Evaluation of Antiproliferative Potentials Associated with the Volatile Compounds of Lantana camara Flowers: Selective In Vitro Activity
Abstract
1. Introduction
2. Results and Discussion
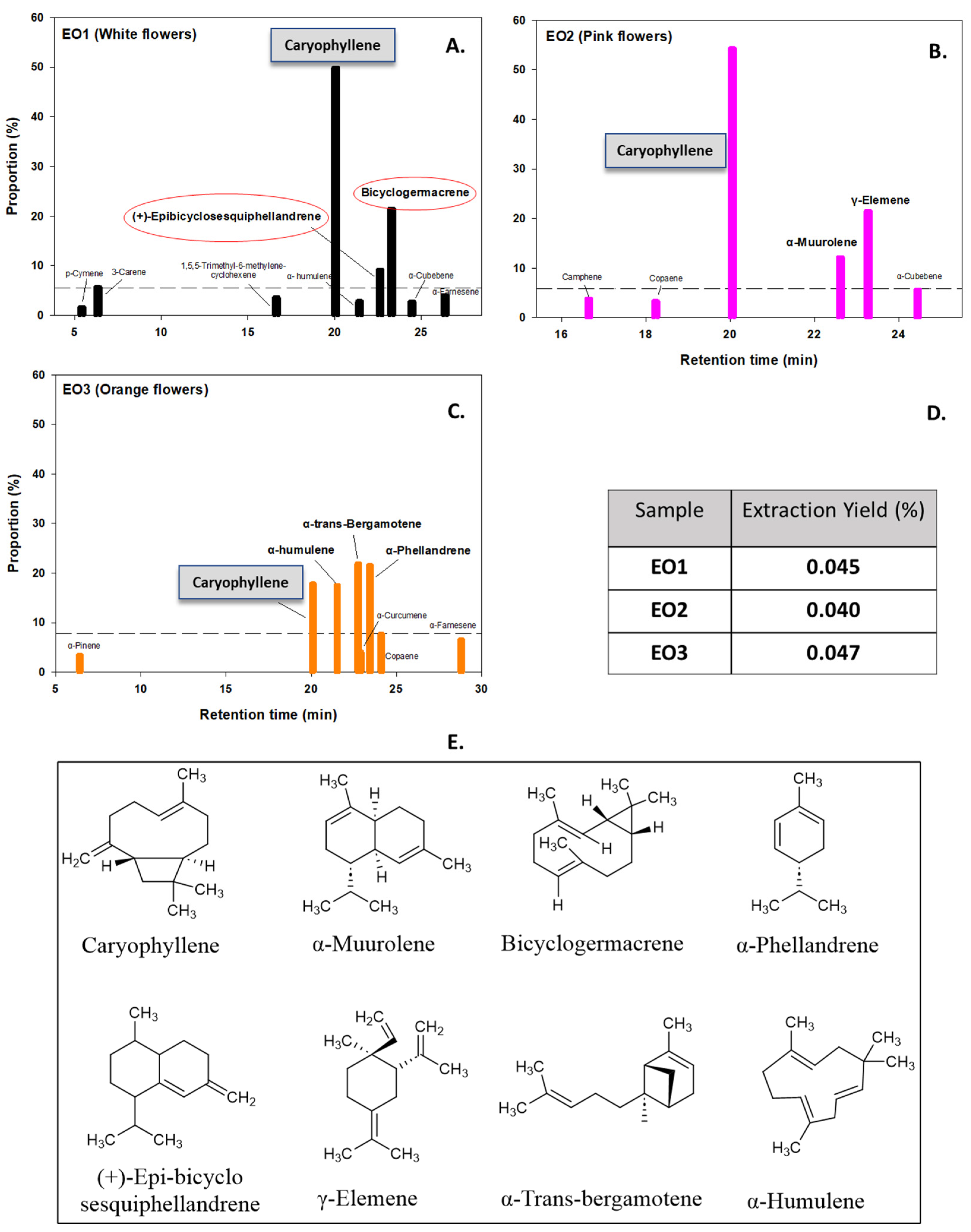
2.1. GC-MS Analysis Results and Yields of Extractions
2.2. Total Flavonoid Content (TFC) and Total Phenol Content (TPC)
2.3. Antioxidant Activities
2.4. Reduction in MCF-7 and MDA-MB-231 Cell Proliferation in a Dose-Dependent Manner
2.5. Pearson’s Correlation Coefficient Analysis
3. Materials and Methods
3.1. Collection of the Petals of L. camara
3.2. Hydrodistillation with Clevenger
3.3. GC-MS Analysis
3.4. TFC Analysis
3.5. TPC Analysis
3.6. DPPH Assay
3.7. FRAP Assay
3.8. Cell Culture
3.9. Cell Proliferation Assay
3.10. Statistical Analyses
4. Conclusions and Outlook
Supplementary Materials
Author Contributions
Funding
Data Availability Statement
Acknowledgments
Conflicts of Interest
Abbreviations
References
- Parimoo, H.A.; Sharma, R.; Patil, R.D.; Patial, V. Sub-acute toxicity of lantadenes isolated from Lantana camara leaves in guinea pig animal model. Comp. Clin. Pathol. 2015, 24, 1541–1552. [Google Scholar] [CrossRef]
- Kalita, S.; Kumar, G.; Karthik, L.; Rao, K.V.B. A Review on Medicinal Properties of Lantana camara Linn. Res. J. Pharm. Technol. 2012, 5, 711–715. [Google Scholar]
- Nayak, B.S.; Raju, S.S.; Eversley, M.; Ramsubhag, A. Evaluation of wound healing activity of Lantana camara L.—A Preclinical study. Phytother. Res. 2009, 23, 241–245. [Google Scholar] [CrossRef] [PubMed]
- Ganesh, T.; Saikat, S.; Thilagam, E.; Thamotharan, G.; Loganathan, T.; Chakraborty, R. Pharmacognostic and anti-hyperglycemic evaluation of Lantana camara (L.) var. aculeate leaves in alloxan-induced hyperglycemic rats. Int. J. Res. Pharm. Sci. 2010, 1, 247–252. [Google Scholar]
- Sharma, O.P.; Makkar, H.P.S.; Dawra, R.K. A review of the noxious plant Lantana camara. R.K. Toxicon 1988, 26, 975–987. [Google Scholar] [CrossRef]
- Shah, M.; Alharby, H.F.; Hakeem, K.R. Lantana camara: A Comprehensive Review on Phytochemistry, Ethnopharmacology and Essential Oil Composition. Lett. Appl. NanoBioSci. 2020, 9, 1199–1207. [Google Scholar] [CrossRef]
- Mansoori, A.; Singh, N.; Dubey, S.K.; Thakur, T.K.; Alkan, N.; Das, S.N.; Kumar, A. Phytochemical Characterization and Assessment of Crude Extracts From Lantana camara L. for Antioxidant and Antimicrobial Activity. Front. Agron. 2020, 2, 582268. [Google Scholar] [CrossRef]
