Abstract
Hydrogen-bonded organic framework (HOF) materials are typically formed by the self-assembly of small organic units (synthons) with specific functional groups through hydrogen bonding or other interactions. HOF is commonly used as an electrolyte for batteries. Well-designed HOF materials can enhance the proton exchange rate, thereby boosting battery performance. This paper reviews recent advancements in the continuous synthesis of HOF synthons, in the continuous synthesis of HOF’s unit small molecules enabling the multi-step, rapid, and in situ synthesis of synthons, such as carboxylic acid, diaminotriazine (DAT), urea, guanidine, imidazole, pyrazole, pyridine, thiazole, triazole, and tetrazole, with online monitoring. Continuous flow reactors facilitate fast chemical reactions and precise microfluidic control, offering superior reaction speed, product yield, and selectivity compared to batch processes. Integrating the continuous synthesis of synthons with the construction of HOF materials on a single platform is essential for achieving low-cost, safe, and efficient processing, especially for reactions involving toxic, flammable, or explosive substances.
1. Introduction
Hydrogen-bonded organic framework (HOF) materials are formed by the self-assembly of rigid organic structural units containing specific functional groups under controlled conditions such as temperature, solvent polarity, and reaction time. These functional groups, typically containing nitrogen and oxygen, facilitate hydrogen bonding, which is essential for building stable frameworks.
HOF materials offer several unique advantages: (1) Their synthesis conditions are generally milder compared to other frameworks like Covalent organic framework materials (COFs) or Metal-organic framework materials (MOFs), and they are easier to process in solution, making them suitable for device fabrication [1]. For example, Feng, S. et al. successfully prepared UPC-HOF-6 thin films using solution processing, which showed potential in pressure-responsive H2/N2 separation [2]. (2) HOFs possess remarkable self-healing and regenerative capabilities. Hu, F. et al. developed a highly stable, high-surface-area HOF (HOF-TCBP) that can be regenerated with minimal solvent treatment, retaining nearly the same surface area as the original material [3]. (3) Due to the absence of metal ions, HOFs demonstrate excellent biocompatibility and low cytotoxicity, making them promising for applications in fluorescence sensing, biomedicine, and membrane technology.
Recent studies show that HOFs, with their stable microporous structures and well-defined hydrogen-bonded networks, serve as effective solid-state proton conductors, achieving conductivities up to 10−1 s·cm−1. This makes them suitable for use as solid electrolytes in fuel cells and other electrochemical devices [4]. Additionally, HOFs can act as precursor templates for high-temperature annealing into metal compounds, carbon materials, or composites, offering nanostructural benefits for energy storage applications [5].
Structurally, HOFs are crystalline porous materials built from organic molecules interconnected by hydrogen bonds, with additional stabilization provided by π-π stacking, electrostatic interactions, and van der Waals forces [6]. Stability can be further enhanced by selecting organic groups capable of forming multiple hydrogen bonds, increasing the number of benzene rings in structural units, using low-polarity solvents, and incorporating interpenetration or interlocking elements [7,8,9,10,11].
The concept of supramolecular synthons, which are spatially arranged intermolecular interactions, plays a central role in the design of HOFs [12]. By carefully selecting synthetic subunits with multiple hydrogen bonds and rigid scaffolds, HOFs can achieve specific structures and functionalities. For instance, supramolecular synthons like carboxy, DAT, pyrazolyl and their dimers, trimers, etc., provide structural stability and define the extension direction of hydrogen-bond networks, thereby influencing the porosity and functional properties of HOFs [13,14].
The building blocks of HOFs, often heterocycles and their hydrogen bond structure, are also valuable in pharmaceutical and agricultural chemistry due to their presence in many biologically active molecules [15,16,17]. Notably, 59% of Food and Drug Administration (FDA)-approved drugs contain nitrogen heterocycles, highlighting the need for efficient and sustainable synthesis methods [18]. While traditional microwave-assisted or ultrasound synthesis methods are effective, they are time-consuming and costly for laboratory-scale production [19,20,21]. Recent developments in continuous flow chemistry using homogeneous transition metal catalysts have shown promise, achieving higher activity, increased turnover numbers (TON), a broader substrate range, and improved catalyst reusability [22,23,24,25].
Continuous-flow chemistry has transformed organic synthesis by offering enhanced safety, efficiency, and waste reduction. Through cascade reactors and online analysis, this approach streamlines multi-step processes, enables real-time data collection, and allows self-optimization, making it a powerful tool for drug discovery and database development [26]. Integrating continuous flow platforms with online analysis and advanced modeling not only improves the understanding of reaction mechanisms but also promotes sustainable and efficient synthesis. This paper reviews recent progress in the continuous synthesis of HOF synthons—such as carboxylic acids, DAT, urea, guanidines, imidazole, pyrazoles, thiazole, pyridine, triazole, and tetrazole-over the past decade (Figure 1). This article is divided into the following parts: 1-Background; 2-Continuous synthesis of HOF synthons; 3-Conclusion.
Figure 1.
Continuous flow reactor for synthesis of Hof synthons and common hydrogen bonding connection methods for synthons: carboxyl group; diaminotriazine; pyridine; carboxyl and pyridine; amidinium and carboxylate; benzimidazolone; sulfonic acid group and guanidine group; pyrazole.
2. Continuous Synthesis of HOF Synthons
2.1. Continuous Synthesis of Carboxylic Acids
Carboxylic acids are among the most used motifs in HOF materials. The carboxylate group readily forms O–H···O hydrogen bonds that are highly directional and predictable, making them ideal for constructing porous HOF structures. Notably, the carboxylic acid dimer is a common supramolecular synthon, providing both strength and directionality essential for stable frameworks. The role of hydrophilic carboxyl groups in proton conduction has garnered significant interest, as these groups not only supply protons but also form hydrogen bonds with guest water molecules, facilitating proton transfer [27]. Extensive research has explored HOF proton conduction in carboxylate structures of various types, and numerous studies have reported efficient continuous-flow syntheses of aliphatic, aromatic, and ferrocene carboxylic acid synthons [28,29,30].
An effective and scalable method for transforming alcohols and aldehydes into carboxylic acids in continuous flow has been demonstrated [31]. For example, microreactors are effectively used to oxidize alcohols and aldehydes into carboxylic acids, with homogeneous permanganate (KMnO4), serving as an affordable oxidant. Ultrasound was applied to prevent blockages in the capillary reactor caused by MnO2 solid formation. The process achieved high product yields (58–98%) and excellent purity (>95%) without requiring chromatography for isolation. The main problem is the reuse of MnO2 to minimize environmental impact.
In another example, for the continuous carboxylation step of one of the three fragments which were coupled via an amide bond. The active pharmaceutical ingredient Lifitegrast was synthesized at a low temperature (−78 °C) in a short residence time (3.6 min) [32]. Increasing the concentration of the starting material to 10% improved conversion rates upon scale-up. Reaction with CO2 in a subsequent reactor required only 1.6 min for complete conversion. The optimized process consistently yielded 88–91% of the product with a purity of 97–98% over multiple runs, enabling the production of 22 kg of carboxylated product with high yield, reproducibility, and purity at scale (Figure 2) [33].
Figure 2.
Continuous flow carboxylation yields a central fragment in the synthesis of Lifitegrast [33].
Kappe’s team reported a direct lithiation method for terminal alkynes and heterocycles, followed by carboxylation [34]. This approach utilized two organolithium bases, LiHMDS and LDA, with LDA effectively converting heterocyclic substrates into carboxylic acids. In the designed flow system, heterocyclic substrates were first deprotonated by LDA within a 3 s residence time, generating an anion that then reacted with CO2 introduced at a rate of 30 mL/min. Carboxylation occurred in 0.5 s, and the reaction was quenched by a water–acetic acid mixture (10:1) to prevent clogging, which occurred with water alone. This method yielded six heterocyclic carboxylates with yields ranging from 43–79% (Figure 3). Increasing LDA equivalents did not enhance yield, but raising the CO2 equivalents to 1.9 slightly improved the yield, demonstrating the system’s robustness and effectiveness for carboxylate synthesis. The exothermic properties of reactions involving organic lithium compounds in microreactors are better controlled, and safety is improved by reducing the risk of combustion and explosion; microreactor technology provides a rapid and effective method for the synthesis of carboxylic acids. CO2 is used as a building block and is attractive because it meets the goal of carbon neutrality policy, which is also beneficial for industrial applications.
Figure 3.
LDA-mediated carboxylation of heterocycles in flow (Adapted from Ref. [34]).
2.2. Continuous Synthesis of Urea
Urea and its derivatives play an essential role in medicinal chemistry, often incorporated into drugs to enhance activity, selectivity, and ADME properties. Due to the delocalization of nitrogen’s non-bonded electrons into adjacent carbonyl groups, the urea group has conformational restrictions that enable it to act as both a hydrogen bond donor and acceptor. This dual property is crucial for regulating drug solubility and permeability by disrupting planarity and modifying interactions with aromatic rings [35,36,37]. The double-stranded H-bond chains formed by urea and thiourea are also used to assemble HOFs [38].
A two-step continuous-flow system using sequential microreactors has been developed for synthesizing non-symmetrically substituted ureas from protected amines. Under mild conditions, rapid reaction times were achieved, and in-line FT-IR analysis allowed real-time monitoring and optimization of the isocyanate intermediate formation. This setup enabled the synthesis of various urea derivatives, including cariprazine, with the added benefit of minimizing the handling of unstable intermediates (Figure 4) [39].
Figure 4.
Reactions and flow system consisting of two microreactors and in-line FT-IR spectrometer. Reprinted with permission from Ref. [39]. Copyright 2017 Copyright American Chemical Society.
Riesco-Domínguez, A. et al. expanded on this by synthesizing a library of ureas in a continuous flow setup, achieving drug-like molecules with a reaction time of 17 min and eliminating the need for additional purification steps (Figure 5). Furthermore, they selectively reduced ketones in flow within 3 min and synthesized five urea derivatives from amino alcohols. NMR analysis revealed the presence of rotamers or atropisomers due to restricted rotation around the N-CO bond [40].
Figure 5.
Two libraries of urea compounds based on the piperidine-4-one scaffold have been developed in continuous flow and twenty drug-like compounds were synthesized in moderate to high yields [40].
Labiche, A. et al. implemented a continuous flow synthesis for non-symmetrical ureas via a Staudinger/aza-Wittig reaction, directly obtaining the urea functionality from CO2 as the starting material (Figure 6). They synthesized a library of 26 derivatives and extended the methodology to S-thiocarbamates. Meanwhile, Németh et al. developed a continuous-flow process for thioureas by reacting isocyanides, amidines, amines, and sulfur, achieving mild reaction conditions and straightforward product isolation [41,42].

Figure 6.
The synthesis of urea and thioureas in continuous flow (Reprinted from Refs. [41,42]).
Pagano, N. et al. introduced a continuous-flow electrolyzer that utilizes gas diffusion electrodes to catalyze the reduction of CO2 and nitrate, producing oxalic acid and urea at the anode and cathode, respectively. Through experimental and theoretical studies, they demonstrated that Pd sites aid in proton hydrogenation of CO2 and NO3−, while Cu and Bi sites stabilize COOH intermediates, promoting C-N bond formation at the cathode [43].
