antioxidant activity (IC50 = 3.2 mgextract/mL), given SFE’s shorter extraction duration. Full article
Show Figures

Figure 1

28 pages, 3001 KB  
Article
Improvement in the Extraction of Antioxidant-Related Compounds from Parastrephia quadrangularis (“tola”) Using Ethanol-Modified Supercritical Carbon Dioxide
by Paula Ardiles, Francisca Salinas-Fuentes, July Z. Florez, Juan Luis Fuentes, Daniel Ordenes, Waldo Bugueño, Jenifer Palma, María Robles, María Cuaresma, Carlos Vilchez, Pedro Cerezal-Mezquita and Mari Carmen Ruiz-Domínguez
Antioxidants 2026, 15(3), 303; https://doi.org/10.3390/antiox15030303 - 28 Feb 2026
Viewed by 661
Abstract
Parastrephia quadrangularis (tola) is a native plant of the Chilean Andean Altiplano that is traditionally used for its anti-inflammatory properties. In this study, the aerial parts of the plant were analysed to determine their fatty acid (FA) profile and to identify bioactive compounds [...] Read more.
Parastrephia quadrangularis (tola) is a native plant of the Chilean Andean Altiplano that is traditionally used for its anti-inflammatory properties. In this study, the aerial parts of the plant were analysed to determine their fatty acid (FA) profile and to identify bioactive compounds using gas chromatography–mass spectrometry (GC–MS). Both conventional extraction methods and Supercritical Fluid Extraction (SFE) were employed, using a 23 factorial design with centre-point replicates. The variables included temperature (30–60 °C), pressure (15–45 MPa), and ethanol as a cosolvent (0–30% v/v). Extraction kinetics were evaluated using a linear spline model under central conditions (45 °C, 30 MPa, 15% ethanol). Response variables included extraction yield, Total Phenolic Content (TPC), antioxidant activity measured by Trolox Equivalent Antioxidant Capacity (TEAC), and FA composition. A factorial design identified pressure and ethanol concentration as key drivers of phenolic content and antioxidant activity, as supported by confocal autofluorescence microscopy. Multi-response optimisation based on the desirability function was applied to simultaneously maximise all response variables, yielding predicted optimal extraction conditions at 60 °C, 45 MPa, and 30% v/v ethanol for P. quadrangularis. The FA profile highlighted polyunsaturated FAs such as oleic, linoleic, and linolenic acids, as well as saturated FAs including palmitic and lignoceric acids, and short-chain non-volatile FAs. GC–MS analysis revealed metabolites potentially responsible for the plant’s traditionally reported therapeutic effects. Overall, these results highlight ethanol-based SFE as a sustainable strategy for recovering phenolic compounds and antioxidant-related fractions from ancestral medicinal plants. Full article
Show Figures

Figure 1

26 pages, 1252 KB  
Review
Extraction, Characterization and Applications of Biopolymers from Sustainable Sources
by Elena Hurtado-Fernández, Luis A. Trujillo-Cayado, Paloma Álvarez-Mateos and Jenifer Santos
Polymers 2026, 18(5), 581; https://doi.org/10.3390/polym18050581 - 27 Feb 2026
Viewed by 845
Abstract
Biopolymers from renewable sources are increasingly explored to reduce the carbon footprint of materials and mitigate plastic pollution. This review synthesizes the last five years of progress across the biopolymer value chain, comparing plant, microbial/fermentation, fungal, and marine/algal resources and critically assessing greener [...] Read more.
Biopolymers from renewable sources are increasingly explored to reduce the carbon footprint of materials and mitigate plastic pollution. This review synthesizes the last five years of progress across the biopolymer value chain, comparing plant, microbial/fermentation, fungal, and marine/algal resources and critically assessing greener extraction and fractionation routes (ultrasound and microwave intensification, subcritical water, supercritical CO2 with co-solvents, ionic liquids, deep eutectic solvents including natural deep eutectic solvents, and enzymatic or bio-mediated processes). We emphasize yield-selectivity trade-offs, scalability, energy demand, and solvent recovery. Downstream, we summarize purification and performance tuning via crosslinking, derivatization, blending/plasticization, and nanocomposites, and we map advanced characterization to targeted functional properties to bridge processing choices with end-use performance. Applications are organized across food and agriculture, biomedical and pharmaceutical technologies, packaging, and cosmetics, with cross-cutting attention to safety and regulatory compliance, quality-by-design, techno-economics, and life-cycle assessment. Key bottlenecks are feedstock variability, viscosity and recyclability limitations of designer solvents, and persistent gaps in barrier and thermal properties versus petrochemical benchmarks, compounded by uneven composting and recycling infrastructure. Promising directions include low-viscosity or switchable solvents, data- and artificial intelligence (AI)-guided process optimization, engineered biopolymers, and circular end-of-life strategies that align material design with realistic recovery routes. Full article
(This article belongs to the Special Issue Strategies to Make Polymers Sustainable)
Show Figures

