Effective Removal of Different Heavy Metals Ion (Cu, Pb, and Cd) from Aqueous Solutions by Various Molecular Weight and Salt Types of Poly-γ-Glutamic Acid
Abstract
1. Introduction
2. Results and Discussion
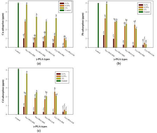
2.1. Different Types of γ-PGA Adsorption Effects on Heavy Metal Ions
2.2. γ-PGA Dose−Heavy Metal Adsorption Activity Relationship
2.3. Adsorption Efficiency of γ-PGA in Analog Mixed Environment
3. Materials and Methods
3.1. Materials
3.2. Biosorption of Heavy Metals to γ-PGA
3.3. Analysis of Heavy Metal Adsorption to γ-PGA
3.4. Analog Mixed Environment Assay
3.5. Statistical Analysis
4. Conclusions
Author Contributions
Funding
Institutional Review Board Statement
Informed Consent Statement
Data Availability Statement
Acknowledgments
Conflicts of Interest
References
- Fu, F.; Wang, Q. Removal of heavy metal ions from wastewaters: A review. J. Environ. Manag. 2011, 92, 407–418. [Google Scholar] [CrossRef]
- Sawal, M. General standards for discharge of environmental pollutants. Environ. Rules 1986, 2, 545–560. [Google Scholar]
- WHO. Guidelines for Drinking-Water Quality: Fourth Edition Incorporating the First and Second Addenda; World Health Organization: Geneva, Switzerland, 2022. [Google Scholar]
- Iqbal, M.S.; Aslam, A.A.; Iftikhar, R.; Junaid, M.; Imran, S.M.; Nazir, M.S.; Ali, Z.; Zafar, M.; Kanwal, A.; Othman, N.K.; et al. The potential of functionalized graphene-based composites for removing heavy metals and organic pollutants. J. Water Process Eng. 2023, 53, 103809. [Google Scholar] [CrossRef]
- Imdad, S.; Dohare, R.K. A Critical Review On Heavy Metals Removal Using Ionic Liquid Membranes From The Industrial Wastewater. Chem. Eng. Process.-Process Intensif. 2022, 173, 108812. [Google Scholar] [CrossRef]
- Putro, J.N.; Santoso, S.P.; Ismadji, S.; Ju, Y.-H. Investigation of heavy metal adsorption in binary system by nanocrystalline cellulose–Bentonite nanocomposite: Improvement on extended Langmuir isotherm model. Microporous Mesoporous Mater. 2017, 246, 166–177. [Google Scholar] [CrossRef]
- Benalia, M.C.; Youcef, L.; Bouaziz, M.G.; Achour, S.; Menasra, H. Removal of Heavy Metals from Industrial Wastewater by Chemical Precipitation: Mechanisms and Sludge Characterization. Arab. J. Sci. Eng. 2022, 47, 5587–5599. [Google Scholar] [CrossRef]
- Wang, J.-P.; Chen, Y.-Z.; Wang, Y.; Yuan, S.-J.; Yu, H.-Q. Optimization of the coagulation-flocculation process for pulp mill wastewater treatment using a combination of uniform design and response surface methodology. Water Res. 2011, 45, 5633–5640. [Google Scholar] [CrossRef] [PubMed]
- Senila, M.; Neag, E.; Cadar, O.; Kovacs, E.D.; Aschilean, I.; Kovacs, M.H. Simultaneous Removal of Heavy Metals (Cu, Cd, Cr, Ni, Zn and Pb) from Aqueous Solutions Using Thermally Treated Romanian Zeolitic Volcanic Tuff. Molecules 2022, 27, 3938. [Google Scholar] [CrossRef]
- Neag, E.; Török, A.I.; Tanaselia, C.; Aschilean, I.; Senila, M. Kinetics and Equilibrium Studies for the Removal of Mn and Fe from Binary Metal Solution Systems Using a Romanian Thermally Activated Natural Zeolite. Water 2020, 12, 1614. [Google Scholar] [CrossRef]
