Effect of the Type of Herbal Preparations (Powdered Plant Material vs. Dry Ethanolic Extracts) on the Bioaccessibility of Bearberry (Arctostaphylos uva-ursi (L.) Spreng.) Phytochemicals in Simulated Digestion Conditions
Abstract
1. Introduction
2. Results
2.1. Phytochemical Characterization of Herbal Preparations
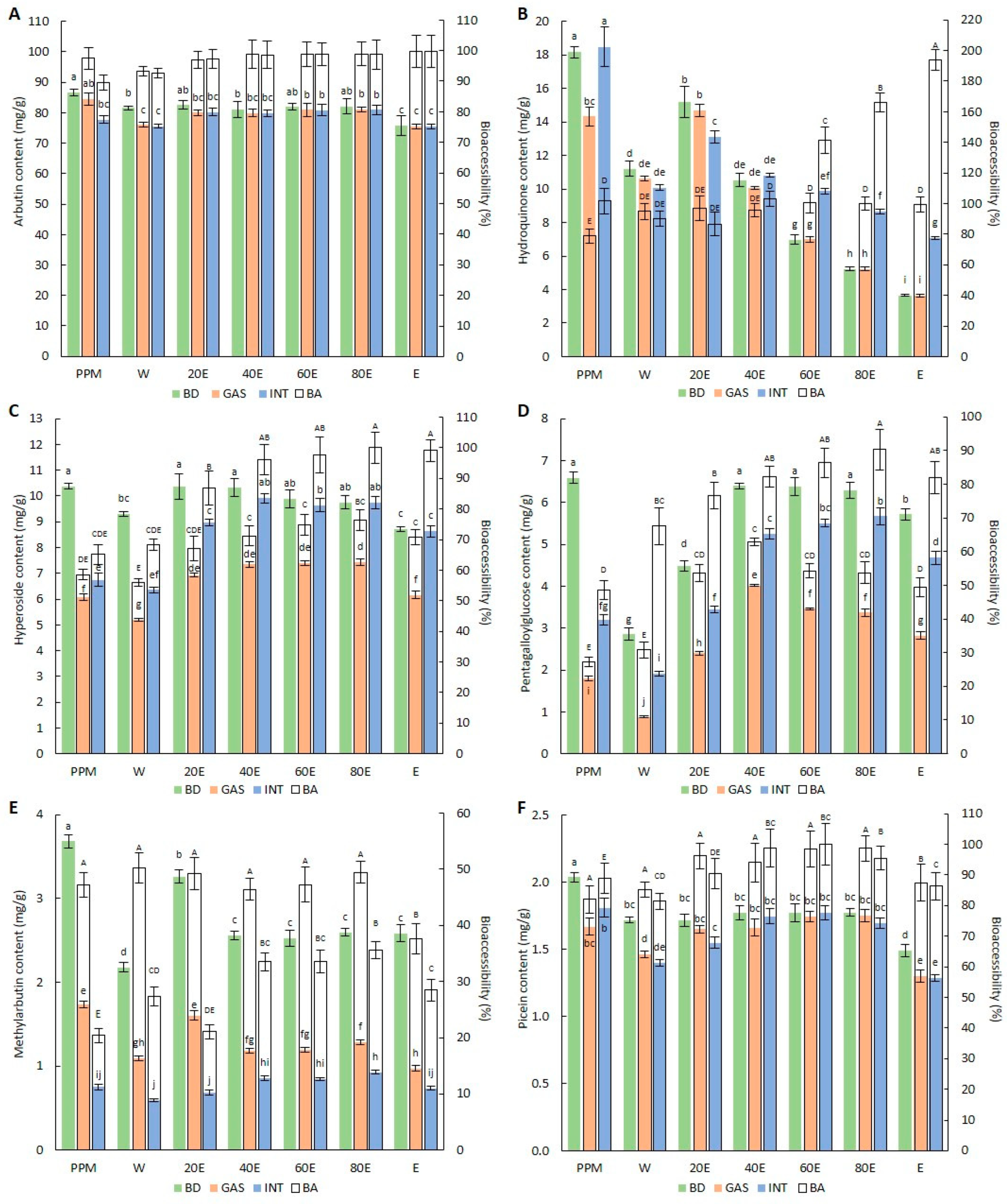
2.2. In Vitro Bioaccessibility Determination
3. Discussion
4. Materials and Methods
4.1. Reagents and Chemicals
4.2. Plant Material
4.3. Extraction Procedure and Dry Extract Preparation
4.4. Experiment Design and Artificial Digestion Procedure
4.5. Phytochemical Analysis
4.5.1. Individual Compounds—HPLC Analysis
4.5.2. Total Phenolic Content and Antioxidant Activity
4.6. Expression of Results and Calculations
4.6.1. Phytochemical Stability During Extract Drying
4.6.2. Bioaccessibility Percentage
4.7. Statistical Analysis
5. Conclusions
Supplementary Materials
Author Contributions
Funding
Institutional Review Board Statement
Informed Consent Statement
Data Availability Statement
Conflicts of Interest
References
- Ștefănescu, B.E.; Szabo, K.; Mocan, A.; Crişan, G. Phenolic Compounds from Five Ericaceae Species Leaves and Their Related Bioavailability and Health Benefits. Molecules 2019, 24, 2046. [Google Scholar] [CrossRef] [PubMed]
- De Arriba, S.G.; Naser, B.; Nolte, K.U. Risk assessment of free hydroquinone derived from Arctostaphylos Uva-ursi folium herbal preparations. Int. J. Toxicol. 2013, 32, 442–453. [Google Scholar] [CrossRef] [PubMed]
- Stefkov, G.; Cvetkovikj Karanfilova, I.; Labroska, V.; Krsteska, O.; Qazimi, B.; Karapandzova, M.; Gjoni, Z.; Bardhi, N.; Kulevanova, S. Variability of the arbutin content in wild growing populations of Arctostaphylos uva-ursi (L.) Spreng from Korab Mountain, Western Balkan. Maced. J. Chem. Chem. Eng. 2021, 40, 61. [Google Scholar] [CrossRef]
- Živković, J.; Vladić, J.; Naffati, A.; Nastić, N.; Šavikin, K.; Tomić, M.; Vidović, S. Comparative Chemical Profiling of Underexploited Arctostaphylos uva-ursi L. Herbal Dust Extracts Obtained by Conventional, Ultrasound-Assisted and Subcritical Water Extractions. Waste Biomass Valorization 2022, 13, 4147–4155. [Google Scholar] [CrossRef]
- Shamilov, A.A.; Bubenchikova, V.N.; Chernikov, M.V.; Pozdnyakov, D.I.; Garsiya, E.R.; Larsky, M.V. Bearberry (Arctostaphylos uva-ursi (L.) spreng.): Chemical content and pharmacological activity. J. Excip. Food Chem. 2021, 12, 49–66. [Google Scholar]
- Braga, V.C.d.C.; Pianetti, G.A.; César, I.C. Comparative stability of arbutin in Arctostaphylos uva-ursi by a new comprehensive stability-indicating HPLC method. Phytochem. Anal. 2020, 31, 884–891. [Google Scholar] [CrossRef] [PubMed]
