DABCO-Intercalated α-Zirconium Phosphate as a Latent Thermal Catalyst in the Reaction of Urethane Synthesis
Abstract
1. Introduction
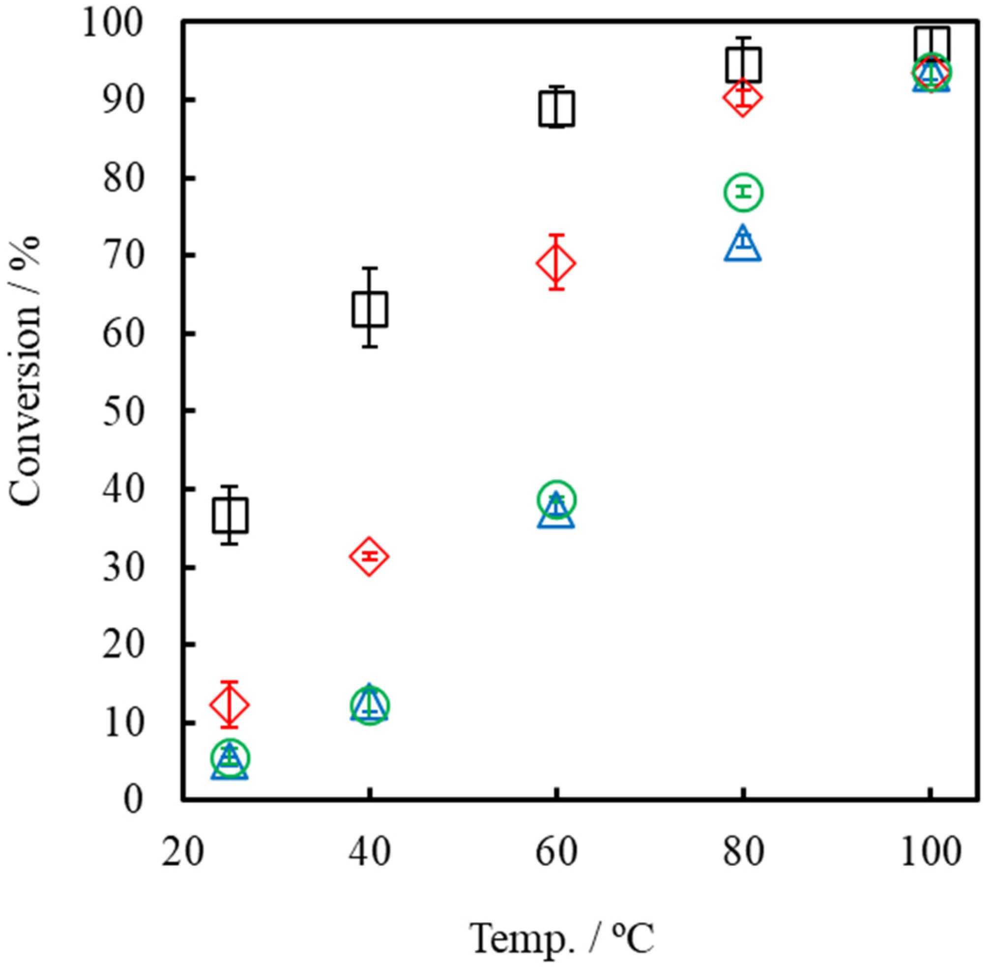
2. Results and Discussion
3. Materials and Methods
3.1. Materials
3.2. Measurements
3.3. Preparation of DABCO-Intercalated α-ZrP (α-ZrP·DABCO)
3.4. Typical Procedure for the Reaction of BuOH and HDI with α-ZrP·DABCO
3.5. Typical Measurements of the Viscosities of BuOH and HDI with α-ZrP·DABCO
3.6. Typical Procedure for the Reaction of 1,4-BDO and HDI with α-ZrP·DABCO
4. Conclusions
Supplementary Materials
Author Contributions
Funding
Institutional Review Board Statement
Informed Consent Statement
Data Availability Statement
Conflicts of Interest
References
- Engels, H.-W.; Pirkl, H.-G.; Albers, R.; Albach, R.W.; Krause, J.; Hoffmann, A.; Casselmann, H.; Dormish, J. Polyurethanes: Versatile Materials and Sustainable Problem Solvers for Today’s Challenges. Angew. Chem. Int. Ed. 2013, 52, 9422–9441. [Google Scholar] [CrossRef] [PubMed]
- Chattopadhyay, D.K.; Raju, K.V.S.N. Structural engineering of polyurethane coatings for high performance applications. Prog. Polym. Sci. 2007, 32, 352–418. [Google Scholar] [CrossRef]
- Petrovic, Z.S.; Ferguson, J. Polyurethane elastomers. Prog. Polym. Sci. 1991, 16, 695–836. [Google Scholar] [CrossRef]
- IG Farbenindustrie AG. Process for the Production of Polyurethanes or Polyureas. Germany Patent DE728981C, 7 December 1942. Available online: https://patents.google.com/patent/DE728981C/en (accessed on 1 October 2024).
