Abstract
Zwitterionic π-allenyl palladium species are newly developed intermediates. A substrate-controlled step existed in the cycloaddition of zwitterionic π-allenyl palladium species with tropsulfimides or tropones. With the assistance of previously experimental studies, zwitterionic allenyl/propargyl palladium species was provenly found by HRMS. Further DFT calculation studies show that zwitterionic π-allenyl palladium species are generated through the oxidative addition of Pd(0), which can be promoted by Lewis acid like Yb(OTf)3, and the cycloaddition more likely undergoes through an outer sphere nucleophilic attack. The isomerization is caused by the difference of dissociation energy between the cycloaddition intermediation of tropsulfimides and tropones, forming the substrate-controlled specificity.
1. Introduction
As an important type of intermediate, zwitterionic π-allyl palladium species play a constructive role in modern organic chemistry methodology [1,2,3,4,5,6]. During the long period of study in such a field, mature mechanisms of reactions in the field of zwitterionic π-allyl palladium species have already been deeply explored (Scheme 1a), and density functional theory (DFT) calculations were proved to be a powerful and effective tool for exploring those mechanistic insights [7,8,9,10,11,12,13,14]. Nevertheless, the research on zwitterionic π-allenyl palladium species, resembling zwitterionic π-allyl palladium species, is still in the ascendant.
Scheme 1.
Previous works of zwitterionic palladium species chemistry and former substrate-control [8 + 3] cycloaddition reaction DFT research based on.
In 2021, the first example of a cycloaddition reaction via the zwitterionic π-allenyl palladium species generated from vinylidenecyclopropane-diesters (VDCP-diesters) with electron-withdrawing groups (EWG) was reported by our group [15], which exhibited a ligand-controlled selectivity in these reactions: using DPEPhos as ligand (Ln) preferred to induce [3 + 2] cycloaddition, while employing dppp as a ligand tended to induce the cycloaddition with a [4 + 2] mode. However, the underlying logic of the mechanism of such a cycloaddition reaction was still ambiguous. On the other hand, another type of reaction mode of zwitterionic π-allenyl palladium species, a hydroamination reaction, was found in 2022 by our group (Scheme 1b) [16]. Although preliminarily experimental studies on the reaction mechanism were shown in that work, it still lacked a coherent explanation about the mechanism. To their credit, some follow-up studies offset the lack of mechanism in the former type of reaction [17] and the latter type of reaction [18], whereas the systematic mechanism studies remain deficient.
Recently, our group reported a substrate-controlled [8 + 3] cycloaddition of tropone derivative via zwitterionic π-allenyl palladium species (Scheme 1c) [19]. As an extension of traditional type cycloaddition, the difference between tropsulimides and tropones led to different products: the former substrate afforded allene products at 70 °C in 12 h, at a relatively higher temperature with a shorter reaction time, and the latter afforded conjugated dienes at 50 °C in 24 h, which was at a much milder temperature with a longer time. Hence, a plausible mechanism based on an isomerization, which might occur after the formation of the allene part, was raised. However, no direct evidence of the allene intermediate of tropone has been discovered, while a series of problems, such as the effect of Lewis acid additive and the type of C–N or C–O bond formation, are still unclear. Detailed mechanistic studies on the reaction mechanism are still highly demanded. In this work, we attempt to provide a thorough understanding of the reaction mechanism as well as the nature of the chemoselectivity via theoretical investigation by DFT calculations. In this work, the effect of Lewis acid additives like Yb(OTf)3 is first expounded, which can highly promote the oxidative addition of C–C bonds, and the different types of cycloaddition, outer sphere nucleophilic attack or inner sphere reductive elimination, are equally compared. Combined with the calculation of isomerization, the mechanism of this substrate-controlled reaction can be unveiled in development.
2. Results and Discussion
2.1. Mechanistic Studies by Experiments
In a previous report, we performed a few control experiments to investigate the mechanism of this palladium-catalyzed reaction preliminarily [19]. Such experiments, which specifically filtrated 2.5 mol% palladium resource Pd2(dba)3 or 10 mol% Yb(OTf)3 in the reaction of 0.1 mmol 1a or 4a with 0.2 mmol 2a with 7.5 mol% DPEphos, 100 mg 4Å MS, and 0.1 mmol Cs2CO3 in 1.0 mL THF heated in 70 °C (for 1a) or 55 °C (for 4a) for 12 (for 1a) or 24 (for 4a) h, were repeated and presented the same results as shown in the previous work (see part D in Supporting Information). The reaction afforded product 3a in 36% yield under standard reaction conditions only without the Lewis acid (LA) additive Yb(OTf)3; however, the reaction did not occur when the palladium catalyst was removed. We replenished the control experiments of 3a, which presented a similar pattern. The possibility of Lewis acid as the main catalyst was considered unreasonable, and the Lewis acid Yb(OTf)3 basically acted as an additive to promote this palladium-catalyzed reaction (Scheme 2a).