- Nahar, L.; Al-Groshi, A.; Kumar, A.; Sarker, S.D. Arbutin: Occurrence in Plants, and Its Potential as an Anticancer Agent. Molecules 2022, 27, 8786. [Google Scholar] [CrossRef] [PubMed]
- Zhou, H.; Zhao, J.; Li, A.; Reetz, M.T. Chemical and Biocatalytic Routes to Arbutin. Molecules 2019, 24, 3303. [Google Scholar] [CrossRef] [PubMed]
- Azman, N.A.M.; Gallego, M.G.; Segovia, F.; Abdullah, S.; Shaarani, S.M.; Almajano Pablos, M.P. Study of the properties of bearberry leaf extract as a natural antioxidant in model foods. Antioxidants 2016, 5, 11. [Google Scholar] [CrossRef] [PubMed]
- Amarowicz, R.; Pegg, R.B.; Rahimi-Moghaddam, P.; Barl, B.; Weil, J.A. Free-radical scavenging capacity and antioxidant activity of selected plant species from the Canadian prairies. Food Chem. 2004, 84, 551–562. [Google Scholar] [CrossRef]
- Bhalla, M.; Mittal, R.; Kumar, M.; Kushwah, A.S. Pharmacological Aspects of a Bioactive Compound Arbutin: A Comprehensive Review. Biointerface Res. Appl. Chem. 2022, 13, 119. [Google Scholar] [CrossRef]
- Durak, B.Y.; Sel, S.; Bakırdere, S. Accurate and Sensitive Reverse Phase High-Performance Liquid Chromatographic Determination of Arbutin in Blueberries and Characterization of Its Stability in Simulated Gastric Fluid and under Ultraviolet Irradiation. Anal. Lett. 2020, 53, 1504–1511. [Google Scholar] [CrossRef]
- Repert, S.; Matthes, S.; Rozhon, W. Quantification of Arbutin in Cosmetics, Drugs and Food Supplements by Hydrophilic-Interaction Chromatography. Molecules 2022, 27, 5673. [Google Scholar] [CrossRef]
- Chen, X.; Li, H.; Zhang, B.; Deng, Z. The synergistic and antagonistic antioxidant interactions of dietary phytochemical combinations. Crit. Rev. Food Sci. Nutr. 2022, 62, 5658–5677. [Google Scholar] [CrossRef] [PubMed]
- Saeedi, M.; Khezri, K.; Seyed Zakaryaei, A.; Mohammadamini, H. A comprehensive review of the therapeutic potential of α-arbutin. Phyther. Res. 2021, 35, 4136–4154. [Google Scholar] [CrossRef] [PubMed]
- Veras, K.S.; Fachel, F.N.S.; Teixeira, H.F.; Koester, L.S. Technological strategies applied for rosmarinic acid delivery through different routes—A review. J. Drug Deliv. Sci. Technol. 2022, 68, 103054. [Google Scholar] [CrossRef]
- Sęczyk, Ł.; Jariene, E.; Sugier, D.; Kołodziej, B. Effects of the dose of administration, co-antioxidants, food matrix, and digestion-related factors on the in vitro bioaccessibility of rosmarinic acid—A model study. Food Chem. 2024, 449, 139201. [Google Scholar] [CrossRef]
