Visible-Light-Induced Photocatalytic Degradation of Naproxen Using 5% Cu/TiO2, Transformation Products, and Mechanistic Studies
Abstract
1. Introduction
2. Results and Discussion
2.1. Catalyst Characterization and XRD Analysis
2.2. Effect of Time, pH, and Catalyst Concentration
2.3. Kinetics of Naproxen’s Photocatalytic Degradation
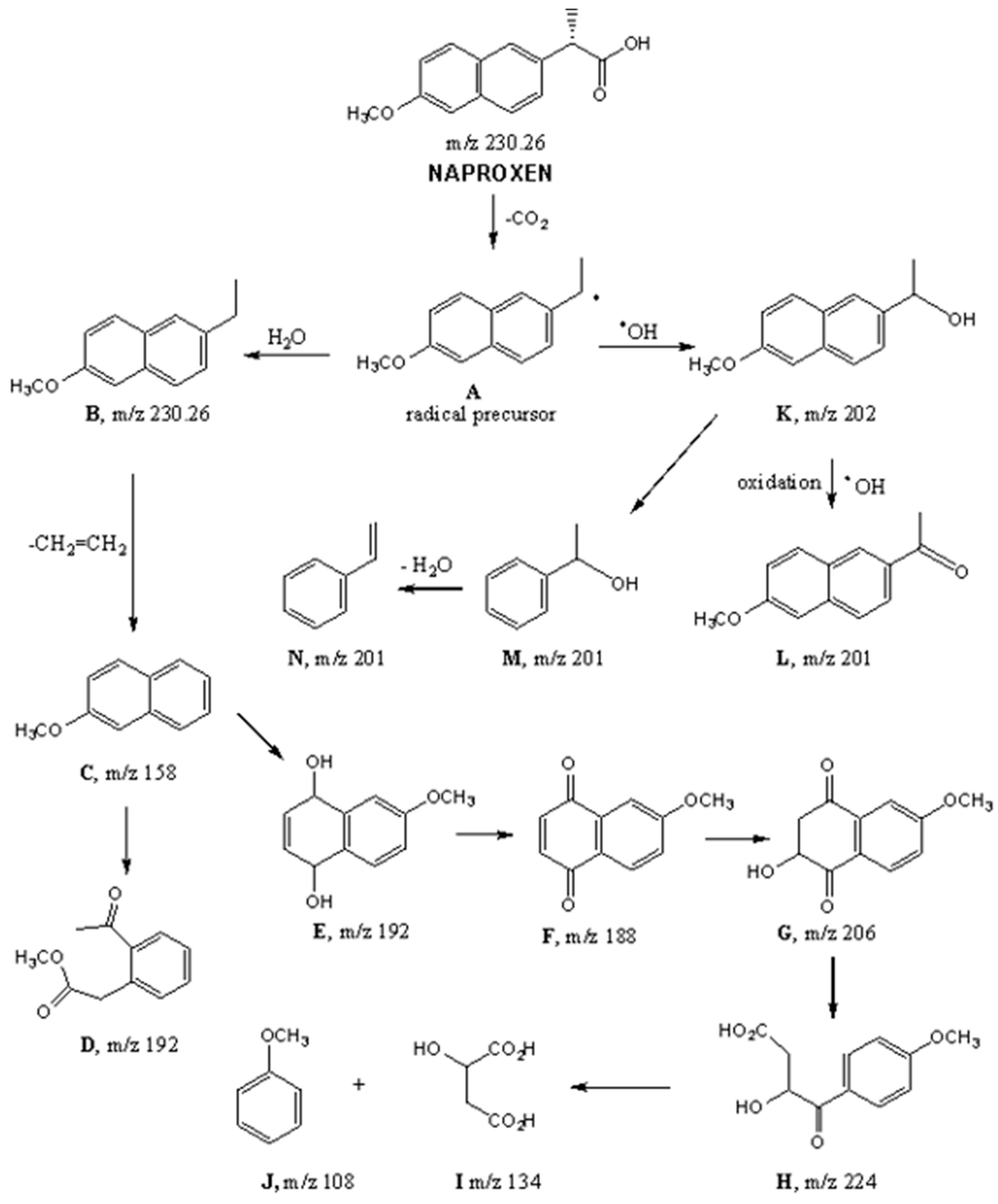
2.4. Degradation Products Identification and Validation by LC-MS/MS
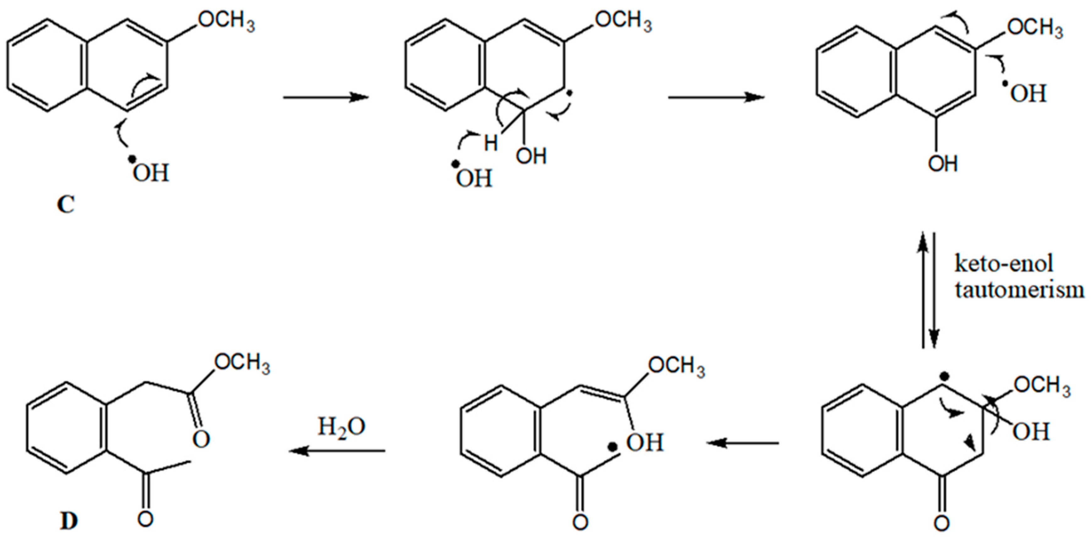
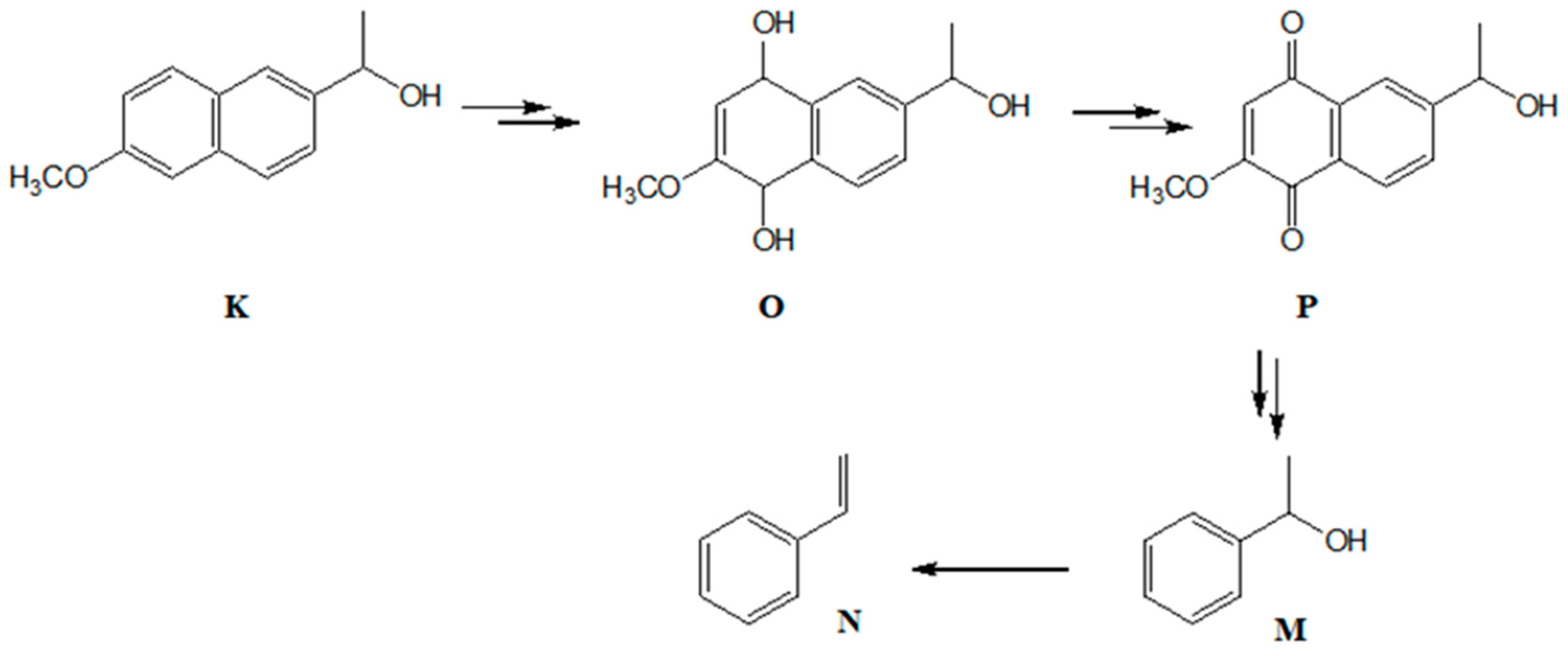
2.5. Degradation Mechanism
3. Materials and Methods
3.1. Catalyst and Gel Formulation
3.2. Optimization of Operational Conditions for Naproxen Photodegradation
3.3. Product Analysis and Identification Using LC–UV/Vis–MS Studies
4. Conclusions
Author Contributions
Funding
Data Availability Statement
Conflicts of Interest
References
- Weisman, S. Naproxen for Post-Operative Pain. J. Pharm. Pharm. Sci. 2021, 24, 62–70. [Google Scholar] [CrossRef] [PubMed]
- Machado, G.C.; Abdel-Shaheed, C.; Underwood, M.; Day, R.O. Non-steroidal anti-inflammatory drugs (NSAIDs) for musculoskeletal pain. BMJ 2021, 372, n104. [Google Scholar] [CrossRef] [PubMed]
- Faki, Y.; Er, A. Different Chemical Structures and Physiological/Pathological Roles of Cyclooxygenases. Rambam Maimonides Med. J. 2021, 12, e0003. [Google Scholar] [CrossRef] [PubMed]
- Moreno Ríos, A.L.; Gutierrez-Suarez, K.; Carmona, Z.; Ramos, C.G.; Silva Oliveira, L.F. Pharmaceuticals as emerging pollutants: Case naproxen an overview. Chemosphere 2022, 291, 132822. [Google Scholar] [CrossRef] [PubMed]
- Meetani, M.A.; Alhalabi, A.; Al-Tabaji, M.K.; Al-Hemyari, A.; Saadeh, H.A.; Saleh, N.I. Cucurbituril—Assisted sensitive fluorescence detection and quantitation of naproxen drug in wastewater samples: Guest-host characterization and HPLC investigation. Front. Chem. 2022, 10, 1093231. [Google Scholar] [CrossRef]