Scheme 2.
(a) Control experiments. (b) Detections of key zwitterionic palladium species through the dimer of intermediate. (c) Detections of key zwitterionic palladium species by MALDI-MS.
Based on such experiments, further experiments were performed with the help of mass spectra. After the reaction under standard conditions, only using VDCP diester 2a as the reactant, a VDCP dimer 6a was detected through high-resolution mass spectrum-electrospray ionization (HRMS-ESI), pointing to the existence of zwitterionic π-allenyl palladium species (Scheme 2b). Moreover, an allenyl palladium complex 6b, prepared from Pd2dba3, DPEphos, and VDCP-diester 2a, was observed by MALDI-MS, providing the first experimental evidence on the formation of a zwitterionic allenyl palladium species and suggesting that the zwitterionic palladium species might be derived from the oxidative addition of a palladium catalyst with the cyclopropane ring in VDCP-diester (Scheme 2c).
However, the exact structure of the zwitterionic palladium species, which had an allenyl or propargyl or any other group and malonic ester anion coordinated to the palladium center or not, was difficult to identify by the current experimental techniques because those zwitterionic palladium species made from VDCP diesters were all unstable in a series of solvents, which could only keep a weak chemical equilibrium between zwitterionic palladium species and VDCP diesters even with the help of base to restrain the oligomerization of VDCP diesters. Otherwise, a semi-solid mixture with solvent would be generated, which was totally unanalyzable in terms of molecular structure, let alone the formation of monocrystal. This means that the conformation of the exact structure of zwitterionic palladium species through experiments like X-ray diffraction (XRD) is almost impossible to confirm. On the other hand, the allenyl product of tropone 5a′ could not be isolated or detected, leaving a mystery in the rearrangement part. Thus, DFT studies are indispensable to be employed for investigations on the structures of zwitterionic palladium species and the mechanism for the rearrangement part of this reaction.
2.2. Proposed Cycloaddition and Rearrangement Reaction Pathways
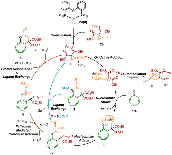
According to former experimental studies, we proposed a plausible reaction pathway (Scheme 3). On the [8 + 3] cycloaddition part, an oxidative addition between palladium(0) complex I and VDCP-diester 2a, [1,12,15,16,17,18,19,20,21], activated by Lewis acid additive Yb(OTf)3, first took place at the electron-deficient C–C site of the cyclopropyl unit to form an intermediate II, which underwent the cycloaddition reaction with tropsulfimide 1 or tropone derivative 4 to afford intermediate III. Although we drew an allenyl moiety in the intermediates II and III, π-propargyl still might exist in them as well as in intermediate IV, which would be mentioned afterwards. Significantly, whether the X part coordinated to the palladium center or not depends on the type of palladium species, which means the X part should coordinate to palladium if the palladium center coordinated to allenyl but should not with palladium while the palladium center combined with π-propargyl [22,23].
Scheme 3.
Proposed reaction pathways.
Since then, an intermediate IV was generated via a chair-form reductive elimination or an X-leading nucleophilic attack. On the rearrangement part, when X = NSO2R, a simple dissociation generated the desired product 3 and regenerated the Pd(0) catalyst. When X = O, we supposed that an uncommon palladium-mediated proton transfer driven by carbonate anion would occur, producing the allyl anionic intermediate V. Through a proton-transfer shuttle, the protonation of V on another side of the allyl anion with the bicarbonate anion afforded product 5 and regenerated the Pd catalyst.
