Identification of Cherry Tomato Volatiles Using Different Electron Ionization Energy Levels
Abstract
1. Introduction
2. Results
2.1. Sampling Optimization
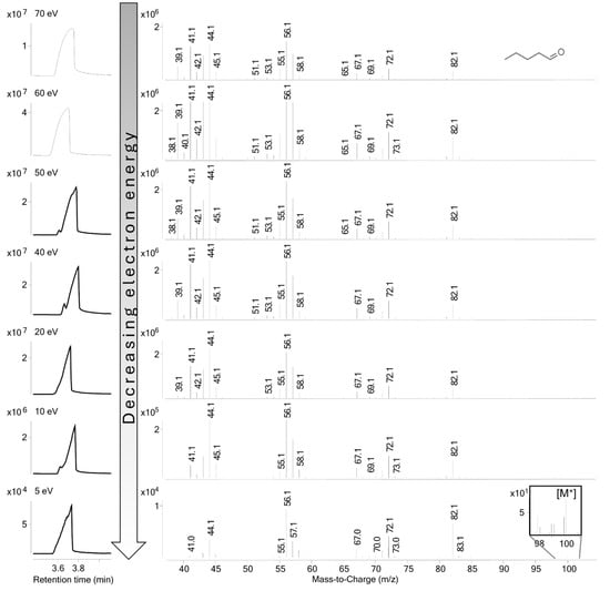
2.2. Identification of VOCs in Tomato Mash
2.3. Validation of Identification
2.4. Chemometric Analysis
3. Discussion
4. Materials and Methods
4.1. Samples and Sampling Method
4.2. Analytical Measurements
4.3. Data Analysis
Author Contributions
Funding
Institutional Review Board Statement
Informed Consent Statement
Data Availability Statement
Acknowledgments
Conflicts of Interest
References
- FAO. Available online: https://www.fao.org/faostat/en/#home (accessed on 10 October 2024).
- Zhu, G.; Wang, S.; Huang, Z.; Zhang, S.; Liao, Q.; Zhang, C.; Lin, T.; Qin, M.; Peng, M.; Yang, C.; et al. Rewiring of the Fruit Metabolome in Tomato Breeding. Cell 2018, 172, 249–261.e12. [Google Scholar] [CrossRef]
- Razifard, H.; Ramos, A.; Della Valle, A.L.; Bodary, C.; Goetz, E.; Manser, E.J.; Li, X.; Zhang, L.; Visa, S.; Tieman, D.; et al. Genomic Evidence for Complex Domestication History of the Cultivated Tomato in Latin America. Mol. Biol. Evol. 2020, 37, 1118–1132. [Google Scholar] [CrossRef] [PubMed]
- Zhang, J.; Liu, S.; Zhu, X.; Chang, Y.; Wang, C.; Ma, N.; Wang, J.; Zhang, X.; Lyu, J.; Xie, J. A Comprehensive Evaluation of Tomato Fruit Quality and Identification of Volatile Compounds. Plants 2023, 12, 2947. [Google Scholar] [CrossRef] [PubMed]
- Blanca, J.; Montero-Pau, J.; Sauvage, C.; Bauchet, G.; Illa, E.; Díez, M.J.; Francis, D.; Causse, M.; van der Knaap, E.; Cañizares, J. Genomic Variation in Tomato, from Wild Ancestors to Contemporary Breeding Accessions. BMC Genom. 2015, 16, 257. [Google Scholar] [CrossRef]
- Schouten, H.J.; Tikunov, Y.; Verkerke, W.; Finkers, R.; Bovy, A.; Bai, Y.; Visser, R.G.F. Breeding Has Increased the Diversity of Cultivated Tomato in The Netherlands. Front. Plant Sci. 2019, 10, 1606. [Google Scholar] [CrossRef]
- Pons, C.; Casals, J.; Palombieri, S.; Fontanet, L.; Riccini, A.; Rambla, J.L.; Ruggiero, A.; Figás, M.D.R.; Plazas, M.; Koukounaras, A.; et al. Atlas of Phenotypic, Genotypic and Geographical Diversity Present in the European Traditional Tomato. Hortic. Res. 2022, 9, uhac112. [Google Scholar] [CrossRef] [PubMed]
- Kusumiyati, K.; Ahmad, F.; Khan, M.R.; Soleh, M.A.; Sundari, R.S. Productivity of Cherry Tomato Cultivars as Influenced by Watering Capacities and Microclimate Control Designs. Open Agric. J. 2023, 17, e18743315280566. [Google Scholar] [CrossRef]
- Baldwin, E.A.; Scott, J.W.; Shewmaker, C.K.; Schuch, W. Flavor Trivia and Tomato Aroma: Biochemistry and Possible Mechanisms for Control of Important Aroma Components. HortScience 2000, 35, 1013–1022. [Google Scholar] [CrossRef]
