Catalytic Ozonation of Reactive Black 5 in Aqueous Solution Using Iron-Loaded Dead Leaf Ash for Wastewater Remediation
Abstract
1. Introduction
2. Results and Discussion
2.1. Catalyst Characterization
2.2. Parameters Effect Study
2.2.1. Effect of Ozone Dose in the Single Ozonation Process
2.2.2. Effect of pH
2.2.3. Effect of Fe-DLA Dose
2.2.4. Effect of RB-5 Initial Concentration
2.2.5. Process Comparison Study
2.2.6. COD Removal Study
2.2.7. TBA Effect
2.2.8. Catalyst Reusability Study
2.2.9. Proposed Mechanism
3. Materials and Methods
3.1. Material and Reagents
3.2. Preparation of Fe-DLA
3.3. Catalytic Ozonation Experiments
3.4. Analytical Methods
3.5. Catalyst Characterization Techniques
4. Conclusions
Supplementary Materials
Author Contributions
Funding
Institutional Review Board Statement
Informed Consent Statement
Data Availability Statement
Acknowledgments
Conflicts of Interest
References
- Frascaroli, G.; Reid, D.; Hunter, C.; Roberts, J.; Helwig, K.; Spencer, J.; Escudero, A. Pharmaceuticals in wastewater treatment plants: A systematic review on the substances of greatest concern responsible for the development of antimicrobial resistance. Appl. Sci. 2021, 11, 6670. [Google Scholar] [CrossRef]
- Gadipelly, C.; Pérez-González, A.; Yadav, G.D.; Ortiz, I.; Ibáñez, R.; Rathod, V.K.; Marathe, K.V. Pharmaceutical industry wastewater: Review of the technologies for water treatment and reuse. Ind. Eng. Chem. Res. 2014, 53, 11571–11592. [Google Scholar] [CrossRef]
- Al-Tohamy, R.; Ali, S.S.; Li, F.; Okasha, K.M.; Mahmoud, Y.A.-G.; Elsamahy, T.; Jiao, X.; Fu, Y.; Sun, J. A critical review on the treatment of dye-containing wastewater: Ecotoxicological and health concerns of textile dyes and possible remediation approaches for environmental safety. Ecotox. Environ. Safe. 2022, 231, 113160. [Google Scholar] [CrossRef]
- Teo, S.H.; Ng, C.H.; Islam, A.; Abdulkareem-Alsultan, G.; Joseph, C.G.; Janaun, J.; Taufiq-Yap, Y.H.; Khandaker, S.; Islam, G.J.; Znad, H.; et al. Sustainable toxic dyes removal with advanced materials for clean water production: A comprehensive review. J. Clean. Prod. 2022, 332, 30039. [Google Scholar] [CrossRef]
- Saleh, I.A.; Zouari, N.; Al-Ghouti, M.A. Removal of pesticides from water and wastewater: Chemical, physical and biological treatment approaches. Environ. Technol. Inno. 2020, 19, 101026. [Google Scholar] [CrossRef]
- Li, X.; Chen, W.; Ma, L.; Wang, H.; Fan, J. Industrial wastewater advanced treatment via catalytic ozonation with an Fe-based catalyst. Chemosphere 2018, 195, 336–343. [Google Scholar] [CrossRef]
- Rahmani, A.; Rahmani, H.; Rahmani, K. Degradation Reactive Black 5 dye from aqueous solution using ozonation with pumice and pumices modified by nanoscale zero valent iron(nZVI). Glob. Nest J. 2020, 22, 336–341. [Google Scholar] [CrossRef]
- Hu, E.; Shang, S.; Chiu, K.-L. Removal of reactive dyes in textile effluents by catalytic czonation pursuing on-site effluent Rrecycling. Molecules 2019, 24, 2755. [Google Scholar] [CrossRef]