- Wang, H.; Chen, Y.; Wang, L.; Liu, Q.; Yang, S.; Wang, C. Advancing herbal medicine: Enhancing product quality and safety through robust quality control practices. Front. Pharmacol. 2023, 14, 1265178. [Google Scholar] [CrossRef] [PubMed]
- Sęczyk, Ł.; Sugier, D.; Dervişoğlu, G.; Özdemir, F.A.; Kołodziej, B. Phytochemical profile, in vitro bioaccessibility, and anticancer potential of golden root (Rhodiola rosea L.) extracts. Food Chem. 2023, 404, 134779. [Google Scholar] [CrossRef] [PubMed]
- Xiao, J. Recent advances on the stability of dietary polyphenols. eFood 2022, 3, 21. [Google Scholar] [CrossRef]
- Olennikov, D.N.; Chekhirova, G.V. 6″-Galloylpicein and other phenolic compounds from Arctostaphylos uva-ursi. Chem. Nat. Compd. 2013, 49, 1–7. [Google Scholar] [CrossRef]
- Panusa, A.; Petrucci, R.; Marrosu, G.; Multari, G.; Gallo, F.R. UHPLC-PDA-ESI-TOF/MS metabolic profiling of Arctostaphylos pungens and Arctostaphylos uva-ursi. A comparative study of phenolic compounds from leaf methanolic extracts. Phytochemistry 2015, 115, 79–88. [Google Scholar] [CrossRef] [PubMed]
- Rychlińska, I.; Nowak, S. Quantitative determination of arbutin and hydroquinone in different plant materials by HPLC. Not. Bot. Horti Agrobot. Cluj-Napoca 2012, 40, 109–113. [Google Scholar] [CrossRef]
- Sugier, P.; Sęczyk, Ł.; Sugier, D.; Krawczyk, R.; Wójcik, M.; Czarnecka, J.; Okoń, S.; Plak, A. Chemical Characteristics and Antioxidant Activity of Arctostaphylos uva-ursi L. Spreng. at the Southern Border of the Geographical Range of the Species in Europe. Molecules 2021, 26, 7692. [Google Scholar] [CrossRef] [PubMed]
- Asensio, E.; Vitales, D.; Pérez, I.; Peralba, L.; Viruel, J.; Montaner, C.; Vallès, J.; Garnatje, T.; Sales, E. Phenolic Compounds Content and Genetic Diversity at Population Level across the Natural Distribution Range of Bearberry (Arctostaphylos uva-ursi, Ericaceae) in the Iberian Peninsula. Plants 2020, 9, 1250. [Google Scholar] [CrossRef]
- Sugier, P.; Sęczyk, Ł.; Sugier, D. Variation in Population and Solvents as Factors Determining the Chemical Composition and Antioxidant Potential of Arctostaphylos uva-ursi (L.) Spreng. Leaf Extracts. Molecules 2022, 27, 2247. [Google Scholar] [CrossRef]
- Shamilov, A.A.; Olennikov, D.N.; Pozdnyakov, D.I.; Bubenchikova, V.N.; Garsiya, E.R. Investigation of phenolic compounds at the leaves and shoots Arctostaphylos spp. and their antioxidant and antityrosinase activities. Nat. Prod. Res. 2022, 36, 6312–6317. [Google Scholar] [CrossRef]