- Buttery, R.G.; Teranishi, R.; Ling, L.C. Fresh Tomato Aroma Volatiles: A Quantitative Study. J. Agric. Food Chem. 1987, 35, 540–544. [Google Scholar] [CrossRef]
- Chang, Y.; Zhang, X.; Wang, C.; Ma, N.; Xie, J.; Zhang, J. Fruit Quality Analysis and Flavor Comprehensive Evaluation of Cherry Tomatoes of Different Colors. Foods 2024, 13, 1898. [Google Scholar] [CrossRef]
- Joung, M.; Kim, Y.-J.; Shin, Y. Assessment of Lycopene, Polyphenols, Antioxidant Compounds, and Activities in Colored Cherry Tomato Cultivars Harvested in Korea. Food Sci. Biotechnol. 2024. [Google Scholar] [CrossRef]
- Yang, Z.; Li, W.; Li, D.; Chan, A.S.C. Evaluation of Nutritional Compositions, Bioactive Components, and Antioxidant Activity of Three Cherry Tomato Varieties. Agronomy 2023, 13, 637. [Google Scholar] [CrossRef]
- Cheng, G.; Chang, P.; Shen, Y.; Wu, L.; El-Sappah, A.H.; Zhang, F.; Liang, Y. Comparing the Flavor Characteristics of 71 Tomato (Solanum Lycopersicum) Accessions in Central Shaanxi. Front. Plant Sci. 2020, 11, 586834. [Google Scholar] [CrossRef] [PubMed]
- Tikunov, Y.; Lommen, A.; De Vos, C.H.R.; Verhoeven, H.A.; Bino, R.J.; Hall, R.D.; Bovy, A.G. A Novel Approach for Nontargeted Data Analysis for Metabolomics. Large-Scale Profiling of Tomato Fruit Volatiles. Plant Physiol. 2005, 139, 1125–1137. [Google Scholar] [CrossRef] [PubMed]
- Mayer, F.; Takeoka, G.R.; Buttery, R.G.; Whitehand, L.C.; Naim, M.; Rabinowitch, H.D. Studies on the Aroma of Five Fresh Tomato Cultivars and the Precursors of Cis- and Trans-4,5-Epoxy-(E)-2-Decenals and Methional. J. Agric. Food Chem. 2008, 56, 3749–3757. [Google Scholar] [CrossRef]
- Tao, J.; Zuo, J.; Watkins, C.B.; Bai, C.; He, X.; Liu, S.; Han, L.; Zhao, X.; Liu, Y.; Li, J.; et al. Low Storage Temperature Affects Quality and Volatile Compounds in Fresh Tomatoes. Food Chem. 2024, 460, 140400. [Google Scholar] [CrossRef] [PubMed]
- Aihaiti, A.; Zhao, L.; Maimaitiyiming, R.; Wang, L.; Liu, R.; Mu, Y.; Chen, K.; Wang, Y. Changes in Volatile Flavors during the Fermentation of Tomato (Solanum lycopersicum L.) Juice and Its Storage Stabilization. Food Chem. 2025, 463, 141077. [Google Scholar] [CrossRef]
- Kaldeli, A.; Zakidou, P.; Paraskevopoulou, A. Volatilomics as a Tool to Ascertain Food Adulteration, Authenticity, and Origin. Compr. Rev. Food Sci. Food Saf. 2024, 23, 13387. [Google Scholar] [CrossRef]
- Luitel, B.P.; Adhikari, P.B.; Yoon, C.S.; Kang, W.H. Yield and Fruit Quality of Tomato (Lycopersicon esculentum Mill.) Cultivars Established at Different Planting Bed Size and Growing Substrates. Hortic. Environ. Biotechnol. 2012, 53, 102–107. [Google Scholar] [CrossRef]