- Pisitsak, P.; Tunsombatvisit, N.; Singanu, K. Utilization of waste protein from Antarctic krill oil production and natural dye to impart durable UV-properties to cotton textiles. J. Clean. Prod. 2018, 174, 1215–1223. [Google Scholar] [CrossRef]
- Tara, N.; Arslan, M.; Hussain, Z.; Iqbal, M.; Khan, Q.M.; Afzal, M. One-site performance of floating treatment wetland macrocosms augmented with dye-degrading bacteria for the remediation of textile industry wastewater. J. Clean. Prod. 2019, 217, 541–548. [Google Scholar] [CrossRef]
- Wantoputri, N.I.; Notodarmojo, S.; Helmy, Q. Reactive Black-5 removal by ozonation as post treatment. IOP Conf. Ser. Mater. Sci. Eng. 2019, 536, 012069. [Google Scholar] [CrossRef]
- Yaseen, D.A.; Scholz, M. Textile dye wastewater characteristics and constituents of synthetic effluents: A critical review. Int. J. Environ. Sci. Technol. 2019, 16, 1193–1226. [Google Scholar] [CrossRef]
- Lin, J.; Ye, W.; Xie, M.; Seo, D.H.; Luo, J.; Wan, Y.; der Bruggen, B.V. Environmental impacts and remediation of dye-containing wastewater. Nat. Rev. Earth. Environ. 2023, 4, 785–803. [Google Scholar] [CrossRef]
- Peramune, D.; Manatunga, D.C.; Dassanayake, R.S.; Premalal, V.; Liyanage, R.N.; Gunathilake, C.; Abidi, N. Recent advances in biopolymer-based advanced oxidation processes for dye removal applications: A review. Environ. Res. 2022, 215, 114242. [Google Scholar] [CrossRef]
- Ismail, G.A.; Sakai, H. Review on effect of different type of dyes on advanced oxidation processes (AOPs) for textile color removal. Chemosphere 2022, 291, 132906. [Google Scholar] [CrossRef]
- Rekhate, C.V.; Srivastava, J.K. Recent advances in ozone-based advanced oxidation processes for treatment of wastewater- A review. Chem. Eng. J. Adv. 2020, 3, 100031. [Google Scholar] [CrossRef]
- Bilińska, L.; Blus, K.; Foszpańczyk, M.; Gmurek, M.; Ledakowicz, S. Catalytic ozonation of textile wastewater as a polishing step after industrial scale electrocoagulation. J. Environ. Manage. 2020, 265, 11050. [Google Scholar] [CrossRef]
- Psaltou, S.; Zouboulis, A. Catalytic ozonation and membrane contactors—A review concerning fouling occurrence and pollutant removal. Water 2020, 12, 2964. [Google Scholar] [CrossRef]
- Hu, E.; Shang, S.; Tao, X.-M.; Jiang, S.; Chiu, K.-l. Regeneration and reuse of highly polluting textile dyeing effluents through catalytic ozonation with carbon aerogel catalyst. J. Clean. Prod. 2016, 137, 1055–1065. [Google Scholar] [CrossRef]
- Asgari, G.; Faramal, J.; Nasab, H.Z.; Ehsani, H. Catalytic ozonation of indutrial textile wastewater using modified C-doped MgO eggshell membrane powder. Adv. Powder Technol. 2019, 30, 1297–1311. [Google Scholar] [CrossRef]
- Bagheri, M.; Roshanaei, G.; Asghari, G.; Chavashi, S.; Ghasemi, M. Application of carbon-doped nano-magnesium oxide for catalytic ozonation of real textile wastewater: Fractional design and application. Desalin. Water Treat. 2020, 175, 79–89. [Google Scholar] [CrossRef]