- Maraqa, M.A.; Meetani, M.; Alhalabi, A.M. Effectiveness of conventional wastewater treatment processes in removing pharmaceutically active compounds. IOP Conf. Ser. Earth Environ. Sci. 2020, 424, 012014. [Google Scholar] [CrossRef]
- Li, Y.; Niu, X.; Yao, C.; Yang, W.; Lu, G. Distribution, Removal, and Risk Assessment of Pharmaceuticals and Their Metabolites in Five Sewage Plants. Int. J. Environ. Res. Public Health 2019, 16, 4729. [Google Scholar] [CrossRef]
- Eslami, A.; Amini, M.M.; Yazdanbakhsh, A.R.; Rastkari, N.; Mohseni-Bandpei, A.; Nasseri, S.; Piroti, E.; Asadi, A. Occurrence of non-steroidal anti-inflammatory drugs in Tehran source water, municipal and hospital wastewaters, and their ecotoxicological risk assessment. Environ. Monit. Assess. 2015, 187, 734. [Google Scholar] [CrossRef]
- Kermia, A.E.B.; Fouial-Djebbar, D.; Trari, M. Occurrence, fate and removal efficiencies of pharmaceuticals in wastewater treatment plants (WWTPs) discharging in the coastal environment of Algiers. Comptes Rendus Chim. 2016, 19, 963–970. [Google Scholar] [CrossRef]
- Ahmad, M.H.; Fatima, M.; Hossain, M.; Mondal, A.C. Evaluation of naproxen-induced oxidative stress, hepatotoxicity and in-vivo genotoxicity in male Wistar rats. J. Pharm. Anal. 2018, 8, 400–406. [Google Scholar] [CrossRef]
- Wojcieszyńska, D.; Guzik, U. Naproxen in the environment: Its occurrence, toxicity to nontarget organisms and biodegradation. Appl. Microbiol. Biotechnol. 2020, 104, 1849–1857. [Google Scholar] [CrossRef] [PubMed]
- DellaGreca, M.; Brigante, M.; Isidori, M.; Nardelli, A.; Previtera, L.; Rubino, M.; Temussi, F. Phototransformation and ecotoxicity of the drug Naproxen-Na. Environ. Chem. Lett. 2003, 1, 237–241. [Google Scholar] [CrossRef]
- Jallouli, N.; Elghniji, K.; Hentati, O.; Ribeiro, A.R.; Silva, A.M.T.; Ksibi, M. UV and solar photo-degradation of naproxen: TiO2 catalyst effect, reaction kinetics, products identification and toxicity assessment. J. Hazard. Mater. 2016, 304, 329–336. [Google Scholar] [CrossRef]