- Bayer, O. Das Di-Isocyanat-Polyadditionsverfahren (Polyurethane). Angew. Chem. 1947, 59, 257–272. [Google Scholar] [CrossRef]
- Frazer, A.H.; Del, W.; Shivers, J.C., Jr. Segmented Polymers. U.S. Patent 3071557, 1 January 1963. [Google Scholar]
- Silva, A.L.; Bordado, J.C. Recent Developments in Polyurethane Catalysis: Catalytic Mechanisms Review. Catal. Rev. 2008, 46, 31–51. [Google Scholar] [CrossRef]
- Delebecq, E.; Pascault, J.P.; Boutevin, B.; Ganachaud, F. On the versatility of urethane/urea bonds: Reversibility, blocked isocyanate, and non-isocyanate polyurethane. Chem. Rev. 2013, 113, 80–118. [Google Scholar] [CrossRef]
- Kalaimani, S.; Nasar, A.S. Catalysis of deblocking and cure reactions of easily cleavable phenol blocked polyisocyanates with poly(polytetrahydrofuran carbonate) diol. Eur. Polym. J. 2017, 91, 221–231. [Google Scholar] [CrossRef]
- Fedoseev, M.S.; Noskova, O.A.; Derzhavinskaya, L.F. Synthesis and properties of blocked Di- and polyisocyanates. Polym. Sci. Ser. D 2016, 9, 199–204. [Google Scholar] [CrossRef]
- Naumann, S.; Buchmeiser, M.R. Latent and Delayed Action Polymerization Systems. Macromol. Rapid Commun. 2014, 35, 682–701. [Google Scholar] [CrossRef]
- Bantu, B.; Pawar, G.M.; Decker, U.; Wurst, K.; Schmidt, A.M.; Buchmeiser, M.R. CO2 and Sn II adducts of N-heterocyclic carbenes as delayed-action catalysts for polyurethane synthesis. Chem.—Eur. J. 2009, 15, 3103–3109. [Google Scholar] [CrossRef]
- Bantu, B.; Manohar Pawar, G.; Wurst, K.; Decker, U.; Schmidt, A.M.; Buchmeiser, M.R. CO2, Magnesium, Aluminum, and Zinc Adducts of N-Heterocyclic Carbenes as (Latent) Catalysts for Polyurethane Synthesis. Eur. J. Inorg. Chem. 2009, 13, 1970–1976. [Google Scholar] [CrossRef]
- Schwetlick, K.; Noack, R.; Stebner, F. Three fundamental mechanisms of base-catalyzed reactions of isocyanates with hydrogen-acidic compounds. J. Chem. Soc. Perkin Trans. 1994, 2, 599–608. [Google Scholar] [CrossRef]
- Farkas, A.; Strohm, P.F. Mechanism of the amine-catalyzed reaction of isocyanates with hydroxyl compounds. Ind. Eng. Chem. Fundam. 1965, 4, 32–38. [Google Scholar] [CrossRef]
- Frisch, K.C.; Klempner, D. Advances in Urethane Science and Technology; CRC Press: Boca Raton, FL, USA, 1993; Volume 12, p. 207. [Google Scholar] [CrossRef]
- Hatanaka, M. DFT analysis of catalytic urethanation. Bull. Chem. Soc. Jpn. 2011, 84, 933–935. [Google Scholar] [CrossRef]
- Alsarraf, J.; Ammar, Y.A.; Robert, F.; Cloutet, E.; Cramail, H.; Landais, Y. Cyclic Guanidines as Efficient Organocatalysts for the Synthesis of Polyurethanes. Macromolecules 2012, 45, 2249–2256. [Google Scholar] [CrossRef]