Urea and thiourea derivatives are also used as building blocks in HOFs. For example, incorporating urea moieties within a triptycene skeleton resulted in a complex structure suitable for HOF construction through one-dimensional double hydrogen bonding (Figure 7). Yang, J. et al. explored the selective [2 + 2] cycloadditions of α,β-unsaturated ketones within a bis-urea host, which forms stable inclusion complexes due to accessible channels of approximately 6 Å in diameter [44].
Figure 7.
Schematic representation of the self-assembly of macrocycle 1 into crystalline host 1, containing columnar channels. The porous crystals can reversibly absorb a variety of guests including 2-cyclohexenone. UV-irradiation of included guests yields a photo dimer in high conversion and selectivity. Reprinted with permission from Ref. [44]. Copyright 2008 American Chemical Society.
The above similar studies show the specific methodologies, reagents, types of urea derivatives synthesized, yields, purity, target applications, and mechanistic insights. These differences reflect the diverse approaches researchers take to optimize the synthesis of urea derivatives for various applications in medicinal chemistry pharmacological properties such as potency, selectivity, and interactions with biological targets and other fields. The safety of the reaction and the innovation of the synthesis strategy have been realized.
2.3. Continuous Synthesis of Diaminotriazine (DAT)
Covalent triazine frameworks (CTFs) are organic polymers formed from 1,3,5-triazine rings with π conjugation. These frameworks exhibit large surface areas with nitrogen atoms that serve as molecular anchoring sites, making CTFs highly effective for gas adsorption and CO2 capture. Additionally, CTFs possess micropores, high heat, and chemical stability, making them suitable as catalyst supports and supercapacitor electrode materials [45].
Regulating the strength of hydrogen bonds by changing the charge accumulation around the remote substituents, it is found that the effect of the substituent is delocalized throughout the molecular system; systems with an equal number of hydrogen bond donor (D) and acceptor (A) atoms cannot be regulated in a predictable manner due to the cancellation of opposite effects; the position and long-range electrostatic forces of the substituent also play an important role; the proposed design principles are applicable to monomers with an unequal number of donor and acceptor atoms, and can be used to regulate the binding strength of supramolecular building blocks. (Figure 8) [46]. Through the careful design of H-bonds and coordination interactions of 1,3,5-triazines, various functional materials have been generated [47].
Figure 8.
Tuning the binding strength of even and uneven hydrogen-bonded arrays with remote substituents (Reprinted from Ref. [46]). ED (electron-donating group), EW (electron-withdrawing group).
Kobayashi, S. and his team further expanded this process by developing a column reactor system that continuously converts phenols to cyclohexanone derivatives, facilitating high-frequency turnovers and yielding aromatic amines efficiently (Figure 9) [48].
Figure 9.
Formal continuous-flow synthesis of phentolamine. Reprinted with permission from Ref. [48]. Copyright 2020 Copyright John Wiley and Sons.
In constructing amino-based HOFs, diamine units can form single-component HOFs with either water or other ligands like carboxyl or phosphate groups. For example, HOF-6, a metal-free porphyrin-based HOF, demonstrates permanent porosity and proton conductivity upon hydration (Figure 10) [49].
Figure 10.
Schematic Molecular Structure of the HOF-6 Building Block; (a) building block of H2TDDP, (b) hydrogen-bonding interaction between DAT moieties, (c) three neighboring 2D supramolecular grids in different colors, (d,e) 3D packing supramolecular structure along the [1,0,1] and [1,0,0] directions with a channel size of ∼6.4 and 7.5 Å, respectively. Reprinted with permission from Ref. [49]. Copyright 2016 Copyright American Chemical Society.
García-Lacuna, J. et al. presented a photochemical flow process using LEDs to synthesize phenylacetylene precursors. This metal- and photocatalyst-free method employs a modular approach, using a sequence of photo-flow transformations to produce benzotriazoles and aryl triazines in good yields, thus enhancing safety and scalability (Figure 11). This process employs a photocatalytic rearrangement reaction to generate a cyclic hydroxylamine intermediate through the photoexcitation of nitroaromatic compounds. The intermediate is then converted to phenylacetylene, which undergoes a second photochemical flow reaction to capture azides and benzotriazoles, producing heterocyclic target compounds. Notably, this modular technique also circumvents the necessity for hazardous, potentially explosive diazonium salts. The subsequent functionalization of the pendant carboxyl group results in the formation of biologically significant aryl triazine-based amides, thereby unlocking a myriad of applications for these distinctive and commercially valuable triazine compounds [50]. All cases indicated that continuous flow technology enables reactions to be carried out under safer conditions.
Figure 11.
Scope of triazine formation in flow (Reprinted from Ref. [50]).
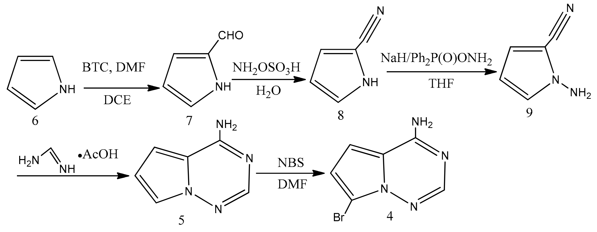
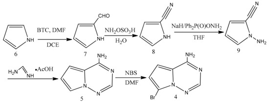
The nucleobase unit of the remdesivir, 7-bromo-pyrrolo [2,1-f] [1,2,4] triazine-4-amine, was synthesized through multi-step continuous flow process using pyrrole as the raw material (Scheme 1). Under optimized flow conditions (reaction time of 79 min, yield of 14.1%), 7-bromo-pyrrolo [2,1-f] [1,2,4] triazine-4-amine was produced with a throughput of 2.96 g·h−1 (Figure 12). This continuous flow method significantly reduced the total reaction time compared to batch procedures (>26.5 h). Additionally, it facilitated highly exothermic reactions such as the Vilsmeier–Haack and N-amination reactions, which involve hazardous and unstable intermediates, as well as the bromination reaction requiring strict cryogenic control. The key advantage of this method lies in its integration of workup procedures directly within the reaction sequence, using specialized continuous flow devices. This integration maximizes process efficiency, achieving an eco-friendlier synthesis with improved safety and efficiency [51].
Scheme 1.
Improved synthetic protocol to prepare 7-bromopyrrolo [2,1-f] [1,2,4] triazin-4-amine (4) (Reprinted from Ref. [51]).
Figure 12.
Schematic representation of the continuous-flow synthesis of 8. P20 and P21 are pumps (Reprinted from Ref. [51]).
Differences among the above examples within the same functional group can include: substituent effects; steric effects; electronic effects; positional isomerism. The same synthesis method contains different process conditions, purification conditions, and synthesis scales.
2.4. Continuous Synthesis of Guanidines
Guanidine, a strong organic base (pKa = 13.6), forms a stable guanidinium ion upon protonation. In physiological environments, it typically exists in a fully protonated state, maintaining a positive charge across a wide pH range. This unique property enables guanidine to interact readily with ligands, receptors, and enzyme substrates through hydrogen bonding or electrostatic interactions, particularly due to its high affinity for phosphate esters, carboxylates, and metal ions [52,53,54].
Both polyguanidines and low-molecular-weight guanidine compounds exhibit superior antibacterial, antiviral, and antifungal activity compared to traditional antibiotics, without detectable bacterial resistance. This study used aqueous solutions of varying compositions to react guanidine hydrochloride (GH) with hexamethylenediamine (HMDA) under continuous-flow microfluidic conditions (Figure 13). The process produced a branched alkyl guanidine oligomer, at lower temperatures and with less time optimized for the desired oligomer properties. This work uses microfluidics technology to synthesize branched alkyl guanidine with potential antiviral activity, emphasizing the production of high-purity products with low residual monomer content (e.g., Mn = 800, branch number z = 0.4) [55].
Figure 13.
1-GH and HMDA aqueous solution; 2-medium-pressure syringe pump module; 3-PC; 4-microreactor; 5-cyclone; 6-flask-receiver of ammonia; 7-rotary evaporator (Reprinted from Ref. [55]).
Through membrane separation technology, Glotz, G et.al designed a fully integrated continuous flow system, as shown in Figure 14. To reduce the handling and storage of elemental bromine, they added a continuous bromide generator based on the heterogeneous decomposition of bromate-bromide. Using online Fourier transform infrared spectroscopy (FTIR) technology, they can monitor and quantitatively analyze the generation of BrCN in real-time, with bromine (Br2) and the bromide generator producing 0.2 millimoles of BrCN per minute (with a concentration of 0.8 M in dichloromethane). This modular system is not only suitable for synthesizing various five- and six-membered cyclic amides and guanidines but can also operate in a fully integrated continuous mode or a semi-batch reaction crystallization mode [56]. Using continuous flow chemistry, bromine and BrCN are generated in situ for the synthesis of cyclic guanidine, which minimizes the handling and transportation of hazardous reagents in organic synthesis and pharmaceuticals.
Figure 14.
The BrCN generator set-up. PFA coil (0.8 mm i.d.) at 0–58 °C: 5.2 min residence time. Glass microreactor chip: 20 s residence time; liquid/liquid separator, FTIR. Reprinted with permission from Ref. [56]. Copyright 2017 Copyright John Wiley and Sons.
2.5. Continuous Synthesis of Pyrazoles
Pyrazole plays a key role in the formation of HOF through hydrogen bonds. Donor-acceptor interactions are another reason for the π···π stacking between electron-rich pyrazoles. The versatile nature of substituents on the pyrazole ring has made it a core structure in various agricultural chemicals and pharmaceuticals. Continuous synthesis methods offer advantages in terms of on-demand production and efficient use of resources like time, space, and energy.
A continuous flow platform has been established for synthesizing valuable, functionalized pyrazoles and pyrazolines, producing a universal pyrazole core for subsequent modifications through a series of modules (Figure 15). By manipulating solvents at temperatures above the boiling points, the system enables rapid continuous flow reactions (1–60 min), enhancing reaction kinetics. This setup eliminates the need for quantitative Ag2O or bases as auxiliary reagents in [3+2] cycloaddition reactions with 2,2,2-trifluoromethyl diazomethane. Britton and Jamison utilized a continuous flow process to prepare fluorinated pyrazoles by generating CF3CHN2 in one tubular reactor and reacting it with alkynes in a second heated tubular reactor. This 3+2 cycloaddition is effective with electron-deficient aromatic alkynes, and notably, the reaction with CF3CHN2 proceeds without a metal catalyst [57,58].
Figure 15.
Continuous flow synthesis of AS-136A. A continuous flow telescoped synthesis with modules 1, 2, 4, and 5 to yield measles therapeutic AS-136A in a 34% isolated yield. Using modules individually yields AS-136A in a 75% yield. Reprinted with permission from Ref. [57]. Copyright 2017 Copyright John Wiley and Sons.
Das, A. et al. designed a two-step continuous flow method using vinyl ketate as a pivotal intermediate to synthesize substituted pyrazole derivatives (Figure 16). They found that Ni2+-montmorillonite is an effective catalyst for condensation of 1,3-dicarbonyl compounds, reducing the use of acetic anhydride and lowering the reaction temperature. These intermediates reacted with methyl hydrazine to produce pyrazole derivatives with high yield and selectivity under flow conditions. Moreover, Vinyl ketone esters are also shown as intermediates that can be converted into heterocyclic compounds, such as pyrimidine derivatives and the bioactive compound Bixafen [59].