- Carolin, C.F.; Kumar, P.S.; Saravanan, A.; Joshiba, G.J.; Naushad, M. Efficient techniques for the removal of toxic heavy metals from aquatic environment: A review. J. Environ. Chem. Eng. 2017, 5, 2782–2799. [Google Scholar] [CrossRef]
- Abdullah, N.; Yusof, N.; Lau, W.; Jaafar, J.; Ismail, A. Recent trends of heavy metal removal from water/wastewater by membrane technologies. J. Ind. Eng. Chem. 2019, 76, 17–38. [Google Scholar] [CrossRef]
- Akbal, F.; Camcı, S. Comparison of Electrocoagulation and Chemical Coagulation for Heavy Metal Removal. Chem. Eng. Technol. 2010, 33, 1655–1664. [Google Scholar] [CrossRef]
- Belkacem, M.; Khodir, M.; Abdelkrim, S. Treatment characteristics of textile wastewater and removal of heavy metals using the electroflotation technique. Desalination 2008, 228, 245–254. [Google Scholar] [CrossRef]
- Gavahian, M.; Sarangapani, C.; Misra, N.N. Cold plasma for mitigating agrochemical and pesticide residue in food and water: Similarities with ozone and ultraviolet technologies. Food Res. Int. 2021, 141, 110138. [Google Scholar] [CrossRef]
- Gavahian, M. Valorized pineapple waste by conventional and energy-saving ohmic extraction: Potentially toxic elements and mycotoxin contamination. Qual. Assur. Saf. Crops Foods 2023, 15, 11–20. [Google Scholar] [CrossRef]
- Bibi, A.; Naz, S.; Uroos, M. Evaluating the Effect of Ionic Liquid on Biosorption Potential of Peanut Waste: Experimental and Theoretical Studies. ACS Omega 2021, 6, 22259–22271. [Google Scholar] [CrossRef] [PubMed]
- Qasem, N.A.A.; Mohammed, R.H.; Lawal, D.U. Removal of heavy metal ions from wastewater: A comprehensive and critical review. NPJ Clean Water 2021, 4, 36. [Google Scholar] [CrossRef]
- Shrestha, R.; Ban, S.; Devkota, S.; Sharma, S.; Joshi, R.; Tiwari, A.P.; Kim, H.Y.; Joshi, M.K. Technological trends in heavy metals removal from industrial wastewater: A review. J. Environ. Chem. Eng. 2021, 9, 105688. [Google Scholar] [CrossRef]
- Karim, A.; Raji, Z.; Karam, A.; Khalloufi, S. Valorization of Fibrous Plant-Based Food Waste as Biosorbents for Remediation of Heavy Metals from Wastewater—A Review. Molecules 2023, 28, 4205. [Google Scholar]
- Gupta, A.; Kumar, M.; Sharma, R.; Tripathi, R.; Kumar, V.; Thakur, I.S. Screening and characterization of bioflocculant isolated from thermotolerant Bacillus sp. ISTVK1 and its application in wastewater treatment. Environ. Technol. Innov. 2023, 30, 103135. [Google Scholar] [CrossRef]
- Hassimi, A.H.; Hafiz, R.E.; Muhamad, M.H.; Abdullah, S.R.S. Bioflocculant production using palm oil mill and sago mill effluent as a fermentation feedstock: Characterization and mechanism of flocculation. J. Environ. Manag. 2020, 260, 110046. [Google Scholar] [CrossRef]
- Oyewole, O.A.; Jagaba, A.; Abdulhammed, A.A.; Yakubu, J.G.; Maude, A.M.; Abioye, O.P.; Adeniyi, O.D.; Egwim, E.C. Production and characterization of a bioflocculant produced by microorganisms isolated from earthen pond sludge. Bioresour. Technol. Rep. 2023, 22, 101492. [Google Scholar] [CrossRef]