- Tieman, D.; Bliss, P.; McIntyre, L.M.; Blandon-Ubeda, A.; Bies, D.; Odabasi, A.Z.; Rodríguez, G.R.; Van Der Knaap, E.; Taylor, M.G.; Goulet, C.; et al. The Chemical Interactions Underlying Tomato Flavor Preferences. Curr. Biol. 2012, 22, 1035–1039. [Google Scholar] [CrossRef]
- Vitalis, F.; Zaukuu, J.-L.Z.; Bodor, Z.; Aouadi, B.; Hitka, G.; Kaszab, T.; Zsom-Muha, V.; Gillay, Z.; Kovacs, Z. Detection and Quantification of Tomato Paste Adulteration Using Conventional and Rapid Analytical Methods. Sensors 2020, 20, 6059. [Google Scholar] [CrossRef]
- Mohammad-Razdari, A.; Ghasemi-Varnamkhasti, M.; Yoosefian, S.H.; Izadi, Z.; Siadat, M. Potential Application of Electronic Nose Coupled with Chemometric Tools for Authentication Assessment in Tomato Paste. J. Food Process Eng. 2019, 42, 13119. [Google Scholar] [CrossRef]
- Gherghel, S.; Morgan, R.M.; Arrebola-Liébanas, J.; Romero-González, R.; Blackman, C.S.; Garrido-Frenich, A.; Parkin, I.P. Development of a HS-SPME/GC–MS Method for the Analysis of Volatile Organic Compounds from Fabrics for Forensic Reconstruction Applications. Forensic Sci. Int. 2018, 290, 207–218. [Google Scholar] [CrossRef] [PubMed]
- Radványi, D. Smelling the Difference: Separation of Healthy and Infected Button Mushrooms via Microbial Volatile Organic Compounds. Heliyon 2023, 9, e12703. [Google Scholar] [CrossRef]
- Zhang, Z.-M.; Zeng, D.-D.; Li, G.-K. Study of the Volatile Composition of Tomato during Storage by a Combination Sampling Method Coupled with Gas Chromatography/Mass Spectrometry. J. Sci. Food Agric. 2008, 88, 116–124. [Google Scholar] [CrossRef]
- Zhou, W.; Lian, J.; Zhang, J.; Mei, Z.; Gao, Y.; Hui, G. Tomato Storage Quality Predicting Method Based on Portable Electronic Nose System Combined with WOA-SVM Model. J. Food Meas. Charact. 2023, 17, 3654–3664. [Google Scholar] [CrossRef]
- Radványi, D.; Szelényi, M.; Gere, A.; Molnár, B.P. From Sampling to Analysis: How to Achieve the Best Sample Throughput via Sampling Optimization and Relevant Compound Analysis Using Sum of Ranking Differences Method? Foods 2021, 10, 2681. [Google Scholar] [CrossRef] [PubMed]
- Lancioni, C.; Castells, C.; Candal, R.; Tascon, M. Headspace Solid-Phase Microextraction: Fundamentals and Recent Advances. Adv. Sample Prep. 2022, 3, 100035. [Google Scholar] [CrossRef]
- Beltran, J.; Serrano, E.; López, F.J.; Peruga, A.; Valcarcel, M.; Rosello, S. Comparison of Two Quantitative GC-MS Methods for Analysis of Tomato Aroma Based on Purge-and-Trap and on Solid-Phase Microextraction. Anal. Bioanal. Chem. 2006, 385, 1255–1264. [Google Scholar] [CrossRef]