2.3. Theoretical Investigation on a Possible Reaction Pathway
First of all, which C–C bond on the cyclopropane ring of the VDCP diester the oxidative addition took place should be worked out. We investigated the reaction pathway starting from a stable palladium complex int-1 as shown in Scheme 4, in which the allene unit of 2a is coordinated to the DPEphos-Pd(0) catalyst. The palladium complex int-1 undergoes an oxidative addition through TS-1 to form a zwitterionic allenyl palladium intermediate int-2a with an energy barrier of 24.7 kcal/mol in an exothermic process (ΔG = −2.5 kcal/mol). Another possible zwitterionic π-propargyl palladium intermediate int-2b is also investigated. However, compared with the η1-coordinated intermediate int-2a, the energy of the η3-coordinated intermediate int-2b is much higher by 13.4 kcal/mol, probably due to the steric effect derived from DPEphos and the decentralization of the anion-cation part. We have also investigated two other ring-open pathways, which are exhibited as passing transition state TS-1′ to give int-2a′ and passing transition state TS-1″ to give int-2a″. Both pathways show larger energy gaps than TS-1 with int-1, which are 27.6 kcal/mol and 29.6 kcal/mol. Based on these calculation results, the oxidative addition at the electron-deficient C–C site of the cyclopropyl unit is more reasonable than other types of oxidative addition pathways.
Scheme 4.
DFT calculation studies of the oxidative addition process.
As an additive that could raise the reaction efficiency to a large extent, the influence of Lewis acid additive Yb(OTf)3 should also be considered and studied (Scheme 5). Compared to the oxidative addition pathway without Yb(OTf)3, the additive presents a significant effect to lower the energy gap of ring opening from 24.7 kcal/mol between int-1 and TS-1 to 1.0 kcal/mol between int-1-Yb and TS-1-Yb. The calculation results show that Yb3+ coordinated to the carbonyl parts of malonic ester and demonstrate the activation of the Lewis acid additive Yb(OTf) on C–C cleavage of the electron-deficient part of the cyclopropyl unit.
Scheme 5.
DFT calculation studies of the promotion effect of Yb(OTf)3.
Beyond the oxidative addition step, the following ring-closing process was also investigated. As we mentioned above, the allenyl might maintain η1 type, which is the allenyl-coordinated type, or η3 type, which is the π-propargyl-coordinated type, in zwitterionic palladium species. Obviously, there is one more empty hapto in the former type species coordinated with malonic ester anion after oxidative addition, which could be shifted to a Lewis base point such as an N-atom in tropsulfimide or an O-atom in tropone. However, the latter type species could hardly directly coordinate to the palladium center due to the lack of empty hapto. Hence, the allenyl-type species tend to form the ring through a coordinated reductive elimination, while π-propargyl-type species prefer a Lewis-base-part-leading nucleophilic attack. We have tested those hypotheses through the cycloaddition of tropsulfimide 1a (Scheme 6). Coordination of tropsulfimide 1a with zwitterionic allenyl palladium intermediate int-2a generates an intermediate int-3, which overwhelms the transition state TS-2 with an 11.9 kcal/mol barrier by nucleophilic attack to afford an intermediate int-4a-chair. Based on the conformation search, the boat conformer int-4a-boat is also located. Although the boat conformer int-4a-boat is thermodynamically favorable, it has to overcome a higher energy barrier (ΔG‡ = 37.1 kcal/mol) to generate product complex int-5; thus, we exclude this pathway. Subsequently, the intermediate int-4a-chair overcomes an energy barrier of 26.6 kcal/mol via TS-3a-chair to obtain product complex int-5. Finally, int-1 is regenerated through ligand exchanging by 2a and affords product 3a, which is nearly irreversible to have the opportunity to rearrange the product. In addition, the π-propargyl-type reaction pathway has also been investigated, which, starting from the coordination of tropsulfimide 1a with zwitterionic π-propargyl palladium intermediate int-2b, generates an intermediate int-3′ that overwhelms the transition state TS-2′ with a 10.4 kcal/mol barrier by another type of nucleophilic attack that palladium does not coordinate with NTs to afford int-4a′. Overcoming an energy barrier of 18.5 kcal/mol via TS-3a′, int-4a′ can be transformed to int-5′ through an NTs-leading nucleophilic attack. Finally, product 3a is afforded by ligand exchanging. In terms of energy barrier, the latter pathway is more kinetically favorable.
Scheme 6.
DTF calculation studies of the [8 + 3] cycloaddition mode of tropsulfimide derivative.