- Dell’Annunziata, F.; Cometa, S.; Della Marca, R.; Busto, F.; Folliero, V.; Franci, G.; Galdiero, M.; De Giglio, E.; De Filippis, A. In Vitro Antibacterial and Anti-Inflammatory Activity of Arctostaphylos uva-ursi Leaf Extract against Cutibacterium acnes. Pharmaceutics 2022, 14, 1952. [Google Scholar] [CrossRef]
- Galanakis, C.M.; Goulas, V.; Tsakona, S.; Manganaris, G.A.; Gekas, V. A knowledge base for the recovery of natural phenols with different solvents. Int. J. Food Prop. 2013, 16, 382–396. [Google Scholar] [CrossRef]
- Sridhar, A.; Ponnuchamy, M.; Kumar, P.S.; Kapoor, A.; Vo, D.V.N.; Prabhakar, S. Techniques and modeling of polyphenol extraction from food: A review. Environ. Chem. Lett. 2021, 19, 3409–3443. [Google Scholar] [CrossRef] [PubMed]
- Volf, I.; Ignat, I.; Neamtu, M.; Popa, V. Thermal stability, antioxidant activity, and photo-oxidation of natural polyphenols. Chem. Pap. 2014, 68, 121–129. [Google Scholar] [CrossRef]
- Cortés-Rojas, D.F.; Oliveira, W.P. Physicochemical Properties of Phytopharmaceutical Preparations as Affected by Drying Methods and Carriers. Dry. Technol. 2012, 30, 921–934. [Google Scholar] [CrossRef]
- Debelo, H.; Li, M.; Ferruzzi, M.G. Processing influences on food polyphenol profiles and biological activity. Curr. Opin. Food Sci. 2020, 32, 90–102. [Google Scholar] [CrossRef]
- Charlton, N.C.; Mastyugin, M.; Török, B.; Török, M. Structural Features of Small Molecule Antioxidants and Strategic Modifications to Improve Potential Bioactivity. Molecules 2023, 28, 1057. [Google Scholar] [CrossRef] [PubMed]
- Sęczyk, Ł.; Kołodziej, B. Bioaccessibility of Rosmarinic Acid and Basil (Ocimum basilicum L.) Co-Compounds in a Simulated Digestion Model—The Influence of the Endogenous Plant Matrix, Dose of Administration and Physicochemical and Biochemical Digestion Environment. Molecules 2024, 29, 901. [Google Scholar] [CrossRef] [PubMed]
- Shahidi, F.; Peng, H. Bioaccessibility and bioavailability of phenolic compounds. J. Food Bioact. 2018, 4, 11–68. [Google Scholar] [CrossRef]
- Veras, K.S.; Fachel, F.N.S.; de Araújo, B.V.; Teixeira, H.F.; Koester, L.S. Oral Pharmacokinetics of Hydroxycinnamic Acids: An Updated Review. Pharmaceutics 2022, 14, 2663. [Google Scholar] [CrossRef]
- Cianciosi, D.; Forbes-Hernández, T.Y.; Regolo, L.; Alvarez-Suarez, J.M.; Navarro-Hortal, M.D.; Xiao, J.; Quiles, J.L.; Battino, M.; Giampieri, F. The reciprocal interaction between polyphenols and other dietary compounds: Impact on bioavailability, antioxidant capacity and other physico-chemical and nutritional parameters. Food Chem. 2022, 375, 131904. [Google Scholar] [CrossRef]
