Novel Spectrophotometric Method for Robust Detection of Trace Copper and Cobalt in High-Concentration Zinc Solution
Abstract
1. Introduction
2. Theory
2.1. Derivative Spectrophotometry
2.2. Multi-Objective Optimization Model
3. Results and Discussion
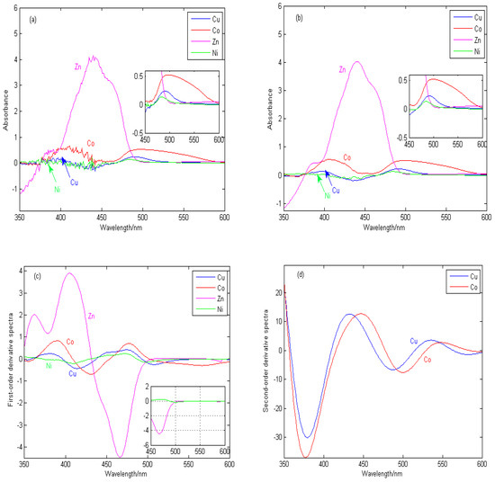
3.1. Spectral Characteristics
3.2. Second-Order Derivative Spectra of Copper and Cobalt
3.3. Optimization Index
3.4. Non-Inferior Solution of Multi-Objective Optimization
3.5. Derivative Spectral Correction Curve
3.6. Simultaneous Determination of Copper and Cobalt
4. Experimental Method
4.1. Apparatus and Reagents
4.2. Procedures
5. Conclusions
Author Contributions
Funding
Institutional Review Board Statement
Informed Consent Statement
Data Availability Statement
Acknowledgments
Conflicts of Interest
References
- Sikder, M.; Lead, J.R.; Chandler, G. A rapid approach for measuring silver nanoparticle concentration and dissolution in seawater by UV-Vis. Sci. Total Environ. 2018, 618, 597–607. [Google Scholar] [CrossRef] [PubMed]
- Liu, W.S.; Liu, Y.H.; Su, H. Nickel(II) extraction from chloride solutions using N-2-ethylhexylpyridine-3-formamide: A new reagent toward clean hydrometallurgy and a proposed flowsheet for chloride leach liquors of nickel laterites. Hydrometallurgy 2024, 227, 106337. [Google Scholar] [CrossRef]
- Yadav, D.; Banerjee, R. A comparative life cycle energy and carbon emission analysis of the solar carbothermal and hydrometallurgy routes for zinc production. Appl. Energ. 2018, 229, 577–602. [Google Scholar] [CrossRef]
- Yadav, D.; Banerjee, R. Thermodynamic and economic analysis of the solar carbothermal and hydrometallurgy routes for zinc production. Energy 2022, 247, 123242. [Google Scholar] [CrossRef]
- Luan, M.; Jing, G.; Piao, Y. Treatment of refractory organic pollutants in industrial wastewater by wet air oxidation. Arab. J. Chem. 2017, 10, S769–S776. [Google Scholar] [CrossRef]
- Zinatloo, A.S.; Rakhshani, S.; Mehrabadi, Z. Novel rod-like [Cu(phen)2(OAc)]PF6 complex for high-performance visible-light-driven photocatalytic degradation of hazardous organic dyes: DFT approach, Hirshfeld and fingerprint plot analysis. J. Environ. Manag. 2023, 350, 119545. [Google Scholar] [CrossRef] [PubMed]
- Ma, C.F.; Zhang, Q.; Liang, J. Quantitative analysis of four PAHs in oily sludge by surface-enhanced Raman spectroscopy (SERS) combined with partial least squares regression (PLS) based on a novel nano-silver-silicon coupling substrate. Spectrochim. Acta A 2024, 318, 124531. [Google Scholar] [CrossRef]
- Li, B.; Wang, X.; Wei, Y. Extraction of copper from copper and cadmium residues of zinc hydrometallurgy by oxidation acid leaching and cyclone electrowinning. Miner. Eng. 2018, 128, 247–253. [Google Scholar] [CrossRef]
- Zhou, F.B.; Li, C.G.; Zhu, H.Q. A novel method for simultaneous determination of zinc, nickel, cobalt and copper based on UV–vis spectrometry. Optik 2019, 182, 58–64. [Google Scholar] [CrossRef]
- Dong, L.; Xu, X.; Li, C. Plasmon-induced transparency in sensing application with semicircle cavity waveguide. Opt. Commun. 2018, 410, 751–755. [Google Scholar] [CrossRef]
- Liu, P.; Nie, Y.Z.; Xia, Q.L. Structural and electronic properties of arsenic nitrogen monolayer. Phys. Lett. A 2017, 381, 1102–1106. [Google Scholar] [CrossRef]
- Tatikolov, A.S. UV–vis spectral study of the isomeric equilibrium for the anionic polymethine dyes—Oxonols in different solvents. Chem. Phys. Lett. 2016, 665, 131–136. [Google Scholar] [CrossRef]