Figure 1

15 pages, 1705 KB  
Article
Comparison of NaOH-Based Solvents for Lignocellulosic Microfines (LCMFs) Dissolution and Properties of Regenerated Cellulose Film
by Jiae Ryu, Sa Rang Choi and Jung Myoung Lee
Gels 2026, 12(3), 199; https://doi.org/10.3390/gels12030199 - 27 Feb 2026
Viewed by 372
Abstract
Cellulose dissolution solvents have been developed for the fabrication of regenerated cellulose (RC) films, which are known for their high optical transparency, excellent barrier properties, and biodegradability. In this study, three types of aqueous dissolution systems, including glycol ether/sodium hydroxide (NaOH), poly(ethylene glycol) [...] Read more.
Cellulose dissolution solvents have been developed for the fabrication of regenerated cellulose (RC) films, which are known for their high optical transparency, excellent barrier properties, and biodegradability. In this study, three types of aqueous dissolution systems, including glycol ether/sodium hydroxide (NaOH), poly(ethylene glycol) (PEG)/NaOH, and urea/NaOH aqueous systems, were investigated to compare their effects on lignocellulosic microfine (LCMF) solutions and the resulting regenerated cellulose films. The dissolution yields of LCMFs in these solvents ranged from 77.0% to 85.0%. The incorporation of glycol-based co-solvents in NaOH significantly influenced the transparency (over 70% of transparency) of the regenerated LCMF films. The use of a high molecular weight of co-solvent (PEG) especially resulted in enhanced stability of the LCMF solutions, as evidenced by higher inherent viscosities and the minimal viscosity change over 30 days compared to glycol ether/NaOH and urea/NaOH systems. Furthermore, the films regenerated from the PEG/NaOH solvent showed the lowest shrinkage (19.4%) and the highest mechanical strength (47.8 MPa), followed by the glycol ether/NaOH and urea/NaOH systems. These results confirm that the type of co-solvent in cellulose dissolution systems influences the composition, coagulation behavior, and drying characteristics of regenerated LCMF films, affecting their mechanical performance. This study provides insights into the effective utilization of lignocellulosic materials for the efficient fabrication of regenerated cellulose. Full article
(This article belongs to the Special Issue Cellulose Gels: Properties and Prospective Applications)
Show Figures