- Dima, C.; Assadpour, E.; Dima, S.; Jafari, S.M. Bioavailability of nutraceuticals: Role of the food matrix, processing conditions, the gastrointestinal tract, and nanodelivery systems. Compr. Rev. Food Sci. Food Saf. 2020, 19, 954–994. [Google Scholar] [CrossRef]
- Rocchetti, G.; Gregorio, R.P.; Lorenzo, J.M.; Barba, F.J.; Oliveira, P.G.; Prieto, M.A.; Simal-Gandara, J.; Mosele, J.I.; Motilva, M.J.; Tomas, M.; et al. Functional implications of bound phenolic compounds and phenolics–food interaction: A review. Compr. Rev. Food Sci. Food Saf. 2022, 21, 811–842. [Google Scholar] [CrossRef] [PubMed]
- Sęczyk, Ł.; Gawlik-Dziki, U.; Świeca, M. Influence of Phenolic-Food Matrix Interactions on In Vitro Bioaccessibility of Selected Phenolic Compounds and Nutrients Digestibility in Fortified White Bean Paste. Antioxidants 2021, 10, 1825. [Google Scholar] [CrossRef] [PubMed]
- Alminger, M.; Aura, A.-M.; Bohn, T.; Dufour, C.; El, S.N.; Gomes, A.; Karakaya, S.; Martínez-Cuesta, M.C.; McDougall, G.J.; Requena, T.; et al. In Vitro Models for Studying Secondary Plant Metabolite Digestion and Bioaccessibility. Compr. Rev. Food Sci. Food Saf. 2014, 13, 413–436. [Google Scholar] [CrossRef] [PubMed]
- Domínguez-Avila, J.A.; Wall-Medrano, A.; Velderrain-Rodríguez, G.R.; Chen, C.-Y.O.; Salazar-López, N.J.; Robles-Sánchez, M.; González-Aguilar, G.A. Gastrointestinal interactions, absorption, splanchnic metabolism and pharmacokinetics of orally ingested phenolic compounds. Food Funct. 2017, 8, 15–38. [Google Scholar] [CrossRef] [PubMed]
- Wojtunik-Kulesza, K.; Oniszczuk, A.; Oniszczuk, T.; Combrzyński, M.; Nowakowska, D.; Matwijczuk, A. Influence of In Vitro Digestion on Composition, Bioaccessibility and Antioxidant Activity of Food Polyphenols—A Non-Systematic Review. Nutrients 2020, 12, 1401. [Google Scholar] [CrossRef] [PubMed]
- Jakobek, L.; Matić, P. Non-covalent dietary fiber—Polyphenol interactions and their influence on polyphenol bioaccessibility. Trends Food Sci. Technol. 2019, 83, 235–247. [Google Scholar] [CrossRef]
- Wu, Z.; Teng, J.; Huang, L.; Xia, N.; Wei, B. Stability, antioxidant activity and in vitro bile acid-binding of green, black and dark tea polyphenols during simulated in vitro gastrointestinal digestion. RSC Adv. 2015, 5, 92089–92095. [Google Scholar] [CrossRef]
- Song, X.-C.; Canellas, E.; Dreolin, N.; Nerin, C.; Goshawk, J. Discovery and Characterization of Phenolic Compounds in Bearberry (Arctostaphylos uva-ursi) Leaves Using Liquid Chromatography–Ion Mobility–High-Resolution Mass Spectrometry. J. Agric. Food Chem. 2021, 69, 10856–10868. [Google Scholar] [CrossRef] [PubMed]
- Ozdal, T.; Capanoglu, E.; Altay, F. A review on protein–phenolic interactions and associated changes. Food Res. Int. 2013, 51, 954–970. [Google Scholar] [CrossRef]