- Brozinski, J.-M.; Lahti, M.; Meierjohann, A.; Oikari, A.; Kronberg, L. The Anti-Inflammatory Drugs Diclofenac, Naproxen and Ibuprofen are found in the Bile of Wild Fish Caught Downstream of a Wastewater Treatment Plant. Environ. Sci. Technol. 2013, 47, 342–348. [Google Scholar] [CrossRef]
- Xu, C.; Niu, L.; Guo, H.; Sun, X.; Chen, L.; Tu, W.; Dai, Q.; Ye, J.; Liu, W.; Liu, J. Long-term exposure to the non-steroidal anti-inflammatory drug (NSAID) naproxen causes thyroid disruption in zebrafish at environmentally relevant concentrations. Sci. Total Environ. 2019, 676, 387–395. [Google Scholar] [CrossRef]
- Ding, T.; Lin, K.; Yang, B.; Yang, M.; Li, J.; Li, W.; Gan, J. Biodegradation of naproxen by freshwater algae Cymbella sp. and Scenedesmus quadricauda and the comparative toxicity. Bioresour. Technol. 2017, 238, 164–173. [Google Scholar] [CrossRef]
- Li, Q.; Wang, P.; Chen, L.; Gao, H.; Wu, L. Acute toxicity and histopathological effects of naproxen in zebrafish (Danio rerio) early life stages. Environ. Sci. Pollut. Res. 2016, 23, 18832–18841. [Google Scholar] [CrossRef]
- Lucero, G.-M.A.; Marcela, G.-M.; Sandra, G.-M.; Manuel, G.-O.L.; Celene, R.-E. Naproxen-Enriched Artificial Sediment Induces Oxidative Stress and Genotoxicity in Hyalella azteca. Water Air Soil Pollut. 2015, 226, 195. [Google Scholar] [CrossRef]
- Melvin, S.D.; Cameron, M.C.; Lanctôt, C.M. Individual and Mixture Toxicity of Pharmaceuticals Naproxen, Carbamazepine, and Sulfamethoxazole to Australian Striped Marsh Frog Tadpoles (Limnodynastes peronii). J. Toxicol. Environ. Health Part A 2014, 77, 337–345. [Google Scholar] [CrossRef]
- Jiang, C.; Geng, J.; Hu, H.; Ma, H.; Gao, X.; Ren, H. Impact of selected non-steroidal anti-inflammatory pharmaceuticals on microbial community assembly and activity in sequencing batch reactors. PLoS ONE 2017, 12, e0179236. [Google Scholar] [CrossRef]
- Grenni, P.; Patrolecco, L.; Ademollo, N.; Di Lenola, M.; Barra Caracciolo, A. Capability of the natural microbial community in a river water ecosystem to degrade the drug naproxen. Environ. Sci. Pollut. Res. Int. 2014, 21, 13470–13479. [Google Scholar] [CrossRef]