Figure 16.
Continuous-flow synthesis of 3i as a key intermediate. Reprinted with permission from Ref. [59]. Copyright 2019 Copyright John Wiley and Sons.
The research is based on the current health challenges and drug needs to select continuous synthetic methods and functional groups, and the selection of these methods can not only improve the efficiency and safety of synthesis but also quickly respond to the changes in the medical and agricultural fields.
2.6. Continuous Synthesis Imidazole
Imidazole is a planar, five-membered heterocycle with the chemical formula C3H4N2, containing two nitrogen atoms, three carbon atoms, and four hydrogen atoms. Its aromaticity is due to a 6-electron conjugated large π bond in the molecules, the nitrogen atom bonded to hydrogen with a σ bond provides a pair of electrons, and the other four atoms in the ring each provide one electron for bonding [60]. It can form many forms of hydrogen bonds. The diffusion of gas-phase imidazole into the pores of HOFs further improves its proton conductivity [61].
Advancements in continuous-flow synthesis have enabled efficient production of chiral, enantiopure 1-(2-hydroxycycloalkyl) imidazoles, achieving up to 99% conversion with a productivity of 9.9 g·h−1 within a 12 min residence time. Furthermore, continuous-flow systems have proven superior for the lipase-catalyzed kinetic resolution of racemic 2-(1H-imidazole-yl) cycloalkanes, utilizing immobilized CAL-B or PSL-C enzymes, and enabling scalable production of chiral imidazoles, which are essential in synthesizing chiral ionic liquids (Figure 17) [62].
Figure 17.
Schematic setup for the epoxide ring-opening reaction under flow conditions. Enzymatic kinetic Resolution of Racemic trans-2-(1H-imidazol-1-yl) cycloalkanols trans-3a-b in fixed bed. Reprinted with permission from Ref. [62]. Copyright 2012 Copyright American Chemical Society.
In a fixed-bed reactor, Melinda Fekete et al. demonstrated the continuous-flow synthesis of N-alkyl imidazoles, which are key components in ionic liquids. Using acidic molecular sieve catalysts under high temperatures (>300 °C) and high pressure conditions, the team achieved yields of 9–14 g/h and selectivity over 95%, with the catalyst remaining active for over 20 h (Scheme 2) [63].
Scheme 2.
One-step continuous flow synthesis of N-alkyl imidazoles (Reprinted from Ref. [63]).
In another example, alpha acyloxyketone was first synthesized from alpha bromoacetophenone and carboxylic acid, followed by condensation with ammonium acetate in a stainless-steel coil reactor (150 °C, 17 bar) producing high-purity 1H-4-substituted imidazoles. The continuous flow system facilitated rapid heating of the regent’s mixture to the target temperature and pressure, and increased the concentration of volatile compounds, allowing for imidazole formation within a 2 to 5 min residence time (Figure 18) [64].
Figure 18.
Continuous Flow Formation of Imidazole 4b from Acyloxy Ketone 3b. Reprinted with permission from Ref. [64]. Copyright 2015 Copyright American Chemical Society.
A new universal microreactor method has also been developed for synthesizing 2,4,5-trisubstituted imidazoles. The system includes a microinjection pump, microchannels, a heating unit, a back-pressure (75 psi) valve, and a Cone-shaped bottle. Various substrates, including aromatic and aliphatic aldehydes are processed within 2 min at 180 °C in the 120-cm-long stainless-steel tube. The microreactor produced high yields of aryl, alkyl, and heteroaromatic imidazoles under superheated conditions (Figure 19) [65].
Figure 19.
Continuous synthesis of 2,4,5-trisubstituted imidazoles using a microreactor system under pressure. Reprinted with permission from Ref. [65]. Copyright 2010 Copyright American Chemical Society.
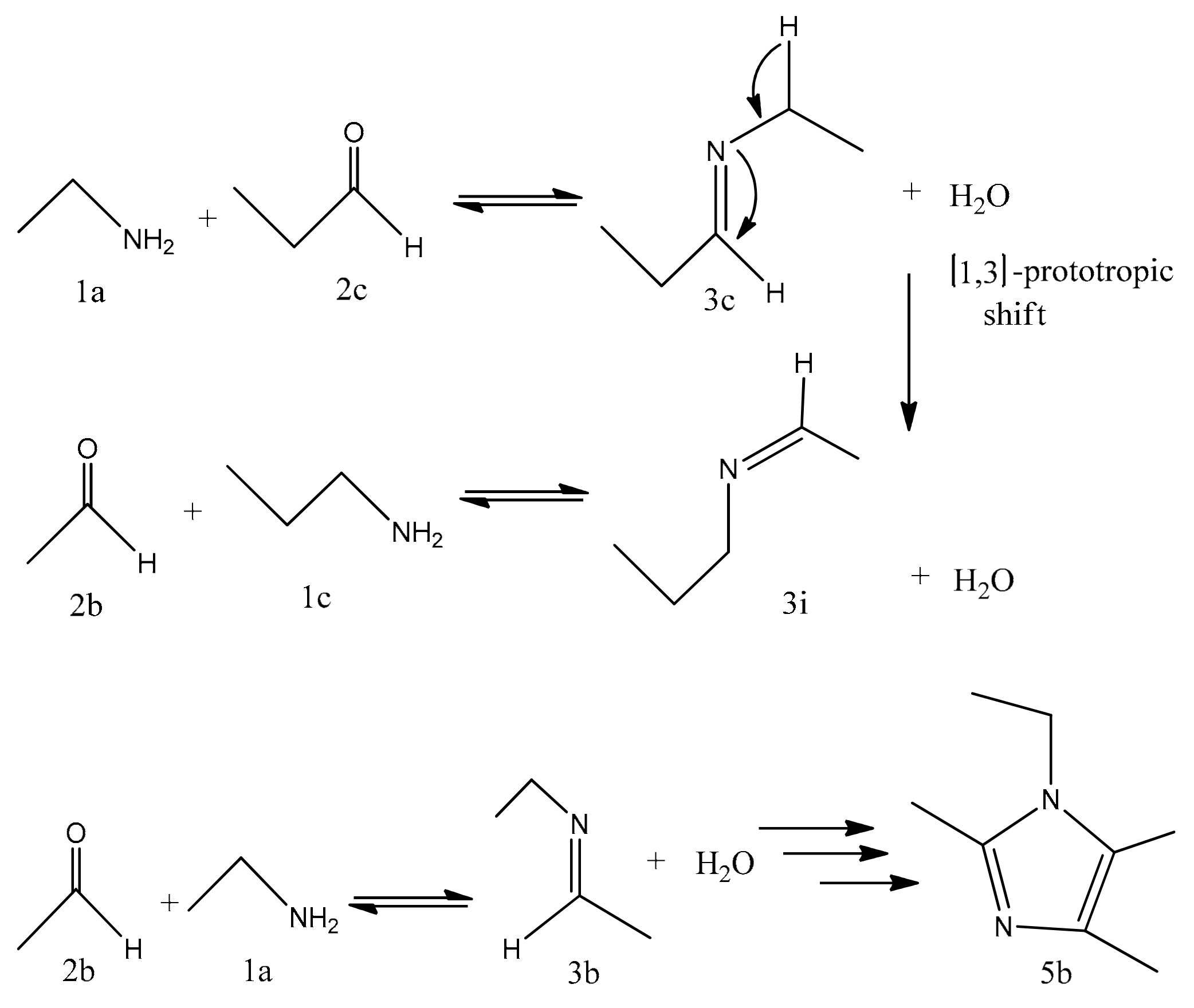
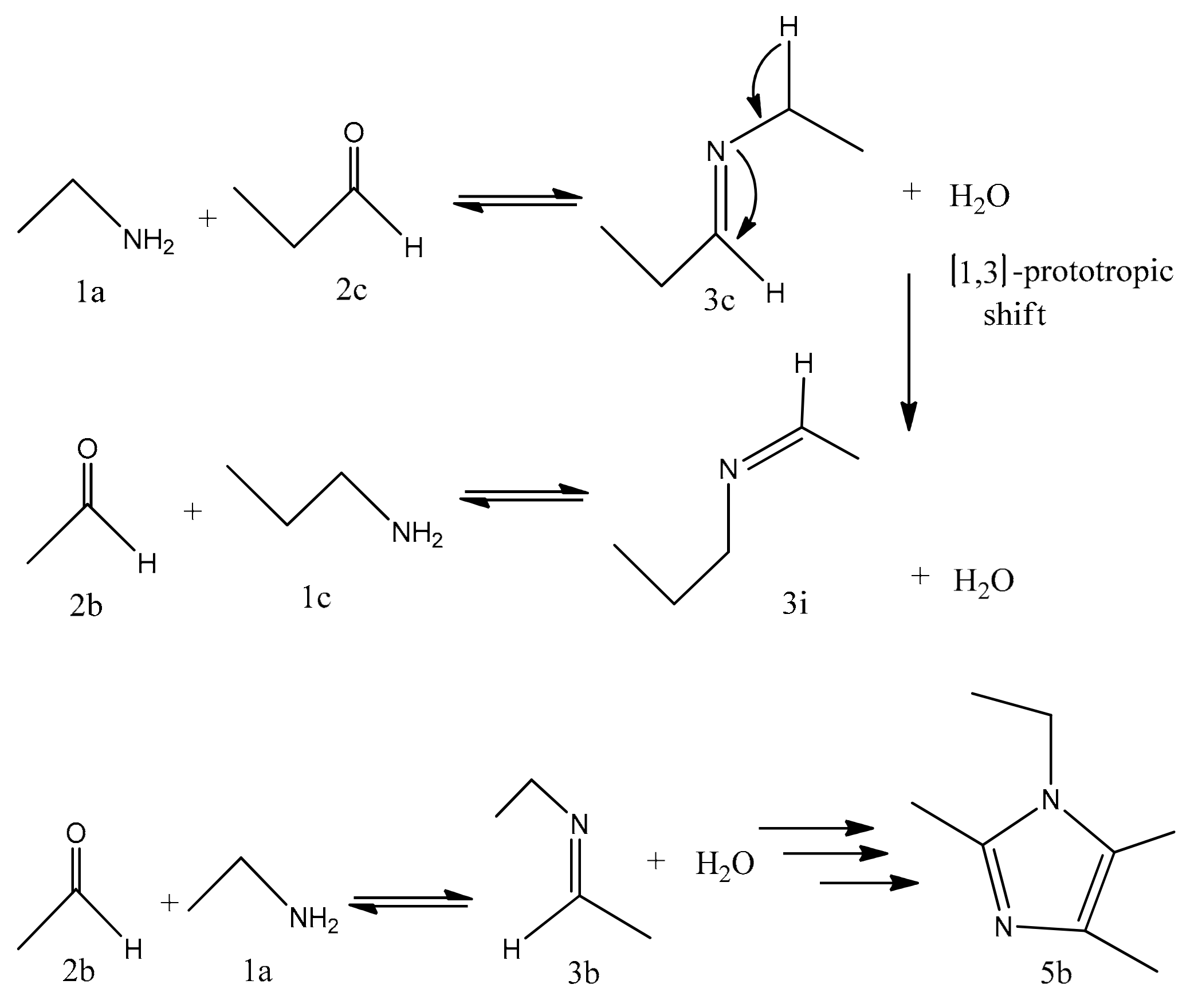
Polyalkylated imidazoles with strong chemical stability under alkaline conditions have also been synthesized via continuous-flow chemistry. These imidazoles are then converted into ionic liquids. Compared to traditional imidazole-based ionic liquids, those produced via continuous flow offer enhanced thermal and electrochemical stability (Scheme 3) [48].