- Du, X.; Song, M.; Baldwin, E.; Rouseff, R. Identification of Sulphur Volatiles and GC-Olfactometry Aroma Profiling in Two Fresh Tomato Cultivars. Food Chem. 2015, 171, 306–314. [Google Scholar] [CrossRef]
- Burdock, G.A. Fenaroli’s Handbook of Flavor Ingredients, 6th ed.; Routledge: London, UK, 2016. [Google Scholar]
- Bianchi, F.; Careri, M.; Mangia, A.; Mattarozzi, M.; Musci, M.; Concina, I.; Falasconi, M.; Gobbi, E.; Pardo, M.; Sberveglieri, G. Differentiation of the Volatile Profile of Microbiologically Contaminated Canned Tomatoes by Dynamic Headspace Extraction Followed by Gas Chromatography-Mass Spectrometry Analysis. Talanta 2009, 77, 962–970. [Google Scholar] [CrossRef] [PubMed]
- Selli, S.; Kelebek, H.; Ayseli, M.T.; Tokbas, H. Characterization of the Most Aroma-Active Compounds in Cherry Tomato by Application of the Aroma Extract Dilution Analysis. Food Chem. 2014, 165, 540–546. [Google Scholar] [CrossRef] [PubMed]
- Gere, A. Recommendations for Validating Hierarchical Clustering in Consumer Sensory Projects. Curr. Res. Food Sci. 2023, 6, 100522. [Google Scholar] [CrossRef] [PubMed]
- de Almeida, V.E.; de Sousa Fernandes, D.D.; Diniz, P.H.G.D.; de Araújo Gomes, A.; Véras, G.; Galvão, R.K.H.; Araujo, M.C.U. Scores Selection via Fisher’s Discriminant Power in PCA-LDA to Improve the Classification of Food Data. Food Chem. 2021, 363, 130296. [Google Scholar] [CrossRef] [PubMed]
- Sipos, L.; Orbán, C.; Bálint, I.; Csambalik, L.; Divéky-Ertsey, A.; Gere, A. Colour Parameters as Indicators of Lycopene and Antioxidant Activity Traits of Cherry Tomatoes (Solanum lycopersicum L.). Eur. Food Res. Technol. 2017, 243, 1533–1543. [Google Scholar] [CrossRef]





| # | RI | Compound Name | Formula | CAS | MW | ID (%) | Odour Characteristic |
|---|---|---|---|---|---|---|---|
| 1 | 692 | 3-methyl-2-butenal | C5H8O | 107-86-8 | 84.1 | 85.2 | 1 sweet, fruity, “green” hazelnut fragrance with cherry |
| 2 | 806 | 1-hexanal | C6H12O | 66-25-1 | 100.1 | 98.9 | 1 freshly cut grass, wood, citrus (“green” aroma group) |
| 3 | 814 | 2-hexenal | C6H10O | 505-57-7 | 98.1 | 91.8 | 1 fruity, fresh, friss, green herb, yeasty |
| 4 | 814 | (E)-2-hexenal | C6H10O | 6728-26-3 | 98.1 | 97.8 | 2 fresh green aroma, grape |
| 5 | 861 | (E)-3-hexen-1-ol | C6H12O | 928-96-1 | 100.1 | 92.0 | 1 fresh, raw fruity |
| 6 | 860 | 1-hexanol | C6H14O | 111-27-3 | 102.1 | 94.4 | 1 fruity, apple peel and oil |
| 7 | 913 | (Z)-4-heptenal | C7H12O | 6728-31-0 | 112.1 | 84.9 | |
| 8 | 905 | heptanal | C7H14O | 111-71-7 | 114.1 | 91.8 | |