- Wang, J.; Chen, H. Catalytic ozonation for water and wastewater treatment: Recent advances and perspectives. Sci. Total Environ. 2019, 704, 135249. [Google Scholar] [CrossRef]
- An, W.; Tian, L.; Hu, J.; Liu, L.; Cui, W.; Liang, Y. Efficient degradation of organic pollutants by catalytic ozonation and photocatalysis synergy system using double functional MgO/g-C3N4 catalyst. Appl. Surf. Sci. 2020, 534, 147518. [Google Scholar] [CrossRef]
- Rame, R.; Purwanto, P.; Sudarno, S. Potential of catalytic ozonation in treatment of industrial textile wastewater in Indonesia. Jurnel Ris. Teknol. Pencegah. Pencemaran Industri. 2020, 11, 1–11. [Google Scholar] [CrossRef]
- Ikhlaq, A.; Shabbir, S.; Javed, F.; Kazmi, M.; Yasir, A.; Qazi, U.Y.; Zafar, M.; Qi, F. Catalytic ozonation combined electroflocculation for the removal of Reactive Black 5 in aqueous solution using CuMn2O4/RGO coated zeolite. Desalin. Water Treat. 2022, 259, 221–229. [Google Scholar] [CrossRef]
- Morali, E.K.; Uzal, N.; Yetis, U. Ozonation pre and post-treatment of denim textile mill effluent: Effect of cleaner production measures. J. Clean. Prod. 2016, 137, 1–9. [Google Scholar] [CrossRef]
- Wang, J.; Bai, Z. Fe based catalyst for heterogenous catalytic ozonation of emerging contaminants in water and wastewater. Chem. Eng. J. 2017, 312, 79–98. [Google Scholar] [CrossRef]
- Khan, S.; Nisar, A.; Wu, B.; Zhu, Q.-L.; Wang, Y.-W.; Hu, G.-Q.; He, M. Bioenergy production in Pakistan: Potential, progress, and prospect. Sci. Total Environ. 2022, 814, 152872. [Google Scholar] [CrossRef]
- Sharma, S.; Chokshi, N.P.; Ruparelia, J.P. Comparative studies for the degradation of Reactive Black 5 dye employing ozone-based AOPs. Nanotechnol. Environ. Eng. 2022, 7, 745–752. [Google Scholar] [CrossRef]
- Chokshi, N.P.; Ruparelia, J.P. Catalytic ozonation of Reactive Black 5 over silver–cobalt composite oxide catalyst. J. Inst. Eng. India Ser. A 2020, 101, 433–443. [Google Scholar] [CrossRef]
- Ikhlaq, A.; Zafar, M.; Javed Yasar, A.; Akram, A.; Shabbir, S.; Qi, F. Catalytic ozonation for the removal of Reactive Black 5 (RB-5) dye using zeolites modified with CuMn2O4/gC3N4 in a synergic electro flocculation-catalytic ozonation process. Water Sci Technol. 2021, 84, 1943–1953. [Google Scholar] [CrossRef]
- Song, S.; He, Z.; Qiu, J.; Xu, L.; Chen, J. Ozone assisted electrocoagulation for decolorization of C.I. Reactive Black 5 in aqueous solution: An investigation of the effect of operational parameters. Sep. Purif. Technol. 2007, 55, 238–245. [Google Scholar] [CrossRef]
- Yang, J.; Fu, L.; Wu, F.; Chen, X.; Wu, C.; Wang, Q. Recent Developments in Activated Carbon Catalysts Based on Pore Size Regulation in the Application of Catalytic Ozonation. Catalysts 2022, 12, 1085. [Google Scholar] [CrossRef]