- Ding, H.; Ahmed, A.; Shen, K.; Sun, L. Assembly of exfoliated α-zirconium phosphate nanosheets: Mechanisms and versatile applications. Aggregate 2022, 3, e174. [Google Scholar] [CrossRef]
- Ramos-Garcés, M.V.; González-Villegas, J.; López-Cubero, A.; Colón, J.L. New Applications of Zirconium Phosphate Nanomaterials. Acc. Mater. Res. 2021, 2, 793–803. [Google Scholar] [CrossRef]
- Pica, M.; Donnadio, A.; Casciola, M. From microcrystalline to nanosized α-zirconium phosphate: Synthetic approaches and applications of an old material with a bright future. Coord. Chem. Rev. 2018, 374, 218–235. [Google Scholar] [CrossRef]
- Han, S.; Yang, F.; Li, Q.; Sui, G.; Kalimuldina, G.; Araby, S. Synergetic Effect of α-ZrP Nanosheets and Nitrogen-Based Flame Retardants on Thermoplastic Polyurethane. ACS Appl. Mater. Interfaces 2023, 15, 17054–17069. [Google Scholar] [CrossRef]
- Baker, J.; Xia, F.; Zhu, Z.; Zhang, X.; Sue, H.J. α-Zirconium Phosphate Nanoplatelets with Covalent Modifiers for Exfoliation in Organic Media. Langmuir 2020, 36, 11948–11956. [Google Scholar] [CrossRef]
- Shimomura, O.; Kusu, H.; Ohtaka, A.; Nomura, R. DBU-Intercalated α-Zirconium Phosphates as Latent Thermal Catalysts in the Reaction of Hexamethylene Diisocyanate and Phenol. Catalysts 2021, 11, 614. [Google Scholar] [CrossRef]
- Baidya, M.; Mayr, H. Nucleophilicities and carbon basicities of DBU and DBN. Chem. Commun. 2008, 1792–1794. [Google Scholar] [CrossRef] [PubMed]
- Kim, H.-N.; Keller, S.W.; Mallouk, T.E.; Schmitt, J.; Decher, G. Characterization of Zirconium Phosphate/Polycation Thin Films Grown by Sequential Adsorption Reactions. Chem. Mater. 1997, 9, 1414–1421. [Google Scholar] [CrossRef]
- Shimomura, O.; Nishisako, T.; Yamaguchi, S.; Ichihara, J.; Kirino, M.; Ohtaka, A.; Nomura, R. DABCO- and DBU-intercalated α-zirconium phosphate as latent thermal catalysts in the copolymerization of glycidyl phenyl ether (GPE) and hexahydro-4-methylphthalic anhydride (MHHPA). J. Mol. Catal. A Chem. 2016, 411, 230–238. [Google Scholar] [CrossRef]
- Shimomura, O.; Maeno, K.; Ohtaka, A.; Yamaguchi, S.; Ichihara, J.; Sakamoto, K.; Nomura, R. Alkylamines-intercalated α-zirconium phosphate as latent thermal anionic initiators. J. Polym. Sci. Part A Polym. Chem. 2014, 52, 1854–1861. [Google Scholar] [CrossRef]
- Alsarraf, J.; Robert, F.; Cramail, H.; Landais, Y. Latent catalysts based on guanidine templates for polyurethane synthesis. Polym. Chem. 2013, 4, 904–907. [Google Scholar] [CrossRef]