- Kurniawan, S.B.; Abdullah, S.R.S.; Imron, M.F.; Said, N.S.M.; Ismail, N.I.; Abu Hasan, H.; Othman, A.R.; Purwanti, I.F. Challenges and Opportunities of Biocoagulant/Bioflocculant Application for Drinking Water and Wastewater Treatment and Its Potential for Sludge Recovery. Int. J. Environ. Res. Public Health 2020, 17, 9312. [Google Scholar] [CrossRef] [PubMed]
- Hamawand, I.; Ghadouani, A.; Bundschuh, J.; Hamawand, S.; Al Juboori, R.A.; Chakrabarty, S.; Yusaf, T. A Critical Review on Processes and Energy Profile of the Australian Meat Processing Industry. Energies 2017, 10, 731. [Google Scholar] [CrossRef]
- Chew, K.W.; Chia, S.R.; Yen, H.-W.; Nomanbhay, S.; Ho, Y.-C.; Show, P.L. Transformation of Biomass Waste into Sustainable Organic Fertilizers. Sustainability 2019, 11, 2266. [Google Scholar] [CrossRef]
- Ko, W.-C.; Chang, C.-K.; Wang, H.-J.; Wang, S.-J.; Hsieh, C.-W. Process optimization of microencapsulation of curcumin in γ-polyglutamic acid using response surface methodology. Food Chem. 2015, 172, 497–503. [Google Scholar] [CrossRef] [PubMed]
- Tanimoto, H. Food Applications of Poly-Gamma-Glutamic Acid, in Amino-Acid Homopolymers Occurring in Nature; Hamano, Y., Ed.; Springer: Berlin/Heidelberg, Germany, 2010; pp. 155–168. [Google Scholar]
- Pandey, K.; Pandey, A.K.; Sirohi, R.; Pandey, S.; Srivastava, A.; Pandey, A. Chapter 10—Production and applications of polyglutamic acid. In Biomass, Biofuels, Biochemicals; Binod, P., Raveendran, S., Pandey, A., Eds.; Elsevier: Amsterdam, The Netherlands, 2021; pp. 253–282. [Google Scholar]
- Li, M.; He, Y.; Ma, X. Separation and quantitative detection of fermentation γ-polyglutamic acid. J. Future Foods 2022, 2, 34–40. [Google Scholar] [CrossRef]
- Siao, F.Y.; Lu, J.F.; Wang, J.S.; Inbaraj, B.S.; Chen, B.H. In Vitro Binding of Heavy Metals by an Edible Biopolymer Poly(γ-glutamic acid). J. Agric. Food Chem. 2009, 57, 777–784. [Google Scholar] [CrossRef]
- Ho, G.-H.; Ho, T.-I.; Hsieh, K.-H.; Su, Y.-C.; Lin, P.-Y.; Yang, J.; Yang, K.-H.; Yang, S.-C. γ-Polyglutamic Acid Produced by Bacillus Subtilis (Natto): Structural Characteristics, Chemical Properties and Biological Functionalities. J. Chin. Chem. Soc. 2006, 53, 1363–1384. [Google Scholar] [CrossRef]
- Ogunleye, A.; Bhat, A.; Irorere, V.U.; Hill, D.; Williams, C.; Radecka, I. Poly-γ-glutamic acid: Production, properties and applications. Microbiology 2015, 161, 1–17. [Google Scholar] [CrossRef]
- Liu, W.F.; Li, X.W.; Dong, W.B.; Bo, L.; Zhu, Y.M.; Zhang, L.H. Adsorption of Heavy Metals Using γ-PGA Produced by Bacillus pumilus. Mater. Sci. Forum 2018, 932, 124–128. [Google Scholar] [CrossRef]
- Mu, R.M.; Zhang, Z.; Li, X.C.; Liu, D.; Zhao, Y.L. Preparation of new biosorbents based on poly-γ-glutamic acid and its adsorption of heavy metal ions. IOP Conf. Ser. Earth Environ. Sci. 2018, 191, 012061. [Google Scholar] [CrossRef]