- Inchaurrondo, N.S.; Font, J. Clay, Zeolite and Oxide Minerals: Natural Catalytic Materials for the Ozonation of Organic Pollutants. Molecules 2022, 27, 2151. [Google Scholar] [CrossRef]
- Lv, B.-H.; Liu, X.-Y.; Zhou, Z.-M.; Jing, G.-H. Catalytic Ozonation of Reactive Red 195 in Aqueous Solution over a Cobalt/Aluminum Oxide-Ceria Catalyst. Processes 2023, 11, 2141. [Google Scholar] [CrossRef]
- Beltrán, F.J.; Álvarez, P.M.; Gimeno, O. Graphene-Based Catalysts for Ozone Processes to Decontaminate Water. Molecules 2019, 24, 3438. [Google Scholar] [CrossRef]
- Javed, F.; Feroze, N.; Ramzan, N.; Ikhlaq, A.; Kazmi, M.; Munir, H.M.S. Treatment of Reactive Red 241 dye by electro coagulation/biosorption coupled process in a new hybrid reactor. Desalin. Water Treat. 2019, 166, 83–91. [Google Scholar] [CrossRef]
- Kalembkiewicz, J.; Galas, D.; Sitarz-Palczak, E. The Physicochemical Properties and Composition of Biomass Ash and Evaluating Directions of its Applications. Polish J. Environ. Studies 2018, 27, 2593–2603. [Google Scholar] [CrossRef]
- Nandiyanto, A.B.D.; Rahman, T.; Fadhlulloh, M.A.; Abdullah, A.G.; Hamidah, I.; Mulyanti, B. Synthesis of silica particles from rice straw waste using a simple extraction method. IOP Conf. Ser. Mater. Sci. Eng. 2016, 128, 012040. [Google Scholar] [CrossRef]
- Yusuf, M.O. Bond Characterization in Cementitious Material Binders Using Fourier-Transform Infrared Spectroscopy. Appl. Sci. 2023, 13, 3353. [Google Scholar] [CrossRef]
- Saikia, T.C.; Iraqui, S.; Khan, A.; Rashid, M.H. Sapindus mukorossi seed shell extract mediated green synthesis of CuO nanostructures: An efficient catalyst for C–N bond-forming reactions. Mater. Adv. 2022, 3, 1115. [Google Scholar] [CrossRef]
- Trivedi, N.S.; Mandavgane, S.A.; Mehetre, S.; Kulkarni, B.D. Characterization and valorization of biomass ashes. Environ. Sci. Pollut. Res. 2016, 23, 20243–20256. [Google Scholar] [CrossRef]
- Javed, F.; Tariq, A.; Ikhlaq, A.; Rizvi, O.S.; Ikhlaq, U.; Masood, Z.; Qazi, U.Y.; Qi, F. Application of Laboratory-Grade Recycled Borosilicate Glass Coated with Iron and Cobalt for the Removal of Methylene Blue by Catalytic Ozonation Process. Arab. J. Sci. Eng. 2023, 48, 8753–8768. [Google Scholar] [CrossRef]
- Qi, L.; Tang, X.; Wang, Z.; Peng, X. Pore characterization of different types of coal from coal and gas outburst disaster sites using low temperature nitrogen adsorption approach. Inter. J. Mining Sci. Technol. 2017, 27, 371–377. [Google Scholar] [CrossRef]
- ALOthman, Z.A. A Review: Fundamental Aspects of Silicate Mesoporous Materials. Materials 2012, 5, 2874–2902. [Google Scholar] [CrossRef]
- Wang, J.; Yuan, S.; Dai, X.; Dong, B. Application, mechanism and prospects of Fe-based/Fe-biochar catalysts in heterogenous ozonation process: A review. Chemosphere 2023, 319, 138018. [Google Scholar] [CrossRef]
- Li, L.; Fu, R.; Zou, J.; Wang, S.; Ding, J.; Han, J.; Zhao, M. Research Progress of Iron-Based Catalysts in Ozonation Wastewater Treatment. ACS EST Water 2023, 3, 908–922. [Google Scholar] [CrossRef]