- Aisha, K.; Visakh, N.U.; Pathrose, B.; Mori, N.; Baeshen, R.S.; Shawer, R. Extraction, Chemical Composition and Insecticidal Activities of Lantana camara Linn. Leaf Essential Oils against Tribolium castaneum, Lasioderma serricorne and Callosobruchus chinensis. Molecules 2024, 29, 344. [Google Scholar] [CrossRef]
- Nea, F.; Kambiré, D.; Genva, M.; Tanoh, E.; Wognin, E.; Martin, H.; Brostaux, Y.; Tomi, F.; Lognay, G.C.; Tonzibo, Z.; et al. Composition, Seasonal Variation, and Biological Activities of Lantana camara Essential Oils from Côte d’Ivoire. Molecules 2020, 25, 2400. [Google Scholar] [CrossRef]
- El Kantar, S.; Yassin, A.; Nehmeh, B.; Labaki, L.; Mitri, S.; Naser Aldine, F.; Hirko, A.; Caballero, S.; Monck, E.; Garcia-Maruniak, A.; et al. Deciphering the therapeutical potentials of rosmarinic acid. Sci. Rep. 2022, 12, 15489. [Google Scholar] [CrossRef]
- Sharma, M.; Sharma, P.D.; Bansal, M.P.; Singh, J. Synthesis, Cytotoxicity, and Antitumor Activity of Lantadene-A Congeners. Chem. Biodivers. 2007, 4, 932–939. [Google Scholar] [CrossRef] [PubMed]
- Sharma, M.; Sharma, P.D.; Bansal, M.P. Lantadenes and Their Esters as Potential Antitumor Agents. J. Nat. Prod. 2008, 71, 1222–1227. [Google Scholar] [CrossRef]
- Babar, V.B.; Khapale, P.R.; Nagarale, S. Preliminary investigation and in-vitro anticancer activity of Lantana camara L. (Verbenaceae). J. Pharmacogn. Phytochem. 2019, 8, 2524–2527. [Google Scholar]
- Han, E.B.; Chang, B.Y.; Jung, Y.S.; Kim, S.Y. Lantana camara Induces Apoptosis by Bcl-2 Family and Caspases Activation. Pathol. Oncol. Res. 2015, 21, 325–331. [Google Scholar] [CrossRef]
- Wang, H.; Khor, T.O.; Shu, L.; Su, Z.-Y.; Fuentes, F.; Lee, J.-H.; Kong, A.-N.T. Plants vs. Cancer: A Review on Natural Phytochemicals in Preventing and Treating Cancers and Their Druggability. Anti-Cancer Agents Med. Chem. 2012, 12, 1281–1305. [Google Scholar] [CrossRef] [PubMed]
- Ochwang’i, D.; Kimwele, C.; Oduma, J.; Gathumbi, P.; Mbaria, J.; Kiama, S.J. Medicinal plants used in treatment and management of cancer in Kakamega County, Kenya. J. Ethnopharmacol. 2014, 151, 1040–1055. [Google Scholar] [CrossRef] [PubMed]
- Greenwell, M.; Rahman, P.K.S.M. Medicinal Plants: Their Use in Anticancer Treatment. Int. J. Pharm. Sci. Res. 2015, 6, 4103–4112. [Google Scholar] [CrossRef]
- Aiello, P.; Sharghi, M.; Mansourkhani, S.M.; Ardekan, A.P.; Jouybari, L.; Daraei, N.; Peiro, K.; Mohamadian, S.; Rezaei, M.; Heidari, M.; et al. Medicinal Plants in the Prevention and Treatment of Colon Cancer. Oxidative Med. Cell. Longev. 2019, 2019, 2075614. [Google Scholar] [CrossRef]