- Martinez-Gonzalez, A.I.; Díaz-Sánchez, Á.G.; de la Rosa, L.A.; Vargas-Requena, C.L.; Bustos-Jaimes, I.; Alvarez-Parrilla, A.E. Polyphenolic Compounds and Digestive Enzymes: In Vitro Non-Covalent Interactions. Molecules 2017, 22, 669. [Google Scholar] [CrossRef] [PubMed]
- Minekus, M.; Alminger, M.; Alvito, P.; Ballance, S.; Bohn, T.; Bourlieu, C.; Carrière, F.; Boutrou, R.; Corredig, M.; Dupont, D.; et al. A standardised static in vitro digestion method suitable for food-an international consensus. Food Funct. 2014, 5, 1113–1124. [Google Scholar] [CrossRef]
- Singleton, V.L.; Rossi, J.A., Jr. Colorimetry of Total Phenolics with Phosphomolybdic-Phosphotungstic Acid Reagents. Am. J. Enol. Vitic. 1965, 16, 144–158. [Google Scholar] [CrossRef]
- Re, R.; Pellegrini, N.; Proteggente, A.; Pannala, A.; Yang, M.; Rice-Evans, C. Antioxidant activity applying an improved ABTS radical cation decolorization assay. Free Radic. Biol. Med. 1999, 26, 1231–1237. [Google Scholar] [CrossRef] [PubMed]
- Benzie, I.F.F.; Strain, J.J. The ferric reducing ability of plasma (FRAP) as a measure of “antioxidant power”: The FRAP assay. Anal. Biochem. 1996, 239, 70–76. [Google Scholar] [CrossRef] [PubMed]


| Extract | PPM | DE | DEPPMeq | Stability (%) | |
|---|---|---|---|---|---|
| Arbutin (mg/g) | W | 86.69 ± 1.05 a* | 199.11 ± 1.24 a | 81.53 ± 0.51 a^ | 94.0 ± 1.72 AB |
| 20E | 86.18 ± 0.73 ab | 160.52 ± 2.66 b | 82.51 ± 1.37 a^ | 95.7 ± 2.40 AB | |
| 40E | 84.91 ± 0.52 ab | 152.53 ± 4.97 bc | 81.08 ± 2.64 ab^ | 95.5 ± 3.70 A | |
| 60E | 84.82 ± 0.66 ab | 147.22 ± 2.02 c | 81.86 ± 1.13 a^ | 96.5 ± 2.08 A | |
| 80E | 84.25 ± 0.79 b | 146.53 ± 4.26 c | 82.10 ± 2.39 a^ | 97.5 ± 3.74 A | |
| E | 76.27 ± 0.44 c | 154.81 ± 6.61 bc | 75.85 ± 3.24 b^ | 99.4 ± 4.82 A | |
| Hydroquinone (mg/g) | W | 14.40 ± 0.26 b | 27.35 ± 1.13 a | 11.20 ± 0.46 b^ | 77.8 ± 4.64 bC |
| 20E | 18.17 ± 0.34 a* | 29.58 ± 1.82 a | 15.20 ± 0.93 a^ | 83.7 ± 6.69 bB | |
| 40E | 10.99 ± 0.15 c | 19.80 ± 0.73 b | 10.53 ± 0.39 b^ | 95.8 ± 4.80 abA | |
| 60E | 7.09 ± 0.11 d | 12.54 ± 0.53 c | 6.97 ± 0.29 c^ | 98.3 ± 5.68 abA | |
| 80E | 5.28 ± 0.15 e | 9.33 ± 0.21 d | 5.22 ± 0.12 d^ | 99.0 ± 5.07 aA | |
| E | 3.71 ± 0.12 f | 7.46 ± 0.15 e | 3.65 ± 0.07 e^ | 98.4 ± 5.12 aAB | |
| Hyperoside (mg/g) | W | 9.74 ± 0.16 b | 22.71 ± 0.24 a | 9.30 ± 0.10 bc^ | 95.4 ± 2.53 A |
| 20E | 10.37 ± 0.11 a* | 20.15 ± 0.97 b | 10.36 ± 0.50 a^ | 99.9 ± 5.86 A | |
| 40E | 10.35 ± 0.18 a | 19.42 ± 0.64 b | 10.33 ± 0.34 a^ | 99.8 ± 5.04 A | |
| 60E | 9.98 ± 0.15 ab | 17.81 ± 0.63 c | 9.90 ± 0.35 ab^ | 99.2 ± 4.98 A | |