- Garcia, M.E.; Naffin, J.L.; Deng, N.; Mallouk, T.E. Preparative-Scale Separation of Enantiomers Using Intercalated α-Zirconium Phosphate. Chem. Mater. 1995, 7, 1968–1973. [Google Scholar] [CrossRef]















| Catalyst | C (%) | H (%) | N (%) | d (Å) | Composition |
|---|---|---|---|---|---|
| α-ZrP·DABCO | 12.61 | 4.39 | 5.85 | 16.1 | Zr(HPO4)2·0.92DABCO·3.1H2O |
| Sample | C (%) | H (%) | N (%) |
|---|---|---|---|
| α-ZrP·DABCO | 12.61 | 4.39 | 5.85 |
| BuOH-HDI + α-ZrP·DABCO 40 °C | 20.87 | 4.27 | 6.93 |
| BuOH-HDI + α-ZrP·DABCO 60 °C | 33.08 | 6.00 | 8.59 |
| BuOH-HDI + α-ZrP·DABCO 80 °C | 29.44 | 5.45 | 7.98 |
| BuOH-HDI + α-ZrP·DABCO 100 °C | 28.14 | 5.29 | 7.78 |
| Sample | %-C | %-H | %-N |
|---|---|---|---|
| α-ZrP·DABCO | 12.61 | 4.39 | 5.85 |
| BuOH + α-ZrP·DABCO 40 °C | 13.46 | 2.79 | 5.20 |
| BuOH + α-ZrP·DABCO 60 °C | 12.43 | 2.68 | 4.75 |
| BuOH + α-ZrP·DABCO 80 °C | 12.51 | 2.56 | 4.80 |
| BuOH + α-ZrP·DABCO 100 °C | 12.31 | 2.39 | 4.73 |
Disclaimer/Publisher’s Note: The statements, opinions and data contained in all publications are solely those of the individual author(s) and contributor(s) and not of MDPI and/or the editor(s). MDPI and/or the editor(s) disclaim responsibility for any injury to people or property resulting from any ideas, methods, instructions or products referred to in the content. |
© 2024 by the authors. Licensee MDPI, Basel, Switzerland. This article is an open access article distributed under the terms and conditions of the Creative Commons Attribution (CC BY) license (https://creativecommons.org/licenses/by/4.0/).
Share and Cite
Shimomura, O.; Arisaka, Y.; Rahmawati, A.; Kabir, S.M.M.; Shizuma, M.; Ohtaka, A. DABCO-Intercalated α-Zirconium Phosphate as a Latent Thermal Catalyst in the Reaction of Urethane Synthesis. Molecules 2024, 29, 5569. https://doi.org/10.3390/molecules29235569
Shimomura O, Arisaka Y, Rahmawati A, Kabir SMM, Shizuma M, Ohtaka A. DABCO-Intercalated α-Zirconium Phosphate as a Latent Thermal Catalyst in the Reaction of Urethane Synthesis. Molecules. 2024; 29(23):5569. https://doi.org/10.3390/molecules29235569
Chicago/Turabian StyleShimomura, Osamu, Yushi Arisaka, Astrid Rahmawati, Shekh Md. Mamun Kabir, Motohiro Shizuma, and Atsushi Ohtaka. 2024. "DABCO-Intercalated α-Zirconium Phosphate as a Latent Thermal Catalyst in the Reaction of Urethane Synthesis" Molecules 29, no. 23: 5569. https://doi.org/10.3390/molecules29235569
APA StyleShimomura, O., Arisaka, Y., Rahmawati, A., Kabir, S. M. M., Shizuma, M., & Ohtaka, A. (2024). DABCO-Intercalated α-Zirconium Phosphate as a Latent Thermal Catalyst in the Reaction of Urethane Synthesis. Molecules, 29(23), 5569. https://doi.org/10.3390/molecules29235569