Figure 1

19 pages, 1304 KB  
Article
Protective Effects of Schinus terebinthifolius Leaf Supercritical Fluid Extract Against UVC-Induced Oxidative Stress: A Com-Prehensive Gene Expression Study
by Tanakarn Chaithep, Anurak Muangsanguan, Juan M. Castagnini, Francisco J. Marti-Quijal, Pornchai Rachtanapun, Chaiwat Arjin, Korawan Sringarm, Francisco J. Barba and Warintorn Ruksiriwanich
Int. J. Mol. Sci. 2026, 27(5), 2092; https://doi.org/10.3390/ijms27052092 - 24 Feb 2026
Viewed by 472
Abstract
Ultraviolet (UV) exposure accelerates skin aging by inducing oxidative stress, extracellular matrix (ECM) degradation, and epidermal barrier dysfunction. This study investigated the protective effects of Brazilian pepper tree (SB), neem (SD), and Vietnamese coriander (PP) leaf extracts obtained by supercritical fluid extraction (SFE) [...] Read more.
Ultraviolet (UV) exposure accelerates skin aging by inducing oxidative stress, extracellular matrix (ECM) degradation, and epidermal barrier dysfunction. This study investigated the protective effects of Brazilian pepper tree (SB), neem (SD), and Vietnamese coriander (PP) leaf extracts obtained by supercritical fluid extraction (SFE) using CO2 with ethanol as a co-solvent against radiation-induced cellular damage. Among these, SB yielded the greatest amount of extract and exhibited the highest levels of phenolic and flavonoid constituents, including naringin, epicatechin gallate, and rosmarinic acid. These compounds, identified through HPLC profiling, were associated with strong inhibition of collagenase, elastase, and hyaluronidase, and exhibited potent antioxidant activity in the DPPH assay. Under UVC-induced oxidative stress in HaCaT keratinocytes, SB markedly enhanced the mRNA expression of key genes involved in ECM integrity (COL1A1, 3.04 ± 0.15-fold), epidermal barrier and hydration (FLG, 4.66 ± 0.17-fold; HAS1, 1.90 ± 0.14-fold), and cellular defense mechanisms (SIRT1, 3.83 ± 0.54-fold), demonstrating superior efficacy to reference antioxidants (EGCG and ascorbic acid) in upregulating key barrier genes like FLG. Overall, the findings highlight SB as the extract with the most comprehensive photoprotective properties and support the use of SFE-derived botanical extracts as promising agents for natural and photoprotective skincare applications. Full article
(This article belongs to the Special Issue Functions and Applications of Natural Products: 2nd Edition)
Show Figures

Graphical abstract

10 pages, 1326 KB  
Article
Systematic Investigation of the Solvation Structure in THF-Based Localized High-Concentration Electrolytes
by Yoonha Hwang, Yeo Jin An, Soohyun Sim and Minjeong Shin
Organics 2026, 7(1), 10; https://doi.org/10.3390/org7010010 - 14 Feb 2026
Viewed by 518
Abstract
Understanding Li+ solvation structure is critical for the rational design of high- and localized high-concentration electrolytes. Here, we present a systematic investigation of tetrahydrofuran (THF)-based electrolytes with lithium bis(trifluoromethanesulfonyl)imide (LiTFSI) using Raman spectroscopy and 7Li nuclear magnetic resonance to investigate the [...] Read more.
Understanding Li+ solvation structure is critical for the rational design of high- and localized high-concentration electrolytes. Here, we present a systematic investigation of tetrahydrofuran (THF)-based electrolytes with lithium bis(trifluoromethanesulfonyl)imide (LiTFSI) using Raman spectroscopy and 7Li nuclear magnetic resonance to investigate the local solvation structures. By varying the THF:LiTFSI molar ratio, we observed a transition of Li+ solvation from solvent-separated ion pairs to contact ion pairs and aggregates, accompanied by increased structural heterogeneity and constrained local dynamics. Raman spectroscopy captures the evolution of Li+–anion coordination with increasing salt concentration, while 7Li NMR chemical shifts, line widths, and relaxation times provide complementary insight into changes in the electronic environment and symmetry of Li+ coordination. Electrolyte structure is further examined by introducing a hydrofluoroether co-solvent into a concentrated (THF)2–LiTFSI electrolyte. Raman results show that the local Li+–TFSI coordination structure is preserved upon 1,1,2,2-tetrafluoroethyl-2,2,3,3-tetrafluoropropyl ether (TTE) addition, whereas NMR reveals subtle modifications of the ion-rich solvation clusters. These results provide fundamental insight into Li+ solvation and electrolyte localization, offering general design principles for advanced electrolyte systems. Full article
Show Figures