- Topp, E.; Hendel, J.G.; Lapen, D.R.; Chapman, R. Fate of the nonsteroidal anti-inflammatory drug naproxen in agricultural soil receiving liquid municipal biosolids. Environ. Toxicol. Chem. 2008, 27, 2005–2010. [Google Scholar] [CrossRef]
- Fu, K.; Pan, Y.; Ding, C.; Shi, J.; Deng, H. Photocatalytic degradation of naproxen by Bi2MoO6/g-C3N4 heterojunction photocatalyst under visible light: Mechanisms, degradation pathway, and DFT calculation. J. Photochem. Photobiol. A Chem. 2021, 412, 113235. [Google Scholar] [CrossRef]
- Fan, G.; Ning, R.; Luo, J.; Zhang, J.; Hua, P.; Guo, Y.; Li, Z. Visible-light-driven photocatalytic degradation of naproxen by Bi-modified titanate nanobulks: Synthesis, degradation pathway and mechanism. J. Photochem. Photobiol. A Chem. 2020, 386, 112108. [Google Scholar] [CrossRef]
- Jung, S.-C.; Bang, H.-J.; Lee, H.; Kim, H.; Ha, H.-H.; Yu, Y.H.; Park, Y.-K. Degradation behaviors of naproxen by a hybrid TiO2 photocatalyst system with process components. Sci. Total Environ. 2020, 708, 135216. [Google Scholar] [CrossRef] [PubMed]
- Kanakaraju, D.; Motti, C.A.; Glass, B.D.; Oelgemöller, M. TiO2 photocatalysis of naproxen: Effect of the water matrix, anions and diclofenac on degradation rates. Chemosphere 2015, 139, 579–588. [Google Scholar] [CrossRef] [PubMed]
- Jiménez-Salcedo, M.; Monge, M.; Tena, M.T. The photocatalytic degradation of naproxen with g-C3N4 and visible light: Identification of primary by-products and mechanism in tap water and ultrapure water. J. Environ. Chem. Eng. 2022, 10, 106964. [Google Scholar] [CrossRef]
- Li, Z.; Liu, G.; Su, Q.; Lv, C.; Jin, X.; Wen, X. UV-Induced Photodegradation of Naproxen Using a Nano γ-FeOOH Composite: Degradation Kinetics and Photocatalytic Mechanism. Front. Chem. 2019, 7, 847. [Google Scholar] [CrossRef] [PubMed]
- Oluwole, A.O.; Olatunji, O.S. Enhanced photocatalytic degradation of naproxen in aqueous matrices using reduced graphene oxide (rGO) decorated binary BSO/g-C3N4 heterojunction nanocomposites. Chem. Eng. J. Adv. 2022, 12, 100417. [Google Scholar] [CrossRef]