Subsequently, the influence of Yb(OTf)3 on the cycloaddition process has also been studied theoretically. The calculation results show that the addition of Yb(OTf)3 only has a slight effect on the cycloaddition process and does not significantly influence the reaction barriers and the stabilities of species along the reaction pathway (Scheme 7). Similar to the reaction pathway without Yb(OTf)3 (shown in Scheme 6), coordination of tropsulfimide 1a with zwitterionic allenyl palladium intermediate int-2a with Yb3+ generates an intermediate int-3-Yb. Passing transition state TS-2a-Yb with an energy barrier of 4.4 kcal/mol, an intermediate int-4a-Yb is obtained in an exothermic process (ΔG = −2.1 kcal/mol). However, the energy barrier of reductive elimination in the allenyl-type pathway via transition state TS-3a-Yb is 37.8 kcal/mol, which is a high energy barrier and difficult to overcome under standard reaction conditions. This is similar to the pathway without Yb(OTf)3. The nucleophilic attack in the π-propargyl type pathway is not promoted with the addition of Yb(OTf)3 since the energy barrier via transition state TS-3a′-Yb is even increased to 23.5 kcal/mol. Hence, the additive Yb(OTf)3 plays an important role in promoting the cleavage of the C–C bond and does not influence the following cycloaddition process significantly.
Scheme 7.
DFT calculation studies on the effect of Yb(OTf)3 on the cycloaddition process.
The exothermic ligand exchange step restrains the rearrangement of the tropsulfimide derivative in the cycloaddition part. We have also investigated the ligand exchange step of the tropone derivative. Hypothetically, an allene intermediate int-IV was first generated in a similar manner as int-5 shown in Scheme 8, which is an endothermic process with an 11.9 kcal/mol barrier rather than int-5 in ligand exchanging to actuate the rearrangement, which can also explain why the allene product of tropone was unable to be detected. Based on such a result, the intermediate int-IV was set as the starting point for our investigation. The acidic H is attracted by the carbonate anion through TS-IV with an energy barrier of 11.0 kcal/mol to form a formal allylic anion with the bicarbonate anion int-V. The bicarbonate part would twist to another side of allylic anion, which makes the hydrogen part close to conjugated diene part, and overwhelms the transition state TS-V with 11.8 kcal/mol barrier by proton transfer and ligand exchange to afford the product 5a. Palladium catalyst coordinated with VDCP diester and carbonate anion as a proton shuttle was released to start a new rearrangement reaction.
Scheme 8.
DFT calculation studies of the rearrangement of tropone derivative.
According to the former DFT studies, we have already amended the mechanism of the reaction. The most plausible pathway of cycloaddition is summarized in Scheme 9, which starts from π-propargyl-type zwitterionic palladium species II/II’ generated form I and goes through an outer sphere nucleophilic attack to intermediate III to form certain allene products IV. The key point of rearrangement was found out as the dissociation energy of the ligand exchange step. The allene products of tropsulfimides could dissociate, while tropone derivatives should pass through a palladium-mediated proton transfer conducted by carbonate anion as a proton shuttle through intermediate V to form conjugated diene products and regenerate the VDCP-coordinated palladium catalyst.
Scheme 9.
The most plausible reaction mechanism.
3. Materials and Methods
The preparation of tropsulfimines 1 [24], vinylidenecyclopropane-diester 2 [25], and tropones 4 [26] and products 3 and 5 [19] followed the previous literature procedure. Compound 6a was detected by HRMS-ESI, and compound 6b was detected by MALDI.
All calculations were performed with the Gaussian 16 program [27]. The geometries of all minima and transition states have been optimized at the B3LYP(D3BJ)/6-31G(d,p) level of theory for all nonmetallic atoms (H, C, N, O, S, and P) and the SDD level of theory for the metallic atom Pd. The subsequent frequency calculations on the stationary points were carried out at the same level of theory to ascertain the nature of the stationary points as minima or first-order saddle points on the respective potential energy surfaces. All transition states were characterized by one and only one imaginary frequency pertaining to the desired reaction coordinate. Thermochemical corrections to 298.15 K have been calculated for all minima from unscaled vibrational frequencies obtained at this same level. The solvent effect was estimated by the SMD method in THF (ε = 46.826). Solution-phase single-point energy calculations were performed at the B3LYP(D3BJ)/def2-tzvp level for all nonmetallic atoms (H, C, N, O, S, and P) and the SDD level of theory for metallic atom Pd based on the gas-phase-optimized structures. The possible conformers for each species were searched manually, and the best conformer was used to calculate the reaction energy profile.