Scheme 3.
[1.3]-prototropic shift of ethylpropylideneamine and consecutive formation of 1-ethyl-2, 4, 5-trimethylimidazole in alkaline media [48].
Above all, the continuous flow process has the advantages of high heat and mass transfer, ease of scaling, and possible improvement of safety due to the closed nature of the process; due to its characteristics of numbering-up, it provides a scalable solution; imidazole derivatives can achieve high-temperature continuous and stable synthesis in different microreactors.
2.7. Continuous Synthesis of Pyridine
Pyridine and its condensed derivatives, such as pyrimidine, are critical components of nucleic acids and vitamins, playing essential roles in various treatments. This unique heterocyclic system naturally complements biological structures, allowing for the development of new derivatives with important biological and medical applications [66]. The interactions between different functional groups contained in pyridine-2,6-dicarboxylic acid can self-assemble into HOF materials [67].
A microwave flow reactor has been developed for the one-step synthesis of pyridines and dihydropyridines via the Bohlmann–Rahtz or Hantzsch multicomponent reactions, respectively. The Bohlmann–Rahtz reaction uses a Brønsted acid to catalyze Michael addition and cyclodehydration, yielding trisubstituted pyridine in a single regioisomer. This predictable process is well-suited for scaling up, with continuous-flow microwave processing achieving high yields [20].
In a two-step approach, 4-nitropyridine was successfully synthesized from pyridine N-oxide. Nitration with HNO3 and H2SO4 produced 4-nitropyridine N-oxide, which was further reacted with PCl3 to yield the final product. Continuous flow minimized the accumulation of energetic nitration intermediates, enhancing safety and scalability. Continuous extraction during nitration enabled a daily throughput of 0.716 kg of 4-nitropyridine with 83% yield and high selectivity [68].
To address coking deposits in commercial pyridine synthesis reactors, a coupled fluidized bed reactor was developed, comprising a feeding zone (FZ), riser reaction zone (RRZ), and fluidized bed reaction zone (FRZ). After running continuously for 15 days, no coke deposit was formed. Experimental results showed product yields as high as 75%, with selectivity outperforming conventional reactors. Modeling results confirmed that the main reactions occur in the FZ and FRZ, while RRZ contributed minimally due to mass transfer limitations [69].
The two-step continuous flow Scheme 4 can effectively and gently obtain the target compound (step 1 at 40 °C, step 2 at 30 °C). By extending the Markovnikov addition and esterification steps into a single, continuous, and uninterrupted reactor network, the need for separation and purification of intermediate products is avoided. The scope of the reaction is tested by changing the pyrimidine derivatives, vinyl esters, and sugars. The method reduces the use of DMSO, shortens the reaction time (step 1 10 min, step 2 30 min), and uses enzymes as catalysts to achieve high regional selectivity. They can use this technology to quickly synthesize a related compound library in preparation for the next step of drug activity screening [70].
Scheme 4.
Synthesis of sugar-containing pyrimidine compounds in continuous-flow microreactors (Reprinted from Ref. [70]).
Martin, R. E and colleagues demonstrated that pyrimidine alkynes could be transformed into annulated pyridines via a cascade of HDA reactions and cycloreversions, achieving high yields. Flow technology allowed solvents to be superheated, thus avoiding hazardous solvents like nitrobenzene. This process also safely trapped cyano side products continuously, preventing accumulation and facilitating scalability. The addition of pentane-3-one (1% v/v) to the toluene solvent stream was crucial to prevent blockage and ensure scalability (Figure 20) [71].
Figure 20.
Synthesis of annulated pyridines in flow. Reprinted with permission from Ref. [71]. Copyright 2012 Copyright John Wiley and Sons.
Substrates with electron-withdrawing groups attached to atom A (such as fluorine, chlorine, bromine, or nitro) typically exhibit higher reactivity, resulting in higher yields of cyclized pyridine products. Switching the connecting atom A from carbon to oxygen and nitrogen resulted in a significant decrease in yield.
2.8. Continuous Synthesis of Thiazole
Thiazole is a five-membered aromatic ring containing sulfur and nitrogen atoms. Due to its electron-rich heteroatoms, thiazole can form coordination bonds with transition metals and hydrogen bonds with nitrogen, oxygen, and fluorine atoms. Thiazoles are typically synthesized by the condensation of thioamides with α-bromoketones using the Hantzsch method [72,73,74]. Their derivatives have special anti-solvent color effects through the formation of hydrogen bond networks and were applied in the rapid detection of trace water [75].
A continuous-flow process has been developed for synthesizing and derivatizing 1,2,4-thiadiazole heterocycles (Figure 21). Special attention was given to safely handling trichloromethane sulfenyl chloride by in-line quenching, eliminating malodorous and corrosive by-products. This process enabled the safe synthesis of gram quantities of 5-chloro-3-phenyl-1,2,4-thiadiazole, which was subsequently diversified using nitrogen-, sulfur-, and oxygen-based nucleophiles [76].
Figure 21.
Flow synthesis of thiadiazoles. Reprinted with permission from Ref. [76]. Copyright 2017 Copyright Elsevier.
A straightforward protocol was also developed for synthesizing imidazo [2,1-b] thiazoles, starting from benzaldehydes, 2-aminothiazoles, and alkynes under copper catalysis. The reaction produced a variety of aryl-substituted imidazo [2,1-b] thiazoles and thiazoles with yields ranging from 33% to 93%. Continuous-flow intensification further increased yields up to quantitative levels [77].
Godineau, E. et al. designed a flow process for assembling C4-oxime-substituted thiazoles, using 3-bromo-2-oxopropanal O-methyl oxime as a key intermediate (Figure 22). This three-step sequence increased robustness and on-demand generation efficiency, improving scalability and safety. The continuous-flow setup enabled the simultaneous synthesis of unstable intermediates for convergent synthesis, with real-time NMR and IR analysis integrated into the process [78].
Figure 22.
Fully telescoped synthesis of the thiazole target 3 (Reprinted from Ref. [78]).
Each method serves its purpose in advancing synthetic chemistry, with a specific emphasis on improving yield, safety, or substrate diversity. The papers do not provide sufficient mechanistic insight into how the flow process and in-line quenching work on a molecular level, which would be valuable for readers seeking a deeper understanding.
2.9. Continuous Synthesis of Triazole, Tetrazole
Triazole is a five-membered aromatic heterocycle, conducive to forming various non-covalent bonds, making it effective in promoting the binding of proteins, enzymes, and receptors and demonstrating extensive biological and pharmacological activities. Tetrazole, containing four nitrogen atoms, has a planar ring structure and an electron-rich conjugated system, allowing it to participate in various non-covalent interactions. The synthesis of multicyclic functionally substituted triazole- and tetrazole-containing products has increased the possibility of obtaining various HOF materials [79]. The attachment of triazole derivative to the pores of the MOF or the combination of HOF and MOF greatly improves its proton conductivity [80].
2.9.1. Continuous Synthesis of Triazole
Francesco Ferlin reported an efficient method for C-H functionalization of 1,2,3-triazoles under continuous flow conditions, applicable to various functional groups and either inter- or intramolecular reactions. This continuous flow system uses heterogeneous Pd/C catalysts, soluble organic bases, and γ-valerolactone (GVL) as the reaction medium. Under optimized conditions, the combination of tetrabutylammonium acetate (TBAAc) and tetrabutylammonium iodide (TBAI) achieved a conversion rate of up to 97% and a separation yield of 87%. The system enables efficient recovery and extended stability of the catalysts [81]. In continuous microreactor system, organic azides are prepared in situ and subjected to [3 + 2] cycloaddition reactions with cyanoacetamide, generating various substituted 1,2,3-triazoles, which are further functionalized to create a core structure like that of the antiplatelet drug Brilinta®. This method is well-suited for flow chemistry as it maintains continuous heating and mixing while eliminating the need to isolate intermediate azides [82]. The references [81,82] focus on the functionalization of 1,2,3-triazoles, with the [81] using a palladium catalyst for C-H activation and the [82] emphasizing the safety improvement through the in-situ generation of azides.
Catherine J. Smith et al. described an online purification process using polymer-bound sulfonic acid (QP-SA) and dimethylamine (QP-DMA) to improve reaction safety in synthesizing 5-amino-4-cyanomethyl-1,2,3-triazole from aniline starting materials. This automated continuous flow process demonstrates the potential for long-duration, fully automated chemical process flows, achieving up to 55 h of synthesis and showcasing the capabilities of process automation in chemical synthesis (Figure 23) [83].
Figure 23.
Flow synthesis of 5-amino-4-cyano-1,2,3-triazole. Reprinted with permission from Ref. [83]. Copyright 2024 Copyright American Chemical Society.
Researchers have developed a high-throughput method for synthesizing a small molecule library of 1,2,4-oxadiazoles and 1,2,4-triazoles using a continuous flow reactor within an integrated synthetic purification platform (Figure 24). First, various carboxylic acids react with hydroxylamine, hydrazone amine, or pyridyl hydrazine through low-temperature peptide coupling, forming intermediates. These intermediates then undergo high-temperature cyclization to yield the desired heterocyclic compounds. This platform enables rapid library generation and accelerates the drug discovery process. The authors also demonstrated the SWIFT (Synthesis with Integrated Flow Technology) system, utilizing the Accendo Conjure flow reactor, which uses segmented flow with immiscible fluorine-containing spacers to create distinct reaction segments. With optimized cyclization temperatures (150–175 °C), this approach achieved high yields for various 1,2,4-oxadiazoles and 1,2,4-triazoles. The system demonstrated that compounds synthesized from hydrazine and 2-hydrazine pyridine can react with a range of aromatic and aliphatic carboxylic acid monomers, obtaining target compounds with moderate to high yields [84]. The results show the application of continuous flow chemistry in drug discovery. Although these examples emphasize efficiency and sustainability, they also demonstrate rapid synthesis and purification for screening.
Figure 24.
Continuous flow synthesis of 1,2,4-oxadiazole 2 (Reprinted from Ref. [84]).
Efficient synthesis of phenylglucososazone was achieved in a continuous flow process by reacting glucose with phenylhydrazine under acidic conditions. The process was further optimized to convert phenylglucososazone into 2-phenyl-1,2,3-triazole through oxidative cyclization. Reflux heating with copper (II) sulfate as an oxidant ensured high triazole yields, while continuous flow operation prevented reactor blockages. Using NaIO4 for diol cleavage, valuable triazole carboxaldehyde building blocks were also obtained [85]. The diazo transfer reagent NfN3 was successfully synthesized through a two-step continuous flow chemistry method, enabling the preparation of multiple triazoles, including the antiepileptic drug Rufinamide, from primary amines and alkynes via a semi-batch CuAAC click reaction (Figure 25). This reaction sequence bypasses the need to isolate alkyl azide intermediates and can also synthesize organic azides [86]. The first example involves reactor fouling and scalability issues, while the second example focuses on improving the safety and efficiency of treating reactive azide compounds. The selection of functional groups—benzyl glucosamine azide and azide/triazole—reflects different synthetic goals, with the former emphasizing the generation of heterocyclic skeletons and the latter focusing on the transformation of intermediate azide compounds. Although both methods show potential, there is still room for further optimization in terms of improving yield and sustainability.
