Cajaninstilbene Acid and Its Derivative as Multi-Therapeutic Agents: A Comprehensive Review
Abstract
1. Introduction
2. Pharmacological Activities
2.1. Pharmacokinetic Characteristics and Metabolism of CSA
2.2. Antitumor Activity
2.2.1. Antitumor Activity of CSA
2.2.2. Antitumor Activity of CSA Derivatives
Antitumor Activity of Natural Derivatives of CSA
2.3. Systematic Effects and Organ Protection
2.3.1. Neurological Related Diseases
2.3.2. Cardiocerebral Vascular System Protection
2.3.3. Cartilage Protection
2.3.4. Immunoregulation
2.3.5. Liver Protection
2.4. Activity Against Pathogenic Microorganisms
2.4.1. Antibacterial Activity
Antibacterial Activity of CSA and Its Natural Derivatives
Antibacterial Activity of Synthetic CSA Derivatives
2.4.2. Antiviral Activity
2.4.3. Antimalarial Activity
2.5. Anti-Inflammatory Activity
2.6. Antioxidant Activity
3. Structure–Activity Relationships (SARs) of CSA
3.1. Studies on the SARs of Antitumor Activity
3.2. Study of the SARs of Antibacterial Activity
3.3. Studies on the SARs of Antiviral Activity
3.4. Studies on the SARs of Anti-Inflammatory Activity
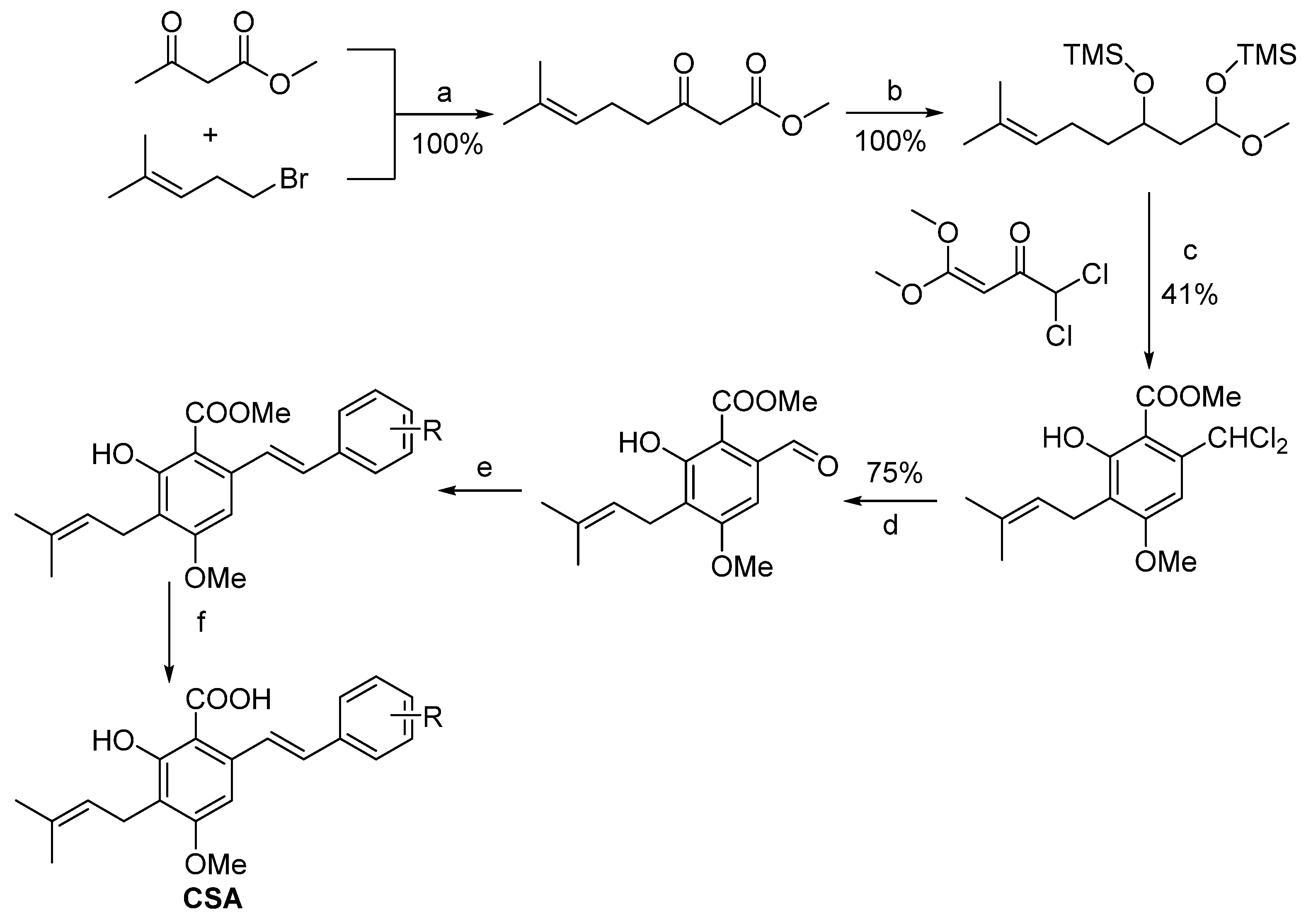
4. Total Synthesis of CSA
5. Conclusions and Discussion
Author Contributions
Funding
Institutional Review Board Statement
Informed Consent Statement
Data Availability Statement
Conflicts of Interest
References
- Chen, X.; Varghese, S.; Zhang, Z.; Du, J.; Ruan, B.; Baell, J.B.; Liu, X. Drug discovery and optimization based on the co-crystal structure of natural product with target. Eur. J. Med. Chem. 2024, 266, 116126. [Google Scholar] [CrossRef] [PubMed]
- Hou, W.; Huang, L.; Huang, H.; Liu, S.; Dai, W.; Tang, J.; Chen, X.; Lu, X.; Zheng, Q.; Zhou, Z.; et al. Bioactivities and Mechanisms of Action of Sinomenine and Its Derivatives: A Comprehensive Review. Molecules 2024, 29, 540. [Google Scholar] [CrossRef] [PubMed]
- Newman, D.J.; Cragg, G.M. Natural Products as Sources of New Drugs over the Nearly Four Decades from 01/1981 to 09/2019. J. Nat. Prod. 2020, 83, 770–803. [Google Scholar] [CrossRef] [PubMed]
- Fridlender, M.; Kapulnik, Y.; Koltai, H. Plant derived substances with anti-cancer activity: From folklore to practice. Front. Plant Sci. 2015, 6, 799. [Google Scholar] [CrossRef]
- Li, X.; Sheng, W.; Dong, Q.; Huang, R.; Dong, R.; Liu, G.; Ding, X.; Zhang, J. Analysis of seed production and seed shattering in a new artificial grassland forage: Pigeon pea. Front. Plant Sci. 2023, 14, 1146398. [Google Scholar] [CrossRef]
- Chalasani, D.; Basu, A.; Pullabhotla, S.; Jorrin, B.; Neal, A.L.; Poole, P.S.; Podile, A.R.; Tkacz, A. Poor Competitiveness of Bradyrhizobium in Pigeon Pea Root Colonization in Indian Soils. mBio 2021, 12, e0042321. [Google Scholar] [CrossRef]
- Jorrin, B.; Maluk, M.; Atoliya, N.; Kumar, S.C.; Chalasani, D.; Tkacz, A.; Singh, P.; Basu, A.; Pullabhotla, S.V.; Kumar, M.; et al. Genomic Diversity of Pigeon Pea (Cajanus cajan L. Millsp.) Endosymbionts in India and Selection of Potential Strains for Use as Agricultural Inoculants. Front. Plant Sci. 2021, 12, 680981. [Google Scholar] [CrossRef] [PubMed]
- Dinore, J.M.; Farooqui, M. GC-MS and LC-MS: An integrated approach towards the phytochemical evaluation of methanolic extract of Pigeon Pea [Cajanus cajan (L.) Millsp] leaves. Nat. Prod. Res. 2022, 36, 2177–2181. [Google Scholar] [CrossRef]
- Abebe, B. The Dietary Use of Pigeon Pea for Human and Animal Diets. Sci. World J. 2022, 2022, 4873008. [Google Scholar]
- Pal, D.; Mishra, P.; Sachan, N.; Ghosh, A. Biological activities and medicinal properties of Cajanus cajan (L) Millsp. J. Adv. Pharm. Technol. Res. 2011, 2, 207. [Google Scholar] [CrossRef]
- SP, A. The Useful Plants of India, 4th ed.; National Institute of Science Communication: New Delhi, India, 2004; pp. 94–95. [Google Scholar]
- Abbiw, D.K. Useful plants of Ghana: West African uses of wild and cultivated plants. In Useful Plants of Ghana West African Uses of Wild & Cultivated Plants; Practical Action Publishing: Warwickshire, UK, 1995. [Google Scholar]
- Ruan, C.-J.; Si, J.-Y.; Zhang, L.; Chen, D.-H.; Du, G.-H.; Sun, L. Protective effect of stilbenes containing extract-fraction from Cajanus cajan L. on Aβ25–35-induced cognitive deficits in mice. Neurosci. Lett. 2009, 467, 159–163. [Google Scholar] [CrossRef] [PubMed]
- Wu, N.; Fu, K.; Fu, Y.-J.; Zu, Y.-G.; Chang, F.-R.; Chen, Y.-H.; Liu, X.-L.; Kong, Y.; Liu, W.; Gu, C.-B. Antioxidant Activities of Extracts and Main Components of Pigeonpea [Cajanus cajan (L.) Millsp.] Leaves. Molecules 2009, 14, 1032–1043. [Google Scholar] [CrossRef] [PubMed]
- Ji, X.-Y.; Chen, J.-H.; Zheng, G.-H.; Huang, M.-H.; Zhang, L.; Yi, H.; Jin, J.; Jiang, J.-D.; Peng, Z.-G.; Li, Z.-R. Design and Synthesis of Cajanine Analogues against Hepatitis C Virus through Down-Regulating Host Chondroitin Sulfate N-Acetylgalactosaminyltransferase 1. J. Med. Chem. 2016, 59, 10268–10284. [Google Scholar] [CrossRef]
- Liang, L.; Luo, M.; Fu, Y.; Zu, Y.; Wang, W.; Gu, C.; Zhao, C.; Li, C.; Efferth, T. Cajaninstilbene acid (CSA) exerts cytoprotective effects against oxidative stress through the Nrf2-dependent antioxidant pathway. Toxicol. Lett. 2013, 219, 254–261. [Google Scholar] [CrossRef]
- Özenver, N.; Kadioglu, O.; Fu, Y.; Efferth, T. Kinome-Wide Profiling Identifies Human WNK3 as a Target of Cajanin Stilbene Acid from Cajanus cajan (L.) Millsp. Int. J. Mol. Sci. 2022, 23, 1506. [Google Scholar] [CrossRef] [PubMed]
- Chang, H.-Y.; Wu, J.-R.; Gao, W.-Y.; Lin, H.-R.; Chen, P.-Y.; Chen, C.-I.; Wu, M.-J.; Yen, J.-H. The Cholesterol-Modulating Effect of Methanol Extract of Pigeon Pea (Cajanus cajan (L.) Millsp.) Leaves on Regulating LDLR and PCSK9 Expression in HepG2 Cells. Molecules 2019, 24, 493. [Google Scholar] [CrossRef]