4. Conclusions
In summary, we conducted a series of DFT calculation studies based on our former control experiments, which located the [8 + 3] cycloaddition as a palladium-catalyzed reaction with zwitterionic palladium species. DFT calculation results confirm the position of C–C oxidative addition cleavage and the promotion of Lewis acid additive Yb(OTf)3 in oxidative addition. The most plausible mechanism of a [8 + 3] cycloaddition via zwitterionic π-propargyl palladium is proposed based on systematic mechanistic studies, which also demonstrate the dissociation energy as a unique point to regulate the selectivity of rearrangement. Although the experimental part of those studies still has certain flaws due to the instability of zwitterionic π-propargyl palladium species, this mechanistic insight of zwitterionic π-propargyl palladium will provide a deeper understanding of subsequent related studies.
Supplementary Materials
The supporting information can be downloaded at: https://www.mdpi.com/article/10.3390/molecules30010103/s1. Scheme S1: DFT calculation on the reaction mechanism; Scheme S2: DFT calculation on the reaction mechanism with Yb(OTf)3; Scheme S3: DFT calculations on the formation of diene product.
Author Contributions
Conceptualization, M.S. and Y.W.; methodology, Y.L. and J.S.; software, Y.L. and J.S.; validation, Y.L., M.S. and Y.W.; formal analysis, M.S. and Y.W.; investigation, Y.L. and J.S.; resources, M.S. and Y.W.; data curation, Y.L.; writing—original draft preparation, Y.L; writing—review and editing, M.S. and Y.W.; supervision, M.S. and Y.W.; project administration, M.S. and Y.W.; funding acquisition, M.S. and Y.W. All authors have read and agreed to the published version of the manuscript.
Funding
This research was funded by the National Key R & D Program of China (2023YFA1506700), the National Natural Science Foundation of China (21372250, 21121062, 21302203, 20732008, 21772037, 21772226, 21861132014, 91956115 and 22171078), Project supported by Shanghai Municipal Science and Technology Major Project (Grant No. 2018SHZDZX03) and the Fundamental Research Funds for the Central Universities 222201717003.
Institutional Review Board Statement
Not applicable.
Informed Consent Statement
Not applicable.
Data Availability Statement
Data are contained within the article and Supplementary Materials.
Conflicts of Interest
The authors declare no conflicts of interest.
References
- Wang, J.-H.; Blaszczyk, S.A.; Li, X.-X.; Tang, W.-P. Transition Metal-Catalyzed Selective Carbon-Carbon Bond Cleavage of Vinylcyclopropanes in Cycloaddition Reactions. Chem. Rev. 2021, 121, 110. [Google Scholar] [CrossRef] [PubMed]
- Trost, B.M.; Mata, G. Forging Odd-Membered Rings: Palladium-Catalyzed Asymmetric Cycloadditions of Trimethylenemethane. Acc. Chem. Res. 2020, 53, 1293. [Google Scholar] [CrossRef]
- Niu, B.; Wei, Y.; Shi, M. Recent Advances in Annulation Reactions based on Zwitterionic π-Allyl Palladium and Propargyl Palladium Complexes. Org. Chem. Front. 2021, 8, 3475. [Google Scholar] [CrossRef]
- Allen, B.D.W.; Lakeland, C.P.; Harrity, J.P.A. Utilizing Palladium-Stabilized Zwitterions for the Construction of N-Heterocycles. Chem. Eur. J. 2017, 23, 13830. [Google Scholar] [CrossRef]
