Hydrazides as Powerful Tools in Medicinal Chemistry: Synthesis, Reactivity, and Biological Applications
Abstract
1. Introduction
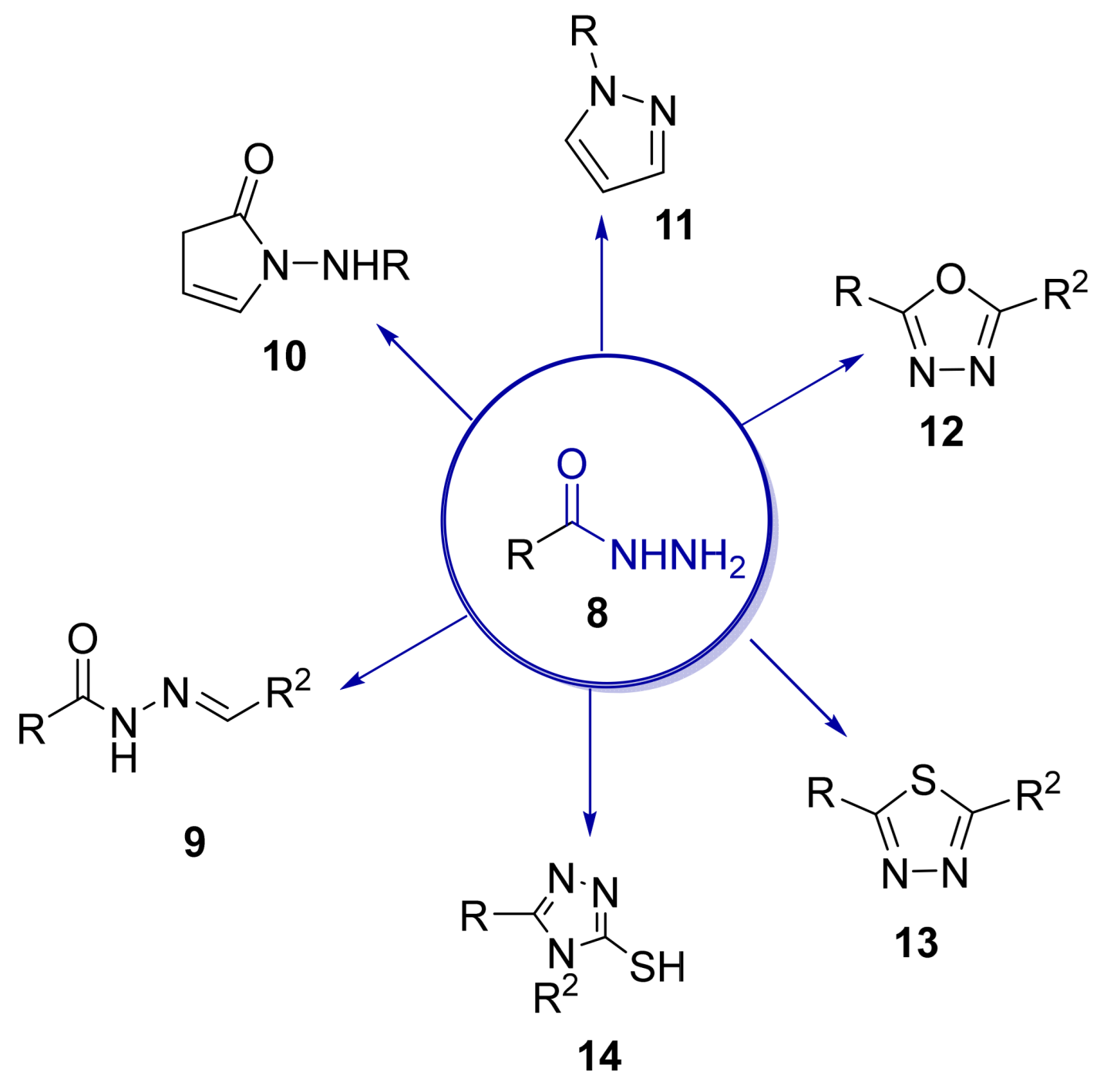
2. Hydrazides
2.1. Synthesis of Hydrazides
| Ref. | Starting Material | Experimental Conditions | Purification Process | Hydrazide Compounds (η%) |
|---|---|---|---|---|
| [50] | ![]() 17a | Hydrazine hydrate (1.2 eq) EtOH 75–80 °C 2 h | Silica gel column chromatography | ![]() 8a X = N, O; R = Alk (70–95%) |
| [51] | ![]() 17b | Hydrazine hydrate (10 eq) MeOH Reflux 3 h | - | ![]() 8b |
| [26] | ![]() 17c | Hydrazine hydrate (n.s.) EtOH or MeOH 85 °C 6 h | Recrystallization from aqueous ethanol or methanol | ![]() 8c (88%) |
| [26] | ![]() 17d | Hydrazine hydrate (n.s.) EtOH or MeOH 85 °C 6 h | Recrystallization from aqueous ethanol or methanol | ![]() 8d (54%) |
| [26] | ![]() 17e | Hydrazine hydrate (n.s.) EtOH or MeOH 85 °C 6 h | Recrystallization from aqueous ethanol or methanol | ![]() 8e (75%) |
| [26] | ![]() 17f | Hydrazine hydrate (n.s.) EtOH or MeOH 85 °C 6 h | Recrystallization from aqueous ethanol or methanol | ![]() 8f (83%) |
| [55] | ![]() 17g | Hydrazine hydrate (10 eq added dropwise) MeOH Reflux 2 h | - | ![]() 8g (80%) |
| [56] | ![]() 17g | Hydrazine hydrate (9 eq added dropwise) MeOH Reflux 2 h | Silica gel column chromatography | ![]() 8g (55%) |
| [57] | ![]() 17h | Hydrazine hydrate (80%) (20.6 eq) Neat Reflux n.s. | - | ![]() 8h (96%) |
| [43] | ![]() 17i | Hydrazine 80% (n.s.) EtOH Reflux 6h | n.s. | ![]() 8i (50%) |
| [43] | ![]() 17j | Hydrazine 80% (n.s.) EtOH Reflux 6 h | n.s. | ![]() 8j (57%) |
| [43] | ![]() 17k | Hydrazine 80% (n.s.) EtOH Reflux 6 h | n.s. | ![]() 8k (47%) |
| [13] | ![]() 17l | Hydrazine hydrate (1.7 eq) MeOH Reflux 4.5 h | Recrystallization from methanol | ![]() 8l (63%) |
| [34] | ![]() 17m | Hydrazine hydrate (n.s.) EtOH Reflux 8–10 h | n.s. | ![]() 8m R = H, Br (n.s.) |
| [38] | ![]() 17n | Hydrazine hydrate (1.1 eq) EtOH Reflux 3 h | Recrystallization from ethanol | ![]() 8n (75%) |
| [40] | ![]() 17o R2 = H, R3 = H 17p R2 = Cl, R3 = H 17q R2 = H, R3 = Cl | Hydrazine hydrate 80% (n.s.) EtOH Reflux 3 h | n.s. | ![]() 8o R2 = H, R3 = H 8p R2 = Cl, R3 = H 8q R2 = H, R3 = Cl (n.s.) |
| [53] | ![]() 17r | Hydrazine hydrate (1 eq) Anhydrous EtOH ~0 °C 30 min | Recrystallization from ethanol | ![]() 8r (73%) |
| [54] | ![]() 17s | Hydrazine hydrate (n.s.) MeOH Reflux 6 h | Recrystallization from ethanol | ![]() 8s (n.s.) |
| [39] | ![]() 17t | Hydrazine monohydrate (8 eq) EtOH Ice bath 30 min | - | ![]() 8t (n.s.) |
| [59] | ![]() 17u | Hydrazine hydrate (2 eq) EtOH Reflux 8 h | - | ![]() 8u (91%) |
| [105] | ![]() 17v ![]() 17w | Hydrazine hydrate (1.1 eq) MeOH Pyridine (cat.) Reflux 6–7 h | Recrystallization from methanol | ![]() 8v ![]() 8w (n.s) |
| [61] | ![]() 17x | Hydrazine hydrate (2 eq) EtOH Reflux 4 h | - | ![]() 8x (n.s.) |
| [62] | ![]() 17y | Hydrazine hydrate 80% (~8 eq, dropwise) EtOH 95–100 °C 12 h | Recrystallization from ethanol | ![]() 8y (89%) |
| [36] | ![]() 17z | Hydrazine hydrate (n.s.) EtOH 80–90 °C 8 h | - | ![]() 8z (n.s.) |
| [41] | ![]() 17aa | Hydrazine hydrate 85% (~6.5 eq) MeOH Reflux 8 h | - | ![]() 8aa R = Me, OMe (82–92%) |
| [63] | ![]() 17ab | Hydrazine hydrate (~10 eq) MeOH Reflux 5 h | Recrystallization from methanol | ![]() 8ab (37%) |
| [64] | ![]() 17ac | Hydrazine hydrate (n.s.) EtOH Reflux 6 h | - | ![]() 8ac (78%) |
| [35] | ![]() 17ad | Hydrazine (4 eq) EtOH Reflux 5 h | Recrystallization from ethanol | ![]() 8ad (73%) |
| [65] | ![]() 17ae | Hydrazine hydrate (6 eq.) EtOH 30 °C 1 h | Recrystallization from ethanol | ![]() 8ae (26%) |
| [66] | ![]() 17af | Hydrazine hydrate 80% (31 eq) EtOH Reflux 8 h | Recrystallization from ethanol | ![]() 8af (n.s.) |
| [67] | ![]() 17ag | Hydrazide hydrate (4.6 eq) EtOH Reflux 3 h | Recrystallization from ethanol | ![]() 8ag (78%) |
| [68] | ![]() 17ah | Hydrazine hydrate 80% (31 eq) EtOH Reflux 4 h | Recrystallization from ethanol | ![]() 8ah (70%) |
| [43] | ![]() 17ai | Hydrazine hydrate 80% (15 eq) EtOH Reflux 8 h | Recrystallization from ethanol | ![]() 8ai (63%) |
| [43] | ![]() 17aj | Hydrazine 80% (n.s.) EtOH Reflux 6 h | n.s. | ![]() 8aj R′ = Alk, Halide (39–54%) |
| [43] | ![]() 17ak | Hydrazine 80% (n.s.) EtOH Reflux 6 h | n.s. | ![]() 8ak (46%) |
| [43] | ![]() 17al | Hydrazine 80% (n.s.) EtOH Reflux 6 h | n.s. | ![]() 8al (57%) |
| [43] | ![]() 17am | Hydrazine 80% (n.s.) EtOH Reflux 6 h | n.s. | ![]() 8am (56%) |
| [72] | ![]() 17ao | Hydrazine hydrate (~3 eq) EtOH Reflux 12 h | - | ![]() 8ao (n.s.) |
| [73] | ![]() 17ap | Hydrazine hydrate (2 eq) EtOH Reflux 8 h | - | ![]() 8ap (80%) |
| [75] | ![]() 17aq | Hydrazine hydrate 85% (3 eq) EtOH r.t. 4 h | Recrystallization from isopropyl alcohol | ![]() 8aq (67%) |
| [76] | ![]() 17ar | Hydrazine hydrate 99% (1 eq) EtOH Reflux 6 h | Recrystallization from ethanol | ![]() 8ar R1 = H, Cl, CH3 (67–73%) |
| [77] | ![]() 17as | Hydrazine hydrate (1.5 eq) EtOH Reflux 4 h | Recrystallization from ethanol | ![]() 8as (90%) |
| [78] | ![]() 17at | Hydrazine hydrate (1.02 eq) EtOH Reflux 3 h | Recrystallization from ethanol or methanol | ![]() 8at (89–97%) |
| [79] | ![]() 17au | Hydrazine hydrate (20 eq) EtOH Reflux 4 h | Recrystallization from ethanol | ![]() 8au (61%) |
| [37] | ![]() 17av | Hydrazine hydrate 80% (3 eq) EtOH Reflux 3 h | Recrystallization from ethanol/DMF | ![]() 8v (90%) |
| [80] | ![]() 17ac | Hydrazine monohydrate (1 eq) EtOH Reflux 4 h | Recrystallization from dioxane | ![]() 8ac(90%) |
| [81] | ![]() 17w | Hydrazine hydrate (4 eq) EtOH Reflux 6 h | - | ![]() 8aw X = N, CH (48–55%) |
| [82] | ![]() 17x | Hydrazine (1 eq) EtOH Reflux 3 h | - | ![]() 8ax(94%) |
| [83] | ![]() 17ay R = 4-F-C6H4, 17az R = 4-CH3–C6H4 17aaa R = 2-Cl,4-Cl-C6H3 | Hydrazine hydrate (n.s.) EtOH Reflux n.s. | n.s. | ![]() 8ay R = 4-F-C6H4, 8az R = 4-CH3–C6H4 8aaaR = 2-Cl,4-Cl-C6H3 (n.s.) |
| [84] | ![]() 17aab | Hydrazine hydrate (10 eq) EtOH Reflux 7 h | - | ![]() 8aab (80%) |
| [2] | ![]() 17aac R = 2-furyl 17aad R = 3,4,5-(MeO)3C6H2 17aai R = 3,4-(MeO)2C6H3 | Hydrazine hydrate (n.s.) - Reflux n.s. | - | ![]() 8aac R = 2-furyl 8aad R = 3,4,5-(MeO)3C6H2 8aai R = 3,4-(MeO)2C6H3 (n.s.) |
| [85] | ![]() 17al | Hydrazine hydrate (~11 eq) EtOH r.t. 3–4 h | - | ![]() 8al (98%) |
| [86] | ![]() 17aaj | Hydrazine hydrate (1.2 eq) EtOH r.t. 5–6 h | Recrystallization from ethanol | ![]() 8aaj R1 = H, CH3, F; R2 = H, Cl; R3 = H, Cl; R4 = H, Cl, I; R5 = H, Cl (92% as an example) |
| [87] | ![]() 17aak | Hydrazine (1 eq) MeOH Reflux 2 h | - | ![]() 8aak (n.s.) |
| [42] | ![]() 17aal | Hydrazine hydrate (n.s.) MeOH Reflux 4 h | - | ![]() 8aal (n.s.) |
| [88] | ![]() 17aam | Hydrazine hydrate 80% (1 eq) Neat r.t. 4–5 h | - | ![]() 8p (96%) |
| [89] | ![]() 17aan | Hydrazine hydrate 80% (~11 eq) Neat r.t. 5–6 h | - | ![]() 8q (96%) |
| [90] | ![]() 17aao | Hydrazine monohydrate (~34 eq) Neat r.t. 4–5 h | - | ![]() 8aao (97%) |
| [91] | ![]() 17aao | Hydrazine monohydrate 80% (~20 eq) Neat r.t. 4–5 h | - | ![]() 8aao (98%) |
| [92] | ![]() 17aap | Hydrazine hydrate (10 eq, dropwise) EtOH and chloroform r.t. 24 h | Recrystallization from ethanol/water (60:40) | ![]() 8aap R1 = Me, OMe, Br; R2 = Alk (72–80%) |
| [44] | ![]() 17aaq | Hydrazine hydrate (2 eq) EtOH Reflux 8 h | Recrystallization from ethanol | ![]() 8aaq (52%) |
| [93] | ![]() 17aar | Hydrazine hydrate (~4 eq) MeOH Reflux 6 h | Recrystallization from methanol | ![]() 8aar (92%) |
| [94] | ![]() 17aas | Hydrazine hydrate (n.s.) EtOH Reflux n.s. | n.s. | ![]() 8aas (n.s.) |
| [95] | ![]() 17aat | Hydrazine hydrate 80% (32.6 eq) EtOH Reflux n.s. | Recrystallization from ethanol | ![]() 8aat (n.s.) |
| [96] | ![]() 18 | Hydrazine hydrate (n.s.) THF r.t. 4 h | n.s. | ![]() 8aau R1 = Alk (80–95%) |
| [2] | ![]() 19a | Hydrazine hydrate (n.s.) - Reflux n.s. | - | ![]() 8aav (n.s.) |
| [97] | ![]() 19b | Hydrazine hydrate (2 eq) DCM 25 °C Overnight | Silica gel column chromatography | ![]() 8aaw (89%) |
| [98] | ![]() 19c | 1. Acetone NaN3 (aq.) 8 °C, 30 min 2. Anhydrous hydrazine (4 eq) 2-propanol Reflux 45 min | - | ![]() 8aax (57%) |
| [99] | ![]() 20 | Hydrazine hydrate (2.2 eq) Et3N (1.5 eq), Na2SO4, CHCl3 1. r.t 2. 35 °C. 1. 30 min 2. Overnight | - | ![]() 8aay (92%) |
| [28] | ![]() 21 | Hydrazine hydrate (1 eq) [100] EtOH r.t. 1 h | Recrystallization from ethanol | ![]() 8aax.1 (81%) |
| [101] | ![]() 22 | Hydrazine hydrate (1.1 eq.) EtOH r.t. n.s. | - | ![]() 8aba (n.s.) |
| [103] | ![]() 23 | Hydrazine hydrate 85% (1 eq added dropwise) EtOH r.t. n.s. | Recrystallization from ethanol | ![]() 8abb.1 (78%) |
2.2. Biological Activity of Hydrazides
3. Hydrazide Derivatives
3.1. Hydrazide–Hydrazones
3.1.1. Synthesis of Hydrazide–Hydrazones
3.1.2. Biological Activity of Hydrazide–Hydrazones
3.2. Heterocycles from Hydrazides
3.2.1. Pyrrolones
Synthesis of Pyrrolones
Biological Activity of Pyrrolone Derivatives
3.2.2. Pyrazoles
Synthesis of Pyrazoles
Biological Activity of Dihydropyrazole and Pyrazole Derivatives
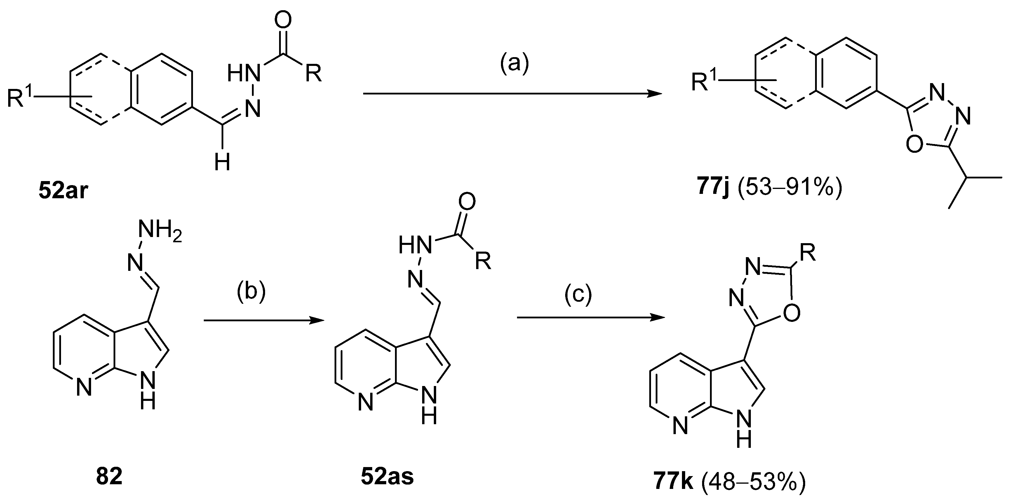
3.2.3. Oxadiazoles
Synthesis of Oxadiazole Derivatives
Biological Activity of Oxadiazole Derivatives
3.2.4. Thiazoles and Thiadiazoles