| 80E | 9.86 ± 0.14 b | 17.42 ± 0.48 c | 9.76 ± 0.27 ab^ | 99.0 ± 4.12 A | |
| E | 8.78 ± 0.13 c | 17.79 ± 0.19 c | 8.72 ± 0.09 c^ | 99.3 ± 2.52 A | |
| Pentagalloylglucose (mg/g) | W | 3.31 ± 0.04 c | 6.96 ± 0.36 c | 2.85 ± 0.15 d^ | 86.0 ± 5.53 ABC |
| 20E | 4.63 ± 0.05 b | 8.74 ± 0.24 b | 4.49 ± 0.12 c^ | 97.0 ± 3.74 A | |
| 40E | 6.59 ± 0.13 a* | 12.02 ± 0.14 a | 6.39 ± 0.08 a^ | 96.9 ± 3.06 A | |
| 60E | 6.55 ± 0.24 a | 11.47 ± 0.39 a | 6.38 ± 0.22 a^ | 97.3 ± 6.87 A | |
| 80E | 6.54 ± 0.08 a | 11.23 ± 0.36 a | 6.29 ± 0.20 a^ | 96.2 ± 4.16 A | |
| E | 6.24 ± 0.14 a | 11.66 ± 0.28 a | 5.71 ± 0.14 b^ | 91.6 ± 4.26 AB | |
| Methylarbutin (mg/g) | W | 2.45 ± 0.04 c | 5.32 ± 0.14 b | 2.18 ± 0.06 c^ | 89.1 ± 3.92 AB |
| 20E | 3.68 ± 0.08 a* | 6.34 ± 0.15 a | 3.26 ± 0.08 a^ | 88.6 ± 4.04 AB | |
| 40E | 2.73 ± 0.07 b | 4.81 ± 0.09 c | 2.55 ± 0.05 b^ | 93.6 ± 4.05 A | |
| 60E | 2.71 ± 0.07 b | 4.54 ± 0.17 c | 2.53 ± 0.10 b^ | 93.3 ± 5.95 A | |
| 80E | 2.73 ± 0.08 b | 4.63 ± 0.08 c | 2.59 ± 0.04 b^ | 95.1 ± 4.54 A | |
| E | 2.70 ± 0.08 b | 5.27 ± 0.20 b | 2.58 ± 0.10 b^ | 95.9 ± 6.52 AB | |
| Picein (mg/g) | W | 2.04 ± 0.03 a* | 4.20 ± 0.06 a | 1.72 ± 0.02 a^ | 84.3 ± 2.48 bBC |
| 20E | 1.79 ± 0.03 b | 3.34 ± 0.09 b | 1.72 ± 0.05 a^ | 96.2 ± 4.53 abAB | |
| 40E | 1.84 ± 0.05 b | 3.33 ± 0.10 b | 1.77 ± 0.05 a^ | 96.2 ± 5.46 abA | |
| 60E | 1.80 ± 0.07 b | 3.19 ± 0.12 bc | 1.77 ± 0.07 a^ | 98.3 ± 7.27 aA | |
| 80E | 1.79 ± 0.04 b | 3.17 ± 0.05 bc | 1.78 ± 0.03 a^ | 99.0 ± 3.97 aA | |
| E | 1.74 ± 0.03 b | 3.04 ± 0.10 c | 1.49 ± 0.05 b^ | 85.5 ± 4.45 bB |
| Extract | PPM | DE | DEPPMeq | Stability (%) | |
|---|---|---|---|---|---|
| Total Phenolic Content (mg GAE/g) | W | 181.15 ± 6.53 c | 396.49 ± 6.57 c | 162.34 ± 2.69 c^ | 89.6 ± 4.72 |
| 20E | 244.14 ± 3.34 ab | 444.54 ± 13.21 b | 228.50 ± 6.79 b^ | 93.6 ± 4.06 | |
| 40E | 256.79 ± 7.40 a | 480.12 ± 15.01 a | 255.23 ± 7.98 a^ | 99.4 ± 5.98 | |
| 60E | 261.31 ± 6.32 a* | 467.19 ± 11.24 ab | 259.78 ± 6.25 a^ | 99.4 ± 4.80 | |
| 80E | 257.70 ± 7.36 a | 454.74 ± 10.77 ab | 254.79 ± 6.03 a^ | 98.9 ± 5.17 | |
| E | 231.73 ± 7.73 b | 451.98 ± 6.89 ab | 221.43 ± 3.38 b^ | 95.6 ± 4.65 | |
| ABTS•+ Scavenging Activity (mg TE/g) | W | 639.32 ± 14.45 c | 1464.95 ± 33.53 ab | 599.82 ± 13.73 d^ | 93.8 ± 4.27 |
| 20E | 801.19 ± 21.12 ab | 1466.22 ± 39.92 ab | 753.66 ± 20.52 b^ | 94.1 ± 5.04 | |
| 40E | 834.97 ± 11.22 a* | 1544.36 ± 26.26 a | 820.97 ± 13.96 a^ | 98.3 ± 2.99 | |
| 60E | 823.62 ± 20.73 a | 1456.29 ± 33.76 b | 809.78 ± 18.77 a^ | 98.3 ± 4.76 | |
| 80E | 822.98 ± 18.85 a | 1444.03 ± 18.44 b | 809.08 ± 10.33 a^ | 98.3 ± 3.51 | |