- Li, B.-L.; Chen, J.-Y.; Hu, J.-J.; Fan, Y.-W.; Ao, Z.-Y.; Zhang, W.-J.; Lian, X.; Liang, H.-J.; Li, Q.-R.; Guan, X.-X.; et al. Three stilbenes from pigeon pea with promising anti-methicillin-resistant Staphylococcus aureus biofilm formation activity. Int. Microbiol. 2023, 27, 535–544. [Google Scholar] [CrossRef]
- Hua, X.; Fu, Y.-J.; Zu, Y.-G.; Wu, N.; Kong, Y.; Li, J.; Peng, X.; Efferth, T. Plasma pharmacokinetics and tissue distribution study of cajaninstilbene acid in rats by liquid chromatography with tandem mass spectrometry. J. Pharm. Biomed. Anal. 2010, 52, 273–279. [Google Scholar] [CrossRef]
- Hua, X.; Peng, X.; Tan, S.; Li, C.; Wang, W.; Luo, M.; Fu, Y.; Zu, Y.; Smyth, H. In Vitro Oxidative Metabolism of Cajaninstilbene Acid by Human Liver Microsomes and Hepatocytes: Involvement of Cytochrome P450 Reaction Phenotyping, Inhibition, and Induction Studies. J. Agric. Food Chem. 2014, 62, 10604–10614. [Google Scholar] [CrossRef]
- Wang, L.; Wang, Z.; Xia, T.; Cao, F.; Ye, L.; Pan, R.; Jin, S.; Yan, M.; Chang, Q. Absorption, Metabolism, and Excretion of Cajaninstilbene Acid. J. Agric. Food Chem. 2021, 69, 2129–2137. [Google Scholar] [CrossRef]
- Wang, L.-S.; Tao, X.; Pan, R.-L.; Cao, F.-R.; Feng, L.; Liao, Y.-H.; Liu, X.-M.; Chang, Q. Pharmacokinetics of Cajaninstilbene Acid and Its Main Glucuronide Metabolite in Rats. J. Agric. Food Chem. 2017, 65, 4066–4073. [Google Scholar] [CrossRef] [PubMed]
- Fu, Y.; Kadioglu, O.; Wiench, B.; Wei, Z.; Wang, W.; Luo, M.; Yang, X.; Gu, C.; Zu, Y.; Efferth, T. Activity of the antiestrogenic cajanin stilbene acid towards breast cancer. J. Nutr. Biochem. 2015, 26, 1273–1282. [Google Scholar] [CrossRef]
- Fu, Y.; Kadioglu, O.; Wiench, B.; Wei, Z.; Gao, C.; Luo, M.; Gu, C.; Zu, Y.; Efferth, T. Cell cycle arrest and induction of apoptosis by cajanin stilbene acid from Cajanus cajan in breast cancer cells. Phytomedicine 2015, 22, 462–468. [Google Scholar] [CrossRef] [PubMed]
- Schuster, R.; Holzer, W.; Doerfler, H.; Weckwerth, W.; Viernstein, H.; Okonogi, S.; Mueller, M. Cajanus cajan—A source of PPARγ activators leading to anti-inflammatory and cytotoxic effects. Food Funct. 2016, 7, 3798–3806. [Google Scholar] [CrossRef]
- Kadioglu, O.; Fu, Y.; Wiench, B.; Zu, Y.; Efferth, T. Synthetic cajanin stilbene acid derivatives inhibit c-MYC in breast cancer cells. Arch. Toxicol. 2015, 90, 575–588. [Google Scholar] [CrossRef] [PubMed]
- En-Nian, L.I.; Juan, Z.; Hai-Bo, T.; Xiao-Ling, S.; Ying-Jie, H.U. Methoxylation of the Stilbenes Originated from Leaves of Cajanus cajan and Their Anti-tumor Activities in vitro. J. Trop. Subtrop. Bot. 2019, 27, 115–120. [Google Scholar]
- Ji, X.-Y.; Xue, S.-T.; Zheng, G.-H.; Han, Y.-X.; Liu, Z.-Y.; Jiang, J.-D.; Li, Z.-R. Total synthesis of cajanine and its antiproliferative activity against human hepatoma cells. Acta Pharm. Sin. B 2011, 1, 93–99. [Google Scholar] [CrossRef][Green Version]
- Ashidi, J.S.; Houghton, P.J.; Hylands, P.J.; Efferth, T. Ethnobotanical survey and cytotoxicity testing of plants of South-western Nigeria used to treat cancer, with isolation of cytotoxic constituents from Cajanus cajan Millsp. leaves. J. Ethnopharmacol. 2010, 128, 501–512. [Google Scholar] [CrossRef]
- Niwa, Y.; Kanda, H.; Shikauchi, Y.; Saiura, A.; Matsubara, K.; Kitagawa, T.; Yamamoto, J.; Kubo, T.; Yoshikawa, H.J.O. Methylation silencing of SOCS-3 promotes cell growth and migration by enhancing JAK/STAT and FAK signalings in human hepatocellular carcinoma. Oncogene 2005, 24, 6406–6417. [Google Scholar] [CrossRef]
- Varier, K.M.; Dan, G.; Liu, W.; Wu, G.; Xiao, C.; Lei, H.; Ling, T.; Jiang, Y.; Chen, Y.; Ben-David, Y.; et al. Stilbene B10 induces apoptosis and tumor suppression in lymphoid Raji cells by BTK-mediated regulation of the KRAS/HDAC1/EP300/PEBP1 axis. Biomed. Pharmacother. 2022, 156, 113887. [Google Scholar] [CrossRef]
- Fujita, T.; Lin, J.; Kimishima, A.; Arai, M.; Takikawa, H.; Ogura, Y. Synthesis and biological evaluation of cajaninstilbene acid and amorfrutins A-D as cytotoxic agents against human pancreatic carcinoma PANC-1 cells. Biosci. Biotech. Bioch. 2022, 86, 590–595. [Google Scholar] [CrossRef] [PubMed]
- Nolan, E.; Lindeman, G.J.; Visvader, J.E. Deciphering breast cancer: From biology to the clinic. Cell 2023, 186, 1708–1728. [Google Scholar] [CrossRef] [PubMed]
- Shao, H.Y.; Hao, B.T.; Gao, F.X. The Association between ER, PR, HER2, and ER-/PR+ Expression and Lung Cancer Subsequent in Breast Cancer Patients: A Retrospective Cohort Study Based on SEER Database. Breast J. 2023, 2023, 7028189. [Google Scholar] [CrossRef]
- Carroll, J.S.; Brown, M. Estrogen Receptor Target Gene: An Evolving Concept. Mol. Endocrinol. 2006, 20, 1707–1714. [Google Scholar] [CrossRef]
- Li, Y.; Meeran, S.M.; Patel, S.N.; Chen, H.; Tollefsbol, T.O. Epigenetic reactivation of estrogen receptor-α (ERα) by genistein enhances hormonal therapy sensitivity in ERα-negative breast cancer. Mol. Cancer 2013, 12, 9. [Google Scholar] [CrossRef] [PubMed]
- Chimento, A.; De Luca, A.; Avena, P.; De Amicis, F.; Casaburi, I.; Sirianni, R.; Pezzi, V. Estrogen Receptors-Mediated Apoptosis in Hormone-Dependent Cancers. Int. J. Mol. Sci. 2022, 23, 1242. [Google Scholar] [CrossRef]
- Akhter, N.; Akhtar, M.S.; Ahmad, M.M.; Haque, S.; Siddiqui, S.; Hasan, S.I.; Shukla, N.K.; Husain, S.A. Association of mutation and hypermethylation of p21 gene with susceptibility to breast cancer: A study from north India. Mol. Biol. Rep. 2014, 41, 2999–3007. [Google Scholar] [CrossRef]
- Sun, J.; Chu, F.; Pan, J.; Zhang, Y.; Yao, L.; Chen, J.; Hu, L.; Zhang, J.; Xu, Y.; Wang, X.; et al. BRCA-CRisk: A Contralateral Breast Cancer Risk Prediction Model for BRCA Carriers. J. Clin. Oncol. 2023, 41, 991–999. [Google Scholar] [CrossRef]
- Verburgh, E.; Antel, K. Approach to lymphoma diagnosis and management in South Africa. SAMJ S. Afr. Med. J. 2019, 109, 715–718. [Google Scholar] [CrossRef]