- Khan, S.; Ahmad, T.; Rasheed, T.; Ullah, N. Recent Applications of Vinylethylene Carbonates in Pd-Catalyzed Allylic Substitution and Annulation Reactions: Synthesis of Multifunctional Allylic and Cyclic Structural Motifs. Coord. Chem. Rev. 2022, 462, 214526. [Google Scholar] [CrossRef]
- You, Y.; Li, Q.; Zhang, Y.-P.; Zhao, J.-Q.; Wang, Z.-H.; Yuan, W.-C. Advances in Palladium-Catalyzed Decarboxylative Cycloadditions of Cyclic Carbonates, Carbamates and Lactones. ChemCatChem 2022, 14, e202101887. [Google Scholar] [CrossRef]
- Wang, Y.-N.; Chai, J.-L.; You, C.; Zhang, J.; Mi, X.-L.; Zhang, L.; Luo, S.-Z. π-Coordinating Chiral Primary Amine/Palladium Synergistic Catalysis for Asymmetric Allylic Alkylation. J. Am. Chem. Soc. 2020, 142, 3184. [Google Scholar] [CrossRef]
- Huang, Q.-W.; Qi, T.; Liu, X.; Zhang, X.; Li, Q.-Z.; Gou, C.; Tao, Y.-M.; Leng, H.-J.; Li, J.-L. Lewis Acid/Brønsted Base-Assisted Palladium Catalysis: Stereoselective Construction of Skeletally Diverse Spiro-Ketolactams from Vinylethylene Carbonates. ACS Catal. 2021, 11, 10148. [Google Scholar] [CrossRef]
- Wu, H.-L.; Hu, L.-F.; Shen, Z.; Huang, G.-P. Computational Insights into Palladium/Boron-Catalyzed Allylic Substitution of Vinylethylene Carbonates with Water: Outer-Sphere versus Inner-Sphere Pathway and Origins of Regio- and Enantioselectivities. ACS Catal. 2022, 12, 2722. [Google Scholar] [CrossRef]
- Li, Q.-Z.; Guan, Y.-L.; Huang, Q.-W.; Qi, T.; Xiang, P.; Zhang, X.; Leng, H.-J.; Li, J.-L. Temperature-Controlled Divergent Asymmetric Synthesis of Indole-Based Medium-Sized Heterocycles through Palladium Catalysis. ACS Catal. 2023, 13, 1164. [Google Scholar] [CrossRef]
- Xiao, Y.-Q.; Li, M.-M.; Zhou, Z.-L.; Li, Y.-J.; Cao, M.-Y.; Liu, X.-P.; Lu, H.-H.; Rao, L.; Lu, L.-Q.; Beauchemin, A.M.; et al. Taming Chiral Quaternary Stereocenters via Remote H-BondingStereoinduction in Palladium-Catalyzed (3 + 2) Cycloadditions. Angew. Chem. Int. Ed. 2023, 62, e202212444. [Google Scholar] [CrossRef] [PubMed]
- Shi, B.; Xiao, M.; Zhao, J.-P.; Zhang, Z.-H.; Xiao, W.-J.; Lu, L.-Q. Synthesis of Chiral Endocyclic Allenes and Alkynes via Pd-Catalyzed Asymmetric Higher-Order Dipolar Cycloaddition. J. Am. Chem. Soc. 2024, 146, 26622. [Google Scholar] [CrossRef] [PubMed]
- He, L.; Qu, B.-L.; Xiao, M.; Yu, J.-Q.; Yu, J.; Cheng, Y.; Zhang, Z.-H.; Xiao, W.-J.; Lu, L.-Q. Synthesis of Chiral Spiro-Indenes via Pd-Catalyzed Asymmetric (4 + 2) Dipolar Cyclization. Chem. Synth. 2024, 4, 53. [Google Scholar] [CrossRef]
- Qin, T.-Z.; He, M.-Y.; Zi, W.-W. Palladium-Catalysed [2σ + 2π] Cycloaddition Reactions of Bicyclo[1.1.0]butanes with Aldehydes. Nat. Synth. 2024. [Google Scholar] [CrossRef]
- Niu, B.; Wei, Y.; Shi, M. Palladium Catalyzed Divergent Cycloadditions of Vinylidenecyclopropane-Diesters with MethyleneIndolinones enabled by Zwitterionic π-Propargyl Palladium Species. Chem. Commun. 2021, 57, 4783. [Google Scholar] [CrossRef]
- Yang, Z.-R.; Zhang, B.; Long, Y.-J.; Wei, Y.; Shi, M. Palladium-Catalyzed Hydroamination of Vinylidenecyclopropane-Diester with Pyrroles and Indoles: An Approach to Azaaromatic Vinylcyclopropanes. Chem. Commun. 2022, 58, 9926. [Google Scholar] [CrossRef]
- Shen, J.-H.; Long, Y.-J.; Shi, M.; Wei, Y. Palladium-Catalyzed and Ligand-Controlled Divergent Cycloadditions of Vinylidenecyclopropane-Diesters with Para-Quinone Methides enabled by Zwitterionic π-Propargyl Palladium Species. Org. Chem. Front. 2024, 11, 3214. [Google Scholar] [CrossRef]