Synthesis of Thiazole and Thiadiazole Derivatives
Biological Activity of Thiazole and Thiadiazole Derivatives
3.2.5. Triazoles
Synthesis of Triazole Derivatives
Biological Activity of Triazole Derivatives
4. Miscellany
5. Conclusions
Author Contributions
Funding
Institutional Review Board Statement
Informed Consent Statement
Data Availability Statement
Conflicts of Interest
References
- WHO—The Top 10 Causes of Death. Available online: https://www.who.int/news-room/fact-sheets/detail/the-top-10-causes-of-death (accessed on 19 May 2024).
- Verma, G.; Khan, M.F.; Mohan Nainwal, L.; Ishaq, M.; Akhter, M.; Bakht, A.; Anwer, T.; Afrin, F.; Islamuddin, M.; Husain, I.; et al. Targeting malaria and leishmaniasis: Synthesis and pharmacological evaluation of novel pyrazole-1,3,4-oxadiazole hybrids. Part II. Bioorg. Chem. 2019, 89, 102986. [Google Scholar] [CrossRef] [PubMed]
- El-Sayed Saeed, S.; Alomari, B.A.; Al-Hakimi, A.N.; Abd El-Hady, M.M.; Alnawmasi, J.S.; Elganzory, H.H.; El-Sayed, W.A. Pyrimidine hydrazide ligand and its metal complexes: Synthesis, characterization, and antimicrobial activities. Egypt. J. Chem. 2023, 66, 315–329. [Google Scholar] [CrossRef]
- Verma, S.; Lal, S.; Narang, R.; Sudhakar, K. Quinoline Hydrazide/Hydrazone Derivatives: Recent Insights on Antibacterial Activity and Mechanism of Action. ChemMedChem 2023, 18, e202200571. [Google Scholar] [CrossRef] [PubMed]
- Mansoori, B.; Mohammadi, A.; Davudian, S.; Shirjang, S.; Baradaran, B. The different mechanisms of cancer drug resistance: A brief review. Adv. Pharm. Bull. 2017, 7, 339–348. [Google Scholar] [CrossRef]
- Parmanik, A.; Das, S.; Kar, B.; Bose, A.; Dwivedi, G.R.; Pandey, M.M. Current Treatment Strategies Against Multidrug-Resistant Bacteria: A Review. Curr. Microbiol. 2022, 79, 388. [Google Scholar] [CrossRef]
- Lohrasbi, V.; Talebi, M.; Bialvaei, A.Z.; Fattorini, L.; Drancourt, M.; Heidary, M.; Darban-Sarokhalil, D. Trends in the discovery of new drugs for Mycobacterium tuberculosis therapy with a glance at resistance. Tuberculosis 2018, 109, 17–27. [Google Scholar] [CrossRef]
- Phillips, M.A.; Burrows, J.N.; Manyando, C.; Van Huijsduijnen, R.H.; Van Voorhis, W.C.; Wells, T.N.C. Malaria. Nat. Rev. Dis. Prim. 2017, 3, 17050. [Google Scholar] [CrossRef]
- Chakraborty, S.; Rhee, K.Y. Tuberculosis Drug Development: History and Evolution of the Mechanism-Based Paradig. Cold Spring Harb. Perspect. Med. 2015, 5, a021147. [Google Scholar] [CrossRef]
- Schirrmacher, V. From chemotherapy to biological therapy: A review of novel concepts to reduce the side effects of systemic cancer treatment (Review). Int. J. Oncol. 2018, 54, 407–419. [Google Scholar] [CrossRef]
- Blackburn, T.; Wasley, J. Affective Disorders: Depression and Bipolar Disorders. In Comprehensive Medicinal Chemistry II; Taylor, J.B., Triggle, D.J., Eds.; Elsevier: Amsterdam, The Netherlands, 2007; Volume 6, pp. 45–83. ISBN 9780080450445. [Google Scholar]
- Goldman, A.L.; Braman, S.S. Isoniazid: A Review with Emphasis on Adverse Effects. Chest 1972, 62, 71–77. [Google Scholar] [CrossRef]
- Fan, J.; Li, Z.; Zhao, Y.R.; Wang, H.C.; Yan, X.J.; Shi, S.H.; Liu, H.B.; Xie, C.Z.; Xu, J.Y. A self-assembled nanoprobe for detecting HSA based on hydrazide Schiff base: Its applications in diseases diagnosis and lysosome targeting imaging. Dye. Pigment. 2023, 216, 111330. [Google Scholar] [CrossRef]
- Moss, G.P.; Smith, P.A.S.; Tavernier, D. Glossary of class names of organic compounds and reactivity intermediates based on structure (IUPAC Recommendations 1995). Pure Appl. Chem. 1995, 67, 1307–1375. [Google Scholar] [CrossRef]
- Paulsen, H.; Stoye, D. The chemistry of hydrazides. In The Chemistry of Amide; Zabicky, J., Ed.; John Wiley & Sons Ltd.: Hoboken, NJ, USA, 1970; pp. 515–600. [Google Scholar]
- Narang, R.; Narasimhan, B.; Sharma, S. A Review on Biological Activities and Chemical Synthesis of Hydrazide Derivatives. Curr. Med. Chem. 2012, 19, 569–612. [Google Scholar] [CrossRef]
- Coates, E.O.; Meade, G.M.; Steenken, W.; Wolinsky, E.; Brinkman, G.L. The Clinical Significance of the Emergence of Drug-Resistant Organisms during the Therapy of Chronic Pulmonary Tuberculosis with Hydrazides of Isonicotinic Acid. N. Engl. J. Med. 1953, 248, 1081–1087. [Google Scholar] [CrossRef] [PubMed]
- Bhilare, N.V.; Dhaneshwar, S.S.; Mahadik, K.R. Amelioration of hepatotoxicity by biocleavable aminothiol chimeras of isoniazid: Design, synthesis, kinetics and pharmacological evaluation. World J. Hepatol. 2018, 10, 496–508. [Google Scholar] [CrossRef]
- Baghini, L. Clinical study of the effects of p-aminosalicylic acid hydrazide (pasdrazide) in some forms of pulmonary and extra-pulmonary tuberculosis. Gazz. Med. Ital. 1955, 114, 112–113. [Google Scholar]
- El-Kawy, O.A.; Shweeta, H.A.; Sallam, K.M. Radiolabeling and evaluation of fonturacetam hydrazide as a radiotracer for visualization of brain function. J. Radioanal. Nucl. Chem. 2023, 332, 3273–3283. [Google Scholar] [CrossRef]
- Malykh, A.G.; Sadaie, M.R. Piracetam and Piracetam-Like Drugs. Drugs 2010, 70, 287–312. [Google Scholar] [CrossRef]
- Larsen, J.K.; Rafaelsen, O.J. Long-term treatment of depression with isocarboxazide. Acta Psychiatr. Scand. 1980, 62, 456–463. [Google Scholar] [CrossRef]
- Chamberlain, S.R.; Baldwin, D.S. Monoamine Oxidase Inhibitors (MAOIs) in Psychiatric Practice: How to Use them Safely and Effectively. CNS Drugs 2021, 35, 703–716. [Google Scholar] [CrossRef]
- Baba, Y.; Futamura, A.; Kinno, R.; Nomoto, S.; Takahashi, S.; Yasumoto, T.; Osakabe, Y.; Shoji, D.; Nabeshima, Y. The relationship between the distinct ratios of benserazide and carbidopa to levodopa and motor complications in Parkinson’s disease: A retrospective cohort study. J. Neurol. Sci. 2022, 437, 120263. [Google Scholar] [CrossRef] [PubMed]
- Popiołek, Ł. Hydrazide–hydrazones as potential antimicrobial agents: Overview of the literature since 2010. Med. Chem. Res. 2017, 26, 287–301. [Google Scholar] [CrossRef] [PubMed]
- Ali, I.A.I.; El-Sakka, S.S.A.; Soliman, M.H.A.; Mohamed, O.E.A. In silico, In Vitro and docking applications for some novel complexes derived from new quinoline derivatives. J. Mol. Struct. 2019, 1196, 8–32. [Google Scholar] [CrossRef]
- Ramadan, S.K.; Shaban, S.S.; Hashem, A.I. Facile and expedient synthesis and anti-proliferative activity of diversely pyrrolones bearing 1,3-diphenylpyrazole moiety. Synth. Commun. 2020, 50, 185–196. [Google Scholar] [CrossRef]
- El-Helw, E.A.E.; Morsy, A.R.I.; Hashem, A.I. Evaluation of some new heterocycles bearing 2-oxoquinolyl moiety as immunomodulator against highly pathogenic avian influenza virus (H5N8). J. Heterocycl. Chem. 2021, 58, 1003–1014. [Google Scholar] [CrossRef]
- Hassani, I.A.E.; Rouzi, K.; Assila, H.; Karrouchi, K.; Ansar, M. Recent Advances in the Synthesis of Pyrazole Derivatives: A Review. Reactions 2023, 4, 478–504. [Google Scholar] [CrossRef]
- Baashen, M.A. Synthesis of N,N′-Diacylhydrazines and their Use in Various Synthetic Transformations. Curr. Org. Chem. 2021, 25, 1394–1403. [Google Scholar] [CrossRef]
- Sharma, D.; Om, H.; Sharma, A.K. Potential Synthetic Routes and Metal-Ion Sensing Applications of 1,3,4-Oxadiazoles: An Integrative Review. Crit. Rev. Anal. Chem. 2024, 54, 416–436. [Google Scholar] [CrossRef]
- Hosseini, H.; Bayat, M. Cyanoacetohydrazides in Synthesis of Heterocyclic Compounds. Top. Curr. Chem. 2018, 376, 40. [Google Scholar] [CrossRef]
- Algohary, A.M.; Hassan, A.M.A.; Alzahrani, A.Y.; Rizk, S.A. Microwave-ultrasonic assisted synthesis, and characterization of novel 3′-(amino, hydrazino and hydrazide)-6′-bromo-spiro(isobenzofuran-1,2′-quinazoline)-3,4′-dione derivatives as antimicrobial agents. J. Heterocycl. Chem. 2023, 60, 1014–1026. [Google Scholar] [CrossRef]
- Sreenivasulu, R.; Reddy, K.T.; Sujitha, P.; Kumar, C.G.; Raju, R.R. Synthesis, antiproliferative and apoptosis induction potential activities of novel bis(indolyl)hydrazide-hydrazone derivatives. Bioorg. Med. Chem. 2019, 27, 1043–1055. [Google Scholar] [CrossRef] [PubMed]
- Abdelrehim, E.S.M. Synthesis and Screening of New [1,3,4]Oxadiazole, [1,2,4]Triazole, and [1,2,4]Triazolo[4,3- b][1,2,4]triazole Derivatives as Potential Antitumor Agents on the Colon Carcinoma Cell Line (HCT-116). ACS Omega 2021, 6, 1687–1696. [Google Scholar] [CrossRef] [PubMed]
- Alam, M.M.; Nazreen, S.; Almalki, A.S.A.; Elhenawy, A.A.; Alsenani, N.I.; Elbehairi, S.E.I.; Malebari, A.M.; Alfaifi, M.Y.M.; Alsharif, M.A.; Alfaifi, S.Y.M. Naproxen Based 1,3,4-Oxadiazole Derivatives as EGFR Inhibitors: Design, Synthesis, Anticancer, and Computational Studies. Pharmaceuticals 2021, 14, 870. [Google Scholar] [CrossRef]
- Alsayari, A.; Muhsinah, A.B.; Asiri, Y.I.; Al-aizari, F.A.; Kheder, N.A.; Almarhoon, Z.M.; Ghabbour, H.A.; Mabkhot, Y.N. Synthesis, Characterization, and Biological Evaluation of Some Novel Pyrazolo [5,1-b]thiazole Derivatives as Potential Antimicrobial and Anticancer Agents. Molecules 2021, 26, 5383. [Google Scholar] [CrossRef]
- Popiołek, Ł.; Tuszyńska, K.; Biernasiuk, A. Searching for novel antimicrobial agents among hydrazide-hydrazones of 4-iodosalicylic acid. Biomed. Pharmacother. 2022, 153, 113302. [Google Scholar] [CrossRef]