Figure 25.
This work is to develop a three-step flow preparation of nonafyl azide, diazo transfer to primary amines, and subsequent CuAAC formation of triazoles (Reprinted from Ref. [86]).
Starting from 2,4,6-trimethylaniline, diazotization yields a diazonium salt that couples with 1H-1,2,4-triazole-3-thiol before undergoing diazotization to produce 3-(mesitylthio)-1H-1,2,4-triazole. Continuous flow technology effectively suppresses side reactions such as hydrolysis, dimerization, and intramolecular coupling of diazonium salts, resulting in a yield increase from 60% to 85% by optimizing reaction conditions [87]. Damiao, M. et al. developed a fully integrated continuous flow process to efficiently synthesize highly substituted 3-thiophene-1,2,4-triazoles (Figure 26). Through a condensation reaction of hydrazine and isothiocyanate (step A), an in-situ stream of thiocysteamine was generated and cyclized under alkaline conditions (step B), yielding 1,2,4-triazole-3-thiol, which was further alkylated with benzyl/alkyl halides. This platform synthesized a library of 18 compounds with a residence time of 48 min per synthesis, achieving moderate to excellent yields [88]. The use of continuous flow technology to synthesize the target product exhibits fast and efficient characteristics. Both examples emphasize the advantages of continuous flow chemistry in improving reaction efficiency, reducing side reactions, and achieving large-scale or high-throughput synthesis. Ref. [87] focuses on a specific reaction to produce 3-methylthio)-1H-1,2,4-triazole with high yield and purity, while [88] uses continuous flow chemistry to quickly generate a series of functionalized 3-thio-1,2,4-diazacyclic compounds for drug discovery. The second example demonstrates more flexibility in generating various compounds, making it particularly useful in early drug development. However, both methods can be further optimized in terms of environmental impact, scalability, and automation.
Figure 26.
Evaluation of the conditions for step A and B-cyclization in continuous flow regime [88].
2.9.2. Continuous Synthesis of Tetrazolium
In 2010, Gutman’s research group pioneered the in-situ formation of high-energy HN3 by mixing the inexpensive azide source NaN3 with acetic acid, followed by a high-temperature, high-pressure cycloaddition with organic amines to produce 1H-tetrazole without a catalyst (Figure 27). To accommodate the incompatibility of HN3 with metals, a passivated silica-coated stainless-steel coil (Sulfinert) reactor was used, achieving a throughput of up to 19 g/h. This cost-effective and atom-economic method is well-suited for industrial-scale tetrazole synthesis [89].
Figure 27.
Schematic diagram for the continuous flow tetrazole synthesis performed in a FlowSyn reactor: static glass mixer block (2.0 mL internal volume); C: coil reactor (Sulfinert, 10.7 mL internal volume, 1.0 mm i.d.); HE: heat-exchanger; BPR: back pressure regulator (34 bar) [89].
1,5-Disubstituted tetrazoles are valuable side chains in cannabinoid receptor 2 (CB2) agonists used to treat chronic pain and neurodegenerative diseases (Figure 28). The synthesis employs a three-step continuous flow process involving amide activation with POCl3, subsequent acyl chloride formation, and reaction with trimethylsilyl azide through diazotization and [3 + 2] cycloaddition. Full conversion was achieved within a residence time as short as 10 min, with yields of 77–86% and purities exceeding 99.7%. The continuous flow system incorporates pH-controlled quenching and extraction steps. During optimization, real-time NMR and FTIR PAT methods quantified starting materials and products, achieving a spatiotemporal yield of 1.16 kg·L−1·h−1 [90].
Figure 28.
Laboratory setup for process development at Roche, including continuous aqueous quench and extraction. Product 1 was isolated in high purity following the steps outlined here. Impurity 4 was avoided by preventing the reaction of product 1 with azide anion. Reprinted with permission from Ref. [90]. Copyright 2021 Copyright American Chemical Society.
The above method allows for the control of reaction conditions and high yields in a short time, making it highly suitable for large-scale industrial applications. Additionally, the 1,5-tetrazole functional group was chosen due to its importance in medicinal chemistry, and the use of azide chemistry for its synthesis offers a clean and efficient pathway.
Tetrazoles, crucial heterocycles in fields like organocatalysis, transition metal catalysis, propellants, and medicinal chemistry, are commonly synthesized in a continuous flow microreactor. NaN3 dissolved in water and added to an NMP-dissolved nitro compound flows through a heated PFA tube reactor (190 °C). After completion, the tetrazole product undergoes acidification and extraction (Figure 29). This method minimizes the need for impact-sensitive metal azides (e.g., Zn (N3)2) and enables online quenching of residual NaN3 with NaNO2. With careful optimization of solvents and reaction conditions, this approach achieves high yields quickly and safely. This technology is low-cost, simple to assemble, and suitable for both laboratory and production scale, with yields over 90% [91]. Gutmann et al. developed rapid high-temperature conversion reactions using hydrazine hydrate in a closed microwave system to achieve high-purity products quickly. However, due to the explosiveness of HN3, these batch processes are unsuitable for large-scale reactions. Continuous flow in microstructured reactors mitigates this risk. Microreactors offer small volume, high pressure, and temperature capabilities, which are advantageous for high-temperature or volatile/explosive reagent reactions. HN3 concentrations in microreactors can be safely maintained at higher levels than in sealed microwave containers due to the absence of dead space, significantly reducing explosion risk [92]. The method allows for the control of reaction conditions and high yields in a short time, making it highly suitable for large-scale industrial applications. Additionally, the 1,5-tetrazole functional group was chosen due to its importance in medicinal chemistry, and the use of azide chemistry for its synthesis offers a clean and efficient pathway.
Figure 29.
Safe and efficient tetrazole synthesis in a continuous flow microreactor [91].
Popova et al. explored a microreactor approach for synthesizing 5R tetrazole via aziridination, leveraging advantages, such as compact design, efficient heat and mass transfer, high reaction selectivity, and effective temperature control. Using dimethylamino nitrate as the aziridination reagent, the researchers determined the reaction rate constant for benzonitrile, finding it comparable to batch reactors (Scheme 5). Alkylation of 5-phenyltetrazole with methyl iodide was studied under various conditions, including with/without phase transfer catalysts. Increased pressure in microreactors notably accelerated the reaction rate compared to batch reactors. This method safely synthesizes NH-unsubstituted and N-substituted 5R tetrazoles [93]. The authors chose microreactor conditions for their ability to accelerate reactions and provide better control over reaction conditions, such as temperature and pressure.
Scheme 5.
Scheme of benzonitrile azidation and 5-phenyltetrazole methylation [93].
Reynard et al. described a continuous synthesis method for alkylating tetrazole via amine diazotization to produce 2,5-disubstituted tetrazole (2,5-Tz) (Figure 30). The regioselectivity of products (1,5-Tz:2,5-Tz) showed considerable variation, influenced by factors beyond simple steric hindrance, including differences in nucleophilic substitution mechanisms (first-order vs. second-order). These insights enhance predictability of product selectivity based on substrates, guiding rational design in tetrazole synthesis [94].
Figure 30.
Continuous flow alkylation of 1H-Tz via amine diazotization [94].
The key differences lie in the methodology—microreactors versus diazotization—and the focus on reaction efficiency in [93] versus substitution patterns in [94]. Both methods use tetrazoles due to their bioactivity and importance in medicinal chemistry, but they differ in how they modify the tetrazole scaffold.
In addition to the example of continuous synthesis of HOF synthetic mentioned above, other studies are listed in Table 1.
Table 1.
Continuous flow synthesis of HOF synthons.
3. Conclusions
The developed continuous flow system has been successfully applied to synthesize various HOF synthons heterocycles. It showed high catalytic activity and catalyst lifetime, increased turnover number (TON), and expanded substrate range. Continuous flow reactions can be carried out under “overheated” conditions, further improving reaction efficiency. Several innovative methods have proven new target compounds and highly efficient assembly methods tailored specifically to flow modes. In addition, the continuous synthesis of new chemical structures is increasingly adopting online analysis and purification technologies, which is crucial for providing high-purity samples in a more automated and efficient manner. Therefore, future efforts in this field may focus on synthons’ “polymerization degree” controllable, linking the synthesis of HOF structures with the evaluation of key biological characteristics, thus accelerating the discovery of new bioactive entities and HOF materials.
Author Contributions
Conceptualization, X.Y.; validation, X.Y. and S.W.; formal analysis, N.J.; investigation, Z.L.; data curation, H.W.; writing—original draft preparation, X.Y.; writing—review and editing, X.Y.; supervision, Q.S.; project administration, X.Y.; funding acquisition, X.Y. and Q.D. All authors have read and agreed to the published version of the manuscript.
Funding
This work was founded by: Liao Cheng University Excellent Textbook Project (No. 319260306); State Key Laboratory of Efficient Utilization for Low Grade Phosphate Rock and Its Associated Resources (WFKF (2023)002); the Sichuan Science and Technology Program (2023YFS0359).
Institutional Review Board Statement
Not applicable.
Informed Consent Statement
Not applicable.
Data Availability Statement
Not applicable.
Acknowledgments
The authors gratefully acknowledge the support of the State Key Laboratory of Chemical Engineering, Department of Chemical Engineering, Tsinghua University, Beijing, China.
Conflicts of Interest
The authors declare no conflicts of interest.