- Zhong, X.-H.; Long, Y.-J.; Wei, Y.; Shi, M. Palladium-Catalyzed Sc(OTf)3/Cs2CO3-Assisted C−O Cross-Coupling of Vinylidenecyclopropane-Diesters with Phenolic Compounds. Adv. Synth. Catal. 2024, 366, 3387. [Google Scholar] [CrossRef]
- Long, Y.-J.; Shen, J.-H.; Wei, Y.; Shi, M. Substrate-Controlled [8 + 3] Cycloaddition of Tropsulfimides and Tropones with Zwitterionic Allenyl Palladium Species Derived from Vinylidenecyclopropane-diesters. J. Org. Chem. 2024, 89, 14831. [Google Scholar] [CrossRef]
- Yang, L.-C.; Wang, Y.-N.; Liu, R.-Y.; Luo, Y.-X.; Ng, X.-Q.; Yang, B.-M.; Rong, Z.-Q.; Lan, Y.; Shao, Z.-H.; Zhao, Y. Stereoselective Access to [5.5.0] and [4.4.1] Bicyclic Compounds Through Pd-Catalysed Divergent Higher-order Cycloadditions. Nat. Chem. 2020, 12, 860. [Google Scholar] [CrossRef] [PubMed]
- Dai, M.-F.; Sun, Z.-M.; Chen, L.-A. Palladium-Catalyzed Regiodivergent Synthesis of 1,3-Dienyl and Allyl Esters from Propargyl Esters. Angew. Chem. Int. Ed. 2022, 61, e202203835. [Google Scholar] [CrossRef] [PubMed]
- Baize, M.W.; Blosser, P.W.; Plantevin, V.; Schimpff, D.G.; Gallucci, J.C.; Wojcicki, A. η3-Propargyl/Allenyl Complexes of Platinum and Palladium of the Type [(PPh3)2M(η3-CH2CCR)]. Organometallics 1996, 15, 164. [Google Scholar] [CrossRef]
- Tsutsumi, K.; Yabukami, T.; Fujimoto, K.; Kawase, T.; Morimoto, T.; Kakiuchi, K. Effects of a Bidentate Phosphine Ligand on Palladium-Catalyzed Nucleophilic Substitution Reactions of Propargyl and Allyl Halides with Thiol. Organometallics 2003, 22, 2996–2999. [Google Scholar] [CrossRef]
- Manzano, R.; Romaniega, A.; Prieto, L.; Díaz, E.; Reyes, E.; Uria, U.; Carrillo, L.; Vicario, J.L. γ-Substituted Allenic Amides in the Phosphine-Catalyzed Enantioselective Higher Order Cycloaddition with Azaheptafulvenes. Org. Lett. 2020, 22, 4721. [Google Scholar] [CrossRef]
- Chen, J.-C.; Gao, S.; Chen, M. Cu-Catalyzed Silylation and Borylation of Vinylidene Cyclopropanes. Org. Lett. 2019, 21, 8800. [Google Scholar] [CrossRef]
- Ononye, S.N.; VanHeyst, M.D.; Oblak, E.Z.; Zhou, W.-D.; Ammar, M.; Anderson, A.C.; Wright, D.L. Tropolones As Lead-Like Natural Products: The Development of Potent and Selective Histone Deacetylase Inhibitors. ACS Med. Chem. Lett. 2013, 4, 757. [Google Scholar] [CrossRef] [PubMed]
- Frisch, M.J.; Trucks, G.W.; Schlegel, H.B.; Scuseria, G.E.; Robb, M.A.; Cheeseman, J.R.; Scalmani, G.; Barone, V.; Petersson, G.A.; Nakatsuji, H.; et al. Gaussian 16, Revision C. 01; Gaussian, Inc.: Wallingford, CT, USA, 2019. [Google Scholar]
Disclaimer/Publisher’s Note: The statements, opinions and data contained in all publications are solely those of the individual author(s) and contributor(s) and not of MDPI and/or the editor(s). MDPI and/or the editor(s) disclaim responsibility for any injury to people or property resulting from any ideas, methods, instructions or products referred to in the content. |
© 2024 by the authors. Licensee MDPI, Basel, Switzerland. This article is an open access article distributed under the terms and conditions of the Creative Commons Attribution (CC BY) license (https://creativecommons.org/licenses/by/4.0/).