- Cai, J.Z.; Tang, R.; Ye, G.F.; Qiu, S.X.; Zhang, N.L.; Hu, Y.J.; Shen, X.L. A Halogen-Containing Stilbene Derivative from the Leaves of Cajanus cajan that Induces Osteogenic Differentiation of Human Mesenchymal Stem Cells. Molecules 2015, 20, 10839–10847. [Google Scholar] [CrossRef]
- Elster, D.; Jaenicke, L.A.; Eilers, M.; von Eyss, B. TEAD activity is restrained by MYC and stratifies human breast cancer subtypes. Cell Cycle 2016, 15, 2551–2556. [Google Scholar] [CrossRef] [PubMed]
- Fatma, H.; Maurya, S.K.; Siddique, H.R. Epigenetic modifications of c-MYC: Role in cancer cell reprogramming, progression and chemoresistance. Semin. Cancer Biol. 2022, 83, 166–176. [Google Scholar] [CrossRef] [PubMed]
- Camarda, R.; Williams, J.; Goga, A. In vivo Reprogramming of Cancer Metabolism by MYC. Front. Cell Dev. Biol. 2017, 5, 35. [Google Scholar] [CrossRef] [PubMed]
- Dhanasekaran, R.; Deutzmann, A.; Mahauad-Fernandez, W.D.; Hansen, A.S.; Gouw, A.M.; Felsher, D.W. The MYC oncogene—The grand orchestrator of cancer growth and immune evasion. Nat. Rev. Clin. Oncol. 2022, 19, 23–36. [Google Scholar] [CrossRef] [PubMed]
- Gao, F.Y.; Li, X.T.; Xu, K.; Wang, R.T.; Guan, X.X. c-MYC mediates the crosstalk between breast cancer cells and tumor microenvironment. Cell Commun. Signal. 2023, 21, 28. [Google Scholar] [CrossRef]
- Llombart, V.; Mansour, M.R. Therapeutic targeting of “undruggable” MYC. EBioMedicine 2022, 75, 103756. [Google Scholar] [CrossRef]
- Hung, Y.C.; Chang, W.C.; Chen, L.M.; Chang, Y.Y.; Wu, L.Y.; Chung, W.M.; Lin, T.Y.; Chen, L.C.; Ma, W.L. Non-genomic estrogen/estrogen receptor α promotes cellular malignancy of immature ovarian teratoma in vitro. J. Cell Physiol. 2014, 229, 752–761. [Google Scholar] [CrossRef]
- Zhou, B.B.; Zhang, H.; Damelin, M.; Geles, K.G.; Grindley, J.C.; Dirks, P.B. Tumour-initiating cells: Challenges and opportunities for anticancer drug discovery. Nat. Rev. Drug Discov. 2009, 8, 806–823. [Google Scholar] [CrossRef]
- Sengupta, A.; Cancelas, J.A. Cancer stem cells: A stride towards cancer cure? J. Cell Physiol. 2010, 225, 7–14. [Google Scholar] [CrossRef]
- Brown, J.M.; Giaccia, A.J. The unique physiology of solid tumors: Opportunities (and problems) for cancer therapy. Cancer Res. 1998, 58, 1408–1416. [Google Scholar]
- Green, S.K.; Frankel, A.; Kerbel, R.S. Adhesion-dependent multicellular drug resistance. Anticancer Drug Des. 1999, 14, 153–168. [Google Scholar] [PubMed]
- Borovski, T.; De Sousa, E.M.F.; Vermeulen, L.; Medema, J.P. Cancer stem cell niche: The place to be. Cancer Res. 2011, 71, 634–639. [Google Scholar] [CrossRef] [PubMed]
- Seo, E.-J.; Wiench, B.; Hamm, R.; Paulsen, M.; Zu, Y.; Fu, Y.; Efferth, T. Cytotoxicity of natural products and derivatives toward MCF-7 cell monolayers and cancer stem-like mammospheres. Phytomedicine 2015, 22, 438–443. [Google Scholar] [CrossRef]
- Lei, Z.; Si-Tu, X.; Hai-Lun, J.; Xing-Yue, J.I.; Rui, L.; Zhuo-Rong, L.I. Synthesis and antitumor activity evaluation of cajaninstilbene acid derivatives. Chin. J. Med. Chem. 2019, 29, 1–9. [Google Scholar]
- Ban, Y.H.; Park, D.; Choi, E.K.; Kim, T.M.; Joo, S.S.; Kim, Y.B. Effectiveness of Combinational Treatments for Alzheimer’s Disease with Human Neural Stem Cells and Microglial Cells Over-Expressing Functional Genes. Int. J. Mol. Sci. 2023, 24, 9561. [Google Scholar] [CrossRef]
- Wilcock, G.K.; Esiri, M.M.; Bowen, D.M.; Smith, C.C.T. Alzheimer’s disease. Correlation of cortical choline acetyltransferase activity with the severity of dementia and histological abnormalities. J. Neurol. Sci. 1982, 57, 407–417. [Google Scholar] [CrossRef] [PubMed]
- Moorthy, K.; Sharma, D.; Basir, S.F.; Baquer, N.Z. Administration of estradiol and progesterone modulate the activities of antioxidant enzyme and aminotransferases in naturally menopausal rats. Exp. Gerontol. 2005, 40, 295–302. [Google Scholar] [CrossRef] [PubMed]
- Naik, S.; Katariya, R.; Shelke, S.; Patravale, V.; Umekar, M.; Kotagale, N.; Taksande, B. Nattokinase prevents β-amyloid peptide (Aβ(1-42)) induced neuropsychiatric complications, neuroinflammation and BDNF signalling disruption in mice. Eur. J. Pharmacol. 2023, 952, 175821. [Google Scholar] [CrossRef]
- Zhao, Y.; Zheng, Q.; Hong, Y.; Gao, Y.; Hu, J.; Lang, M.; Zhang, H.; Zhou, Y.; Luo, H.; Zhang, X.; et al. β(2)-Microglobulin coaggregates with Aβ and contributes to amyloid pathology and cognitive deficits in Alzheimer’s disease model mice. Nat. Neurosci. 2023, 26, 1170–1184. [Google Scholar] [CrossRef]
- Jiang, B.-P.; Liu, Y.-M.; Le, L.; Li, Z.-Y.; Si, J.-Y.; Liu, X.-M.; Chang, Q.; Pan, R.-L. Cajaninstilbene Acid Prevents Corticosterone-Induced Apoptosis in PC12 Cells by Inhibiting the Mitochondrial Apoptotic Pathway. Cell Physiol. Biochem. 2014, 34, 1015–1026. [Google Scholar] [CrossRef]
- Liu, Y.; Shen, S.; Li, Z.; Jiang, Y.; Si, J.; Chang, Q.; Liu, X.; Pan, R. Cajaninstilbene acid protects corticosterone-induced injury in PC12 cells by inhibiting oxidative and endoplasmic reticulum stress-mediated apoptosis. Neurochem. Internat. 2014, 78, 43–52. [Google Scholar] [CrossRef] [PubMed]
- Wang, L.-S.; Tao, X.; Liu, X.-M.; Zhou, Y.-F.; Zhang, M.-D.; Liao, Y.-H.; Pan, R.-L.; Chang, Q. Cajaninstilbene Acid Ameliorates Cognitive Impairment Induced by Intrahippocampal Injection of Amyloid-β1–42 Oligomers. Front. Pharmacol. 2019, 10, 1064. [Google Scholar] [CrossRef] [PubMed]
- Liu, L.; Wang, H.; Chen, X.; Zhang, Y.; Zhang, H.; Xie, P. Gut microbiota and its metabolites in depression: From pathogenesis to treatment. EBioMedicine 2023, 90, 104527. [Google Scholar] [CrossRef]
- Chai, Y.; Cai, Y.; Fu, Y.; Wang, Y.; Zhang, Y.; Zhang, X.; Zhu, L.; Miao, M.; Yan, T. Salidroside Ameliorates Depression by Suppressing NLRP3-Mediated Pyroptosis via P2X7/NF-κB/NLRP3 Signaling Pathway. Front. Pharmacol. 2022, 13, 812362. [Google Scholar] [CrossRef]