References
- Hu, Y.-X.; Li, W.-J.; Jia, P.-P.; Wang, X.-Q.; Xu, L.; Yang, H.-B. Supramolecular artificial light-harvesting systems with aggregation-Induced emission. Adv. Opt. Mater. 2020, 8, 2000265. [Google Scholar] [CrossRef]
- Feng, S.; Shang, Y.; Wang, Z.; Kang, Z.; Wang, R.; Jiang, J.; Fan, L.; Fan, W.; Liu, Z.; Kong, G.; et al. Fabrication of a Hydrogen-Bonded Organic Framework membrane through solution processing for pressure-regulated has deparation. Angew. Chem. Int. Ed. 2020, 59, 3840–3845. [Google Scholar] [CrossRef] [PubMed]
- Hu, F.; Liu, C.; Wu, M.; Pang, J.; Jiang, F.; Yuan, D.; Hong, M. An ultrastable and easily regenerated Hydrogen-bonded organic molecular framework with permanent porosity. Angew. Chem. Int. Ed. 2017, 56, 2101–2104. [Google Scholar] [CrossRef] [PubMed]
- Pal, S.C.; Mukherjee, D.; Sahoo, R.; Mondal, S.; Das, M.C. Proton-Conducting hydrogen-bonded organic frameworks. ACS Energy Lett. 2021, 6, 4431–4453. [Google Scholar] [CrossRef]
- Fang, C.C.; Xu, X.F.; Zhang, X.Y.; Dai, L.M.; Yao, F.L.; Zhang, W.Y.; Fu, Y.S.; Sun, J.W.; Zhu, J.W. Hydrogen-bonded organic frameworks and their derived materials for electrochemical energy storage and conversion. Chin. Sci. Bull. 2023, 68, 3335–3352. [Google Scholar] [CrossRef]
- Lin, Z.-J.; Mahammed, S.A.R.; Liu, T.-F.; Cao, R. Multifunctional porous hydrogen-bonded organic frameworks: Current status and future perspectives. ACS Cent. Sci. 2022, 8, 1589–1608. [Google Scholar] [CrossRef]
- Li, P.; Ryder, M.R.; Stoddart, J.F. Hydrogen-bonded organic frameworks: A rising class of porous molecular materials. Acc. Mater. Res. 2020, 1, 77–87. [Google Scholar] [CrossRef]
- Ma, C.; Qin, L.; Zhou, T.; Zhang, J. Customized structures of hydrogen-bonded organic frameworks towards photocatalysis. Energy Environ. Sci. 2024, 17, 8992–9026. [Google Scholar] [CrossRef]
- Song, X.; Wang, Y.; Wang, C.; Wang, D.; Zhuang, G.; Kirlikovali, K.O.; Li, P.; Farha, O.K. Design rules of hydrogen-bonded organic frameworks with high chemical and thermal stabilities. J. Am. Chem. Soc. 2022, 144, 10663–10687. [Google Scholar] [CrossRef]
- Ma, K.K.; Li, P.; Xin, J.H.; Chen, Y.W.; Chen, Z.J.; Goswami, S.; Liu, X.F.; Kato, S.; Chen, H.Y.; Zhang, X.; et al. Ultrastable mesoporous hydrogen-bonded organic framework-based fiber composites toward mustard gas detoxification. Cell Rep. Phys. Sci. 2020, 1, 1–11. [Google Scholar] [CrossRef]
- Huang, Q.Y.; Li, W.L.; Mao, Z.; Zhang, H.; Li, Y.; Ma, D.Y.; Wu, H.Y.; Zhao, J.; Yang, Z.Y.; Zhang, Y.; et al. Dynamic molecular weaving in a two-dimensional hydrogen-bonded organic framework. Chem 2021, 7, 1320–1332. [Google Scholar] [CrossRef]
- Hisaki, I.; Xin, C.; Takahashi, K.; Nakamura, T. Designing hydrogen-bonded organic frameworks (HOFs) with permanent porosity. Angew. Chem. Int. Ed. 2019, 58, 11160–11170. [Google Scholar] [CrossRef] [PubMed]
- Lin, Z.J.; Cao, R. Porous hydrogen-bonded organic frameworks (HOFs): Status and challenges. Acta Chim. Sin. 2020, 78, 1309–1335. [Google Scholar] [CrossRef]
- Du, J.; Xu, Z.-H.; Shi, Z.-Q.; Ji, N.-N.; Li, M.-Y.; Li, G. A crystalline imidazole-carboxylic acid-based hydrogen-bonded organic framework with high proton conductivity. J. Solid State Chem. 2024, 342, 125109. [Google Scholar] [CrossRef]
- Heravi, M.M.; Zadsirjan, V. Prescribed drugs containing nitrogen heterocycles: An overview. RSC Adv. 2020, 10, 44247–44311. [Google Scholar] [CrossRef]
- Ling, Y.; Hao, Z.Y.; Liang, D.; Zhang, C.L.; Liu, Y.F.; Wang, Y. The expanding role of pyridine and dihydropyridine scaffolds in drug design. Drug Des. Dev. Ther. 2021, 15, 4289–4338. [Google Scholar] [CrossRef]
- Kumar, A.; Singh, A.K.; Singh, H.; Vijayan, V.; Kumar, D.; Naik, J.; Thareja, S.; Yadav, J.P.; Pathak, P.; Grishina, M.; et al. Nitrogen containing heterocycles as anticancer agents: A medicinal chemistry perspective. Pharmaceuticals 2023, 16, 1–28. [Google Scholar] [CrossRef]
- Marshall, C.M.; Federice, J.G.; Bell, C.N.; Cox, P.B.; Njardarson, J.T. An update on the nitrogen heterocycle compositions and properties of U.S. FDA-Approved pharmaceuticals (2013–2023). J. Med. Chem. 2024, 67, 11622–11655. [Google Scholar] [CrossRef]
- Patil, U.P. Porous carbon catalysis in sustainable synthesis of functional heterocycles: An overview. Chin. Chem. Lett. 2024, 35, 109472. [Google Scholar] [CrossRef]
- Wong, S.; Dolzhenko, A.V. Synthesis of heterocyclic compounds under microwave irradiation using name reactions. Green Chem. Synth. Microw. Ultrasound 2024, 157–184. [Google Scholar] [CrossRef]
- Kumar, S.; Maurya, A.; Agarwal, A. Microwave-Assisted synthesis of heterocyclic scaffolds. Synopen 2024, 8, 138–152. [Google Scholar]
- Kumari, S.; Kishore, D.; Paliwal, S.; Chauhan, R.; Dwivedi, J.; Mishra, A. Transition metal-free one-pot synthesis of nitrogen-containing heterocycles. Mol. Divers. 2016, 20, 185–232. [Google Scholar] [CrossRef] [PubMed]
- Choury, M.; Lopes, A.B.; Blond, G.; Gulea, M. Synthesis of Medium-Sized heterocycles by Transition-Metal-Catalyzed intramolecular cyclization. Molecules 2020, 25, 3147. [Google Scholar] [CrossRef] [PubMed]
- Guo, W.S.; Gómez, J.E.; Cristòfol, A.; Xie, J.N.; Kleij, A.W. Catalytic transformations of functionalized cyclic organic carbonates. Angew. Chem. -Int. Ed. 2018, 57, 13735–13747. [Google Scholar] [CrossRef]
- Santos, A.S.; Raydan, D.; Cunha, J.C.; Viduedo, N.; Silva, A.M.S.; Marques, M.M.B. Advances in green catalysis for the synthesis of medicinally relevant n-heterocycles. Catalysts 2021, 11, 1108. [Google Scholar] [CrossRef]
- Wang, Z.G.; Gérardy, R.; Gauron, G.; Damblon, C.; Monbaliu, J.C.M. Solvent-free organocatalytic preparation of cyclic organic carbonates under scalable continuous flow conditions. React. Chem. Eng. 2019, 4, 17–26. [Google Scholar] [CrossRef]
- Qiao, J.-Q.; Zuo, S.-W.; Li, Z.-F.; Li, G. Latest progress in proton-conducting hydrogen-bonded organic frameworks. Inorg. Chem. Front. 2023, 10, 5856–5884. [Google Scholar] [CrossRef]
- Yang, Q.Q.; Wang, Y.J.; Shang, Y.X.; Du, J.; Yin, J.B.; Liu, D.; Kang, Z.X.; Wang, R.M.; Sun, D.F.; Jiang, J.Z. Three hydrogen-bonded organic frameworks with Water-Induced Single-Crystal-to-Single-Crystal transformation and high proton conductivity. Cryst. Growth Des. 2020, 20, 3456–3465. [Google Scholar] [CrossRef]
- Yang, F.F.; Wang, X.L.; Tian, J.Y.; Yin, Y.; Liang, L.F. Vitrification-enabled enhancement of proton conductivity in hydrogen-bonded organic frameworks. Nat. Commun. 2024, 15, 3930. [Google Scholar] [CrossRef]
- Jiao, J.; Nie, W.Z.; Yu, T.; Yang, F.; Zhang, Q.; Aihemaiti, F.; Yang, T.J.; Liu, X.Y.; Wang, J.C.; Li, P.F. Multi-step continuous-flow organic synthesis: Opportunities and challenges. Chem. Eur. J. 2021, 27, 4817–4838. [Google Scholar] [CrossRef]
- Sedelmeier, J.; Ley, S.V.; Baxendale, I.R.; Baumann, M. KMnO4-mediated oxidation as a continuous flow process. Org. Lett. 2010, 12, 3618–3621. [Google Scholar] [CrossRef] [PubMed]
- Zeller, J.R.; Venkatraman, S.; Brot, E.C.A.; Iyer, S.; Hall, M. LFA-1 Inhibitor and Methods of Preparation and Polymorph Thereof. U.S. Patent 9,085,553B2, 21 July 2015. [Google Scholar]
- Tweedle, S.; Venkatraman, S.; Liu, S.; Zeller, J.; Brot, E.; Hamlin, M.; Newman, M.J.; McLaws, M.; Rosenberg, J.; Lathbury, D. Continuous Flow Carboxylation Reaction. U.S. Patent Application 2016/0090361A1, 31 March 2016. [Google Scholar]
- Pieber, B.; Glasnov, T.; Kappe, C.O. Flash carboxylation: Fast lithiation-carboxylation sequence at room temperature in continuous flow. RSC Adv. 2014, 4, 13430–13433. [Google Scholar] [CrossRef]
- Jagtap, A.D.; Kondekar, N.B.; Sadani, A.A.; Chern, J.W. Ureas: Applications in Drug Design. Curr. Med. Chem. 2017, 24, 622–651. [Google Scholar] [CrossRef] [PubMed]
- Pattabi, V.; Raju Veeraboina, M.; Eppakayala, L.; Navuluri, S.; Mulakayala, N. Design, synthesis and biological evaluation of aryl urea derivatives of oxazole-pyrimidine as anticancer agents. Results Chem. 2024, 7, 101442. [Google Scholar] [CrossRef]
- Azeem, B.; KuShaari, K.; Man, Z.B.; Basit, A.; Thanh, T.H. Review on materials & methods to produce controlled release coated urea fertilizer. J. Control. Release 2014, 181, 11–21. [Google Scholar]
- Lin, R.-B.; Chen, B. Hydrogen-bonded organic frameworks: Chemistry and functions. Chem 2022, 8, 2114–2135. [Google Scholar] [CrossRef]
- Bana, P.; Lakó, Á.; Kiss, N.Z.; Béni, Z.; Szigetvári, Á.; Kóti, J.; Túrós, G.I.; Éles, J.; Greiner, I. Synthesis of urea derivatives in two sequential continuous-flow reactors. Org. Process Res. Dev. 2017, 21, 611–622. [Google Scholar] [CrossRef]
- Riesco-Domínguez, A.; Blanco-Ania, D.; Rutjes, F.P.J.T. Continuous flow synthesis of urea-containing compound libraries based on the piperidin-4-one scaffold. Eur. J. Org. Chem. 2018, 2018, 1312–1320. [Google Scholar] [CrossRef]