| E | 761.14 ± 23.85 b | 1488.08 ± 20.77 ab | 729.04 ± 10.17 b^ | 95.8 ± 4.34 | |
| Fe3+-Reducing Power (mg TE/g) | W | 239.82 ± 6.14 c | 200.10 ± 5.59 d | 200.10 ± 5.59 d^ | 83.4 ± 4.47 |
| 20E | 320.55 ± 9.50 a | 310.98 ± 9.45 a | 310.98 ± 9.45 a^ | 97.0 ± 5.83 | |
| 40E | 326.15 ± 10.26 a* | 318.56 ± 9.87 a | 318.56 ± 9.87 a^ | 97.7 ± 6.11 | |
| 60E | 313.74 ± 12.21 a | 298.98 ± 6.09 ab | 298.98 ± 6.09 ab^ | 95.3 ± 5.66 | |
| 80E | 303.83 ± 12.04 a | 281.93 ± 13.63 b | 281.93 ± 13.63 b^ | 92.8 ± 8.18 | |
| E | 270.18 ± 12.01 b | 243.23 ± 11.41 c | 243.23 ± 11.41 c^ | 90.0 ± 8.24 |
Disclaimer/Publisher’s Note: The statements, opinions and data contained in all publications are solely those of the individual author(s) and contributor(s) and not of MDPI and/or the editor(s). MDPI and/or the editor(s) disclaim responsibility for any injury to people or property resulting from any ideas, methods, instructions or products referred to in the content. |
© 2024 by the authors. Licensee MDPI, Basel, Switzerland. This article is an open access article distributed under the terms and conditions of the Creative Commons Attribution (CC BY) license (https://creativecommons.org/licenses/by/4.0/).
Share and Cite
Sęczyk, Ł.; Sugier, D.; Sugier, P. Effect of the Type of Herbal Preparations (Powdered Plant Material vs. Dry Ethanolic Extracts) on the Bioaccessibility of Bearberry (Arctostaphylos uva-ursi (L.) Spreng.) Phytochemicals in Simulated Digestion Conditions. Molecules 2024, 29, 5968. https://doi.org/10.3390/molecules29245968
Sęczyk Ł, Sugier D, Sugier P. Effect of the Type of Herbal Preparations (Powdered Plant Material vs. Dry Ethanolic Extracts) on the Bioaccessibility of Bearberry (Arctostaphylos uva-ursi (L.) Spreng.) Phytochemicals in Simulated Digestion Conditions. Molecules. 2024; 29(24):5968. https://doi.org/10.3390/molecules29245968
Chicago/Turabian StyleSęczyk, Łukasz, Danuta Sugier, and Piotr Sugier. 2024. "Effect of the Type of Herbal Preparations (Powdered Plant Material vs. Dry Ethanolic Extracts) on the Bioaccessibility of Bearberry (Arctostaphylos uva-ursi (L.) Spreng.) Phytochemicals in Simulated Digestion Conditions" Molecules 29, no. 24: 5968. https://doi.org/10.3390/molecules29245968
APA StyleSęczyk, Ł., Sugier, D., & Sugier, P. (2024). Effect of the Type of Herbal Preparations (Powdered Plant Material vs. Dry Ethanolic Extracts) on the Bioaccessibility of Bearberry (Arctostaphylos uva-ursi (L.) Spreng.) Phytochemicals in Simulated Digestion Conditions. Molecules, 29(24), 5968. https://doi.org/10.3390/molecules29245968