- Ali, M.; Lu, M.; Ang, H.X.; Soderquist, R.S.; Eyler, C.E.; Hutchinson, H.M.; Glass, C.; Bassil, C.F.; Lopez, O.M.; Kerr, D.L.; et al. Small-molecule targeted therapies induce dependence on DNA double-strand break repair in residual tumor cells. Sci. Transl. Med. 2022, 14, eabc7480. [Google Scholar] [CrossRef] [PubMed]
- Enari, M.; Sakahira, H.; Yokoyama, H.; Okawa, K.; Iwamatsu, A.; Nagata, S. A caspase-activated DNase that degrades DNA during apoptosis, and its inhibitor ICAD. Nature 1998, 391, 43–50. [Google Scholar] [CrossRef]
- Jiang, B.P.; Yang, R.W.; Liu, X.M.; Liu, Y.M.; Chang, Q.; Si, J.Y.; Pan, R.L. Neuroprotective effect of longistyline A against corticosterone-induced neurotoxicity in PC12 cells. Acta Pharm. Sin. B 2012, 47, 600–603. [Google Scholar]
- Choi, A.Y.; Kang, I. Apigenin protects HT22 murine hippocampal neuronal cells against ER stress-nduced apoptosis. FASEB J. 2009, 23, LB217. [Google Scholar]
- Zhang, M.-D.; Wang, L.-S.; Li, C.-C.; Tao, X.; Zhou, Y.-F.; Liu, X.-M.; Pan, R.-L.; Chang, Q. Antidepressant effects of cajaninstilbene acid on chronic unpredictable mild stress-induced depressive mice. Acta Lab. Anim. Sci. Sin. 2019, 27, 85–90. [Google Scholar]
- Bist, R.; Bhatt, D.K. Cholinergic Transporters Serve as Potential Targets in Alzheimer’s Disease. Curr. Mol. Med. 2024, 24, 397–398. [Google Scholar] [CrossRef]
- Dell’Osso, L.; Carmassi, C.; Mucci, F.; Marazziti, D. Depression, Serotonin and Tryptophan. Curr. Pharm. Des. 2016, 22, 949–954. [Google Scholar] [CrossRef] [PubMed]
- Gong, X.; Chang, R.; Zou, J.; Tan, S.; Huang, Z. The role and mechanism of tryptophan-kynurenine metabolic pathway in depression. Rev. Neurosci. 2023, 34, 313–324. [Google Scholar] [CrossRef]
- Chang, T.C.; Hsu, M.F.; Shih, C.Y.; Wu, K.K. 5-methoxytryptophan protects MSCs from stress induced premature senescence by upregulating FoxO3a and mTOR. Sci. Rep. 2017, 7, 11133. [Google Scholar] [CrossRef]
- Wu, Y.; Zhu, Z.; Lan, T.; Li, S.; Li, Y.; Wang, C.; Feng, Y.; Mao, X.; Yu, S. Levomilnacipran Improves Lipopolysaccharide-Induced Dysregulation of Synaptic Plasticity and Depression-Like Behaviors via Activating BDNF/TrkB Mediated PI3K/Akt/mTOR Signaling Pathway. Mol. Neurobiol. 2023, 61, 4102–4115. [Google Scholar] [CrossRef]
- Zhang, M.-D.; Tao, X.; Pan, R.-L.; Wang, L.-S.; Li, C.-C.; Zhou, Y.-F.; Liao, Y.-H.; Chen, S.-G.; Chang, Q.; Liu, X.-M. Antidepressant-like effects of cajaninstilbene acid and its related mechanisms in mice. Fitoterapia 2020, 141, 104450. [Google Scholar] [CrossRef]
- Paloczi, J.; Varga, Z.V.; Hasko, G.; Pacher, P. Neuroprotection in Oxidative Stress-Related Neurodegenerative Diseases: Role of Endocannabinoid System Modulation. Antioxid. Redox Signal. 2018, 29, 75–108. [Google Scholar] [CrossRef]
- Tonelli, C.; Chio, I.I.C.; Tuveson, D.A. Transcriptional Regulation by Nrf2. Antioxid. Redox Signal. 2018, 29, 1727–1745. [Google Scholar] [CrossRef]
- He, F.; Ru, X.; Wen, T. NRF2, a Transcription Factor for Stress Response and Beyond. Int. J. Mol. Sci. 2020, 21, 4777. [Google Scholar] [CrossRef]
- Xu, H.; Shen, J.; Xiao, J.; Chen, F.; Wang, M. Neuroprotective effect of cajaninstilbene acid against cerebral ischemia and reperfusion damages by activating AMPK/Nrf2 pathway. J. Adv. Res. 2021, 34, 199–210. [Google Scholar] [CrossRef]
- Hummelgaard, S.; Vilstrup, J.P.; Gustafsen, C.; Glerup, S.; Weyer, K. Targeting PCSK9 to tackle cardiovascular disease. Pharmacol. Ther. 2023, 249, 108480. [Google Scholar] [CrossRef]
- Katsiki, N.; Vrablik, M.; Banach, M.; Gouni-Berthold, I. Inclisiran, Low-Density Lipoprotein Cholesterol and Lipoprotein (a). Pharmaceuticals 2023, 16, 577. [Google Scholar] [CrossRef]
- Frampton, J.E. Inclisiran: A Review in Hypercholesterolemia. Am. J. Cardiovasc. Drugs 2023, 23, 219–230. [Google Scholar] [CrossRef]
- Gaba, P.; O’Donoghue, M.L.; Park, J.G.; Wiviott, S.D.; Atar, D.; Kuder, J.F.; Im, K.; Murphy, S.A.; De Ferrari, G.M.; Gaciong, Z.A.; et al. Association Between Achieved Low-Density Lipoprotein Cholesterol Levels and Long-Term Cardiovascular and Safety Outcomes: An Analysis of FOURIER-OLE. Circulation 2023, 147, 1192–1203. [Google Scholar] [CrossRef]
- Clifford, B.L.; Jarrett, K.E.; Cheng, J.; Cheng, A.; Seldin, M.; Morand, P.; Lee, R.; Chen, M.; Baldan, A.; de Aguiar Vallim, T.Q.; et al. RNF130 Regulates LDLR Availability and Plasma LDL Cholesterol Levels. Circ. Res. 2023, 132, 849–863. [Google Scholar] [CrossRef]
- Luo, Q.F.; Sun, L.; Si, J.Y.; Chen, D.H.; Du, G.H. Hypocholesterolemic effect of stilbene extract from Cajanus cajan L. on serum and hepatic lipid in diet-induced hyperlipidemic mice. Acta Pharm. Sin. B 2008, 15, 932–939. [Google Scholar]
- Luo, Q.F.; Sun, L.; Si, J.Y.; Chen, D.H. Hypocholesterolemic effect of stilbenes containing extract-fraction from Cajanus cajan L. on diet-induced hypercholesterolemia in mice. Phytomedicine 2008, 15, 932–939. [Google Scholar] [CrossRef]
- Liu, S.S.; Yu, T.; Qiao, Y.F.; Gu, S.X.; Chai, X.L. Research on Hepatocyte Regulation of PCSK9-LDLR and Its Related Drug Targets. Chin. J. Integr. Med. 2023, 30, 664–672. [Google Scholar] [CrossRef]
- Ma, M.; Hou, C.; Liu, J. Effect of PCSK9 on atherosclerotic cardiovascular diseases and its mechanisms: Focus on immune regulation. Front. Cardiovasc. Med. 2023, 10, 1148486. [Google Scholar] [CrossRef]
- Wang, Y.; Fang, D.; Yang, Q.; You, J.; Wang, L.; Wu, J.; Zeng, M.; Luo, M. Interactions between PCSK9 and NLRP3 inflammasome signaling in atherosclerosis. Front. Immunol. 2023, 14, 1126823. [Google Scholar] [CrossRef]
- Zhang, D.-M.; Li, Y.; Cheang, W.S.; Lau, C.W.; Lin, S.-M.; Zhang, Q.-L.; Yao, N.; Wang, Y.; Wu, X.; Huang, Y.; et al. Cajaninstilbene Acid Relaxes Rat Renal Arteries: Roles of Ca2+ Antagonism and Protein Kinase C-Dependent Mechanism. PLoS ONE 2012, 7, e47030. [Google Scholar] [CrossRef][Green Version]