- Németh, A.G.; Szabó, R.; Orsy, G.; Mándity, I.M.; Keserű, G.M.; Ábrányi-Balogh, P. Continuous-Flow synthesis of thioureas, enabled by aqueous polysulfide solution. Molecules 2021, 26, 303–312. [Google Scholar] [CrossRef]
- Labiche, A.; Norlöff, M.; Feuillastre, S.; Taran, F.; Audisio, D. Continuous flow synthesis of non-symmetrical ureas from CO2. Asian J. Org. Chem. 2023, 12, 11–16. [Google Scholar] [CrossRef]
- Pagano, N.; Herath, A.; Cosford, N.D.P. An automated process for a sequential heterocycle/multicomponent reaction: Multistep continuous flow synthesis of 5-(thiazol-2-yl)-3,4-dihydropyrimidin-2(1H)-ones. J. Flow Chem. 2011, 1, 28–31. [Google Scholar] [CrossRef] [PubMed]
- Yang, J.; Dewal, M.B.; Profeta, S.; Smith, M.D.; Li, Y.Y.; Shimizu, L.S. Origins of selectivity for the 2+2 cycloaddition of α,β-unsaturated ketones within a porous self-assembled organic framework. J. Am. Chem. Soc. 2008, 130, 612–621. [Google Scholar] [CrossRef] [PubMed]
- Liao, L.; Li, M.; Yin, Y.; Chen, J.; Zhong, Q.; Du, R.; Liu, S.; He, Y.; Fu, W.; Zeng, F. Advances in the Synthesis of covalent triazine frameworks. ACS Omega 2023, 8, 4527–4542. [Google Scholar] [CrossRef]
- Van der Lubbe, S.C.C.; Haim, A.; van Heesch, T.; Fonseca Guerra, C. Tuning the binding strength of even and uneven hydrogen-bonded arrays with remote substituents. J. Phys. Chem. A 2020, 124, 9451–9463. [Google Scholar] [CrossRef]
- Jyoti, K.; Sonika, J.; Namita, M.; Jaya, D.; Dharma, K. 1,3,5-Triazine: Recent development in synthesis of its analogs and biological profile. Mini-Rev. Med. Chem. 2024, 24, 2019–2071. [Google Scholar]
- Ichitsuka, T.; Takahashi, I.; Koumura, N.; Sato, K.; Kobayashi, S. Continuous synthesis of aryl amines from phenols utilizing integrated packed-bed flow systems. Angew. Chem. Int. Ed. 2020, 59, 15891–15896. [Google Scholar] [CrossRef]
- Yang, W.; Yang, F.; Hu, T.L.; King, S.C.; Wang, H.L.; Wu, H.; Zhou, W.; Li, J.R.; Arman, H.D.; Chen, B.L. Microporous diaminotriazine-decorated porphyrin-based hydrogen-bonded organic framework: Permanent porosity and proton conduction. Cryst. Growth Des. 2016, 16, 5831–5835. [Google Scholar] [CrossRef]
- García-Lacuna, J.; Baumann, M. Modular photochemical flow synthesis of structurally diverse benzyne and triazine precursors. Adv. Synth. Catal. 2023, 365, 2628–2635. [Google Scholar] [CrossRef]
- Guo, Y.X.; Liu, M.J.; Jiang, M.F.; Tao, Y.; Cheng, D.; Chen, F.E. Continuous-Flow synthesis of the nucleobase unit of remdesivir. Engineering 2023, 21, 92–100. [Google Scholar] [CrossRef]
- Selig, P. Guanidine Organocatalysis. Synthesis 2013, 45, 703–718. [Google Scholar] [CrossRef]
- Ishikawa, T. Guanidine Chemistry. Chem. Pharm. Bull. 2010, 58, 1555–1564. [Google Scholar] [CrossRef] [PubMed]
- Saczewski, F.; Balewski, L. Biological activities of guanidine compounds. Expert Opin. Ther. Pat. 2009, 19, 1417–1448. [Google Scholar] [CrossRef]
- Shatalov, D.O.; Kedik, S.A.; Ivanov, I.S.; Aydakova, A.V.; Akhmedova, D.A.; Minenkov, D.S.; Beliakov, S.V.; Herbst, A.; Greiner, L.; Kozlovskaya, L.I.; et al. Development of a promising method for producing oligomeric mixture of branched alkylene guanidines to improve substance quality and evaluate their antiviral activity against SARS-CoV-2. Molecules 2021, 26, 3472. [Google Scholar] [CrossRef]
- Glotz, G.; Lebl, R.; Dallinger, D.; Kappe, C.O. Integration of bromine and cyanogen bromide generators for the continuous-flow synthesis of cyclic guanidines. Angew. Chem. Int. Ed. 2017, 56, 13786–13789. [Google Scholar] [CrossRef]
- Britton, J.; Jamison, T.F. A unified continuous flow assembly-line synthesis of highly substituted pyrazoles and pyrazolines. Angew. Chem. Int. Ed. 2017, 56, 8823–8827. [Google Scholar] [CrossRef]
- Britton, J.; Jamison, T.F. Synthesis of celecoxib, mavacoxib, SC-560, gluxapyroxad, and bixafen enabled by continuous flow reaction modules. Eur. J. Org. Chem. 2017, 2017, 6566–6574. [Google Scholar] [CrossRef]
- Das, A.; Ishitani, H.; Kobayashi, S. Toward continuous-flow synthesis of biologically interesting pyrazole derivatives. Adv. Synth. Catal. 2019, 361, 5127–5132. [Google Scholar] [CrossRef]
- Brandão, P.; Pineiro, M.; Pinho e Melo, T.M.V.D. Flow chemistry: Towards a more sustainable heterocyclic synthesis. Eur. J. Org. Chem. 2019, 2019, 7188–7217. [Google Scholar] [CrossRef]
- Hao, B.-B.; Wang, X.-X.; Zhang, C.-X.; Wang, Q. Two hydrogen-bonded organic frameworks with imidazole encapsulation: Synthesis and proton conductivity. Cryst. Growth Des. 2021, 21, 3908–3915. [Google Scholar] [CrossRef]
- Porcar, R.; Sans, V.; Ríos-Lombardía, N.; Gotor-Fernández, V.; Gotor, V.; Burguete, M.I.; García-Verdugo, E.; Luis, S.V. Stereoselective chemoenzymatic synthesis of enantiopure 2-(1H-imidazol-yl) cycloalkanols under continuous flow conditions. ACS Catal. 2012, 2, 1976–1983. [Google Scholar] [CrossRef]
- Fekete, M.; Kocsis, L.; Dormán, G.; Jones, R.V.; Darvas, F. A continuous flow process for the green and sustainable production of N-alkyl imidazoles. Green Process. Synth. 2016, 5, 239–246. [Google Scholar] [CrossRef]
- Carneiro, P.F.; Gutmann, B.; de Souza, R.; Kappe, C.O. Process intensified flow synthesis of 1H-4-substituted imidazoles: Toward the continuous production of daclatasvir. ACS Sustain. Chem. Eng. 2015, 3, 3445–3453. [Google Scholar] [CrossRef]
- Kong, L.; Lv, X.; Lin, Q.; Liu, X.; Zhou, Y.; Jia, Y. Efficient synthesis of imidazoles from aldehydes and 1,2-diketones under superheating conditions by using a continuous flow microreactor system under pressure. Org. Process Res. Dev. 2010, 14, 902–904. [Google Scholar] [CrossRef]
- Jain, K.S.; Arya, N.; Inamdar, N.; Auti, P.B.; Unawane, S.A.; Puranik, H.H.; Sanap, M.S.; Inamke, A.D.; Mahale, V.; Prajapati, C.S.; et al. The chemistry and bio-medicinal significance of pyrimidines & condensed pyrimidines. Curr. Top. Med. Chem. 2016, 16, 3133–3174. [Google Scholar]
- Suku, S.; Ravindran, R. Synthesis, characterization and dielectric properties of porous hydrogen-bonded organic framework of pyridine-2,6-dicarboxylic acid with 4-methoxyaniline and its Bi(III) complex. J. Mol. Struct. 2021, 1226, 129314. [Google Scholar] [CrossRef]
- Wan, Z.D.; Fang, Z.; Yang, Z.; Liu, C.K.; Gu, J.J.; Guo, K. A two-step continuous flow synthesis of 4-nitropyridine. J. Chem. Res. 2015, 39, 209–212. [Google Scholar] [CrossRef]
- Zhou, S.; Liu, S.; Wei, Y.; Li, X.; Lu, C.; Liu, M.; Bi, X. Coupled fluidized bed reactor for pyridine dynthesis. Ind. Eng. Chem. Res. 2018, 57, 7466–7475. [Google Scholar] [CrossRef]
- Xie, H.-J.; Shao, W.-X.; Du, L.-H.; Zhang, A.-Y.; Lin, H.; Huang, Z.-H.; Fu, G.-N.; Shen, J.-H.; Yan, B.-L.; Xue, M.-M.; et al. Two-step tandem synthesis of sugar-containing pyrimidine derivatives catalyzed by Lipozyme® TL IM in continuous-flow microreactors. RSC Adv. 2024, 14, 38193–38199. [Google Scholar] [CrossRef]
- Martin, R.E.; Morawitz, F.; Kuratli, C.; Alker, A.M.; Alanine, A.I. Synthesis of annulated pyridines by intramolecular inverse-electron-demand Hetero-Diels–Alder reaction under superheated continuous flow conditions. Eur. J. Org. Chem. 2012, 2012, 47–52. [Google Scholar] [CrossRef]
- Arshad, M.F.; Alam, A.; Alshammari, A.A.; Alhazza, M.B.; Alzimam, I.M.; Alam, M.A.; Mustafa, G.; Ansari, M.S.; Alotaibi, A.M.; Alotaibi, A.A.; et al. Thiazole: A versatile standalone moiety contributing to the development of various drugs and biologically active agents. Molecules 2022, 27, 3994. [Google Scholar] [CrossRef]
- Liu, H.; Xu, T.; Xue, Z.H.; Huang, M.J.; Wang, T.T.; Zhang, M.M.; Yang, R.G.; Guo, Y. Current development of Thiazole-containing compounds as potential antibacterials against Methicillin-Resistant staphylococcus aureus. ACS Infect. Dis. 2024, 10, 350–370. [Google Scholar] [CrossRef] [PubMed]
- Rouf, A.; Tanyeli, C. Bioactive thiazole and benzothiazole derivatives. Eur. J. Med. Chem. 2015, 97, 911–927. [Google Scholar] [CrossRef] [PubMed]
- Liu, Y.; Liang, Z.; Li, Z.; Zhao, K.; Sun, Y.; Zhang, X.; Yang, R.; Qu, L. Anti-Solvatochromic fluorescence of thiazole [5, 4-d] thiazole by forming hydrogen bond network and its application in fast detection of trace water. Microchem. J. 2020, 154, 104640. [Google Scholar] [CrossRef]
- Baumann, M.; Baxendale, I.R. A continuous flow synthesis and derivatization of 1,2,4-thiadiazoles. Bioorganic Med. Chem. 2017, 25, 6218–6223. [Google Scholar] [CrossRef] [PubMed]
- Rassokhina, I.V.; Tikhonova, T.A.; Kobylskoy, S.G.; Babkin, I.Y.; Shirinian, V.Z.; Gevorgyan, V.; Zavarzin, I.V.; Volkova, Y.A. Synthesis of imidazo [2,1-b] thiazoles via Copper-Catalyzed A3-Coupling in batch and continuous flow. J. Org. Chem. 2017, 82, 9682–9692. [Google Scholar] [CrossRef]
- Godineau, E.; Battilocchio, C.; Lehmann, M.; Ley, S.V.; Labes, R.; Birnoschi, L.; Subramanian, S.; Prasanna, C.S.; Gorde, A.; Kalbagh, M.; et al. A convergent continuous multistep process for the preparation of C4-oxime-Substituted thiazoles. Org. Process Res. Dev. 2018, 22, 955–962. [Google Scholar] [CrossRef]