Figure 1

9 pages, 3359 KB  
Communication
Hybrid Ionic Liquid–Organic Electrolyte Technologies for Sodium-Ion Batteries
by Daniela Ariaudo, Antonio Rinaldi, Rodolfo Araneo, Alessandro Dell’Era and Giovanni Battista Appetecchi
Batteries 2026, 12(2), 59; https://doi.org/10.3390/batteries12020059 - 12 Feb 2026
Viewed by 972
Abstract
An innovative ionic liquid–organic hybrid electrolyte technology was developed to obtain safer and more reliable sodium-ion battery (SIB) systems. The formulation is based on the 1-ethyl-3-methyl-imidazolium bis(flurosulfonyl)imide (EMIFSI) ionic liquid combined with the Diglyme cosolvent, which showed good performance in SIBs. The hybrid [...] Read more.
An innovative ionic liquid–organic hybrid electrolyte technology was developed to obtain safer and more reliable sodium-ion battery (SIB) systems. The formulation is based on the 1-ethyl-3-methyl-imidazolium bis(flurosulfonyl)imide (EMIFSI) ionic liquid combined with the Diglyme cosolvent, which showed good performance in SIBs. The hybrid electrolyte formulation was qualified in terms of thermal and ion transport properties and electrochemical stability. The results, reported and discussed in the present manuscript, showed how it is feasible to improve conductivity without decreasing the safety and electrochemical stability of ionic liquid-based electrolytes. Full article
(This article belongs to the Special Issue 10th Anniversary of Batteries: Interface Science in Batteries)
Show Figures

Graphical abstract

13 pages, 1284 KB  
Article
The Influence of Ethanol on the Liquid Phase of Hydrothermal Carbonization of Sewage Sludge
by Dimitrios Liakos, Simos Malamis and Stergios Vakalis
Processes 2026, 14(4), 628; https://doi.org/10.3390/pr14040628 - 11 Feb 2026
Viewed by 267
Abstract
This study investigates the impact of ethanol as a co-solvent in hydrothermal carbonization (HTC) of sewage sludge, a process referred to here as ethanothermal or solvothermal carbonization. Experiments were conducted at 180 °C, 200 °C, 220 °C, and 240 °C, comparing two sets [...] Read more.
This study investigates the impact of ethanol as a co-solvent in hydrothermal carbonization (HTC) of sewage sludge, a process referred to here as ethanothermal or solvothermal carbonization. Experiments were conducted at 180 °C, 200 °C, 220 °C, and 240 °C, comparing two sets of conditions: one using water (S/W) and the other using ethanol (S/E) as the reaction medium. The focus was placed on the composition of the aqueous phase, particularly the formation of volatile fatty acids (VFAs). Ethanol-assisted experiments consistently produced more alkaline process water (pH 7.6–8.2) compared to water-based runs. COD values in S/W samples ranged from 9358 mg/L to 19,756 mg/L, indicating significant organic loading. Hydrochar derived from the ethanol experiments exhibited higher energy content, with a peak high heating value (HHV) of 21.9 MJ/kg at 240 °C, compared to 19.9 MJ/kg in S/W samples. VFA concentrations were also enhanced under ethanothermal conditions, especially at lower temperatures: formic acid (30.4–34.8 mg/L), acetic acid (8.7–9.6 mg/L), and propionic acid (10.8–14.6 mg/L). These results demonstrate ethanol’s potential to enhance both the yield and quality of liquid and solid products in HTC of sewage sludge. Full article
(This article belongs to the Special Issue Biomass Pretreatment for Thermochemical Conversion—2nd Edition)
Show Figures

Figure 1

Back to TopTop