- Ma, X.; He, J.; Liu, Y.; Bai, X.; Leng, J.; Zhao, Y.; Chen, D.; Wang, J. Plant Photocatalysts: Photoinduced Oxidation and Reduction Abilities of Plant Leaf Ashes under Solar Light. Nanomaterials 2023, 13, 2260. [Google Scholar] [CrossRef]
- Villar Cociña, E.; Savastano, H.; Rodier, L.; Lefran, M.; Frías, M. Pozzolanic Characterization of Cuban Bamboo Leaf Ash: Calcining Temperature and Kinetic Parameters. Waste Biomass Valor. 2018, 9, 691–699. [Google Scholar] [CrossRef]
- Masood, Z.; Ikhlaq, A.; Farooq, U.; Qi, F.; Javed, F.; Aziz, H.A. Removal of antibiotics from veterinary pharmaceutical wastewater using combined electroflocculation and Fe-Zn zeolite 5A based catalytic ozonation process. J. Water Process. Eng. 2022, 49, 103039. [Google Scholar] [CrossRef]
- Ikhlaq, A.; Aslam, T.; Zafar, A.M.; Javed, F.; Munir, H.M.S. Combined ozonation and adsorption system for the removal of heavy metals from municipal wastewater: Effect of COD removal. Desalin. Water Treat. 2019, 159, 304–309. [Google Scholar] [CrossRef]
- Chokshi, N.P.; Bhutia, H.; Chotalia, A.; Kadiwala, A.; Ruperelia, J.P. Heterogeneous catalytic ozonation of Reactive Black 5 with cobalt oxide. Int. J. Chemtech. Res. 2017, 10, 402–409. [Google Scholar]
- Duan, Y.-T.; Yao, Y.; Ameta, R.K. Removal and recovering of anionic and cationic dyes using Neem leaf ash prepared at 250; 500 and 750 °C: Analyzed by adsorption isotherm and physicochemical parameters. J. Mol. Liq. 2023, 370, 121012. [Google Scholar] [CrossRef]
- Alam, M.Z.; Bari, M.N.; Kawsari, S. Statistical optimization of Methylene Blue dye removal from a synthetic textile wastewater using indigenous adsorbents. Environ. Sustain. Indic. 2022, 14, 100176. [Google Scholar] [CrossRef]
- Babar, M.; Munir, H.M.S.; Nawaz, A.; Ramzan, N.; Azhar, U.; Sagir, M.; Tahir, M.S.; Ikhlaq, A.; Mubashir, M.; Khoo, K.S.; et al. Comparative study of ozonation and ozonation catalyzed by Fe-loaded biochar as catalyst to remove methylene blue from aqueous solution. Chemosphere 2022, 307, 135738. [Google Scholar] [CrossRef]
- Asgari, G.; Akbari, S.; Mohammadi, A.M.S.; Poormohammadi, A.; Ramavandi, D. Preparation and catalytic activity of bone-char ash decorated with MgO-FeNO3 for ozonation of Reactive Black 5 dye from aqueous solution: Taguchi optimization data. Data Brief 2017, 13, 132–136. [Google Scholar] [CrossRef]
- Munir, H.M.S.; Feroze, N.; Ikhlaq, A.; Kazmi, M.; Javed, F.; Mukhtar, H. Removal of colour and COD from paper and pulp industry wastewater by ozone and combined ozone/UV process. Desalin. Water Treat. 2019, 137, 154–161. [Google Scholar] [CrossRef]
- Kruanak, K.; Jarusutthirak, C. Degradation of 2;4;6-trichlophenol in synthetic wastewater by catalytic ozonation using alumina supported nickel oxides. J. Environ. Chem. Eng. 2019, 7, 102825. [Google Scholar] [CrossRef]