- Rhee, J.; Freeman, R.; Roh, K.; Lyons, M.; Xiao, C.; Zlotoff, D.; Yeri, A.; Li, H.; Guerra, J.; Guseh, J.S.; et al. Cardioprotective and Anti-Inflammatory Effects of FAM3D in Myocardial Ischemia-Reperfusion Injury. Circ. Res. 2023, 133, 651–653. [Google Scholar] [CrossRef] [PubMed]
- Liu, Y.; Li, L.; Wang, Z.; Zhang, J.; Zhou, Z. Myocardial ischemia-reperfusion injury; Molecular mechanisms and prevention. Microvasc. Res. 2023, 149, 104565. [Google Scholar] [CrossRef] [PubMed]
- Liu, H.; Hu, G.; Pi, H.; Li, S.; Cao, M. Cajanine Protects H9c2 Cardiomyocytes against Hypoxia/Reoxygenation-Induced Apoptosis via Inhibiting Oxidative Stress and Mitochondrial Dysfunction. Lat. Am. J. Pharm. 2020, 39, 2471–2478. [Google Scholar]
- Lane, J.M.; Russell, L.; Khan, S.N. Osteoporosis. Clin. Orthop. Relat. Res. 2000, 372, 139–150. [Google Scholar] [CrossRef]
- Gopinath, V. Osteoporosis. Med. Clin. N. Am. 2023, 107, 213–225. [Google Scholar] [CrossRef]
- Zheng, Y.Y.; Yang, J.; Chen, D.H.; Sun, L. Effects of the stilbene extracts from Cajanus cajan L. on ovariectomy-induced bone loss in rats. Acta Pharm. Sin. 2007, 42, 562. [Google Scholar]
- Yuan, Z.Y.; Jing, Y.; Hua, C.D.; Lan, S. Effects of the extracts of Cajanus cajan L. on cell functions in human osteoblast-like TE85 cells and the derivation of osteoclast-like cells. Acta Pharm. Sin. 2007, 42, 386. [Google Scholar]
- Chang-He, L.; Hua-Ni, L.I.; Yan-Yan, W.; Wen-Jing, G.E.; Ran, H.; Jun, L.; Hong, L. Effects of the stilbene extracts from Cajanus cajan L. on retinoic acid induced osteoporosis in rats. Lishizhen Med. Mat. Med. Res. 2018. [Google Scholar]
- Boyce, B.F. Advances in the regulation of osteoclasts and osteoclast functions. J. Dent. Res. 2013, 92, 860–867. [Google Scholar] [CrossRef]
- Sun, Y.; Liu, Y.; He, W.; Wang, C.; Tickner, J.; Kuek, V.; Zhou, C.; Wang, H.; Zou, X.; Hong, Z.; et al. Cajaninstilbene acid inhibits osteoporosis through suppressing osteoclast formation and RANKL-induced signaling pathways. J. Cell. Physiol. 2018, 234, 11792–11804. [Google Scholar] [CrossRef]
- Wu, S.Y.; Fu, T.; Jiang, Y.Z.; Shao, Z.M. Natural killer cells in cancer biology and therapy. Mol. Cancer 2020, 19, 120. [Google Scholar] [CrossRef] [PubMed]
- Caligiuri, M.A. Human natural killer cells. Blood 2008, 112, 461–469. [Google Scholar] [CrossRef]
- Mah, A.Y.; Cooper, M.A. Metabolic Regulation of Natural Killer Cell IFN-γ Production. Crit. Rev. Immunol. 2016, 36, 131–147. [Google Scholar] [CrossRef]
- Seo, S.G.; Ahn, Y.J.; Jin, M.H.; Kang, N.G.; Cho, H.S. Curcuma longa enhances IFN-γ secretion by natural killer cells through cytokines secreted from macrophages. J. Food Sci. 2021, 86, 3492–3504. [Google Scholar] [CrossRef] [PubMed]
- Geng, J.; Wang, Y.; Zhang, L.; Wang, R.; Li, C.; Sheng, W.; Li, Z.; Jiang, M. The cajanine derivative LJ101019C regulates the proliferation and enhances the activity of NK cells via Kv1.3 channel-driven activation of the AKT/mTOR pathway. Phytomedicine 2020, 66, 153113. [Google Scholar] [CrossRef]
- Wu, K.; Lu, W.; Yan, X. Potential adverse actions of prenatal exposure of acetaminophen to offspring. Front. Pharmacol. 2023, 14, 1094435. [Google Scholar] [CrossRef] [PubMed]
- Zeng, Y.; Wu, R.; Wang, F.; Li, S.; Li, L.; Li, Y.; Qin, P.; Wei, M.; Yang, J.; Wu, J.; et al. Liberation of daidzein by gut microbial β-galactosidase suppresses acetaminophen-induced hepatotoxicity in mice. Cell Host Microbe 2023, 31, 766–780. [Google Scholar] [CrossRef]
- Qian, H.; Bai, Q.; Yang, X.; Akakpo, J.Y.; Ji, L.; Yang, L.; Rülicke, T.; Zatloukal, K.; Jaeschke, H.; Ni, H.M.; et al. Dual roles of p62/SQSTM1 in the injury and recovery phases of acetaminophen-induced liver injury in mice. Acta Pharm. Sin. B 2021, 11, 3791–3805. [Google Scholar] [CrossRef]
- Zhai, T.; Zhang, J.; Zhang, J.; Liu, B.; Zhou, Z.; Liu, F.; Wu, Y. Cathelicidin promotes liver repair after acetaminophen-induced liver injury in mice. JHEP Rep. 2023, 5, 100687. [Google Scholar] [CrossRef]
- Yan, M.; Jin, S.; Liu, Y.; Wang, L.; Wang, Z.; Xia, T.; Chang, Q. Cajaninstilbene Acid Ameliorates Acetaminophen-Induced Liver Injury Through Enhancing Sestrin2/AMPK-Mediated Mitochondrial Quality Control. Front. Pharmacol. 2022, 13, 824138. [Google Scholar] [CrossRef]
- Cooksey, C.J.; Dahiya, J.S.; Garratt, P.J.; Strange, R.N. Two novel stilbene-2-carboxylic acid phytoalexins from Cajanus cajan. Phytochemistry 1982, 21, 2935–2938. [Google Scholar] [CrossRef]
- Tian, F.; Li, B.; Ji, B.; Yang, J.; Zhang, G.; Chen, Y.; Luo, Y. Antioxidant and Antimicrobial Activities of Consecutive Extracts from Galla Chinensis: The Polarity Affects The Bioactivities. Food Chem. 2009, 113, 173–179. [Google Scholar] [CrossRef]
- Kong, Y.; Fu, Y.-J.; Zu, Y.-G.; Chang, F.-R.; Chen, Y.-H.; Liu, X.-L.; Stelten, J.; Schiebel, H.-M. Cajanuslactone, a new coumarin with anti-bacterial activity from pigeon pea [Cajanus cajan (L.) Millsp.] leaves. Food Chem. 2010, 121, 1150–1155. [Google Scholar] [CrossRef]
- Wu, J.; Li, B.; Xiao, W.; Hu, J.; Xie, J.; Yuan, J.; Wang, L. Longistylin A, a natural stilbene isolated from the leaves of Cajanus cajan, exhibits significant anti-MRSA activity. Int. J. Antimicrob. Agents 2020, 55, 105821. [Google Scholar] [CrossRef] [PubMed]
- Chen, J.Y.; Lian, X.; Fan, Y.W.; Ao, Z.Y.; Zhang, W.J.; Pan, Y.C.; Chen, L.P.; Yuan, J.; Wu, J.W. Four new stilbenes and one new flavonoid with potential antibacterial and anti-SARS-CoV-2 activity from Cajanus cajan. J. Nat. Med. 2023, 77, 858–866. [Google Scholar] [CrossRef]
- Lu, K.; Hou, W.; Xu, X.-F.; Chen, Q.; Li, Z.; Lin, J.; Chen, W.-M. Biological evaluation and chemoproteomics reveal potential antibacterial targets of a cajaninstilbene-acid analogue. Eur. J. Med. Chem. 2020, 188, 112026. [Google Scholar] [CrossRef]
- Yu, J.-H.; Xu, X.-F.; Hou, W.; Meng, Y.; Huang, M.-Y.; Lin, J.; Chen, W.-M. Synthetic cajaninstilbene acid derivatives eradicate methicillin-resistant Staphylococcus aureus persisters and biofilms. Eur. J. Med. Chem. 2021, 224, 113691. [Google Scholar] [CrossRef] [PubMed]