- Martins, A.R.; Talhavini, M.; Vieira, M.L. Discrimination of whisky brands and counterfeit identification by UV-Vis spectroscopy and multivariate data analysis. Food Chem. 2017, 229, 142–151. [Google Scholar] [CrossRef]
- Xu, H.; Li, H.; Xiao, G. Tunable plasmon resonance in the nanobars and split ring resonator (SRR) composite structure. Opt. Commun. 2016, 377, 70–73. [Google Scholar] [CrossRef]
- Xu, H.; Li, H.; He, Z. Theoretical analysis of optical properties and sensing in a dual-layer asymmetric metamaterial. Opt. Commun. 2018, 407, 250–254. [Google Scholar] [CrossRef]
- Guo, X.M.; Lin, Z.N.; Wang, Y.J. In-line monitoring the degradation of polypropylene under multiple extrusions based on raman spectroscopy. Polymers 2019, 11, 1698. [Google Scholar] [CrossRef]
- Xu, H.; Li, H.; He, Z. Dual tunable plasmon-induced transparency based on silicon-air grating coupled graphene structure in terahertz metamaterial. Opt. Express 2017, 25, 20780–20790. [Google Scholar] [CrossRef]
- Li, P.; Qu, J.B.; He, Y.L. Global calibration model of UV-Vis spectroscopy for COD estimation in the effluent of rural sewage treatment facilities. Rsc. Adv. 2020, 10, 20691–20700. [Google Scholar] [CrossRef] [PubMed]
- Li, B.; Li, H.; Zeng, L. Filtering and sensing properties based on metal-dielectric-metal waveguide with slot cavities. J. Mod. Optic. 2016, 63, 1378–1383. [Google Scholar] [CrossRef]
- He, Z.; Li, H.; Li, B. Theoretical analysis of ultrahigh figure of merit sensing in plasmonic waveguides with a multimode stub. Opt. Lett. 2016, 41, 5206–5215. [Google Scholar] [CrossRef]
- Giriraj, P.; Sivakkumar, T. Simultaneous estimation of dutasteride and tamsulosin hydrochloride in tablet dosage form by vierordt’s method. Arab. J. Chem. 2017, 10, S1862–S1867. [Google Scholar] [CrossRef]
- Zaazaa, H.E.; Elzanfaly, E.S.; Soudi, A.T. Application of the ratio difference spectrophotometry to the determination of ibuprofen and famotidine in their combined dosage form: Comparison with previously published spectrophotometric methods. Spectrochim. Acta A 2015, 143, 251–255. [Google Scholar] [CrossRef] [PubMed]
- Shi, T.; Luan, X.; Liu, F. Near-infrared modelling with temperature compensation based on multilevel principal component regression. Vib. Spectrosc. 2017, 92, 302–307. [Google Scholar] [CrossRef]
- Li, H.D.; Xu, Q.S.; Liang, Y.Z. An integrated library for partial least squares regression and linear discriminant analysis. Chemom. Intell. Lab. Syst. 2018, 176, 34–43. [Google Scholar] [CrossRef]
- Yakubu, H.J.; Worku, A.; Tothi, R. Near-infrared spectroscopy for rapid evaluation of winter cereals and Italian ryegrass forage mixtures. Anim. Sci. J. 2023, 94, e13823. [Google Scholar] [CrossRef]
- Ford, J.L.; Green, M.H.; Green, J.B. Intestinal beta-carotene bioconversion in humans is determined by a new single-sample, plasma isotope ratio method and compared with traditional and modified area-under-the-curve methods. Arch. Biochem. Biophys. 2018, 653, 121–126. [Google Scholar] [CrossRef]
- Do, T.T.; Dao, U.P.; Bui, H.T. Effect of electrostatic interaction between fluoxetine and lipid membranes on the partitioning of fluoxetine investigated using second derivative spectrophotometry and FTIR. Chem. Phys. Lipids 2017, 207, 10–23. [Google Scholar] [CrossRef]
- Zhou, F.B.; Li, C.G.; Zhu, H.Q.; Li, Y.G. Simultaneous Determination of Trace Metal Ions in Industrial Wastewater Based on UV–Vis Spectrometry. Optik 2019, 176, 512–517. [Google Scholar] [CrossRef]