| 9 | 822 | (E,E)-2,4-hexadienal | C6H8O | 142-83-6 | 96.1 | 91.6 | 1 sweetish, green, waxy, aldehydic |
| 10 | 913 | (E)-2-heptenal | C7H12O | 18829-55-5 | 112.1 | 90.2 | |
| 11 | 938 | 6-methyl-5-hepten-2-one | C8H14O | 110-93-0 | 126.1 | 96.2 | 1 musty, apple, banana, green bean |
| 12 | 1120 | (E,E)-2,4-nonadienal | C9H14O | 5910-87-2 | 138.1 | 88.4 | 1 cucumber scent |
| 13 | 868 | 3(E)-3-ethyl-2-methyl-hexa-1,3-diene | C9H16 | 61142-36-7 | 124.1 | 84.5 | |
| 14 | 1067 | 2-isobutylthiazole | C7H11NS | 18640-74-9 | 141.1 | 95.3 | 2 spicy tomato characteristic |
| 15 | 1081 | phenylacetaldehyde | C8H8O | 122-78-1 | 120.1 | 90.4 | 1 flower, honey, tobacco, tropical fruity |
| 16 | 905 | 1-vinyl-2,3-4,5-diepoxycyclohexane | C8H10O2 | 53966-43-1 | 138.1 | 85.4 | |
| 17 | 1228 | (2E)-2,7-dimethyl-2,6-octadien-1-ol | C10H18O | 22410-74-8 | 154.1 | 85.1 | |
| 18 | 1013 | (E)-2-octenal | C8H14O | 2548-87-0 | 126.1 | 95.0 | 2 waxy, green, leafy and mouldy |
| 19 | n.d. | 1-oxacyclopropyl-3,4-epoxycyclohexane | C8H12O2 | 2000054-27-0 | 140.1 | 87.4 | |
| 20 | n.d. | (E)-carveol | C10H16O | 99-48-9 | 152.1 | 85.4 | |
| 21 | n.d. | 4-methylbenzaldehyde | C8H8O | 104-87-0 | 120.1 | 80.0 | |
| 22 | 1174 | (Z)-citral | C10H16O | 106-26-3 | 152.1 | 85.0 | |
| 23 | 1090 | 1-hydroxy-2-methoxy-benzene | C7H8O2 | 90-05-1 | 124.1 | 93.2 | 1 woody, smoky, phenolic, bacon |
| 24 | 1228 | 2(E)-2,7-dimethyl-2,6-octadien-1-ol | C10H18O | 22410-74-8 | 154.1 | 82.4 | |
| 25 | 869 | 7-methyl-3-octyne | C9H16 | 37050-06-9 | 124.1 | 84.6 | |
| 26 | 1136 | benzeneethanol | C8H10O | 60-12-8 | 122.1 | 93.7 | 1 mushroom and rose blossom, with a sweetish scent |
| 27 | 1138 | benzyl nitrile | C8H7N | 140-29-4 | 117.1 | 85.1 | |
| 28 | 1128 | limonene dioxide | C10H16O2 | 96-08-2 | 168.1 | 85.3 | |
| 29 | 1136 | verbenol | C10H16O | 473-67-6 | 152.1 | 80.4 | |
| 30 | 1212 | (Z)-4-decen-1-al | C10H18O | 21662-09-9 | 154.1 | 87.2 | |
| 31 | 1266 | 2-decen-1-ol | C10H20O | 18409-18-2 | 156.2 | 88.8 | |
| 32 | n.d. | beta-pinene | C10H16 | 127-91-3 | 136.1 | 82.4 | 1 fresh pine, resinous, slightly spicy, camphorous scent |
| 33 | 964 | 3,10-dioxatricyclo[4.3.1.0(2,4)]dec-7-ene | C8H10O2 | 2000050-41-5 | 138.1 | 82.7 | |
| 34 | 1204 | 1,3,4-trimethyl-3-cyclohexen-1-carboxaldehyde | C10H16O | 40702-26-9 | 152.1 | 91.6 | |
| 35 | 1215 | 3-methyl-3-(4-methyl-3-pentenyl)-2-oxiranecarbaldehyde | C10H16O2 | 16996-12-6 | 168.1 | 85.7 | |
| 36 | 1174 | (2Z)-3,7-dimethyl-2,6-octadienal | C10H16O | 106-26-3 | 152.1 | 91.2 | |
| 37 | n.d. | (E)-2-decenal | C10H18O | 3913-81-3 | 154.1 | 82.4 | 1 waxy, earthy, coriander and mushroom with a chicken and pork fat scent |