- Long, Z.-Q.; Yang, L.-L.; Zhang, J.-R.; Liu, S.-T.; Xie, J.; Wang, P.-Y.; Zhu, J.-J.; Shao, W.-B.; Liu, L.-W.; Yang, S. Fabrication of Versatile Pyrazole Hydrazide Derivatives Bearing a 1,3,4-Oxadiazole Core as Multipurpose Agricultural Chemicals against Plant Fungal, Oomycete, and Bacterial Diseases. J. Agric. Food Chem. 2021, 69, 8380–8393. [Google Scholar] [CrossRef]
- Lachhab, S.; El Mansouri, A.; Mehdi, A.; Dennemont, I.; Neyts, J.; Jochmans, D.; Andrei, G.; Snoeck, R.; Sanghvi, Y.S.; Ait Ali, M.; et al. Synthesis of new 3-acetyl-1,3,4-oxadiazolines combined with pyrimidines as antileishmanial and antiviral agents. Mol. Divers. 2023, 27, 2147–2159. [Google Scholar] [CrossRef]
- Munir, A.; Khushal, A.; Saeed, K.; Sadiq, A.; Ullah, R.; Ali, G.; Ashraf, Z.; Ullah Mughal, E.; Saeed Jan, M.; Rashid, U.; et al. Synthesis, in-vitro, in-vivo anti-inflammatory activities and molecular docking studies of acyl and salicylic acid hydrazide derivatives. Bioorg. Chem. 2020, 104, 104168. [Google Scholar] [CrossRef]
- Virk, N.A.; Rehman, A.U.; Abbasi, M.A.; Siddiqui, S.Z.; Iqbal, J.; Rasool, S.; Khan, S.U.; Htar, T.T.; Khalid, H.; Laulloo, S.J.; et al. Microwave-assisted synthesis of triazole derivatives conjugated with piperidine as new anti-enzymatic agents. J. Heterocycl. Chem. 2020, 57, 1387–1402. [Google Scholar] [CrossRef]
- Duong, T.-H.; Paramita Devi, A.; Tran, N.-M.-A.; Phan, H.-V.-T.; Huynh, N.-V.; Sichaem, J.; Tran, H.-D.; Alam, M.; Nguyen, T.-P.; Nguyen, H.-H.; et al. Synthesis, α-glucosidase inhibition, and molecular docking studies of novel N-substituted hydrazide derivatives of atranorin as antidiabetic agents. Bioorg. Med. Chem. Lett. 2020, 30, 127359. [Google Scholar] [CrossRef]
- Abumelha, H.M.A. Synthesis and antioxidant assay of new nicotinonitrile analogues clubbed thiazole, pyrazole and/or pyridine ring systems. J. Heterocycl. Chem. 2020, 57, 1011–1022. [Google Scholar] [CrossRef]
- Chang, J.; Liu, Y.; Zhang, T.; Chen, Z.; Fang, H.; Hua, X. A Comprehensive Investigation of Hydrazide and Its Derived Structures in the Agricultural Fungicidal Field. J. Agric. Food Chem. 2023, 71, 8297–8316. [Google Scholar] [CrossRef] [PubMed]
- Khan, F.-A.; Yaqoob, S.; Ali, S.; Tanveer, N.; Wang, Y.; Ashraf, S.; Hasan, K.A.; Khalifa, S.A.M.; Shou, Q.; Ul-Haq, Z.; et al. Designing Functionally Substituted Pyridine-Carbohydrazides for Potent Antibacterial and Devouring Antifungal Effect on Multidrug Resistant (MDR) Strains. Molecules 2022, 28, 212. [Google Scholar] [CrossRef]
- Majumdar, P.; Pati, A.; Patra, M.; Behera, R.K.; Behera, A.K. Acid hydrazides, potent reagents for synthesis of oxygen-, nitrogen-, and/or sulfur-containing heterocyclic rings. Chem. Rev. 2014, 114, 2942–2977. [Google Scholar] [CrossRef] [PubMed]
- Mali, S.N.; Thorat, B.R.; Gupta, D.R.; Pandey, A. Mini-Review of the Importance of Hydrazides and Their Derivatives—Synthesis and Biological Activity. Engeering Proc. 2021, 11, 21. [Google Scholar] [CrossRef]
- Smith, P.A.S. Organic Reactions; Foreign Literature Publishers: Moscow, Russia, 1951. [Google Scholar]
- Berillo, D.A.; Dyusebaeva, M.A. Synthesis of hydrazides of heterocyclic amines and their antimicrobial and spasmolytic activity. Saudi Pharm. J. 2022, 30, 1036–1043. [Google Scholar] [CrossRef]
- Khalaf, H.S.; Naglah, A.M.; Al-Omar, M.A.; Moustafa, G.O.; Awad, H.M.; Bakheit, A.H. Synthesis, Docking, Computational Studies, and Antimicrobial Evaluations of New Dipeptide Derivatives Based on Nicotinoylglycylglycine Hydrazide. Molecules 2020, 25, 3589. [Google Scholar] [CrossRef]
- Moustafa, G.; Khalaf, H.; Naglah, A.; Al-Wasidi, A.; Al-Jafshar, N.; Awad, H. Synthesis, Molecular Docking Studies, In Vitro Antimicrobial and Antifungal Activities of Novel Dipeptide Derivatives Based on N-(2-(2-Hydrazinyl-2-oxoethylamino)-2-oxoethyl)-Nicotinamide. Molecules 2018, 23, 761. [Google Scholar] [CrossRef]
- Popiołek, Ł.; Rysz, B.; Biernasiuk, A.; Wujec, M. Synthesis of promising antimicrobial agents: Hydrazide-hydrazones of 5-nitrofuran-2-carboxylic acid. Chem. Biol. Drug Des. 2020, 95, 260–269. [Google Scholar] [CrossRef]
- Jamil, W.; Shaikh, J.; Yousuf, M.; Taha, M.; Khan, K.M.; Shah, S.A.A. Synthesis, anti-diabetic and in silico QSAR analysis of flavone hydrazide Schiff base derivatives. J. Biomol. Struct. Dyn. 2022, 40, 12723–12738. [Google Scholar] [CrossRef]
- Patil, S.; Pandey, S.; Singh, A.; Radhakrishna, M.; Basu, S. Hydrazide–Hydrazone Small Molecules as AIEgens: Illuminating Mitochondria in Cancer Cells. Chem. Eur. J. 2019, 25, 8229–8235. [Google Scholar] [CrossRef] [PubMed]
- Wu, B.-X.; Chang, H.-Y.; Liao, Y.-S.; Yeh, M.-Y. Synthesis, photochemical isomerization and photophysical properties of hydrazide–hydrazone derivatives. New J. Chem. 2021, 45, 1651–1657. [Google Scholar] [CrossRef]
- Pham, V.H.; Phan, T.P.D.; Phan, D.C.; Vu, B.D. Synthesis and Bioactivity of Hydrazide-Hydrazones with the 1-Adamantyl-Carbonyl Moiety. Molecules 2019, 24, 4000. [Google Scholar] [CrossRef] [PubMed]
- Zhou, F.; Wang, H.; Liu, P.; Hu, Q.; Wang, Y.; Liu, C.; Hu, J. A highly selective and sensitive turn-on probe for aluminum(III) based on quinoline Schiff’s base and its cell imaging. Spectrochim. Acta Part A Mol. Biomol. Spectrosc. 2018, 190, 104–110. [Google Scholar] [CrossRef]
- Kashid, B.B.; Salunkhe, P.H.; Dongare, B.B.; More, K.R.; Khedkar, V.M.; Ghanwat, A.A. Synthesis of novel of 2, 5-disubstituted 1, 3, 4- oxadiazole derivatives and their in vitro anti-inflammatory, anti-oxidant evaluation, and molecular docking study. Bioorg. Med. Chem. Lett. 2020, 30, 127136. [Google Scholar] [CrossRef]
- Padmavathi, V.; Sudhakar Reddy, G.; Padmaja, A.; Kondaiah, P. Ali-Shazia Synthesis, antimicrobial and cytotoxic activities of 1,3,4-oxadiazoles, 1,3,4-thiadiazoles and 1,2,4-triazoles. Eur. J. Med. Chem. 2009, 44, 2106–2112. [Google Scholar] [CrossRef]
- Rana, S.M.; Islam, M.; Saeed, H.; Rafique, H.; Majid, M.; Aqeel, M.T.; Imtiaz, F.; Ashraf, Z. Synthesis, Computational Studies, Antioxidant and Anti-Inflammatory Bio-Evaluation of 2,5-Disubstituted-1,3,4-Oxadiazole Derivatives. Pharmaceuticals 2023, 16, 1045. [Google Scholar] [CrossRef]
- Daud, S.; Abid, O.-R.; Sardar, A.; Shah, B.A.; Rafiq, M.; Wadood, A.; Ghufran, M.; Rehman, W.; Zain-ul-Wahab; Iftikhar, F.; et al. Design, synthesis, in vitro evaluation, and docking studies on ibuprofen derived 1,3,4-oxadiazole derivatives as dual α-glucosidase and urease inhibitors. Med. Chem. Res. 2022, 31, 316–336. [Google Scholar] [CrossRef]
- Świątek, P.; Glomb, T.; Dobosz, A.; Gębarowski, T.; Wojtkowiak, K.; Jezierska, A.; Panek, J.J.; Świątek, M.; Strzelecka, M. Biological Evaluation and Molecular Docking Studies of Novel 1,3,4-Oxadiazole Derivatives of 4,6-Dimethyl-2-sulfanylpyridine-3-carboxamide. Int. J. Mol. Sci. 2022, 23, 549. [Google Scholar] [CrossRef]
- Tolan, H.E.M.; Fahim, A.M.; Ismael, E.H.I. Synthesis, biological activities, molecular docking, theoretical calculations of some 1,3,4-oxadiazoles, 1,2,4-triazoles, and 1,2,4-triazolo[3,4-b]-1,3,4-thiadiazines derivatives. J. Mol. Struct. 2023, 1283, 135238. [Google Scholar] [CrossRef]
- Saylam, M.; Aydın Köse, F.; Pabuccuoglu, A.; Barut Celepci, D.; Aygün, M.; Pabuccuoglu, V. Design, synthesis, and biological activity studies on benzimidazole derivatives targeting myeloperoxidase. Eur. J. Med. Chem. 2023, 248, 115083. [Google Scholar] [CrossRef] [PubMed]
- Han, M.İ.; Atalay, P.; İmamoğlu, N.; Küçükgüzel, G. Synthesis, characterization and anticancer activity of novel hydrazide-hydrazones derived from ethyl paraben. J. Res. Pharm. 2020, 24, 341–349. [Google Scholar] [CrossRef]
- Popiołek, Ł.; Patrejko, P.; Gawrońska-Grzywacz, M.; Biernasiuk, A.; Berecka-Rycerz, A.; Natorska-Chomicka, D.; Piątkowska-Chmiel, I.; Gumieniczek, A.; Dudka, J.; Wujec, M. Synthesis and in vitro bioactivity study of new hydrazide-hydrazones of 5-bromo-2-iodobenzoic acid. Biomed. Pharmacother. 2020, 130, 110526. [Google Scholar] [CrossRef] [PubMed]
- Han, M.İ.; Atalay, P.; Tunç, C.Ü.; Ünal, G.; Dayan, S.; Aydın, Ö.; Küçükgüzel, Ş.G. Design and synthesis of novel (S)-Naproxen hydrazide-hydrazones as potent VEGFR-2 inhibitors and their evaluation in vitro/in vivo breast cancer models. Bioorg. Med. Chem. 2021, 37, 116097. [Google Scholar] [CrossRef]
- Han, M.İ.; Bekçi, H.; Cumaoğlu, A.; Küçükgüzel, Ş. Synthesis and characterization of 1,2,4-triazole containing hydrazide-hydrazones derived from (S)-naproxen as anticancer agents. Marmara Pharm. J. 2018, 22, 229–239. [Google Scholar] [CrossRef]
- Rawat, B.S.; Shukla, S.K.; Gangwar, N.; Tandon, R.; Mehra, S.C. Synthesis Characterization and Anti-Inflammatory Activities of Substituted Aniline Oxadiazolyl Derivatives. Int. J. Sci. Res. Sci. Eng. Technol. 2017, 3, 290–295. [Google Scholar]
- Kumar, P.; Kadyan, K.; Duhan, M.; Sindhu, J.; Singh, V.; Saharan, B.S. Design, synthesis, conformational and molecular docking study of some novel acyl hydrazone based molecular hybrids as antimalarial and antimicrobial agents. Chem. Cent. J. 2017, 11, 115. [Google Scholar] [CrossRef]
- Abba, C.; Puram, N.; Betala, S. Synthesis of Novel Amide Functionalized Pyrido[2,3-d]pyrimidine Derivatives and their Anticancer Activity. Asian J. Chem. 2021, 33, 1579–1584. [Google Scholar] [CrossRef]