- Fedenko, V.S.; Shemet, A.M.; Landi, S. UV-vis spectroscopy and colorimetric models for detecting anthocyanin-metal complexes in plants: An overview of in vitro and in vivo techniques. J. Plant Physiol. 2017, 212, 13–28. [Google Scholar] [CrossRef]
- Silva, D.J.; Wiebeck, H. Using PLS, iPLS and siPLS linear regressions to determine the composition of LDPE/HDPE blends: A comparison between confocal Raman and ATR-FTIR spectroscopies. Vib. Spectrosc. 2017, 92, 259–266. [Google Scholar] [CrossRef]
- Zhu, X.R.; Li, G.Y.; Su, D.L. The feasibility of rapid determination of the cadmium content in rice based on near infrared spectroscopy and synergy interval partial least squares. Food. Mach. 2015, 31, 43–48. [Google Scholar]
- Hao, Y.; Sun, X.D.; Pan, Y.Y. Detection of firmness and furface color of pear by near infrared spectroscopy based on Monte Carlo uninformative variables elimination method. Spectrosc. Spectr. Anal. 2011, 31, 1225–1229. [Google Scholar]
- Liu, G.H.; Xia, R.S.; Jiang, H. A wavelength selection approach of near infrared spectra based on SCARS strategy and its application. Spectrosc. Spectr. Anal. 2014, 34, 2094–2098. [Google Scholar]
- Duan, H.; Ma, S.; Han, L. A novel denoising method for laser-induced breakdown spectroscopy: Improved wavelet dual threshold function method and its application to quantitative modeling of Cu and Zn in Chinese animal manure composts. Microchem. J. 2017, 134, 262–269. [Google Scholar] [CrossRef]
- Zhou, F.B.; Zhu, H.Q.; Li, C.G. A pretreatment method based on wavelet transform for quantitative analysis of UV–vis spectroscopy. Optik 2019, 182, 786–792. [Google Scholar] [CrossRef]
- Prasad, A.; Ansari, Z.A. Continuous Wavelet Transform Involving Linear Canonical Transform. Natl. Acad. Sci. Lett. 2019, 42, 337–344. [Google Scholar] [CrossRef]
- Zhou, X.J.; Yang, C.H.; Gui, W.H. State Transition Algorithm. J. Ind. Manag. Optim. 2012, 8, 1039–1056. [Google Scholar] [CrossRef]
- Zhao, C.X.; Wu, C.Z.; Chai, J. Decomposition-based multi-objective firefly algorithm for RFID network planning with uncertainty. Appl. Soft. Comput. 2017, 55, 549–564. [Google Scholar] [CrossRef]
- Li, B.; Chen, X.F. Wavelet-based numerical analysis: A review and classification. Finite Elem. Anal. Des. 2014, 81, 14–31. [Google Scholar] [CrossRef]















| Wavelet Function | SSE | R-Square | Adjusted R-Square | RMSE |
|---|---|---|---|---|
| Haar | 4.441 × 10−5 | 0.9941 | 0.9968 | 0.005332 |
| Db4 | 3.036 × 10−5 | 0.9956 | 0.9981 | 0.002884 |
| Coif3 | 0.0002908 | 0.9932 | 0.9944 | 0.007526 |
| Sym3 | 0.0004756 | 0.9911 | 0.9916 | 0.009109 |
| Wavelet Function | SSE | R-Square | Adjusted R-Square | RMSE |
|---|---|---|---|---|
| Haar | 7.577 × 10−5 | 0.9974 | 0.9982 | 0.002352 |
| Db4 | 0.0001518 | 0.9938 | 0.9949 | 0.006509 |
| Coif3 | 0.0003512 | 0.9925 | 0.9936 | 0.007459 |
| Sym3 | 0.0001308 | 0.9964 | 0.9967 | 0.004719 |
| Wavelet Function | SSE | R-Square | Adjusted R-Square | RMSE |
|---|---|---|---|---|
| Haar | 8.754 × 10−5 | 0.9958 | 0.9973 | 0.002877 |
| Db4 | 0.0003667 | 0.9922 | 0.9945 | 0.007905 |
| Coif3 | 0.0001732 | 0.9943 | 0.9956 | 0.003562 |
| Sym3 | 6.252 × 10−5 | 0.9971 | 0.9978 | 0.001304 |
| Calibration Curve Parameters | CWT (Haar) | CWT (Db4) | CWT (Coif3) | CWT (Sym3) | ||||
|---|---|---|---|---|---|---|---|---|
| Cu | Co | Cu | Co | Cu | Co | Cu | Co | |
| Wavelength (nm) | 529 | 573 | 554 | 531 | 516 | 542 | 513 | 561 |