- Wang, L.-L.; Liu, Y.-M.; Liu, H.-M.; Shi, Q.-S.; Peng, R.-Q.; Xie, X.-B. The role of structural evolution in the complexation and flocculation of heavy metals by the microbial product poly-γ-glutamic acid. Chemosphere 2022, 308, 136441. [Google Scholar] [CrossRef]
- Hisada, M.; Kawase, Y. Recovery of rare-earth metal neodymium from aqueous solutions by poly-γ-glutamic acid and its sodium salt as biosorbents: Effects of solution pH on neodymium recovery mechanisms. J. Rare Earths 2018, 36, 528–536. [Google Scholar] [CrossRef]
- Sakamoto, S.; Kawase, Y. Adsorption capacities of poly-γ-glutamic acid and its sodium salt for cesium removal from radioactive wastewaters. J. Environ. Radioact. 2016, 165, 151–158. [Google Scholar] [CrossRef] [PubMed]
- Syeda, H.I.; Muthukumaran, S.; Baskaran, K. Polyglutamic acid and its derivatives as multi-functional biopolymers for the removal of heavy metals from water: A review. J. Water Process Eng. 2023, 56, 104367. [Google Scholar] [CrossRef]
- Inbaraj, B.S.; Wang, J.; Lu, J.; Siao, F.; Chen, B. Adsorption of toxic mercury(II) by an extracellular biopolymer poly(γ-glutamic acid). Bioresour. Technol. 2009, 100, 200–207. [Google Scholar] [CrossRef]
- Pearson, R.G. Hard and Soft Acids and Bases. J. Am. Chem. Soc. 1963, 85, 3533–3539. [Google Scholar] [CrossRef]
- Oguntimein, G.B. Biosorption of dye from textile wastewater effluent onto alkali treated dried sunflower seed hull and design of a batch adsorber. J. Environ. Chem. Eng. 2015, 3 Pt A, 2647–2661. [Google Scholar] [CrossRef]
- Takashi, T.; Kimura, J.; Takeuchi, Y.; Uyama, H.; Park, C.; Sung, M.-H. Chelation of Calcium Ions by Poly(γ-Glutamic Acid) from Bacillus subtilis(Chungkookjang). J. Microbiol. Biotechnol. 2010, 20, 1436–1439. [Google Scholar]
- Yokoi, H.; Arima, T.; Hirose, J.; Hayashi, S.; Takasaki, Y. Flocculation properties of poly(γ-glutamic acid) produced by Bacillus subtilis. J. Ferment. Bioeng. 1996, 82, 84–87. [Google Scholar] [CrossRef]
- Inbaraj, B.S.; Chien, J.; Ho, G.; Yang, J.; Chen, B. Equilibrium and kinetic studies on sorption of basic dyes by a natural biopolymer poly(γ-glutamic acid). Biochem. Eng. J. 2006, 31, 204–215. [Google Scholar] [CrossRef]
- Inbaraj, B.S.; Sulochana, N. Mercury adsorption on a carbon sorbent derived from fruit shell of Terminalia catappa. J. Hazard. Mater. 2006, 133, 283–290. [Google Scholar] [CrossRef] [PubMed]
- Boström, M.; Williams, D.R.M.; Ninham, B.W. Specific Ion Effects: Why DLVO Theory Fails for Biology and Colloid Systems. Phys. Rev. Lett. 2001, 87, 168103. [Google Scholar] [CrossRef] [PubMed]
- Wang, L.; Liu, Y.; Shu, X.; Lu, S.; Xie, X.; Shi, Q. Complexation and conformation of lead ion with poly-γ-glutamic acid in soluble state. PLoS ONE 2019, 14, e0218742. [Google Scholar] [CrossRef]
- García-Alvarez, M.; Alvarez, J.; Alla, A.; de Ilarduya, A.M.; Herranz, C.; Muñoz-Guerra, S. Comb-Like Ionic Complexes of Cationic Surfactants with Bacterial Poly(γ-glutamic acid) of Racemic Composition. Macromol. Biosci. 2005, 5, 30–38. [Google Scholar] [CrossRef] [PubMed]