- Moura, M.M.d.M.S.; Lima, V.E.; Neto, A.A.d.M.; Lucena, A.L.A.d.; Napoleão, D.C.; Duarte, M.M.M.B. Degradation of the mixture of the ketoprofen, meloxicam and tenoxicam drugs using TiO2/metal photocatalysers supported in polystyrene packaging waste. Water Sci. Technol. 2021, 83, 863–876. [Google Scholar] [CrossRef]
- El Mersly, L.; El Mouchtari, E.L.M.; Moujahid, E.M.; Briche, S.; Alaoui Tahiri, A.; Forano, C.; Prévot, V.; Rafqah, S. Enhanced photocatalytic activity of hydrozincite-TiO2 nanocomposite by copper for removal of pharmaceutical pollutant mefenamic acid in aqueous solution. Environ. Sci. Pollut. Res. 2023, 30, 24575–24589. [Google Scholar] [CrossRef] [PubMed]
- Díaz-Sánchez, M.; Murgu, R.N.; Díaz-García, D.; Méndez-Arriaga, J.M.; Prashar, S.; Urbán, B.; Pinkas, J.; Lamač, M.; Horáček, M.; Gómez-Ruiz, S. Synergistic Effect of Cu,F-Codoping of Titanium Dioxide for Multifunctional Catalytic and Photocatalytic Studies. Adv. Sustain. Syst. 2021, 5, 2000298. [Google Scholar] [CrossRef]
- Emam, T.E.; Souaya, E.R.; Ibrahim, M.B.M.; Mahmoud, S.A. Advanced removal of pesticides, herbicides, and pharmaceutical residues from surface water. Environ. Technol. 2023, 44, 3466–3478. [Google Scholar] [CrossRef]
- Méndez-Arriaga, F.; Esplugas, S.; Giménez, J. Photocatalytic degradation of non-steroidal anti-inflammatory drugs with TiO2 and simulated solar irradiation. Water Res. 2008, 42, 585–594. [Google Scholar] [CrossRef] [PubMed]
- Eslami, A.; Amini, M.M.; Asadi, A.; Safari, A.A.; Daglioglu, N. Photocatalytic degradation of ibuprofen and naproxen in water over NS-TiO2 coating on polycarbonate: Process modeling and intermediates identification. Inorg. Chem. Commun. 2020, 115, 107888. [Google Scholar] [CrossRef]
- Ilyas, A.; Rafiq, K.; Abid, M.Z.; Rauf, A.; Hussain, E. Growth of villi-microstructured bismuth vanadate (Vm-BiVO4) for photocatalytic degradation of crystal violet dye. RSC Adv. 2023, 13, 2379–2391. [Google Scholar] [CrossRef]