- Kassem, A.F.; Batran, R.Z.; Abbas, E.M.H.; Elseginy, S.A.; Shaheen, M.N.F.; Elmahdy, E.M. New 4-phenylcoumarin derivatives as potent 3C protease inhibitors: Design, synthesis, anti-HAV effect and molecular modeling. Eur. J. Med. Chem. 2019, 168, 447–460. [Google Scholar] [CrossRef]
- Halawa, A.H.; Hassan, A.A.E.-H.; El-Nassag, M.A.; Abd El-All, M.M.; Abd El-Jaleel, G.E.-R.; Eliwa, E.M.; Bedair, A.H. Synthesis, Reactions, Antioxidant and Anticancer Evaluation of Some Novel Coumarin Derivatives Using Ethyl 2-(2-Oxo-4-Phenyl-2H-Chromen-7-Yloxy) Acetate As a Starting Material. Eur. J. Chem. 2014, 5, 111–121. [Google Scholar] [CrossRef]
- Meshcheryakova, S.; Shumadalova, A.; Beylerli, O.; Gareev, I. Synthesis and biological activity of 2-[6-methyl-4-(thietan-3-yloxy)pyrimidin-2-ylthio]acetohydrazide derivatives. ADMET DMPK 2021, 9, 167–176. [Google Scholar] [CrossRef] [PubMed]
- Badawy, M.A.S.; Abdelall, E.K.A.; El-Nahass, E.S.; Abdellatif, K.R.A.; Abdel-Rahman, H.M. Design, synthesis, biological assessment and: In silico ADME prediction of new 2-(4-(methylsulfonyl) phenyl) benzimidazoles as selective cyclooxygenase-2 inhibitors. RSC Adv. 2021, 11, 27659–27673. [Google Scholar] [CrossRef] [PubMed]
- Almehmadi, M.A.; Aljuhani, A.; Alraqa, S.Y.; Ali, I.; Rezki, N.; Aouad, M.R.; Hagar, M. Design, synthesis, DNA binding, modeling, anticancer studies and DFT calculations of Schiff bases tethering benzothiazole-1,2,3-triazole conjugates. J. Mol. Struct. 2021, 1225, 129148. [Google Scholar] [CrossRef]
- Abdelhamid, A.A.; Salah, H.A.; Marzouk, A.A. Synthesis of imidazole derivatives: Ester and hydrazide compounds with antioxidant activity using ionic liquid as an efficient catalyst. J. Heterocycl. Chem. 2020, 57, 676–685. [Google Scholar] [CrossRef]
- Cahyana, A.; Halim, D.; Amaliyah, L. Synthesis of antioxidant and antimicrobial bioactive compounds based on the quinoline-hydrazone and benzimidazole structure. J. Adv. Pharm. Technol. Res. 2023, 14, 125. [Google Scholar] [CrossRef]
- Abu-Hashem, A.A. Synthesis of new pyrazoles, oxadiazoles, triazoles, pyrrolotriazines, and pyrrolotriazepines as potential cytotoxic agents. J. Heterocycl. Chem. 2021, 58, 805–821. [Google Scholar] [CrossRef]
- Zampieri, D.; Fortuna, S.; Romano, M.; De Logu, A.; Cabiddu, G.; Sanna, A.; Mamolo, M.G. Synthesis, Biological Evaluation and Computational Studies of New Hydrazide Derivatives Containing 1,3,4-Oxadiazole as Antitubercular Agents. Int. J. Mol. Sci. 2022, 23, 15295. [Google Scholar] [CrossRef]
- Shankara, S.D.; Isloor, A.M.; Kudva, A.K.; Raghu, S.V.; Jayaswamy, P.K.; Venugopal, P.P.; Shetty, P.; Chakraborty, D. 2,5-Bis(2,2,2-trifluoroethoxy)phenyl-tethered 1,3,4-Oxadiazoles Derivatives: Synthesis, In Silico Studies, and Biological Assessment as Potential Candidates for Anti-Cancer and Anti-Diabetic Agent. Molecules 2022, 27, 8694. [Google Scholar] [CrossRef]
- Dhonnar, S.L.; More, R.A.; Adole, V.A.; Jagdale, B.S.; Sadgir, N.V.; Chobe, S.S. Synthesis, spectral analysis, antibacterial, antifungal, antioxidant and hemolytic activity studies of some new 2,5-disubstituted-1,3,4-oxadiazoles. J. Mol. Struct. 2022, 1253, 132216. [Google Scholar] [CrossRef]
- Hamdy, R.; Elseginy, S.A.; Ziedan, N.I.; El-Sadek, M.; Lashin, E.; Jones, A.T.; Westwell, A.D. Design, Synthesis and Evaluation of New Bioactive Oxadiazole Derivatives as Anticancer Agents Targeting Bcl-2. Int. J. Mol. Sci. 2020, 21, 8980. [Google Scholar] [CrossRef]
- Bashir, B.; Riaz, N.; Abida Ejaz, S.; Saleem, M.; Ashraf, M.; Iqbal, A.; Muzaffar, S.; Ejaz, S.; Aziz-ur-Rehman; Mohammad Kashif Mahmood, H.; et al. Assessing p-tolyloxy-1,3,4-oxadiazole acetamides as lipoxygenase inhibitors assisted by in vitro and in silico studies. Bioorg. Chem. 2022, 129, 106144. [Google Scholar] [CrossRef] [PubMed]
- Mamatha, S.V.; Belagali, S.L.; Bhat, M. Synthesis, characterisation and evaluation of oxadiazole as promising anticancer agent. SN Appl. Sci. 2020, 2, 882. [Google Scholar] [CrossRef]
- Javid, J.; Aziz-ur-Rehman; Abbasi, M.A.; Siddiqui, S.Z.; Iqbal, J.; Virk, N.A.; Rasool, S.; Ali, H.A.; Ashraf, M.; Shahid, W.; et al. Comparative conventional and microwave assisted synthesis of heterocyclic oxadiazole analogues having enzymatic inhibition potential. J. Heterocycl. Chem. 2021, 58, 93–110. [Google Scholar] [CrossRef]
- Riaz, N.; Iftikhar, M.; Saleem, M.; Aziz-ur-Rehman; Hussain, S.; Rehmat, F.; Afzal, Z.; Khawar, S.; Ashraf, M.; Al-Rashida, M. New synthetic 1,2,4-triazole derivatives: Cholinesterase inhibition and molecular docking studies. Results Chem. 2020, 2, 100041. [Google Scholar] [CrossRef]
- Yasin, M.; Shahid, W.; Ashraf, M.; Saleem, M.; Muzaffar, S.; Aziz-ur-Rehman; Ejaz, S.A.; Saeed, A.; Majer, T.; Bhattarai, K.; et al. 4-Chlorophenyl-N-furfuryl-1,2,4-triazole Methylacetamides as Significant 15-Lipoxygenase Inhibitors: An Efficient Approach for Finding Lead Anti-inflammatory Compounds. ACS Omega 2022, 7, 19721–19734. [Google Scholar] [CrossRef]
- Shahid, W.; Ashraf, M.; Saleem, M.; Bashir, B.; Muzaffar, S.; Ali, M.; Kaleem, A.; Aziz-ur-Rehman; Amjad, H.; Bhattarai, K.; et al. Exploring phenylcarbamoylazinane-1,2,4-triazole thioethers as lipoxygenase inhibitors supported with in vitro, in silico and cytotoxic studies. Bioorg. Chem. 2021, 115, 105261. [Google Scholar] [CrossRef]
- Muzaffar, S.; Shahid, W.; Riaz, N.; Saleem, M.; Ashraf, M.; Aziz-ur-Rehman; Bashir, B.; Kaleem, A.; Al-Rashida, M.; Baral, B.; et al. Probing phenylcarbamoylazinane-1,2,4-triazole amides derivatives as lipoxygenase inhibitors along with cytotoxic, ADME and molecular docking studies. Bioorg. Chem. 2021, 107, 104525. [Google Scholar] [CrossRef]
- Sabry, M.A.; Ghaly, M.A.; Maarouf, A.R.; El-Subbagh, H.I. New thiazole-based derivatives as EGFR/HER2 and DHFR inhibitors: Synthesis, molecular modeling simulations and anticancer activity. Eur. J. Med. Chem. 2022, 241, 114661. [Google Scholar] [CrossRef]
- Taha, M.; Barak Almandil, N.; Rashid, U.; Ali, M.; Ibrahim, M.; Gollapalli, M.; Mosaddik, A.; Mohammed Khan, K. 2,5-Disubstituted thiadiazoles as potent β-glucuronidase inhibitors; Synthesis, in vitro and in silico studies. Bioorg. Chem. 2019, 91, 103126. [Google Scholar] [CrossRef]
- Türk, S.; Karakuş, S.; Maryam, A.; Oruç-Emre, E.E. Synthesis, characterization, antituberculosis activity and computational studies on novel schiff bases of 1,3,4-thiadiazole derivatives. J. Res. Pharm. 2020, 24, 793–800. [Google Scholar] [CrossRef]
- Han, M.İ.; İmamoğlu, N. Design, Synthesis, and Anticancer Evaluation of Novel Tetracaine Hydrazide-Hydrazones. ACS Omega 2023, 8, 9198–9211. [Google Scholar] [CrossRef] [PubMed]
- Bora, D.; Sharma, A.; John, S.E.; Shankaraiah, N. Development of hydrazide hydrazone-tethered combretastatin-oxindole derivatives as antimitotic agents. J. Mol. Struct. 2023, 1275, 134675. [Google Scholar] [CrossRef]
- Halil, Ş.; Berre, M.; Rabia Büşra, Ş.; Halil Burak, K.; Ebru, H. Synthesis of oleanolic acid hydrazide-hydrazone hybrid derivatives and investigation of their cytotoxic effects on A549 human lung cancer cells. Results Chem. 2022, 4, 100317. [Google Scholar] [CrossRef]
- Jęśkowiak, I.; Ryng, S.; Świtalska, M.; Wietrzyk, J.; Bryndal, I.; Lis, T.; Mączyński, M. The N′-Substituted Derivatives of 5-Chloro-3-Methylisothiazole-4-Carboxylic Acid Hydrazide with Antiproliferative Activity. Molecules 2020, 25, 88. [Google Scholar] [CrossRef]
- Zhao, H.; Jiang, S.; Ye, Z.; Zhu, H.; Hu, B.; Meng, P.; Hu, Y.; Zhang, H.; Wang, K.; Wang, J.; et al. Discovery of hydrazide-containing oseltamivir analogues as potent inhibitors of influenza A neuraminidase. Eur. J. Med. Chem. 2021, 221, 113567. [Google Scholar] [CrossRef]
- El-Helw, E.A.E.; Hashem, A.I. Synthesis and antitumor activity evaluation of some pyrrolone and pyridazinone heterocycles derived from 3-((2-oxo-5-(p-tolyl)furan-3(2H)-ylidene)methyl)quinolin-2(1H)-one. Synth. Commun. 2020, 50, 1046–1055. [Google Scholar] [CrossRef]
- Morsy, A.R.I.; Ramadan, S.K.; Elsafty, M.M. Synthesis and antiviral activity of some pyrrolonyl substituted heterocycles as additives to enhance inactivated Newcastle disease vaccine. Med. Chem. Res. 2020, 29, 979–988. [Google Scholar] [CrossRef]
- Hashem, A.I.; Youssef, A.S.A.; Kandeel, K.A.; Abou-Elmagd, W.S.I. Conversion of some 2(3H)-furanones bearing a pyrazolyl group into other heterocyclic systems with a study of their antiviral activity. Eur. J. Med. Chem. 2007, 42, 934–939. [Google Scholar] [CrossRef]
- Ramadan, S.K.; Abdel Haleem, D.R.; Abd-Rabboh, H.S.M.; Gad, N.M.; Abou-Elmagd, W.S.I.; Haneen, D.S.A. Synthesis, SAR studies, and insecticidal activities of certain N-heterocycles derived from 3-((2-chloroquinolin-3-yl)methylene)-5-phenylfuran-2(3 H)-one against Culex pipiens L. larvae. RSC Adv. 2022, 12, 13628–13638. [Google Scholar] [CrossRef]
- Singh, S.; Kandasamy, J. Synthesis of Acyl Hydrazides from Carboxamides and Hydrazine Hydrate Under Metal-Free Conditions at Room Temperature. Asian J. Org. Chem. 2023, 12, 10–15. [Google Scholar] [CrossRef]
- Gunthanakkala, A.K.; Mangali, M.S.; Venkatapuram, P.; Adivireddy, P. Synthesis, characterization and antioxidant activity of bis (arylsulfonylmethyl/arylaminosulfonylmethylazolyl) pyridines. J. Heterocycl. Chem. 2020, 57, 4164–4174. [Google Scholar] [CrossRef]