- Zheng, C.; Hou, W.; Liu, J.; Xu, X.F.; Lin, J.; Sun, P.H.; Chen, W.M. Design and synthesis of 2-hydroxyl-4-methoxyl-3-(3-methylbut-2-en-1-yl)-6-(4-phenylbenzoylamino)benzoic acid derivatives as antibacterial agents based on cajaninstilbene acid scaffold hopping. Drug Develop. Res. 2019, 80, 750–757. [Google Scholar] [CrossRef]
- Huang, Z.-X.; Yu, J.-H.; Xu, X.-J.; Xu, X.-F.; Zeng, T.; Lin, J.; Chen, W.-M. Cajaninstilbene acid analogues as novel quorum sensing and biofilm inhibitors of Pseudomonas aeruginosa. Microb. Pathog. 2020, 148, 104414. [Google Scholar] [CrossRef]
- Xu, X.-J.; Zeng, T.; Huang, Z.-X.; Xu, X.-F.; Lin, J.; Chen, W.-M. Synthesis and Biological Evaluation of Cajaninstilbene Acid and Amorfrutins A and B as Inhibitors of the Pseudomonas aeruginosa Quorum Sensing System. J. Nat. Prod. 2018, 81, 2621–2629. [Google Scholar] [CrossRef]
- Zhou, S.; Wang, K.; Hu, Z.; Chen, T.; Dong, Y.; Gao, R.; Wu, M.; Li, Y.; Ji, X. Design, synthesis, and structure-activity relationships of a novel class of quinazoline derivatives as coronavirus inhibitors. Eur. J. Med. Chem. 2023, 261, 115831. [Google Scholar] [CrossRef] [PubMed]
- Zu, Y.-G.; Liu, X.-L.; Fu, Y.-J.; Wu, N.; Kong, Y.; Wink, M. Chemical composition of the SFE-CO2 extracts from Cajanus cajan (L.) Huth and their antimicrobial activity in vitro and in vivo. Phytomedicine 2010, 17, 1095–1101. [Google Scholar] [CrossRef] [PubMed]
- Tan, S.; Hua, X.; Xue, Z.; Ma, J. Cajanin Stilbene Acid Inhibited Vancomycin-Resistant Enterococcus by Inhibiting Phosphotransferase System. Front. Pharmacol. 2020, 11, 473. [Google Scholar] [CrossRef] [PubMed]
- Hussein, N.H.; Al-Kadmy, I.M.S.; Taha, B.M.; Hussein, J.D. Mobilized colistin resistance (mcr) genes from 1 to 10: A comprehensive review. Mol. Biol. Rep. 2021, 48, 2897–2907. [Google Scholar] [CrossRef] [PubMed]
- Wang, Z.; Koirala, B.; Hernandez, Y.; Zimmerman, M.; Park, S.; Perlin, D.S.; Brady, S.F. A naturally inspired antibiotic to target multidrug-resistant pathogens. Nature 2022, 601, 606–611. [Google Scholar] [CrossRef]
- Jia, Y.; Liu, J.; Yang, Q.; Zhang, W.; Efferth, T.; Liu, S.; Hua, X. Cajanin stilbene acid: A direct inhibitor of colistin resistance protein MCR-1 that restores the efficacy of polymyxin B against resistant Gram-negative bacteria. Phytomedicine 2023, 114, 154803. [Google Scholar] [CrossRef]
- Vivas, R.; Barbosa, A.A.T.; Dolabela, S.S.; Jain, S. Multidrug-Resistant Bacteria and Alternative Methods to Control Them: An Overview. Microb. Drug Resist. 2019, 25, 890–908. [Google Scholar] [CrossRef]
- Jean, S.S.; Liu, I.M.; Hsieh, P.C.; Kuo, D.H.; Liu, Y.L.; Hsueh, P.R. Off-label use versus formal recommendations of conventional and novel antibiotics for the treatment of infections caused by multidrug-resistant bacteria. Int. J. Antimicrob. Agents 2023, 61, 106763. [Google Scholar] [CrossRef]
- Geng, Z.-Z.; Zhang, J.-J.; Lin, J.; Huang, M.-Y.; An, L.-K.; Zhang, H.-B.; Sun, P.-H.; Ye, W.-C.; Chen, W.-M. Novel cajaninstilbene acid derivatives as antibacterial agents. Eur. J. Med. Chem. 2015, 100, 235–245. [Google Scholar] [CrossRef]
- Singh, V.K.; Almpani, M.; Wheeler, K.M.; Rahme, L.G. Interconnections of Pseudomonas aeruginosa Quorum-Sensing Systems in Intestinal Permeability and Inflammation. mBio 2023, 14, e0352422. [Google Scholar] [CrossRef]
- Hao, C.; Xu, Z.; Xu, C.; Yao, R. Anti-herpes simplex virus activities and mechanisms of marine derived compounds. Front. Cell. Infect. Microbiol. 2023, 13, 1302096. [Google Scholar] [CrossRef] [PubMed]
- Fu, Y.; Zhu, Y.; Wu, N.; Kong, Y.; Liu, W.; Hua, X. Application of Cajanus cajan Stilbene Acid and Pinostrobin in Cajanus cajan Leaf in Preparing Anti-Herpes Virus Medicament. CN101485649B, 3 March 2009. [Google Scholar]
- Martinello, M.; Solomon, S.S.; Terrault, N.A.; Dore, G.J. Hepatitis C. Lancet 2023, 402, 1085–1096. [Google Scholar] [CrossRef] [PubMed]
- Kesheh, M.M.; Hosseini, P.; Soltani, S.; Zandi, M. An overview on the seven pathogenic human coronaviruses. Rev. Med. Virol. 2022, 32, e2282. [Google Scholar] [CrossRef] [PubMed]
- Hu, B.; Guo, H.; Zhou, P.; Shi, Z.L. Characteristics of SARS-CoV-2 and COVID-19. Nat. Rev. Microbiol. 2021, 19, 141–154. [Google Scholar] [CrossRef]
- Hasöksüz, M.; Kiliç, S.; Saraç, F. Coronaviruses and SARS-COV-2. Turk. J. Med. Sci. 2020, 50, 549–556. [Google Scholar] [CrossRef]
- Duker-Eshun, G.; Jaroszewski, J.W.; Asomaning, W.A.; Oppong-Boachie, F.; Brøgger Christensen, S. Antiplasmodial constituents of Cajanus cajan. Phytother. Res. 2004, 18, 128–130. [Google Scholar] [CrossRef]
- Sun, S.M.; Song, Y.M.; Liu, J. Studies on the Pharmacology of Cajanin Preparation. Chin. Tradit. Herb. Drugs 1995, 25, 147–148. [Google Scholar]
- Patel, N.K.; Bhutani, K.K. Pinostrobin and Cajanus lactone isolated from Cajanus cajan (L.) leaves inhibits TNF-α and IL-1β production: In vitro and in vivo experimentation. Phytomedicine 2014, 21, 946–953. [Google Scholar] [CrossRef] [PubMed]
- Tan, L.-X.; Xia, T.-Q.; He, Q.-F.; Tang, W.; Huang, X.-J.; Song, Q.-Y.; Li, Y.-L.; Ye, W.-C.; Wang, Y.; Wu, Z.-L. Stilbenes from the leaves of Cajanus cajan and their in vitro anti-inflammatory activities. Fitoterapia 2022, 160, 105229. [Google Scholar] [CrossRef]
- Zhang, Y.; Xiao, B.; Liu, Y.; Wu, S.; Xiang, Q.; Xiao, Y.; Zhao, J.; Yuan, R.; Xie, K.; Li, L. Roles of PPAR activation in cancer therapeutic resistance: Implications for combination therapy and drug development. Eur. J. Pharmacol. 2024, 964, 176304. [Google Scholar] [CrossRef]
- Miao, M.; Wang, X.; Liu, T.; Li, Y.J.; Yu, W.Q.; Yang, T.M.; Guo, S.D. Targeting PPARs for therapy of atherosclerosis: A review. Int. J. Biol. Macromol. 2023, 242, 125008. [Google Scholar] [CrossRef] [PubMed]