- Bhattacharjee, A.; Hofer, T.S.; Pribil, A.B.; Randolf, B.R.; Lim, L.H.V.; Lichtenberger, A.F.; Rode, B.M. Revisiting the Hydration of Pb(II): A QMCF MD Approach. J. Phys. Chem. B 2009, 113, 13007–13013. [Google Scholar] [CrossRef]
- Sonune, A.; Ghate, R. Developments in wastewater treatment methods. Desalination 2004, 167, 55–63. [Google Scholar] [CrossRef]
- Peng, Y.-P.; Chang, Y.-C.; Chen, K.-F.; Wang, C.-H. A field pilot-scale study on heavy metal-contaminated soil washing by using an environmentally friendly agent—Poly-γ-glutamic acid (γ-PGA). Environ. Sci. Pollut. Res. 2020, 27, 34760–34769. [Google Scholar] [CrossRef]
- Siraj, K.; Kitte, S.A. Analysis of Copper, Zinc and Lead using Atomic Absorption Spectrophotometer in ground water of Jimma town of Southwestern Ethiopia. Int. J. Chem. Anal. Sci. 2013, 4, 201–204. [Google Scholar] [CrossRef]
- Blake, D.A.; Jones, R.M.; Blake, R.C., II; Pavlov, A.R.; Darwish, I.A.; Yu, H. Antibody-based sensors for heavy metal ions. Biosens. Bioelectron. 2001, 16, 799–809. [Google Scholar] [CrossRef] [PubMed]




Disclaimer/Publisher’s Note: The statements, opinions and data contained in all publications are solely those of the individual author(s) and contributor(s) and not of MDPI and/or the editor(s). MDPI and/or the editor(s) disclaim responsibility for any injury to people or property resulting from any ideas, methods, instructions or products referred to in the content. |
© 2024 by the authors. Licensee MDPI, Basel, Switzerland. This article is an open access article distributed under the terms and conditions of the Creative Commons Attribution (CC BY) license (https://creativecommons.org/licenses/by/4.0/).
Share and Cite
Tsai, S.-Y.; Chang, C.-K.; Wei, P.-Y.; Huang, S.-Y.; Gavahian, M.; Santoso, S.P.; Hsieh, C.-W. Effective Removal of Different Heavy Metals Ion (Cu, Pb, and Cd) from Aqueous Solutions by Various Molecular Weight and Salt Types of Poly-γ-Glutamic Acid. Molecules 2024, 29, 1054. https://doi.org/10.3390/molecules29051054
Tsai S-Y, Chang C-K, Wei P-Y, Huang S-Y, Gavahian M, Santoso SP, Hsieh C-W. Effective Removal of Different Heavy Metals Ion (Cu, Pb, and Cd) from Aqueous Solutions by Various Molecular Weight and Salt Types of Poly-γ-Glutamic Acid. Molecules. 2024; 29(5):1054. https://doi.org/10.3390/molecules29051054
Chicago/Turabian StyleTsai, Sheng-Yen, Chao-Kai Chang, Pei-Yu Wei, Shi-Ying Huang, Mohsen Gavahian, Shella Permatasari Santoso, and Chang-Wei Hsieh. 2024. "Effective Removal of Different Heavy Metals Ion (Cu, Pb, and Cd) from Aqueous Solutions by Various Molecular Weight and Salt Types of Poly-γ-Glutamic Acid" Molecules 29, no. 5: 1054. https://doi.org/10.3390/molecules29051054
APA StyleTsai, S.-Y., Chang, C.-K., Wei, P.-Y., Huang, S.-Y., Gavahian, M., Santoso, S. P., & Hsieh, C.-W. (2024). Effective Removal of Different Heavy Metals Ion (Cu, Pb, and Cd) from Aqueous Solutions by Various Molecular Weight and Salt Types of Poly-γ-Glutamic Acid. Molecules, 29(5), 1054. https://doi.org/10.3390/molecules29051054