- Ramírez, H.; Fernandez, E.; Rodrigues, J.; Mayora, S.; Martínez, G.; Celis, C.; De Sanctis, J.B.; Mijares, M.; Charris, J. Synthesis and antimalarial and anticancer evaluation of 7-chlorquinoline-4-thiazoleacetic derivatives containing aryl hydrazide moieties. Arch. Pharm. 2021, 354, e2100002. [Google Scholar] [CrossRef] [PubMed]
- Han, Y.; Tian, Y.; Wang, R.; Fu, S.; Jiang, J.; Dong, J.; Qin, M.; Hou, Y.; Zhao, Y. Design, synthesis and biological evaluation of thieno[3,2-d]pyrimidine derivatives containing aroyl hydrazone or aryl hydrazide moieties for PI3K and mTOR dual inhibition. Bioorg. Chem. 2020, 104, 104197. [Google Scholar] [CrossRef] [PubMed]
- Jin, X.Y.; Chen, H.; Li, D.D.; Li, A.L.; Wang, W.Y.; Gu, W. Design, synthesis, and anticancer evaluation of novel quinoline derivatives of ursolic acid with hydrazide, oxadiazole, and thiadiazole moieties as potent MEK inhibitors. J. Enzyme Inhib. Med. Chem. 2019, 34, 955–972. [Google Scholar] [CrossRef]
- Ding, Y.; Zhang, L.; Yang, S.; Li, Z.; Wang, P.Y. Synthesis, Antimicrobial Activity, and Molecular Docking of Benzoic Hydrazide or Amide Derivatives Containing a 1,2,3-Triazole Group as Potential SDH Inhibitors. Chin. J. Chem. 2021, 39, 1319–1330. [Google Scholar] [CrossRef]
- Wang, X.; Dai, Z.C.; Chen, Y.F.; Cao, L.L.; Yan, W.; Li, S.K.; Wang, J.X.; Zhang, Z.G.; Ye, Y.H. Synthesis of 1,2,3-triazole hydrazide derivatives exhibiting anti-phytopathogenic activity. Eur. J. Med. Chem. 2017, 126, 171–182. [Google Scholar] [CrossRef]
- Joly, N.; Bettoni, L.; Gaillard, S.; Poater, A.; Renaud, J.L. Phosphine-free ruthenium complex-catalyzed synthesis of mono- Or dialkylated acyl hydrazides via the borrowing hydrogen strategy. J. Org. Chem. 2021, 86, 6813–6825. [Google Scholar] [CrossRef]
- Thiyagarajan, S.; Gunanathan, C. Direct Catalytic Symmetrical, Unsymmetrical N,N-Dialkylation and Cyclization of Acylhydrazides Using Alcohols. Org. Lett. 2020, 22, 6617–6622. [Google Scholar] [CrossRef]
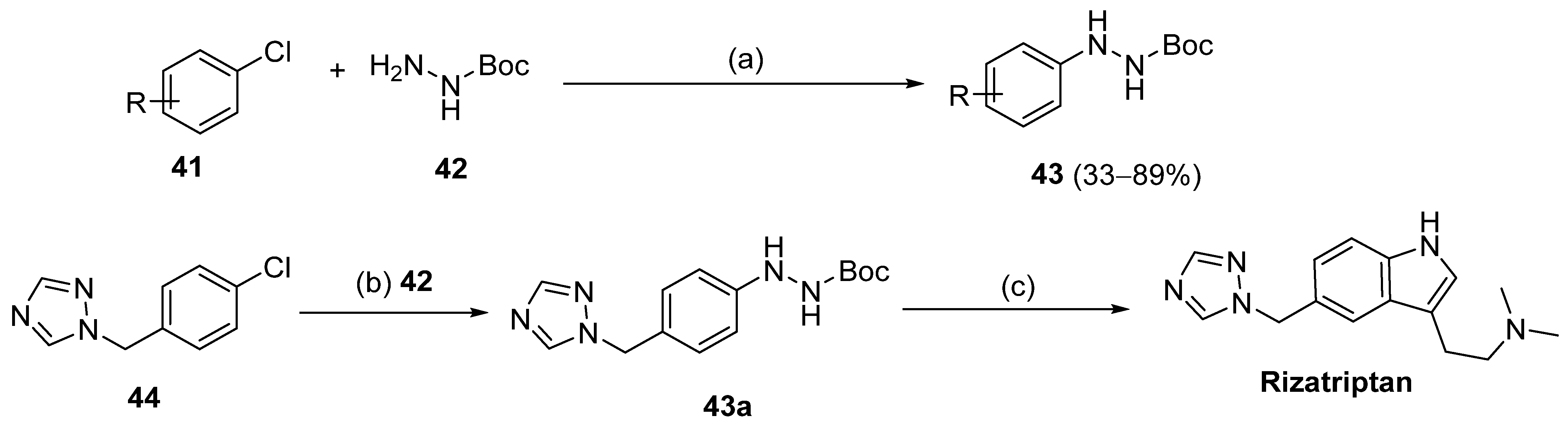
- Barbor, J.P.; Nair, V.N.; Sharp, K.R.; Lohrey, T.D.; Dibrell, S.E.; Shah, T.K.; Walsh, M.J.; Reisman, S.E.; Stoltz, B.M. Development of a Nickel-Catalyzed N-N Coupling for the Synthesis of Hydrazides. J. Am. Chem. Soc. 2023, 145, 15071–15077. [Google Scholar] [CrossRef]
- Li, F.; Xiong, W.; Song, G.; Yan, Y.; Li, G.; Wang, C.; Xiao, J.; Xue, D. Light-Promoted Ni-Catalyzed Cross-Coupling of Aryl Chlorides with Hydrazides: Application to the Synthesis of Rizatriptan. Org. Lett. 2023, 25, 3287–3292. [Google Scholar] [CrossRef]
- Saleem, M.; Ratwan, A.; Yamini, P.; Yadagiri, D. Visible-Light-Induced Siloxycarbene Addition to N═N of Azodicarboxylates: Synthesis of Acyl Hydrazides from Acylsilanes. Org. Lett. 2024, 26, 2039–2044. [Google Scholar] [CrossRef] [PubMed]
- Jha, A.K.; Kumari, R.; Easwar, S. A Hydrazine Insertion Route to N′-Alkyl Benzohydrazides by an Unexpected Carbon-Carbon Bond Cleavage. Org. Lett. 2019, 21, 8191–8195. [Google Scholar] [CrossRef] [PubMed]
- Song, M.; Liu, B.; Yu, S.; He, S.; Liang, Y.; Li, S.; Chen, Q.; Deng, X. New Hydrazone Derivatives of Pyrazole-4-carboxaldehydes Exhibited Anti-inflammatory Properties. Lett. Drug Des. Discov. 2020, 17, 502–511. [Google Scholar] [CrossRef]
- Nurkenov, O.A.; Fazylov, S.D.; Satpaeva, Z.B.; Seilkhanov, T.M.; Turdybekov, D.M.; Mendibayeva, A.Z.; Akhmetova, S.B.; Shulgau, Z.T.; Alkhimova, L.E.; Kulakov, I.V. Synthesis, structure and biological activity of hydrazones derived from 2- and 4-hydroxybenzoic acid hydrazides. Chem. Data Collect. 2023, 48, 101089. [Google Scholar] [CrossRef]
- Velezheva, V.; Brennan, P.; Ivanov, P.; Kornienko, A.; Lyubimov, S.; Kazarian, K.; Nikonenko, B.; Majorov, K.; Apt, A. Synthesis and antituberculosis activity of indole-pyridine derived hydrazides, hydrazide-hydrazones, and thiosemicarbazones. Bioorg. Med. Chem. Lett. 2016, 26, 978–985. [Google Scholar] [CrossRef]
- Bhavanarushi, S.; Luo, Z.; Bharath, G.; Rani, J.; Khan, I.; Xu, Y.; Liu, B.; Xie, J. F(1 H -Pyrazol-4-yl)methylene-Hydrazide derivatives: Synthesis and antimicrobial activity. J. Heterocycl. Chem. 2020, 57, 751–760. [Google Scholar] [CrossRef]
- Abbasi, I.; Nadeem, H.; Saeed, A.; Kharl, H.A.A.; Tahir, M.N.; Naseer, M.M. Isatin-hydrazide conjugates as potent α-amylase and α-glucosidase inhibitors: Synthesis, structure and in vitro evaluations. Bioorg. Chem. 2021, 116, 105385. [Google Scholar] [CrossRef]
- Güngör, S.A. Synthesis, in silico and in vitro studies of hydrazide-hydrazone imine derivatives as potential cholinesterase inhibitors. Chem. Biol. Drug Des. 2023, 102, 676–691. [Google Scholar] [CrossRef]
- Aslanhan, Ö.; Kalay, E.; Tokalı, F.S.; Can, Z.; Şahin, E. Design, synthesis, antioxidant and anticholinesterase activities of novel isonicotinic hydrazide-hydrazone derivatives. J. Mol. Struct. 2023, 1279, 135037. [Google Scholar] [CrossRef]
- El-Helw, E.A.E.; El-Badawy, A.A. Synthesis of chromenone, pyrimidinone, thiazoline, and quinolone derivatives as prospective antitumor agents. J. Heterocycl. Chem. 2020, 57, 2354–2364. [Google Scholar] [CrossRef]
- Al-Wahaibi, L.H.; Alvarez, N.; Blacque, O.; Veiga, N.; Al-Mutairi, A.A.; El-Emam, A.A. Synthesis and Structure Insights of Two Novel Broad-Spectrum Antibacterial Candidates Based on (E)-N′-[(Heteroaryl)methylene]adamantane-1-carbohydrazides. Molecules 2020, 25, 1934. [Google Scholar] [CrossRef] [PubMed]
- Papageorgiou, A.; Foscolos, A.S.; Papanastasiou, I.P.; Vlachou, M.; Siamidi, A.; Vocat, A.; Cole, S.T.; Kellici, T.F.; Mavromoustakos, T.; Tsotinis, A. Synthesis, biology, computational studies and in vitro controlled release of new isoniazid-based adamantane derivatives. Future Med. Chem. 2019, 11, 2779–2802. [Google Scholar] [CrossRef]
- Wassel, M.M.S.; Ragab, A.; Elhag Ali, G.A.M.; Mehany, A.B.M.; Ammar, Y.A. Novel adamantane-pyrazole and hydrazone hybridized: Design, synthesis, cytotoxic evaluation, SAR study and molecular docking simulation as carbonic anhydrase inhibitors. J. Mol. Struct. 2020, 1223, 128966. [Google Scholar] [CrossRef]
- Zala, M.; Vora, J.J.; Patel, H.B. Synthesis, Characterization, and Comparative Study of Some Heterocyclic Compounds Containing Isoniazid and Nicotinic Acid Hydrazide Moieties. Russ. J. Org. Chem. 2020, 56, 1795–1800. [Google Scholar] [CrossRef]
- Briffotaux, J.; Xu, Y.; Huang, W.; Hui, Z.; Wang, X.; Gicquel, B.; Liu, S. A Hydrazine–Hydrazone Adamantine Compound Shows Antimycobacterial Activity and Is a Probable Inhibitor of MmpL3. Molecules 2022, 27, 7130. [Google Scholar] [CrossRef]
- Jang, D.; Lee, A.-H.; Shin, H.-Y.; Song, H.-R.; Park, J.-H.; Kang, T.-B.; Lee, S.-R.; Yang, S.-H. The Role of Tumor Necrosis Factor Alpha (TNF-α) in Autoimmune Disease and Current TNF-α Inhibitors in Therapeutics. Int. J. Mol. Sci. 2021, 22, 2719. [Google Scholar] [CrossRef]
- Puimège, L.; Libert, C.; Van Hauwermeiren, F. Regulation and dysregulation of tumor necrosis factor receptor-1. Cytokine Growth Factor Rev. 2014, 25, 285–300. [Google Scholar] [CrossRef]
- Liang, Z.; Huang, Y.; Wang, S.; Deng, X. Synthesis and Biological Evaluation of Some Pyrazole Derivatives, Containing (Thio) Semicarbazide, as Dual Anti-Inflammatory Antimicrobial Agents. Lett. Drug Des. Discov. 2019, 16, 1020–1030. [Google Scholar] [CrossRef]
- Du, X.; Yin, D.; Ge, Z.; Wang, X.; Li, R. Asymmetric Michael addition reactions of pyrrolones with chalcones catalyzed by vicinal primary-diamine salts. RSC Adv. 2017, 7, 24547–24550. [Google Scholar] [CrossRef]
- Ramzan, F.; Nabi, S.A.; Lone, M.S.; Bonardi, A.; Hamid, A.; Bano, S.; Sharma, K.; Shafi, S.; Samim, M.; Javed, K.; et al. Synthesis, biological evaluation and theoretical studies of (E)-1-(4-sulfamoyl-phenylethyl)-3-arylidene-5-aryl-1H-pyrrol-2(3H)-ones as human carbonic anhydrase inhibitors. J. Enzym. Inhib. Med. Chem. 2023, 38, 2189126. [Google Scholar] [CrossRef]
- Abdelbaset, M.S.; Abuo-Rahma, G.E.D.A.; Abdelrahman, M.H.; Ramadan, M.; Youssif, B.G.M.; Bukhari, S.N.A.; Mohamed, M.F.A.; Abdel-Aziz, M. Novel pyrrol-2(3H)-ones and pyridazin-3(2H)-ones carrying quinoline scaffold as anti-proliferative tubulin polymerization inhibitors. Bioorg. Chem. 2018, 80, 151–163. [Google Scholar] [CrossRef] [PubMed]
- Abbas, S.H.; Abuo-Rahma, G.E.D.A.A.; Abdel-Aziz, M.; Aly, O.M.; Beshr, E.A.; Gamal-Eldeen, A.M. Synthesis, cytotoxic activity, and tubulin polymerization inhibitory activity of new pyrrol-2(3H)-ones and pyridazin-3(2H)-ones. Bioorg. Chem. 2016, 66, 46–62. [Google Scholar] [CrossRef] [PubMed]
- Abou-Elmagd, W.S.I.; EL-Ziaty, A.K.; Elzahar, M.I.; Ramadan, S.K.; Hashem, A.I. Synthesis and antitumor activity evaluation of some N-heterocycles derived from pyrazolyl-substituted 2(3H)-furanone. Synth. Commun. 2016, 46, 1197–1208. [Google Scholar] [CrossRef]
- Murugesan, D.; Mital, A.; Kaiser, M.; Shackleford, D.M.; Morizzi, J.; Katneni, K.; Campbell, M.; Hudson, A.; Charman, S.A.; Yeates, C.; et al. Discovery and structure-activity relationships of pyrrolone antimalarials. J. Med. Chem. 2013, 56, 2975–2990. [Google Scholar] [CrossRef]
- Alam, M.M.; Husain, A.; Hasan, S.M.; Suruchi; Anwer, T. Synthesis and pharmacological evaluation of 2(3H)-furanones and 2(3H)-pyrrolones, combining analgesic and anti-inflammatory properties with reduced gastrointestinal toxicity and lipid peroxidation. Eur. J. Med. Chem. 2009, 44, 2636–2642. [Google Scholar] [CrossRef]