- Bojarska, J.; Breza, M.; Remko, M.; Yuan, Y.; Ziora, Z.M.; Chai, T.-T.; Madura, I.D.; Kaczmarek, K.; Blaskovich, M.A.T.; Wolf, W.M. A supramolecular self-assembly of peptide-derived compounds via 1,5-disubstituted tetrazole-based supramolecular synthons: An experimental and computational study. J. Mol. Struct. 2023, 1288, 135732. [Google Scholar] [CrossRef]
- Sun, Z.-B.; Li, Y.-L.; Zhang, Z.-H.; Li, Z.-F.; Xiao, B.; Li, G. A path to improve proton conductivity: From a 3D hydrogen-bonded organic framework to a 3D copper-organic framework. New J. Chem. 2019, 43, 10637–10644. [Google Scholar] [CrossRef]
- Ferlin, F.; Luciani, L.; Santoro, S.; Marrocchi, A.; Lanari, D.; Bechtoldt, A.; Ackermann, L.; Vaccaro, L. A continuous flow approach for the C-H functionalization of 1,2,3-triazoles in γ-valerolactone as a biomass-derived medium. Green Chem. 2018, 20, 2888–2893. [Google Scholar] [CrossRef]
- Sadler, S.; Sebeika, M.M.; Kern, N.L.; Bell, D.E.; Laverack, C.A.; Wilkins, D.J.; Moeller, A.R.; Nicolaysen, B.C.; Kozlowski, P.N.; Wiles, C.; et al. A facile route to triazolopyrimidines using a [3+2] cycloaddition and continuous-flow chemistry. J. Flow Chem. 2014, 4, 140–147. [Google Scholar] [CrossRef]
- Song, L.; Ang, H.T.; Senthilperumal, J.; Kanusu, U.R.; Venugopal, S.; Rangarajan, N.; Krishnamoorthy, S.; Dubbaka, S.R.; O’Neill, P.; Wu, J. 1,2,3-Triazole synthesis: Development of safe and effective batch and continuous manufacturing processes. Org. Process Res. Dev. 2024, 28, 1998–2005. [Google Scholar] [CrossRef]
- Bogdan, A.R.; Wang, Y. A high-throughput synthesis of 1,2,4-oxadiazole and 1,2,4-triazole libraries in a continuous flow reactor. RSC Adv. 2015, 5, 79264–79269. [Google Scholar] [CrossRef]
- Molnar, M.; Baumann, M. Continuous flow synthesis of phenyl glucosazone and its conversion to 2H-1,2,3-Triazole building blocks. J. Flow Chem. 2023, 13, 211–215. [Google Scholar] [CrossRef]
- Green, S.P.; Broderick, H.C.; Wheelhouse, K.M.P.; Hallett, J.P.; Miller, P.W.; Bull, J.A. Continuous preparation and reaction of nonaflyl azide (NfN3) for the synthesis of organic azides and 1,2,3-triazoles. J. Flow Chem. 2024, 14, 559–568. [Google Scholar] [CrossRef]
- Yu, Z.; Chen, J.; Liu, J.; Wu, Z.; Su, W. Conversion of 2,4,6-Trimethylaniline to 3-(mesitylthio)-1H-1,2,4-triazole using a continuous-flow reactor. Org. Process Res. Dev. 2018, 22, 1828–1834. [Google Scholar] [CrossRef]
- Damiao, M.; Galaverna, R.; Kozikowski, A.P.; Eubanks, J.; Pastre, J.C. Telescoped continuous flow generation of a library of highly substituted 3-thio-1,2,4-triazoles. React. Chem. Eng. 2017, 2, 896–907. [Google Scholar] [CrossRef]
- Gutmann, B.; Roduit, J.-P.; Roberge, D.; Kappe, C.O. Synthesis of 5-substituted 1H-tetrazoles from nitriles and hydrazoic acid by using a safe and scalable High-Temperature microreactor approach. Angew. Chem. Int. Ed. 2010, 49, 7101–7105. [Google Scholar] [CrossRef]
- Sagmeister, P.; Kaldre, D.; Sedelmeier, J.; Moessner, C.; Püntener, K.; Kummli, D.; Williams, J.D.; Kappe, C.O. Intensified continuous flow synthesis and workup of 1,5-disubstituted tetrazoles enhanced by real-time process analytics. Org. Process Res. Dev. 2021, 25, 1206–1214. [Google Scholar] [CrossRef]
- Palde, P.B.; Jamison, T.F. Safe and efficient tetrazole synthesis in a continuous-flow microreactor. Angew. Chem. Int. Ed. 2011, 50, 3525–3528. [Google Scholar] [CrossRef]
- Gutmann, B.; Obermayer, D.; Roduit, J.P.; Roberge, D.M.; Kappe, C.O. Safe generation and synthetic utilization of hydrazoic acid in a continuous flow reactor. J. Flow Chem. 2012, 2, 8–19. [Google Scholar] [CrossRef]
- Popova, E.A.; Abiev, R.S.; Lappalainen, L.A.; Svetlov, S.D.; Andreeva, T.V.; Trifonov, R.E.; Ostrovskii, V.A. Synthesis of 5-phenyltetrazole and its N-methyl derivatives in a microreactor. Chem. Biochem. Eng. Q. 2014, 28, 241–246. [Google Scholar] [CrossRef]
- Reynard, G.; Moisan-Labelle, J.; Parent, É.; Lebel, H. Understanding the regioselectivity of 5-substituted 1H-tetrazoles alkylation. New J. Chem. 2022, 46, 21085–21091. [Google Scholar] [CrossRef]
- Kandasamy, M.; Ganesan, B.; Hung, M.-Y.; Lin, W.-Y. Fast and efficient continuous flow method for the synthesis of ynones and pyrazoles. Eur. J. Org. Chem. 2019, 2019, 3183–3189. [Google Scholar] [CrossRef]
- Comas-Barceló, J.; Blanco-Ania, D.; van den Broek, S.; Nieuwland, P.J.; Harrity, J.P.A.; Rutjes, F. Cu-catalysed pyrazole synthesis in continuous flow. Catal. Sci. Technol. 2016, 6, 4718–4723. [Google Scholar] [CrossRef]
- Sagandira, C.R.; Khasipo, A.Z.; Watts, P. Total synthesis of glipizide and glibenclamide in continuous flow. Chem. Eur. J. 2021, 27, 16028–16035. [Google Scholar] [CrossRef]
- Biyani, S.A.; Lytle, C.; Hyun, S.-H.; McGuire, M.A.; Pendyala, R.; Thompson, D.H. Development of a continuous flow synthesis of lorazepam. Org. Process Res. Dev. 2022, 26, 2715–2727. [Google Scholar] [CrossRef]
- Chen, S.Y.; Yang, S.X.; Wang, H.; Niu, Y.N.; Zhang, Z.; Qian, B. Continuous flow microreactor promoted the catalytic N-oxidation reaction of pyridine derivatives. Synthesis 2022, 54, 3999–4004. [Google Scholar]
- Baumann, M.; Rodriguez Garcia, A.M.; Baxendale, I.R. Flow synthesis of ethyl isocyanoacetate enabling the telescoped synthesis of 1,2,4-triazoles and pyrrolo-1,2-pyrimidines. Org. Biomol. Chem. 2015, 13, 4231–4239. [Google Scholar] [CrossRef]
- Jiang, M.; Liu, M.; Huang, H.; Chen, F. Fully Continuous Flow Synthesis of 5-(aminomethyl)-2-methylpyrimidin-4-amine: A key intermediate of vitamin B1. Org. Process Res. Dev. 2021, 25, 2331–2337. [Google Scholar] [CrossRef]
- Lehmann, J.; Alzieu, T.; Martin, R.E.; Britton, R. The Kondrat’eva reaction in flow: Direct access to annulated pyridines. Org. Lett. 2013, 15, 3550–3553. [Google Scholar] [CrossRef]
- Li, H.; Han, F.; Jiang, L.; Yang, T.; Du, L.; Zhu, J. Continuous synthesis of n-cyclohexyl-2-benzothiazole sulfenamide with microfluidics and its kinetic study. Ind. Eng. Chem. Res. 2021, 60, 14134–14142. [Google Scholar] [CrossRef]
- Lövei, K.; Greiner, I.; Éles, J.; Szigetvári, A.; Dékány, M.; Lévai, S.; Novák, Z.; Túrós, G.I. Multistep continuous-flow synthesis of condensed benzothiazoles. J. Flow Chem. 2015, 5, 74–81. [Google Scholar] [CrossRef]
- Lei, M.; Hu, R.J.; Wang, Y.G.; Zhang, H. Synthesis of 1,4-disubstituted 1,2,3-triazoles via click reaction in micro flow reactor. Heterocycles 2014, 88, 1511–1517. [Google Scholar] [CrossRef]
- Drelinkiewicz, D.; Whitby, R.J. A practical flow synthesis of 1,2,3-triazoles. RSC Adv. 2022, 12, 28910–28915. [Google Scholar] [CrossRef]
- Zhang, P.; Russell, M.G.; Jamison, T.F. Continuous flow total synthesis of rufinamide. Org. Process Res. Dev. 2014, 18, 1567–1570. [Google Scholar] [CrossRef]
- Choi, Y.S.; Lee, S.; Bae, S.W. Efficient and safe synthesis of 1-methyl-3,5-dinitro-1,2,4-triazole using continuous flow chemistry. Bull. Korean Chem. Soc. 2020, 41, 220–222. [Google Scholar] [CrossRef]
- Ötvös, S.B.; Georgiádes, A.; Mándity, I.M.; Kiss, L.; Fülöp, F. Efficient continuous-flow synthesis of novel 1,2,3-triazole-substituted β-amino cyclohexane carboxylic acid derivatives with gram-scale production. Beilstein J. Org. Chem. 2013, 9, 1508–1516. [Google Scholar] [CrossRef]
- Oetvoes, S.B.; Fueloep, F. Flow chemistry as a versatile tool for the synthesis of triazoles. Catal. Sci. Technol. 2015, 5, 4926–4941. [Google Scholar] [CrossRef]
- Teci, M.; Tilley, M.; McGuire, M.A.; Organ, M.G. Handling hazards using continuous flow chemistry: Synthesis of N1-Aryl-[1,2,3]-triazoles from anilines via telescoped three-step diazotization, azidodediazotization, and [3 + 2] Dipolar Cycloaddition Processes. Org. Process Res. Dev. 2016, 20, 1967–1973. [Google Scholar] [CrossRef]
- Jacq, J.; Pasau, P. Multistep flow synthesis of 5-amino-2-aryl-2H- [1,2,3]-triazole-4-carbonitriles. Chem. Eur. J. 2014, 20, 12223–12233. [Google Scholar] [CrossRef]
- Kwon, Y.-J.; Lee, S.-G.; Kim, W.-S. Continuous flow synthesis of n-sulfonyl-1,2,3-triazoles for tandem relay Cu/Rh dual catalysis. J. Org. Chem. 2023, 88, 1200–1214. [Google Scholar] [CrossRef] [PubMed]
Disclaimer/Publisher’s Note: The statements, opinions and data contained in all publications are solely those of the individual author(s) and contributor(s) and not of MDPI and/or the editor(s). MDPI and/or the editor(s) disclaim responsibility for any injury to people or property resulting from any ideas, methods, instructions or products referred to in the content. |
© 2024 by the authors. Licensee MDPI, Basel, Switzerland. This article is an open access article distributed under the terms and conditions of the Creative Commons Attribution (CC BY) license (https://creativecommons.org/licenses/by/4.0/).



