| Linear range (mg/L) | 0.5−5 | 0.3−3 | 0.5−5 | 0.3−3 | 0.5−5 | 0.3−3 | 0.5−5 | 0.3−3 |
| Slope | 1.5518 | 2.9840 | −1.3853 | 2.0076 | 1.9505 | 1.7413 | −1.8463 | −3.1337 |
| Intercept | 0.5330 | 0.0808 | −0.2912 | 0.3055 | 0.2980 | 0.2803 | −0.4760 | −0.1229 |
| Correlation coefficient (R2) | 0.9952 | 0.9926 | 0.9896 | 0.9957 | 0.9915 | 0.9963 | 0.9931 | 0.9949 |
| LOD (mg/L) | 0.0829 | 0.0968 | 0.1087 | 0.0809 | 0.0991 | 0.0788 | 0.0862 | 0.0852 |
| LOQ (mg/L) | 0.2733 | 0.3198 | 0.3589 | 0.2642 | 0.3271 | 0.2575 | 0.2846 | 0.2814 |
| Detection Ion | Evaluating Indicator | PLS | Kalman Filtering | The Proposed Method |
|---|---|---|---|---|
| Cu | Maximum relative error | 18.57% | 15.43% | 5.20% |
| Average relative error | 13.35% | 12.71% | 3.77% | |
| RMSEC | 0.894 | 0.629 | 0.154 | |
| RMSEP | 0.752 | 0.534 | 0.098 | |
| Correlation coefficient | 0.9886 | 0.9915 | 0.9953 | |
| Co | Maximum relative error | 14.39% | 13.58% | 4.46% |
| Average relative error | 11.73% | 10.62% | 2.85% | |
| RMSEC | 0.694 | 0.529 | 0.109 | |
| RMSEP | 0.427 | 0.376 | 0.063 | |
| Correlation coefficient | 0.9928 | 0.9942 | 0.9971 |
| No. | Actual Value (mg/L) | Predicted Value (mg/L) | Relative Error (%) | ||||
|---|---|---|---|---|---|---|---|
| Zn | Cu | Co | Cu | Co | Cu | Co | |
| 1 | 2.1 × 104 | 0.50 | 0.60 | 0.513 | 0.619 | 2.60 | 3.17 |
| 2 | 2.2 × 104 | 1.00 | 1.20 | 1.052 | 1.227 | 5.20 | 2.25 |
| 3 | 2.3 × 104 | 1.50 | 1.80 | 1.571 | 1.846 | 4.73 | 2.56 |
| 4 | 2.4 × 104 | 2.00 | 2.40 | 1.942 | 2.443 | 2.90 | 1.79 |
| 5 | 2.5 × 104 | 2.50 | 3.00 | 2.419 | 2.959 | 3.24 | 1.36 |
| 6 | 2.6 × 104 | 3.00 | 0.30 | 2.894 | 0.312 | 3.53 | 4.00 |
| 7 | 2.7 × 104 | 3.50 | 0.90 | 3.357 | 0.861 | 4.09 | 4.33 |
| 8 | 2.8 × 104 | 4.00 | 1.50 | 4.187 | 1.567 | 4.68 | 4.46 |
| 9 | 2.9 × 104 | 4.50 | 2.10 | 4.677 | 2.133 | 3.94 | 1.57 |
| 10 | 3.0 × 104 | 5.00 | 2.70 | 5.138 | 2.618 | 2.76 | 3.04 |
| Average relative error (%) | 3.77 | 2.85 | |||||
| RMSEP | 0.098 | 0.063 | |||||
Disclaimer/Publisher’s Note: The statements, opinions and data contained in all publications are solely those of the individual author(s) and contributor(s) and not of MDPI and/or the editor(s). MDPI and/or the editor(s) disclaim responsibility for any injury to people or property resulting from any ideas, methods, instructions or products referred to in the content. |
© 2024 by the authors. Licensee MDPI, Basel, Switzerland. This article is an open access article distributed under the terms and conditions of the Creative Commons Attribution (CC BY) license (https://creativecommons.org/licenses/by/4.0/).
Share and Cite
Zhou, F.; Wu, B.; Zhou, J. Novel Spectrophotometric Method for Robust Detection of Trace Copper and Cobalt in High-Concentration Zinc Solution. Molecules 2024, 29, 5765. https://doi.org/10.3390/molecules29235765
Zhou F, Wu B, Zhou J. Novel Spectrophotometric Method for Robust Detection of Trace Copper and Cobalt in High-Concentration Zinc Solution. Molecules. 2024; 29(23):5765. https://doi.org/10.3390/molecules29235765
Chicago/Turabian StyleZhou, Fengbo, Bo Wu, and Jianhua Zhou. 2024. "Novel Spectrophotometric Method for Robust Detection of Trace Copper and Cobalt in High-Concentration Zinc Solution" Molecules 29, no. 23: 5765. https://doi.org/10.3390/molecules29235765
APA StyleZhou, F., Wu, B., & Zhou, J. (2024). Novel Spectrophotometric Method for Robust Detection of Trace Copper and Cobalt in High-Concentration Zinc Solution. Molecules, 29(23), 5765. https://doi.org/10.3390/molecules29235765