- Youssef, Y.M.; Azab, M.E.; Elsayed, G.A.; El-Sayed, A.A.; Hassaballah, A.I.; El-Helw, E.A.E. Synthesis and antioxidant activity of some pyrazole-based heterocycles using a 2(3H)-furanone building block. Synth. Commun. 2023, 53, 402–413. [Google Scholar] [CrossRef]
- Pelkey, E.T.; Pelkey, S.J.; Greger, J.G. De Novo Synthesis of 3-Pyrrolin-2-Ones. In Advances in Heterocyclic Chemistry; Scriven, E.F.V., Ramsden, C.A., Eds.; Elsevier Ltd.: Amsterdam, The Netherlands, 2015; Volume 115, pp. 151–285. ISBN 9780128021293. [Google Scholar]
- Ji Ram, V.; Sethi, A.; Nath, M.; Pratap, R. Five-Membered Heterocycles. In The Chemistry of Heterocycles; Elsevier: Amsterdam, The Netherlands, 2019; pp. 149–478. ISBN 9780081010334. [Google Scholar]
- Ríos, M.C.; Portilla, J. Recent Advances in Synthesis and Properties of Pyrazoles. Chemistry 2022, 4, 940–968. [Google Scholar] [CrossRef]
- Brown, A.W. Recent Developments in the Chemistry of Pyrazoles, 1st ed.; Elsevier Inc.: Amsterdam, The Netherlands, 2018; Volume 126. [Google Scholar]
- Ardakani, L.S.; Mosslemin, M.H.; Hassanabadi, A.; Hashemian, S. Reaction between Benzoic Acid N′-(2-Oxo-2-Phenyl-Ethyl)Hydrazide and Acetylenic Esters in the Presence of Alkyl Isocyanides: One-Pot Synthesis of Highly Functionalized 2,3-Dihydro-1H-Pyrazoles. Polycycl. Aromat. Compd. 2022, 42, 6861–6867. [Google Scholar] [CrossRef]
- Rawat, P.; Bharati, P.; Gautam, A.; Kumar, M.; Singh, R.; Prakash; Ram, A.; Gautam, S.; Darwari, A.; Mishra, A.; et al. Design and synthesis of pyrazole, pyrazolone and 1,3,4-oxadiazole derivatives having pyrrole motif as a source of new antimicrobial and anticancer agents. J. Mol. Struct. 2023, 1272, 134087. [Google Scholar] [CrossRef]
- Deivasigamani, P.; Rubavathy, S.M.E.; Jayasankar, N.; Saravanan, V.; Thilagavathi, R.; Prakash, M.; Selvam, C.; Rajagopal, R.; Alfarhan, A.; Kathiravan, M.K.; et al. Dual Anti-Inflammatory and Anticancer Activity of Novel 1,5-Diaryl Pyrazole Derivatives: Molecular Modeling, Synthesis, In Vitro Activity, and Dynamics Study. Biomedicines 2024, 12, 788. [Google Scholar] [CrossRef]
- Lato, A.M.; Burke, S.J.; Ducote, M.P.; Kennedy, B.J.; Collier, J.J.; Campagna, S.R. Stereoisomers of an Aryl Pyrazole Glucocorticoid Receptor Agonist Scaffold Elicit Differing Anti-inflammatory Responses. ACS Med. Chem. Lett. 2022, 13, 1493–1499. [Google Scholar] [CrossRef]
- Bennani, F.E.; Doudach, L.; Cherrah, Y.; Ramli, Y.; Karrouchi, K.; Ansar, M.; Faouzi, M.E.A. Overview of recent developments of pyrazole derivatives as an anticancer agent in different cell line. Bioorg. Chem. 2020, 97, 103470. [Google Scholar] [CrossRef] [PubMed]
- Shi, J.B.; Tang, W.J.; Qi, X.B.; Li, R.; Liu, X.H. Novel pyrazole-5-carboxamide and pyrazole–pyrimidine derivatives: Synthesis and anticancer activity. Eur. J. Med. Chem. 2015, 90, 889–896. [Google Scholar] [CrossRef] [PubMed]
- Ahmed, R.F.; Mahmoud, W.R.; Abdelgawad, N.M.; Fouad, M.A.; Said, M.F. Exploring novel anticancer pyrazole benzenesulfonamides featuring tail approach strategy as carbonic anhydrase inhibitors. Eur. J. Med. Chem. 2023, 261, 115805. [Google Scholar] [CrossRef]
- Stecoza, C.E.; Nitulescu, G.M.; Draghici, C.; Caproiu, M.T.; Olaru, O.T.; Bostan, M.; Mihaila, M. Synthesis and Anticancer Evaluation of New 1,3,4-Oxadiazole Derivatives. Pharmaceuticals 2021, 14, 438. [Google Scholar] [CrossRef]
- Paidi, K.R.; Kolli, M.K.; Reddy, E.K.; Pedakotla, V.R. Sodium hypochlorite-mediated synthesis of 2,5-disubstituted 1,3,4-oxadiazoles from hydrazides and aldehydes. Chem. Heterocycl. Compd. 2020, 56, 371–376. [Google Scholar] [CrossRef]
- Paruch, K.; Popiołek, Ł.; Biernasiuk, A.; Hordyjewska, A.; Malm, A.; Wujec, M. Novel 3-Acetyl-2,5-disubstituted-1,3,4-oxadiazolines: Synthesis and Biological Activity. Molecules 2020, 25, 5844. [Google Scholar] [CrossRef]
- Chauhan, J.; Ravva, M.K.; Sen, S. Harnessing Autoxidation of Aldehydes: In Situ Iodoarene Catalyzed Synthesis of Substituted 1,3,4-Oxadiazole, in the Presence of Molecular Oxygen. Org. Lett. 2019, 21, 6562–6565. [Google Scholar] [CrossRef]
- Izgi, S.; Sengul, I.F.; Şahin, E.; Koca, M.S.; Cebeci, F.; Kandemir, H. Synthesis of 7-azaindole based carbohydrazides and 1,3,4-oxadiazoles; Antioxidant activity, α-glucosidase inhibition properties and docking study. J. Mol. Struct. 2022, 1247, 131343. [Google Scholar] [CrossRef]
- Babalola, B.A.; Sharma, L.; Olowokere, O.; Malik, M.; Folajimi, O. Advancing drug discovery: Thiadiazole derivatives as multifaceted agents in medicinal chemistry and pharmacology. Bioorg. Med. Chem. 2024, 112, 117876. [Google Scholar] [CrossRef]
- Ahmad, S.; Alam, M.Z.; Salma, U.; Mohasin, M.; Rahaman, P.F.; Parveen, H.; Khan, S.A. A review on recent progress in synthesis and biological activities of thiadiazole and its derivatives. J. Mol. Struct. 2024, 1312, 138438. [Google Scholar] [CrossRef]
- Kandemir, L.; Karakus, S.; Özbas, S.; Rollas, S.; Akbuga, J. Synthesis, structure elucidation and cytotoxic activities of 2,5-disubstituted-1,3,4-thiadiazole and l,2,4-triazole-3-thione derivatives. J. Res. Pharm. 2022, 26, 941–953. [Google Scholar] [CrossRef]
- Kashyap, A.; Silakari, O. Triazoles. In Key Heterocycle Cores for Designing Multitargeting Molecules; Elsevier: Amsterdam, The Netherlands, 2018; pp. 323–342. ISBN 9780081020838. [Google Scholar]
- Hassani, I.A.E.; Rouzi, K.; Hassani, A.A.E.; Karrouchi, K.; Ansar, M. Recent Developments Towards the Synthesis of Triazole Derivatives: A Review. Organics 2024, 5, 450–471. [Google Scholar] [CrossRef]
- Ren, M.T.; Li, M.; Wang, A.J.; Gao, J.; Zhang, X.X.; Shu, W.M. Iodine-Mediated Condensation–Cyclization of α-Azido Ketones with p-Toluenesulfonyl Hydrazide for Synthesis of 4-Aryl-NH-1,2,3-Triazoles. Eur. J. Org. Chem. 2020, 2020, 2233–2236. [Google Scholar] [CrossRef]
- Clark, P.R.; Williams, G.D.; Hayes, J.F.; Tomkinson, N.C.O. A Scalable Metal-, Azide-, and Halogen-Free Method for the Preparation of Triazoles. Angew. Chem. Int. Ed. 2020, 59, 6740–6744. [Google Scholar] [CrossRef]
- Patterson, S.J.M.; Clark, P.R.; Williams, G.D.; Tomkinson, N.C.O. An azide and acetylene free synthesis of 1-substituted 1,2,3-triazoles. Tetrahedron Lett. 2020, 61, 152483. [Google Scholar] [CrossRef]
- Han, M.İ.; Bekçi, H.; Uba, A.I.; Yıldırım, Y.; Karasulu, E.; Cumaoğlu, A.; Karasulu, H.Y.; Yelekçi, K.; Yılmaz, Ö.; Küçükgüzel, Ş.G. Synthesis, molecular modeling, in vivo study, and anticancer activity of 1,2,4-triazole containing hydrazide–hydrazones derived from (S)-naproxen. Arch. Pharm. 2019, 352, 1800365. [Google Scholar] [CrossRef]
- Zhu, J.; He, L.; Luo, J.; Xiong, J.; Wang, T. Design, synthesis, and herbicidal activity of novel pyrimidine derivatives containing 1,2,4-triazole. Phosphorus Sulfur Silicon Relat. Elem. 2021, 196, 948–953. [Google Scholar] [CrossRef]
- Hussein, B.R.M.; Khodairy, A. Utility of [4-(3-methoxyphenyl)pyrimidin-2-yl]cyanamide in synthesis of some heterocyclic compounds. J. Heterocycl. Chem. 2021, 58, 1983–1991. [Google Scholar] [CrossRef]
- Umapathi, A.; PN, N.; Madhyastha, H.; Singh, M.; Madhyastha, R.; Maruyama, M.; Daima, H.K. Curcumin and isonicotinic acid hydrazide functionalized gold nanoparticles for selective anticancer action. Colloids Surf. A Physicochem. Eng. Asp. 2020, 607, 125484. [Google Scholar] [CrossRef]
- Guo, F.; Xia, T.; Xiao, P.; Wang, Q.; Deng, Z.; Zhang, W.; Diao, G. A supramolecular complex of hydrazide-pillar[5]arene and bisdemethoxycurcumin with potential anti-cancer activity. Bioorg. Chem. 2021, 110, 104764. [Google Scholar] [CrossRef]
- Qurrat-ul-Ain; Abid, A.; Lateef, M.; Rafiq, N.; Eijaz, S.; Tauseef, S. Multi-activity tetracoordinated pallado-oxadiazole thiones as anti-inflammatory, anti-Alzheimer, and anti-microbial agents: Structure, stability and bioactivity comparison with pallado-hydrazides. Biomed. Pharmacother. 2022, 146, 112561. [Google Scholar] [CrossRef]




























































| Ref. | Starting Material | Experimental Conditions | Purification Process | Products (η%) |
|---|---|---|---|---|
| [106] | ![]() 30a | 1. CH2Cl2 EDC, DMAP, 0 °C, 1 h 2. RCONHNH2, r.t., 24 h | Recrystallization from ethyl acetate/CH2Cl2 (1:1) | ![]() 29a (72–88%) |
| [107] | ![]() 30b | RCONHNH2, EDC, DMF, r.t, 12 h | Silica column chromatography | ![]() 29b (68–78%) |
| [108] | ![]() 30c | 1. SOCl2, benzene, reflux, 3 h 2. R2CONHNH2, Et3N, CH2Cl2/ether, r.t, 8–12 h | Silica column chromatography | ![]() 29d R1 = Halide, R2 = Alk (46–88%) |
| [109] | ![]() 30d | RNHNH2, EDC, HOBT, Et3N, CH2Cl2, r.t., 12–24 h | Silica column chromatography | ![]() 28a (35–97%) |
| [92] | ![]() 19c | 8aap, CHCl3, r.t., 1 h | - | ![]() 29c (65–70%) |
| Ref. | Starting Material | Experimental Conditions | Purification Process | Hydrazone Compounds (η%) |
|---|---|---|---|---|
| [124] | ![]() 8abd | (1 eq)EtOH, reflux, 2 h | Recrystallization from ethanol | ![]() 52a (71%) |
| [97] | ![]() 8aaw | RCHO (1.25 eq) MeCN:CHCl3 (1:1), HOAc (0.9 eq), 65 °C, 24 h R = Ar | Silica gel column chromatography | ![]() 52b R = Ar (72–94%) |
| [68] | ![]() 8ah | RCHO (1.1 eq) EtOH, glacial CH3COOH (drops), reflux, 8 h R = Ar | Recrystallization from ethanol | ![]() 52c R = Ar (56–95%) |