- Huang, M.-Y.; Lin, J.; Lu, K.; Xu, H.-G.; Geng, Z.-Z.; Sun, P.-H.; Chen, W.-M. Anti-Inflammatory Effects of Cajaninstilbene Acid and Its Derivatives. J. Agric. Food Chem. 2016, 64, 2893–2900. [Google Scholar] [CrossRef] [PubMed]
- Simonian, N.A.; Coyle, J.T. Oxidative Stress in Neurodegenerative Diseases. Antioxid 1996, 53, 4094–4125. [Google Scholar] [CrossRef]
- Halliwell, B.; Gutteridge, J.M.C. Role of free radicals and catalytic metal ions in human disease: An overview. Mol. Asp. Med. 1985, 8, 89–193. [Google Scholar] [CrossRef]
- Wu, N.; Kong, Y.; Fu, Y.; Zu, Y.; Yang, Z.; Yang, M.; Peng, X.; Efferth, T. In Vitro Antioxidant Properties, DNA Damage Protective Activity, and Xanthine Oxidase Inhibitory Effect of Cajaninstilbene Acid, a Stilbene Compound Derived from Pigeon Pea [Cajanus cajan (L.) Millsp.] Leaves. J. Agric. Food Chem. 2010, 59, 437–443. [Google Scholar] [CrossRef]
- Zhao, J.; Fu, Y.; Luo, M.; Zu, Y.; Wang, W.; Zhao, C.; Gu, C. Endophytic Fungi from Pigeon Pea [Cajanus cajan (L.) Millsp.] Produce Antioxidant Cajaninstilbene Acid. J. Agric. Food Chem. 2012, 60, 4314–4319. [Google Scholar] [CrossRef] [PubMed]
- Wasserman, W.W.; Fahl, W.E. Functional antioxidant responsive elements. Proc. Natl. Acad. Sci. USA 1997, 94, 5361–5366. [Google Scholar] [CrossRef]
- Itoh, K.; Tong, K.I.; Yamamoto, M. Molecular mechanism activating Nrf2-Keap1 pathway in regulation of adaptive response to electrophiles. Free Radic. Biol. Med. 2004, 36, 1208–1213. [Google Scholar] [CrossRef]
- Nguyen, T.; Sherratt, P.J.; Huang, H.C.; Yang, C.S.; Pickett, C.B. Increased Protein Stability as a Mechanism That Enhances Nrf2-mediated Transcriptional Activation of the Antioxidant Response Element DEGRADATION OF Nrf2 BY THE 26 S PROTEASOME. J. Biol. Chem. 2003, 278, 4536–4541. [Google Scholar] [CrossRef]
- Knasmüller, S.; Mersch-Sundermann, V.; Kevekordes, S.; Darroudi, F.; Huber, W.W.; Hoelzl, C.; Bichler, J.; Majer, B.J. Use of human-derived liver cell lines for the detection of environmental and dietary genotoxicants: Current state of knowledge. Toxicol. Lett. 2004, 198, 315–328. [Google Scholar] [CrossRef]
- Aidhen, I.S.; Mukkamala, R.; Weidner, C.; Sauer, S. A Common Building Block for the Syntheses of Amorfrutin and Cajaninstilbene Acid Libraries toward Efficient Binding with Peroxisome Proliferator-Activated Receptors. Org. Lett. 2014, 17, 194–197. [Google Scholar] [CrossRef] [PubMed]
- Song, Y.Y.; He, H.G.; Li, Y.; Deng, Y. A facile total synthesis of amorfrutin A. Tetrahedron Lett. 2013, 54, 2658–2660. [Google Scholar] [CrossRef]
- Mitra, P.; Shome, B.; Ranjan De, S.; Sarkar, A.; Mal, D. Stereoselective synthesis of hydroxy stilbenoids and styrenes by atom-efficient olefination with thiophthalides. Org. Biomol. Chem. 2012, 10, 2742. [Google Scholar] [CrossRef] [PubMed]
- Chen, Q.; Lu, K.; Zheng, C.; Xu, X.-F.; Lin, J.; Chen, W.-M. A facile synthesis of cajaninstilbene acid and its derivatives. Chin. Chem. Lett. 2019, 30, 1527–1529. [Google Scholar] [CrossRef]
- Cui, M.; Cheng, C.; Zhang, L. High-throughput proteomics: A methodological mini-review. Lab. Investig. 2022, 102, 1170–1181. [Google Scholar] [CrossRef]
- Kong, Y.; Wei, Z.-F.; Fu, Y.-J.; Gu, C.-B.; Zhao, C.-J.; Yao, X.-H.; Efferth, T. Negative-pressure cavitation extraction of cajaninstilbene acid and pinostrobin from pigeon pea [Cajanus cajan (L.) Millsp.] leaves and evaluation of antioxidant activity. Food Chem. 2011, 128, 596–605. [Google Scholar] [CrossRef]
- Jiao, J.; Yao, L.; Fu, J.X.; Lu, Y.; Gai, Q.Y.; Feng, X.; He, X.J.; Cao, R.Z.; Fu, Y.J. Cocultivation of pigeon pea hairy root cultures and Aspergillus for the enhanced production of cajaninstilbene acid. Appl. Microbiol. Biotechnol. 2023, 107, 1931–1946. [Google Scholar] [CrossRef]



















| Type | Cell Lines | In Vivo Mode | Target/Pathway | Effect | Ref. |
|---|---|---|---|---|---|
| Breast cancer | ERα-negative MDA-MB-231 (IC50 of 175.76 ± 19.59 μM), ERα-positive MCF-7 (IC50 of 61.25 ± 2.67 μM). Tamoxifen-resistant MCF-7 (MTR-3) (IC50 of 188.22 ± 38.58 µM) | Nude mice (dosage: 15 and 30 mg/kg; route: subcutaneous injection; cycle: 1 time/2 days, 7 times). | ERα, p53. | Inhibit growth. | [24] |
| MCF-7 (8.88–14.79 μM). | None reported. | Caspase 3, Bax, p21; BRCA-1/2, BcL-2. | Induce cell cycle arrest and apoptosis. | [25] | |
| MCF-7 (IC50 of 42 to >80 µg/mL). | None reported. | None reported. | Reduce viability. | [26] | |
| MCF-7 (EC50 of 15.48 ± 6.84 μM) | None reported. | None reported. | Reduce viability. | [27] | |
| Cervical cancer | HeLa (IC50 of 39 to >80 µg/mL). | None reported. | with IC50 values of 39~80 µg m/L, 32~80 µg m/L. | Reduce viability. | [26] |
| HeLa (IC50 of 44.9~78.3 μM). | None reported. | None reported. | Inhibit proliferation. | [28] | |
| Liver cancer | Bel-7402 (IC50 of 19.14 μM). | None reported. | None reported. | Inhibit proliferation. | [29] |
| Human colorectal adenocarcinoma | CaCo-2 (IC50 of 32~80 µg/mL). | None reported. | None reported. | Reduce viability. | [26] |
| SW480 (IC50 of 44.9~78.3 μM). | None reported. | None reported. | Inhibit proliferation. | [28] |
| Structures | Source | References |
|---|---|---|
![]() | Isolated natural | [30] |
![]() | Isolated natural | [28] |
![]() | Isolated natural | [31,32] |
![]() | Isolated natural | [33] |
| Structures | Source | References |
|---|---|---|
![]() | Synthetic | [27] |
![]() | Synthetic | [27] |
![]() | Synthetic | [49] |
| Compounds | Cell Lines | Target/Pathway | Effect | Ref. |
|---|---|---|---|---|
| Longistylin A (2) and Longistylin C (3) | MCF-7, COR-L23, C32, HepG2, 16HBE4o, AR42J-B13 (2.4–20.04 μM and 5.8–18.3 μM, respectively). | None reported. | Reduce viability. | [30] |
| Longistyline A (2) | Bel-7402 (IC50 of 24.65 μM). | None reported. | Inhibit proliferation. | [29] |
| Longistylin C (3) | MDA-MB231, HeLa, HepG2, SW480, A549, NCI-H460 and NCI-H1299 (IC50 of 14.4–29.6 μM). | None reported. | Inhibit proliferation. | [28] |