| 38 | 1174 | (E)-citral | C10H16O | 141-27-5 | 152.1 | 90.3 | |
| 39 | n.d. | (E,Z)-2,4-decadienal | C10H16O | 25152-83-4 | 152.1 | 87.4 | 1 herbal leaves and vegetable character |
| 40 | n.d. | 2-phenylnitroethane | C8H9NO2 | 2000074-00-7 | 151.1 | 85.5 | |
| 41 | 904 | 2H-1b,4-ethanopentaleno[1,2-b]oxirene,hexahydro-, (1aa,1bb,4b,4aa,5aa)- (9CI) | C10H14O | 117221-80-4 | 150.1 | 92.8 | |
| 42 | 1418 | (E,E)-2,4-dodecadienal | C12H20O | 21662-16-8 | 180.2 | 86.2 | 1 green, plant, waxy and aldehydic scent |
| 43 | 1331 | isobutyl 3-hydroxy-2,2,4-trimethylpentanoate | C12H24O3 | 244074-78-0 | 216.2 | 81.5 | |
| 44 | 1331 | 2,2,4-trimethyl-3-hydroxypentyl isobutyrate | C12H24O3 | 74367-34-3 | 216.2 | 82.7 | |
| 45 | 1249 | R-limonene | C10H16O3 | 2000154-07-9 | 184.1 | 80.9 | |
| 46 | 1696 | 6(E),11(E)-6,11-tridecadienyl acetate | C15H26O2 | 2000319-55-7 | 238.2 | 81.5 | |
| 47 | 1326 | 2-(1-formylvinyl)-5-methylcyclopentanecarbaldehyde | C10H14O2 | 5951-57-5 | 166.1 | 84.5 | |
| 48 | 1381 | hexyl caproate | C12H24O2 | 6378-65-0 | 200.2 | 80.0 | 1 sweet, fruity, with tropical character |
| 49 | 1309 | 7-oxooctanoic acid | C8H14O3 | 14112-98-2 | 158.1 | 83.2 | |
| 50 | 1792 | 1,2-15,16-diepoxyhexadecane | C16H30O2 | 2000371-25-6 | 254.1 | 80.7 | |
| 51 | n.d. | 2(E)-3,7-dimethyl-2,6-octadien-1-ol | C10H18O | 624-15-7 | 154.1 | 83.8 | |
| 52 | 1507 | caryophyllene oxide | C15H24O | 1139-30-6 | 220.2 | 85.3 | 2 woody, forest-like scent |
| 53 | 1420 | geranyl acetone | C13H22O | 3796-70-1 | 194.2 | 92.4 | 1 floral, fruity, apple, banana |
| 54 | 1457 | beta-cyclocitrylideneacetone | C13H20O | 14901-07-6 | 192.2 | 93.3 | 1 woody, sweetish, fruity, berry-like |
| 55 | 1555 | 2,4-di-tert-butylphenol | C14H22O | 96-76-4 | 206.2 | 89.1 | |
| 56 | 1641 | 2-methyl-4-(2,6,6-trimethylcyclohex-1-enyl)but-2-en-1-ol | C14H24O | 62924-17-8 | 208.2 | 82.9 | |
| 57 | 1428 | (E,Z)-6,10-dimethyl-3,5,9-undecatrien-2-one | C13H20O | 13927-47-4 | 192.2 | 86.0 | |
| 58 | 1733 | 3-hydroxydodecanoic acid | C12H24O3 | 1883-13-2 | 216.2 | 80.0 | |
| 59 | 1752 | 4(E)-1,5,9-trimethyl-1-vinyl-4,8-decadienyl formate | C16H26O2 | 2000358-23-1 | 250.2 | 81.7 | |
| 60 | n.d. | unknown1 | found in all tomato samples with different intensity values | ||||
| 61 | n.d. | unknown2 | |||||
| 62 | n.d. | unknown3 | |||||
| 63 | n.d. | unknown4 | |||||
| 64 | n.d. | unknown5 | |||||
| RT (Min) | Validated Compound Name | Formula | Molecular Weight | Molecular Ion 5 eV |
|---|---|---|---|---|
| 3.8 | hexanal | C6H12O | 100.1 | 100.1 |
| 5.3 | 2-hexenal | C6H10O | 98.1 | 98.1 |
| 7.4 | (E,E)-2,4-hexadienal | C6H8O | 96.1 | 96.1 |