| [96] | ![]() 8aau | (1 eq)MeOH, CH3COOH (cat.), reflux, 1h | Flash column chromatography | ![]() 52d (63–85%) |
| [72] | ![]() 8as | RCHO (1 eq), EtOH, piperidine (0.3 eq), reflux, 2 h R = Ar | - | ![]() 52e R = Ar (n.s.) |
| [77] | ![]() 8ao | RCHO (1 eq), EtOH, CH3COOH (drops), reflux, 6–8 h R = Ar | Recrystallization from ethanol | ![]() 52f R = Ar (85–92%) |
| [57] | ![]() 8h | RCHO (1 eq) EtOH, reflux R = Ar | - | ![]() 52g R = Ar (26–55%) |
| [57] | ![]() 8h | MeCOR (1 eq) EtOH, reflux R = Ar | - | ![]() 52h R = Ar (15–61%) |
| [75] | ![]() 8aq | MeCOR1 (n.s.) EtOH, reflux, 1 h | Recrystallization from EtOH, n-BuOH, or i-PrOH | ![]() 52j (61–89%) |
| [73] | ![]() 8ap | MeCOR (1 eq), CH3COOH (17 eq), EtOH, reflux, 6–8 h R = Ar | Recrystallization from acetic acid | ![]() 52k R = Ar (85–95%) |
| [101] | ![]() 8aba.1 | (1 eq)dioxane, reflux, 30 min | Recrystallization from ethanol/dioxane mixture (1:1) or dioxane | ![]() 52l (77%) |
| [76] | ![]() 8ar | R2CHO (1 eq) EtOH, CH3COOH (cat.), reflux, 6 h R2 = Ar | Recrystallization from ethanol | ![]() 52m R2 = Ar (41–60%) |
| [76] | ![]() 8ar | MeCOR (1 eq) EtOH, CH3COOH (cat.), reflux, 6 h R = Ar | Recrystallization from ethanol | ![]() 52n R = Ar (46–62%) |
| [117] | ![]() 8abe R1 = H 8abf R1 = CH3 | (1 eq)EtOH, CH3COOH (0.9 eq), r.t. | Recrystallization from dichloromethane/ethanol (1:2) | ![]() 52o (40–84%) |
| [43] | ![]() 8ai–8am | (antranorin)EtOH, CH3COOH, 50 °C, 2h | Silica gel column chromatography | ![]() 52p (73–89%) ![]() |
| [55] | ![]() 8g | RCHO (1 eq) MeOH, p-TsOH (cat.), r.t., 2 h R = Ar | Silica gel column chromatography | ![]() 52q R = Ar (90–95%) |
| [56] | ![]() 8g | RCHO (n.s.) MeOH, p-TsOH (cat.), r.t., overnight R = Ar | Silica gel column chromatography | ![]() 52q R = Ar (60–79%) |
| [95] | ![]() 8aat | RCHO (1.1 eq) EtOH, CH3COOH (few drops), reflux, 12 h R = Ar | Recrystallization from ethanol | ![]() 52s R = Ar (68–90%) |
| [66] | ![]() 8af | RCHO (1.1 eq) EtOH, CH3COOH (few drops), reflux, 8 h R = Ar | Recrystallization from ethanol | ![]() 52t R = Ar (55–80%) |
| [67] | ![]() 8ag | RCHO (1.1 eq) EtOH, reflux, 3 h R = Ar | Recrystallization from ethanol | ![]() 52u R = Ar (24–90%) |
| [118] | ![]() 8abj R = 2-HO 8af R = 4-HO | R2CHO (0.99 eq) EtOH or i-PrOH, 60 °C, 0.5–6 h R2 = Ar | Recrystallization from i-PrOH | ![]() 52v R = 2-HO, 4-HO; R2 = Ar (66–92%) |
| [38] | ![]() 8n | RCHO (1.1 eq) EtOH, reflux, 3–35 min R = HetAr | Recrystallization from ethanol | ![]() 52w R = HetAr (18–97%) |
| [43] | ![]() 8j, 8k | (n.s.)EtOH, CH3COOH, 50 °C, 2h | Silica gel column chromatography | ![]() 52p (73–89%) |
| [13] | ![]() 8l | 2,4-(HO)2C6H3CHO (1 eq) MeOH, reflux, 6 h | - | ![]() 52y (84%) |
| [34] | ![]() 8m | 1. (1 eq)CH3COOH (28 eq), 90 °C, 6 h 2. NaHCO3 | Recrystallization from ethanol | ![]() 52z R, R1, R2 = alkyl or halide (86–90%) |
| [98] | ![]() 8aax | RCHO (1 eq), EtOH, 78 °C, 4 h R = Ar | Recrystallization from acetonitrile or 70% ethanol | ![]() 52aa R = Ar (50–86%) |
| [37] | ![]() 8av | RCHO (2.1 eq) EtOH/DMF, reflux, 5 h R = Ar | Recrystallization from DMF/ethanol | ![]() 52ab R = Ar (72–80%) |
| [119] | ![]() 1 X = N, Y = CH 8abg.1 X = CH, Y = N 8abg.2 X = N+-O−, Y = CH 8abg.3 X = CH, Y = N+-O− | (n.s)EtOH or CH3COOH, reflux | n.s. | ![]() 52ac (46–65%) |
| [119] | ![]() | (n.s)EtOH or CH3COOH, reflux R1, R2 = alkyl | n.s. | ![]() 52ad R1, R2 = alkyl (72–95%) |
| [53] | ![]() 8r | RCHO (1.1 eq), EtOH, reflux, 2 h R = Ar | Recrystallization from ethanol | ![]() 52ae R = Ar (10–93%) |
| [120] | ![]() 1 X = N, Y = CH 8abg.1 X = CH, Y = N | (1 eq)EtOH, reflux, 5 h | Silica gel column chromatography | ![]() 52af R = R = H, OCH3, F, Cl (89–94%) |
| [43] | ![]() 8al | EtOH, CH3COOH, 50 °C, 2 h | Silica gel column chromatography | ![]() 52p.12 |
| [54] | ![]() 8s | R1COR2 (1 eq) EtOH, acetic acid (~0.2 eq), reflux, 8 h | - | ![]() 52ag R1 = Ar, R2 = H or alkyl (62–92%) |
| [121] | ![]() 1 X = N, Y = CH 8abh X, Y = C-Br, C-Cl, CH, N, C-Me, C-NO2 | (1 eq)EtOH, CH3COOH (cat.), reflux, 3 h | Recrystallization from ethanol | ![]() 52ah (60–80%) |
| [122] | ![]() 8abi | (1 eq)MeOH, reflux | Recrystallization from methanol | ![]() 52ai (78–95%) |
| [123] | ![]() 1 | (1 eq)MeOH, CH3COOH (drops), reflux, 2 h | Recrystallization from ethanol | ![]() 52aj R1 = Ar (75–87%) |
| [78] | ![]() 8at | (n.s.), 25 min | - | ![]() 52ak R = Ar (93%) |
| [79] | ![]() 8au | 4-HOC6H4CHO (1 eq) EtOH, CH3COOH (drops), r.t., 30 min | Recrystallization from ethanol | ![]() 52al (23%) |
| [125] | ![]() 8abh | RCHO (1 eq), EtOH, reflux, 1–2h R = HetAr | Recrystallization from ethanol/water or ethanol | ![]() 52an R = HetAr (82–95%) |
| [126] | ![]() 1 | (1 eq), MeOH, Ar (g), reflux, 3–60 h; Y1: CHO, Z: H, Ph, cyclopentyl | Recrystallization from a mixture of chloroform/ether or silica gel column chromatography | ![]() 52ao (40–86%) Y2: CONH=CHPy; Z: H, Ph, cyclopentyl |
| [126] | ![]() 1 | (1 eq), MeOH, Ar (g), r.t., 18–48 h Y1: CHO, Z: H, Ph, cyclopentyl | Recrystallization from a mixture of chloroform/ether or silica gel column chromatography | ![]() 52ap (78–81%) Y2: CONH=CHPy; Z: H, Ph, cyclopentyl |
| [127] | ![]() 8abh | (1 eq), EtOH, CH3COOH (0.8 eq), reflux, 4–7 hR1 = Me or Ph; R2 = Me or H; R3 = Me or OC2H5 | Recrystallization from ethanol | ![]() 52aq (73%) |
| Ref. | Hydrazide | Experimental Conditions | Purification Process | Final Compounds (η%) |
|---|---|---|---|---|
| [27] | ![]() 8aba.2 | (n.s)Benzene, reflux | n.s. | ![]() 53a (78%) |
| [137] | ![]() 8aba.2 | (1 eq, dropwise)DMF, r.t., 4 h | Recrystallization from ethanol | ![]() 53b (78%) |
| [28] | ![]() 8aax.1 | (1 eq)Et3N, dioxane, r.t., 1 h | Recrystallization from ethanol | ![]() 53c (86%) |
| [28] | ![]() 8aax.1 | PhCOCl (1 eq) Benzene, reflux, 1 h | Recrystallization from ethanol | ![]() 53d (68%) |
| [140] | ![]() 8aax.2 | CH3COOCOCH3 (10.5 eq), r.t., 1 h | Recrystallization from benzene | ![]() 53e (65%) |
| [140] | ![]() 8aax.2 | CH3COOCOCH3 (10.5 eq), reflux, 4 h | Recrystallization from petroleum ether (60–80) | ![]() 53f (60%) |
| [140] | ![]() 8aax.2 | PhCOCl, benzene, reflux, 3 h | Recrystallization from benzene | ![]() 53g (60%) |
| [140] | ![]() 8aax.2 | RCHO (1 eq), EtOH, CH3COOH, reflux, 3 h | Recrystallization from dioxane | ![]() 54c (80%) |
| [28] | ![]() 8aax.1 | (1 eq), CH3COOH, ethanol, reflux, 1 h | Recrystallization from ethanol/dioxane mixture (1:1) | ![]() 54a (87%) |
| [101] | ![]() 8aba.2 | RCHO (1 eq) EtOH, CH3COOH (cat.), reflux, 1 h | Recrystallization from ethanol/dioxane mixture | ![]() 54b (80–84%) |
| Ref. | Starting Material | Experimental Conditions | Purification Process | Pyrazole Compounds (η%) |
|---|---|---|---|---|
| [80] | ![]() 8ac | CH2(COOC2H5)2 C2H5ONa/EtOH Reflux, 14–17 h | Recrystallization from dioxane | ![]() 71a (90%) |
| [80] | ![]() 8ac | CH3COCH2COOC2H5 DMF K2CO3 Reflux, 12–15 h | Recrystallization from methanol | ![]() 69a (85%) |
| [80] | ![]() 8ac | CNCH2COOEt DMF K2CO3 Reflux, 14–17 h | Recrystallization from methanol | ![]() 68a (77%) |
| [80] | ![]() 8ac | CNCH2COPh EtOH Reflux, 6–9 h | Recrystallization from dioxane | ![]() 65a (72%) |
| [80] | ![]() 8ac | CH3COCH2COCH3 EtOH Piperidine (cat.) Reflux, 10–15 h | Recrystallization from methanol | ![]() 64a (95%) |
| [80] | ![]() 8ac | CNCH2CN EtOH Piperidine (cat.) Reflux, 20–25 h | Recrystallization from DMF | ![]() 66a (70%) |
| [128] | ![]() 1 | ![]() NaOH/EtOH r.t. 8–9 min | Recrystallization from methanol | ![]() 67a (82–88%) |
| [128] | ![]() 8abg.1 | ![]() NaOH/EtOH r.t. 8–9 min | Recrystallization from methanol | ![]() 67b (82–87%) |
| [146] | ![]() 8abk | CH3COCH2COOC2H5 DMF/EtOH CH3COOH Reflux, 5 h | Column chromatography | ![]() 70a (62–67%) |
| [146] | ![]() 8abk | CH3COCH2COCH3 DMF/EtOH CH3COOH Reflux 8 h | Column chromatography | ![]() 64b (61–72%) |
| Ref. | Starting Material | Experimental Conditions | Purification Process | Oxadiazole Compounds (n%) |
|---|---|---|---|---|
| [154] | ![]() 8abl | 1. RCHO EtOH, reflux, 3 h 2. Ac2O (32 eq), reflux, 3 h | Recrystallization from ethanol/acetone (3:1 v/v) mixture | ![]() 78a R = Ar (22–76%) |
| [82] | ![]() 8ax | 1. RCOR1 70 °C, 2 h 2. Ac2O (10.5 eq), reflux, 8 h | Recrystallization from ethanol | ![]() 78b R = Ar, R1 = H, CH3 (n.s.) |
| [40] | ![]() 8o R2 = H, R3=H 8p R2 = Cl, R3 = H 8q R2 = H, R3 = Cl | 1. ![]() EtOH, CH3COOH (cat.) 80 °C, 3 h 2. Ac2O (10.5 eq), 155 °C, 90 min | Flash chromatography | ![]() 78c R1 = CH3, H, F; Y = CH, N; R2 and R3 = H, Cl (40–71%) |
| [153] | ![]() 8 R1 = Alk, Ar | 1. R2CHO, t-BuOH, reflux, 2–3 h 2. NaOCl, r.t., 1–2 h | Column chromatography | ![]() 77 R1 = Alk, Ar; R2 = Alk, Ar (50–93%) |
| [80] | ![]() 8ac | Ac2O, 10–15 min, EtONa, 6–8 h; | Recrystallization from ethanol | ![]() 77a (88%) |
| [80] | ![]() 8ac | Ac2O, reflux, 25–30 h | Recrystallization from methanol | ![]() 77b |
| [84] | ![]() 8aab | R-X-CO2H (1 eq) POCl3 (5 eq), 50 °C, 4 h X-R = CH2O-Ar, CH2-Ar or Ar | Recrystallization from ethanol | ![]() 77c X-R = CH2O-Ar, CH2-Ar or Ar (46–66%) |
| [152] | ![]() 1 Y = N or 8o Y = CH | ![]() (1 eq) POCl3 (48 eq), reflux, 9 h | Recrystallization from an appropriate solvent | ![]() 77d X = S, SO2; R = H, CH3, Cl; Y = N, CH (59–70%) |