| B10 (4) | Raji cells (12, 18 and 24 µM, IC50 of 18 µM). | P-γ-H2A.X, Bax/BcL-2, cl- caspase 3, cl-caspase 9, cl-PARP1, APAF-1, JAK2/STAT3, KRAS/HDAC1/EP300/PEBP1. | Induce cell cycle arrest and apoptosis; inhibit proliferation. | [32] |
| Cajanstilbene H (5) | NCI-H460, PC-3, MCF-7, HeLa, HCT-15, and KB-V1 (IC50 of 21.42–25.85 μM). | None reported. | Inhibit proliferation. | [42] |
| CSA 6 (6) | MCF-7 (IC50 of 2.96 μM). | None reported. | Reduce viability. | [27] |
| CSA 6 (6) and CSA 19 (7) | CSCs-rich MCF-7 cells (IC50 of 4.98 and 7.51 μM, respectively). | None reported. | Reduce viability; increased collateral sensitivity. | [55] |
| Derivative 11 (8) | HT29, MCF-7 and PA-1 (IC50 of 56.07, 115.85 and 26.80 μM, respectively). | ERα. | Inhibit migration and invasion. | [56] |
| Type | Cell Lines/In Vivo Mode | Target/Pathway | Effect | Ref. |
|---|---|---|---|---|
| Neuroprotective | Mice (dosage: sECC of 200 mg/kg; route: orally; cycle: 1 time/day, 7 days). | SOD, ChAT. | Improve spatial learning ability. | [13] |
| Mice (dosage: 7.5, 15 and 30 mg/kg; route: intragastric administration; cycle: 1 time/day, 20 days). | Aβ1–42, GluN 2B; PKA/CREB/BDNF/TrkB. | Improve cognitive function. | [64] | |
| PC12 cells (2–16 μM). | LDH, Ca2+, Caspase 3, Cl-caspase 3. | Increase cells viability. | [62] | |
| PC12 cells (1–8 μM). | ROS, MDA, GRP 78, CHOP/GADD 153, XBP-1, Caspase 12, Caspase 9; SOD, CAT. | Increase cells viability. | [63] | |
| Mice (dosage: 7.5, 15 and 30 mg/kg; route: intragastric administration; cycle: 1 time/day, end of experiment). | NE, DA, GABA, Glu, ACh. | Improve depression-like behavior. | [71] | |
| Mice (dosage: 4, 7.5, 15, 30, 60 and 120 mg/kg; route: intragastric administration; cycle: 1 time/day, 7 days.) | KP, KYNA, 5-HT, TRP, BDNF, PSD-95, Akt/mTOR. | Improve depression-like behavior. | [77] | |
| SH-SY5Y cells (0.1–1 μM). | ROS, MDA; SOD, AMPK/Nrf 2. | Reduce cell apoptosis and improve oxidative stress. | [81] | |
| Cardiocerebral vascular system | Mice (dosage: sECC of 100 and 200 mg/kg; route: intragastric administration; cycle: 1 time/day, 28 days). | LDL; SOD, HMG-CoA mRNA, CYP7A1 mRNA, LDLR mRNA. | Reduce cholesterol. | [87,88] |
| HepG 2 (MECC of 0.05 and 0.1 mg/mL). | PCSK 9, LDL. | Reduce cholesterol. | [18] | |
| VSMC (0.1–10 μM) | PKC, and Rho/Rho, Ca2+. | Dilate the renal arteries. | [92] | |
| H9c2 | ROS, MDA, Ca2+, Bax/BcL-2; SOD, CAT, MMP, caspase-3. | Increase cells viability. | [95] | |
| Cartilage protection | Rat (dosage: 50, 100 and 200 mg/kg; route: intragastric administration; cycle: 1 time/day, 6 days/week, for 8 consecutive weeks). | FSH, LH. | Inhibit bone loss. | [98] |
| HOS TE85 (0.001, 0.01, 0.1 μg/mL). | None reported. | Inhibit bone loss. | [99] | |
| Rats (dosage of sECC: 0.8 and 8 g/kg; route: intragastric administration; cycle: 1 time/day, 14 days). | None reported. | Inhibit bone loss. | [100] | |
| BMM (2.5–10 μM). | ROS, NFATc1, C-Fos, V-ATPase-d1/2, NF-κB. | Inhibit bone loss and the activity of osteoclasts. | [102] | |
| hMSC (cajanstilbene H (5) 1–4 μM). | None reported. | Promote osteoblast differentiation. | [42] | |
| Immunoregulation | NK cells (LJ101019C (9) 0.1–1 µM). | ROS, Kv1.3, AKT/mTOR. | Promote cells proliferation and improve immunity. | [107] |
| Liver protection | Mice (dosage: 50 and 75 mg/kg; route: orally; cycle: only 1 time) | IFN-γ, TNF, iNOS, IL-1β, p-IκBα, p-p65, p62; PGC-1α, TFAM, LC3-II, PINK1, Parkin, Sestrin 2/LKB 1/AMPK. | Reduce oxidative stress. | [112] |
| Structures | Source | References |
|---|---|---|
![]() | Isolated natural | [115] |
![]() | Isolated natural | [116] |
![]() | Isolated natural | [117] |
![]() | Isolated natural | [117] |
![]() | Isolated natural | [117] |
![]() | Isolated natural | [117] |
![]() | Isolated natural | [117] |
![]() | Isolated natural | [117] |
![]() | Synthetic | [118] |
![]() | Synthetic | [119] |
![]() | Synthetic | [120] |
![]() | Synthetic | [121] |
![]() | Synthetic | [122] |
![]() | Synthetic | [15] |
![]() | Synthetic | [15] |
![]() | Synthetic | [123] |
Disclaimer/Publisher’s Note: The statements, opinions and data contained in all publications are solely those of the individual author(s) and contributor(s) and not of MDPI and/or the editor(s). MDPI and/or the editor(s) disclaim responsibility for any injury to people or property resulting from any ideas, methods, instructions or products referred to in the content. |
© 2024 by the authors. Licensee MDPI, Basel, Switzerland. This article is an open access article distributed under the terms and conditions of the Creative Commons Attribution (CC BY) license (https://creativecommons.org/licenses/by/4.0/).
Share and Cite
Hou, W.; Huang, L.; Wang, J.; Luyten, W.; Lai, J.; Zhou, Z.; Kang, S.; Dai, P.; Wang, Y.; Huang, H.; et al. Cajaninstilbene Acid and Its Derivative as Multi-Therapeutic Agents: A Comprehensive Review. Molecules 2024, 29, 5440. https://doi.org/10.3390/molecules29225440
Hou W, Huang L, Wang J, Luyten W, Lai J, Zhou Z, Kang S, Dai P, Wang Y, Huang H, et al. Cajaninstilbene Acid and Its Derivative as Multi-Therapeutic Agents: A Comprehensive Review. Molecules. 2024; 29(22):5440. https://doi.org/10.3390/molecules29225440
Chicago/Turabian StyleHou, Wen, Lejun Huang, Jinyang Wang, Walter Luyten, Jia Lai, Zhinuo Zhou, Sishuang Kang, Ping Dai, Yanzhu Wang, Hao Huang, and et al. 2024. "Cajaninstilbene Acid and Its Derivative as Multi-Therapeutic Agents: A Comprehensive Review" Molecules 29, no. 22: 5440. https://doi.org/10.3390/molecules29225440
APA StyleHou, W., Huang, L., Wang, J., Luyten, W., Lai, J., Zhou, Z., Kang, S., Dai, P., Wang, Y., Huang, H., & Lan, J. (2024). Cajaninstilbene Acid and Its Derivative as Multi-Therapeutic Agents: A Comprehensive Review. Molecules, 29(22), 5440. https://doi.org/10.3390/molecules29225440
