| 11.2 | 6-methyl-5-heptene-2-one | C8H14O | 126.1 | 126.1 |
| 13.1 | (3E)-3-ethyl-2-methyl-hexa-1,3-diene | C9H16 | 124.1 | 124.1 |
| 13.2 | 2-isobutylthiazole | C7H11NS | 141.1 | 141.2 |
| 13.7 | phenylacetaldehyde | C8H8O | 120.1 | 120.9 |
| 15.5 | 4-methylbenzaldehyde | C8H8O | 120.1 | 119.9 |
| 16.0 | guaiacol | C7H8O2 | 124.1 | 124.0 |
| 16.9 | 7-methyl-3-octyne | C9H16 | 124.1 | 124.0 |
| 17.2 | 1-phenyl-2ethanol | C8H10O | 122.1 | 122.0 |
| 18.4 | phenylacetonitrile | C8H7N | 117.1 | 117.1 |
| 21.8 | beta-pinene | C10H16 | 136.1 | 135.9 |
| 22.2 | 1,3,4-trimethyl-3-cyclohexenyl-1-carboxaldehyde | C10H16O | 152.1 | 152.1 |
| 24.4 | E-citral | C10H16O | 152.1 | 151.9 |
| 25.8 | 2H-1b,4-ethanopentaleno[1,2-b]oxirene, hexahydro-, (1a.alpha.,1b.beta.,4.beta.,4a.alpha.,5a.alpha.) | C10H14O | 150.1 | 151.1 |
| 29.7 | geranyl acetone | C13H22O | 194.2 | 194.1 |
| 30.0 | deisopropylatrazine | C5H8ClN | 173.0 | 173.0 |
| 30.3 | beta-ionone | C13H20O | 192.2 | 192.0 |
| 30.9 | 2,4-di-tert-butylphenol | C14H22O | 206.2 | 206.0 |
| 32.0 | (3E,5Z)-6,10-dimethylundeca-3,5,9-trien-2-one | C13H20O | 192.2 | 192.0 |
Disclaimer/Publisher’s Note: The statements, opinions and data contained in all publications are solely those of the individual author(s) and contributor(s) and not of MDPI and/or the editor(s). MDPI and/or the editor(s) disclaim responsibility for any injury to people or property resulting from any ideas, methods, instructions or products referred to in the content. |
© 2024 by the authors. Licensee MDPI, Basel, Switzerland. This article is an open access article distributed under the terms and conditions of the Creative Commons Attribution (CC BY) license (https://creativecommons.org/licenses/by/4.0/).
Share and Cite
Radványi, D.; Csambalik, L.; Szakál, D.; Gere, A. Identification of Cherry Tomato Volatiles Using Different Electron Ionization Energy Levels. Molecules 2024, 29, 5567. https://doi.org/10.3390/molecules29235567
Radványi D, Csambalik L, Szakál D, Gere A. Identification of Cherry Tomato Volatiles Using Different Electron Ionization Energy Levels. Molecules. 2024; 29(23):5567. https://doi.org/10.3390/molecules29235567
Chicago/Turabian StyleRadványi, Dalma, László Csambalik, Dorina Szakál, and Attila Gere. 2024. "Identification of Cherry Tomato Volatiles Using Different Electron Ionization Energy Levels" Molecules 29, no. 23: 5567. https://doi.org/10.3390/molecules29235567
APA StyleRadványi, D., Csambalik, L., Szakál, D., & Gere, A. (2024). Identification of Cherry Tomato Volatiles Using Different Electron Ionization Energy Levels. Molecules, 29(23), 5567. https://doi.org/10.3390/molecules29235567