| [83] | ![]() 8o R = C6H5 8ay R = 4-F-C6H4 8az R = 4-CH3–C6H4 8aaa R = 2-Cl,4-Cl-C6H3 | ![]() (1 eq), POCl3 (n.s.), reflux 6–7 h | Recrystallization from isopropanol | ![]() 77e R = Ar (80–88%) 77e.1 R = C6H5 77e.2 R = 4-F-C6H4 77e.3 R = 4-CH3–C6H4 77e.4 R = 2-Cl,4-Cl-C6H3 |
| [2] | ![]() 8 | ![]() R1 = H, CH3, F (1 eq), POCl3 (53 eq) 60–70 °C | Recrystallization from methanol | ![]() 77f R = Aryl, HetAr; R1 = H, CH3, F (80–89%) |
| [59] | ![]() 8u | R1CO2H (1 eq), POCl3 (6.7 eq), reflux, 6–8 h | Recrystallization from methanol | ![]() 77g R1 = Ar (78–90%) |
| [105] | ![]() 8v | ![]() (0.5 eq) POCl3 ultrasonication (35 kHz) 35–60 min | Recrystallization from 2-propanol | ![]() 77h (80–92%) |
| [105] | ![]() 8w | ![]() (0.5 eq) POCl3 (53 eq) ultrasonication (35 kHz) 35–50 min | Recrystallization from 2-propanol | ![]() 77i (87–91%) |
| [81] | ![]() 1 X = N or 8o X = CH | 1. CH2Cl2, 0 °C ClCOCOOEt (1.1 eq) Et3N r.t., 8 h 2. p-TosCl (1 eq) r.t., 4 h | Recrystallization from ethanol | ![]() 79a X = N or CH (87, 83%) |
| [39] | ![]() 8t | ClCOCOOCH3 (1.1 eq) POCl3 (10 eq), 85 °C 4–6 h | Recrystallization from ethanol | ![]() 79b (n.s.) |
| [86] | ![]() 8aaj | CS2 (17 eq) KOH (2 eq) EtOH, reflux, n.s. time HCl (pH ~3–4) | Recrystallization from acetone | ![]() 80a R1 = H, CH3, F R2 = H, Cl R3 = H, Cl R4 = H, Cl, I R5 = H, Cl (84% as an example) |
| [64] | ![]() 8ac | 1. CS2 (5 eq) KOH (1.5 eq), reflux, 3 h 2. HCl (pH ~4) | Recrystallization from EtOH/DMF or EtOH | ![]() 80b (62%) |
| [36] | ![]() 8z | 1. CS2 (n.s) KOH (n.s.) EtOH, r.t., 24 h 2. 90–100 °C, 10 h | n.s. | ![]() 80c (n.s) |
| [37] | ![]() 8v | CS2 (2.5 eq), KOH (2 eq) EtOH, reflux, 3h 2. HCl | Recrystallization from ethanol/DMF | ![]() 80d (40%) |
| [146] | ![]() 8abk | KOH (2 eq), CS2 (2 eq) DMF, HCl (cat.), reflux, 30 min | Column chromatography | ![]() 80e (52–57%) |
| [63] | ![]() 8abm | 1. CS2 (4 eq) KOH (2 eq) EtOH, reflux, 10 h 2. HCl | Recrystallization from ethanol | ![]() 80f (65%) |
| [41] | ![]() 8aa | 1. CS2 (1.5 eq), KOH (1.5 eq), EtOH, r.t., 72 h 2. HCl | - | ![]() 80g (64–70%) |
| [85] | ![]() 8al | 1. CS2 (2 eq), KOH (1 eq), EtOH, reflux, 4–5 h 2. HCl (pH ~5–6) | - | ![]() 80h (95%) |
| [61] | ![]() 8x | 1. CS2 (2 eq) KOH (0.5 eq) EtOH, reflux, 12 h 2. HCl | Recrystallization from ethanol | ![]() 80i (74%) |
| [87] | ![]() 8aak | 1. CS2 (1.5 eq) KOH (1 eq) MeOH, reflux, 2 h 2. HCl (pH 4–5) | - | ![]() 80j (n.s.) |
| [62] | ![]() 8y | 1. CS2 (2 eq) KOH (1.5 eq) EtOH, reflux 80 °C, 6–8 h 2. HCl (pH 2–3) | Recrystallization from ethanol | ![]() 80k (83%) |
| [28] | ![]() | CS2 (1.1 eq), pyridine, 70–75 °C, 4 h | Recrystallization from ethanol | ![]() 80l (63%) |
| [103] | ![]() 8abb.1 | CS2 (1.1 eq), NaOH, reflux, 12 h | Recrystallization from a benzene/ethanol mixture (2:1) | ![]() 80m (n.s.) |
| [86] | ![]() 80a | ClR.HCl (3 eq), K2CO3, DMF, reflux, 10–15 h | - | ![]() 81a R = Alk (70–89%) |
| [64] | ![]() 80b | C2H5I, NaOH/EtOH, reflux, 6 h | - | ![]() 81b (60%) |
| [64] | ![]() 80b | PhCOCH2Br, acetone, reflux, 6 h | - | ![]() 81c (50%) |
| [36] | ![]() 80c | 1. , K2CO3, acetone, 50–60 °C, 4 h2. RN3, H2O-tBuOH (1:1), CuSO4·5H2O, C6H7O6·Na, r.t., 4–12 h | - | ![]() 81d R = Ar (n.s) |
| [85] | ![]() 80h | ![]() KOH, EtOH, r.t., 4–5 h | - | ![]() 81e R = Alk, Ar (92–98%) |
| [61] | ![]() 80i | RCH2Cl (1 eq), KOH (1 eq), H2O, acetone | - | ![]() 81f R = Alk, Ar (67–76%) |
| [87] | ![]() 80j | ![]() (1 eq) LiH, DMF, r.t. or with microwave irradiation | - | ![]() 81g R = Ar (84–96%) |
| [62] | ![]() 80k | K2CO3, EtOH, reflux, 5–6 h | - | ![]() 81h R1 = Ar (58–79%) |
| Ref. | Starting Material | Experimental Conditions | Purification Process | Products (η%) |
|---|---|---|---|---|
| [64] | ![]() 8ac | CS2, KOH (aq.), reflux, 3 h | - | ![]() 86a (86%) |
| [64] | ![]() 86a | PhCOCH2Br, EtOH, reflux, 3 h | Recrystallization from ethanol | ![]() 89a (67%) |
| [44] | ![]() 8aaq | PhNCS, EtOH, reflux, 4 h | - | ![]() 87a (64%) |
| [44] | ![]() 87a | ClCH2COOH, EtOH, AcONa, reflux, 6 h | - | ![]() 90a (74%) |
| [108] | ![]() 29d | Lawesson reagent (1.7 eq) toluene, 110 °C, 6 h | Silica gel column chromatography | ![]() 92a (36–49%) |
| [93] | ![]() 8aar | 1. Lawesson’s reagent (1 eq) toluene, reflux, 8 h 2. RCHO (1 eq), POCl3 (107 eq) reflux, 4–6 h | Recrystallization from methanol | ![]() 92b (n.s) |
| [94] | ![]() 8aas | 1. R1NCS, EtOH, 2 h 2. H2SO4, reflux, 5 h | 1. Recrystallization from ethanol 2. Recrystallization from ethanol | ![]() 91a (n.s.) |
| Ref. | Starting Material | Experimental Conditions | Purification Process | Intermediates or Triazoles (η%) |
|---|---|---|---|---|
| [35] | ![]() 8ad | NH4SCN (1 eq) HCl, EtOH, reflux, 6 h | Recrystallization from DMF/ethanol | ![]() 87a (82%) |
| [35] | ![]() 87a | KOH EtOH, reflux, 6 h | Recrystallization from DMF/ethanol | ![]() 97a (78%) |
| [80] | ![]() 8ac | KSCN (1 eq), 10% HCl, reflux, 6–9 h | Recrystallization from dioxane | ![]() 97b (77%) |
| [42] | ![]() 8aal | 1. MeNCS (1 eq) EtOH, reflux, 1 h 2. KOH (1 eq), reflux, 1 h 3. HCl | - | ![]() 97c (n.s.) |
| [42] | ![]() 97c | (1 eq)LiH, DMF, r.t, 6–17 h or LiH, DMF, microwave, 33–90 s | - | ![]() 100a R = Ar (85–90%) |
| [88] | ![]() 8p | EtNCS (1 eq) EtOH, reflux 3–4 h | - | ![]() 87d (98%) |
| [88] | ![]() 87d | 10% NaOH, reflux, 4 h HCl | - | ![]() 97d (96%) |
| [88] | ![]() 97d | ![]() (1 eq) DMF, NaH, 30 min, r.t. | ![]() 100b (62–77%) | |
| [89] | ![]() 8q | furfuryl isothiocyanate (1 eq) MeOH, reflux, 8–10 h | - | ![]() 87e (97%) |
| [89] | ![]() 87e | 10% NaOH reflux, 6–8 h HCl | - | ![]() 97e (94%) |
| [89] | ![]() 97e | EtOH, KOH(1 eq) (1 eq), reflux, 4–5 h | - | ![]() 100c R = Ar (89–95%) |
| [90] | ![]() 8aao | EtNCS or PhNCS (1 eq) EtOH, reflux 3–4 h | - | ![]() 87f (97%) |
| [90] | ![]() 87f | 1. 10% NaOH, reflux 4 h 2. HCl | - | ![]() 97g (98%) |
| [90] | ![]() 97g | KOH, EtOH, r.t., 30 min, alkyl halides (1 eq), reflux, 4–5 h | - | ![]() 100d R1 = Ar, R2 = Alk (70–99%) |
| [91] | ![]() 8aao | PhNCS MeOH, reflux 3–4 h | - | ![]() 87h (98%) |
| [91] | ![]() 87h | 1.10% NaOH, reflux, 4 h 2. HCl | - | ![]() 97h (95%) |
| [91] | ![]() 97h | KOH MeOH, r.t., 30 min , reflux 4–5 h | - | ![]() 100e R1 = Ar, R2 = Ar (88–96%) |
| [165] | ![]() 8abn | 4-FC6H4NCS (1 eq), CH3(CH2)3OH, 65 °C, 4 h | Recrystallization from ethanol | ![]() 87h (75%) |
| [165] | ![]() 87h | 4 N NaOH, heat under Radley, 16 h, CH3COOH | Recrystallization from ethanol | ![]() 97i (60%) |
| [64] | ![]() 8ac | CS2 KOH (aq.), reflux, 3 h | - | ![]() 86a (86%) |
| [64] | ![]() 86a | H2NNH2·H2O, reflux 2 h | Recrystallization from EtOH/DMF | ![]() 98a (43%) |
| [64] | ![]() 98a | PhCOCH2Br (1 eq), Et3N (1 eq), EtOH, reflux, 2 h | Recrystallization from DMF/H2O | ![]() 101 (60%) |
| [41] | ![]() 8aa | KOH CS2 water/ethanol (1:1) H2NNH2·H2O 64% (1 eq), reflux | - | ![]() 98b (52–65%) |
| [41] | ![]() 98b | RCHO (1 eq), CH3COOH (cat.), MeOH, reflux, 12 h | - | ![]() 102 (72–89%) |
| [166] | ![]() 8abo | (1 eq), 2-methoxyethanol TFA (cat.) reflux, 8–10 h | Recrystallization from DMSO | ![]() 99a (70–84%) |
| [167] | ![]() 8 R = Ar | (1 eq) DMF, 90 °C, 5 h HCl (0.05 N) | Recrystallization from dioxane | ![]() 99b R = Ar (73–81%) |
Disclaimer/Publisher’s Note: The statements, opinions and data contained in all publications are solely those of the individual author(s) and contributor(s) and not of MDPI and/or the editor(s). MDPI and/or the editor(s) disclaim responsibility for any injury to people or property resulting from any ideas, methods, instructions or products referred to in the content. |
© 2025 by the authors. Licensee MDPI, Basel, Switzerland. This article is an open access article distributed under the terms and conditions of the Creative Commons Attribution (CC BY) license (https://creativecommons.org/licenses/by/4.0/).
Share and Cite
Teixeira, S.; Castanheira, E.M.S.; Carvalho, M.A. Hydrazides as Powerful Tools in Medicinal Chemistry: Synthesis, Reactivity, and Biological Applications. Molecules 2025, 30, 2852. https://doi.org/10.3390/molecules30132852
Teixeira S, Castanheira EMS, Carvalho MA. Hydrazides as Powerful Tools in Medicinal Chemistry: Synthesis, Reactivity, and Biological Applications. Molecules. 2025; 30(13):2852. https://doi.org/10.3390/molecules30132852
Chicago/Turabian StyleTeixeira, Sofia, Elisabete M. S. Castanheira, and M. Alice Carvalho. 2025. "Hydrazides as Powerful Tools in Medicinal Chemistry: Synthesis, Reactivity, and Biological Applications" Molecules 30, no. 13: 2852. https://doi.org/10.3390/molecules30132852
APA StyleTeixeira, S., Castanheira, E. M. S., & Carvalho, M. A. (2025). Hydrazides as Powerful Tools in Medicinal Chemistry: Synthesis, Reactivity, and Biological Applications. Molecules, 30(13), 2852. https://doi.org/10.3390/molecules30132852












































































































































































































































































































































































































































