- Javed, F.; Feroze, N.; Ikhlaq, A.; Kazmi, M.; Ahmad, S.W.; Munir, H.M.S. Biosorption potential of Sapindus mukorossi dead leaves as a novel biosorbent for the treatment of Reactive Red 241 in aqueous solution. Desalin. Water Treat. 2019, 137, 345–357. [Google Scholar] [CrossRef]















| Element | Weight (%) | |
|---|---|---|
| DLA | Fe-DLA | |
| C | 8.39 | 5.79 |
| O | 30.68 | 29.83 |
| Si | 1.10 | 1.00 |
| P | 35.90 | 27.7 |
| Ca | 21.71 | 18.37 |
| Fe | 1.10 | 17.01 |
| Cu | 1.12 | 0.30 |
| Material | Surface Area | Pore Size |
|---|---|---|
| DLA | 14.20 m2/g | 1.75 nm |
| Fe-DLA | 11.30 m2/g | 1.81 nm |
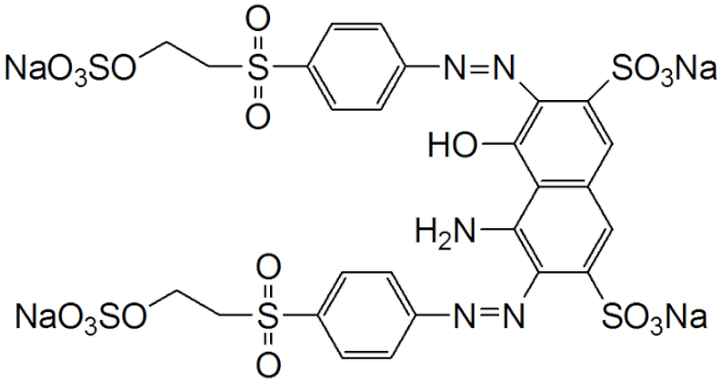
| IUPAC name | 4-amino-5-hydroxy-3,6-bis((4-((2-(sulfooxy) ethyl)sulfonyl) phenyl)azo)-2,7-naphthalenedisulfonic acid tetrasodium salt |
| Synonyms | C.I. Reactive Black 5, Reactive Black 5, Reactive Black B, Remazol Black 5, Remazol Black B, Drimaren Black R/K-3B |
Chemical structure![]() | ![]() |
| Molecular formula | C26H21N5Na4O19S6 |
| Molecular weight | 991.82 g/mol |
| Dye content | ≥50% |
| Color index (C.I.) name | C.I. Reactive Black 5 |
| Color index (C.I.) number | C.I. 20505 |
| Chemical class | Azo |
| Application class | Cotton |
| CAS register number | 17095-24-8 |
| λmax | 596 nm |
Disclaimer/Publisher’s Note: The statements, opinions and data contained in all publications are solely those of the individual author(s) and contributor(s) and not of MDPI and/or the editor(s). MDPI and/or the editor(s) disclaim responsibility for any injury to people or property resulting from any ideas, methods, instructions or products referred to in the content. |
© 2024 by the authors. Licensee MDPI, Basel, Switzerland. This article is an open access article distributed under the terms and conditions of the Creative Commons Attribution (CC BY) license (https://creativecommons.org/licenses/by/4.0/).
Share and Cite
Hussain, L.; Javed, F.; Tahir, M.W.; Munir, H.M.S.; Ikhlaq, A.; Wołowicz, A. Catalytic Ozonation of Reactive Black 5 in Aqueous Solution Using Iron-Loaded Dead Leaf Ash for Wastewater Remediation. Molecules 2024, 29, 836. https://doi.org/10.3390/molecules29040836
Hussain L, Javed F, Tahir MW, Munir HMS, Ikhlaq A, Wołowicz A. Catalytic Ozonation of Reactive Black 5 in Aqueous Solution Using Iron-Loaded Dead Leaf Ash for Wastewater Remediation. Molecules. 2024; 29(4):836. https://doi.org/10.3390/molecules29040836
Chicago/Turabian StyleHussain, Latif, Farhan Javed, Muhammad Wasim Tahir, Hafiz Muhammad Shahzad Munir, Amir Ikhlaq, and Anna Wołowicz. 2024. "Catalytic Ozonation of Reactive Black 5 in Aqueous Solution Using Iron-Loaded Dead Leaf Ash for Wastewater Remediation" Molecules 29, no. 4: 836. https://doi.org/10.3390/molecules29040836
APA StyleHussain, L., Javed, F., Tahir, M. W., Munir, H. M. S., Ikhlaq, A., & Wołowicz, A. (2024). Catalytic Ozonation of Reactive Black 5 in Aqueous Solution Using Iron-Loaded Dead Leaf Ash for Wastewater Remediation. Molecules, 29(4), 836. https://doi.org/10.3390/molecules29040836