- Kiwaan, H.A.; Atwee, T.M.; Azab, E.A.; El-Bindary, A.A. Photocatalytic degradation of organic dyes in the presence of nanostructured titanium dioxide. J. Mol. Struct. 2020, 1200, 127115. [Google Scholar] [CrossRef]










Disclaimer/Publisher’s Note: The statements, opinions and data contained in all publications are solely those of the individual author(s) and contributor(s) and not of MDPI and/or the editor(s). MDPI and/or the editor(s) disclaim responsibility for any injury to people or property resulting from any ideas, methods, instructions or products referred to in the content. |
© 2024 by the authors. Licensee MDPI, Basel, Switzerland. This article is an open access article distributed under the terms and conditions of the Creative Commons Attribution (CC BY) license (https://creativecommons.org/licenses/by/4.0/).
Share and Cite
Hasan, S.A.; Khaleel, A.; Hisaindee, S.; Meetani, M.A. Visible-Light-Induced Photocatalytic Degradation of Naproxen Using 5% Cu/TiO2, Transformation Products, and Mechanistic Studies. Molecules 2024, 29, 5752. https://doi.org/10.3390/molecules29235752
Hasan SA, Khaleel A, Hisaindee S, Meetani MA. Visible-Light-Induced Photocatalytic Degradation of Naproxen Using 5% Cu/TiO2, Transformation Products, and Mechanistic Studies. Molecules. 2024; 29(23):5752. https://doi.org/10.3390/molecules29235752
Chicago/Turabian StyleHasan, Sarah Ahmed, Abbas Khaleel, Soleiman Hisaindee, and Mohammed A. Meetani. 2024. "Visible-Light-Induced Photocatalytic Degradation of Naproxen Using 5% Cu/TiO2, Transformation Products, and Mechanistic Studies" Molecules 29, no. 23: 5752. https://doi.org/10.3390/molecules29235752
APA StyleHasan, S. A., Khaleel, A., Hisaindee, S., & Meetani, M. A. (2024). Visible-Light-Induced Photocatalytic Degradation of Naproxen Using 5% Cu/TiO2, Transformation Products, and Mechanistic Studies. Molecules, 29(23), 5752. https://doi.org/10.3390/molecules29235752