- O’Reilly, M.S.; Boehm, T.; Shing, Y.; Fukai, N.; Vasios, G.; Lane, W.S.; Flynn, E.; Birkhead, J.R.; Olsen, B.R.; Folkman, J. Endostatin: An Endogenous Inhibitor of Angiogenesis and Tumor Growth. Cell 1997, 88, 277–285. [Google Scholar] [CrossRef]
- The American Cancer Society Medical and Editorial Content Team: Chemotherapy Side Effects. Available online: https://www.cancer.org/cancer/managing-cancer/treatment-types/chemotherapy/chemotherapy-side-effects.html (accessed on 7 October 2024).
- Cragg, G.M.; Newman, D.J. Plants as a source of anti-cancer agents. J. Ethnopharmacol. 2005, 100, 72–79. [Google Scholar] [CrossRef]
- Sivaraj, R.; Rahman, P.; Rajiv, P.; Narendhran, S.; Venckatesh, R. Biosynthesis and characterization of Acalypha indica mediated copper oxide nanoparticles and evaluation of its antimicrobial and anticancer activity. Spectrochim. Acta A Mol. Biomol. Spectrosc. 2014, 129, 255–258. [Google Scholar] [CrossRef] [PubMed]
- Hassan, B. Plants and Cancer Treatment. In Medicinal Plants—Use in Prevention and Treatment of Diseases; IntechOpen: London, UK, 2020. [Google Scholar] [CrossRef]
- Zoubiri, S.; Aoumeur, B. Chemical Composition and Insecticidal Properties of Lantana camara L. Leaf Essential Oils from Algeria. J. Essent. Oil Res. 2012, 24, 377–383. [Google Scholar] [CrossRef]
- Chowdhury, J.U.; Nandi, N.C.; Nazrul, I.; Bhuiyan, N.I. Chemical composition of leaf essential oil of Lantana camara L. from Bangladesh. Bangladesh J. Bot. 2007, 36, 193–194. [Google Scholar] [CrossRef]
- Gushiken, L.; Beserra, F.; Hussni, M.; Gonzaga, M.; Ribeiro, V.; Fernanda de Souza, P.; Campos, J.; Massaro, T.; Hussni, C.; Takahira, R.; et al. Beta-caryophyllene as an antioxidant, anti-inflammatory and re-epithelialization activities in a rat skin wound excision model. Oxidative Med. Cell. Longev. 2022, 2022, 9004014. [Google Scholar] [CrossRef]
- Wang, J.-H.; Luan, F.; He, X.-D.; Wang, Y.; Li, M.-X. Traditional uses and pharmacological properties of Clerodendrum phytochemicals. J. Tradit. Complement. Med. 2018, 8, 24–38. [Google Scholar] [CrossRef]
- Do, A.R.; Emami, S.A.; Akaberi, M. Phytochemical diversity and pharmacological effects of sesquiterpenes from Artemisia spp. Phytochem. Rev. 2024, 23, 1–38. [Google Scholar] [CrossRef]
- Sundufu, A.J.; Shoushan, H. Chemical composition of the essential oils of Lantana camara L. occurring in south China. Flavour Fragr. J. 2004, 19, 229–232. [Google Scholar] [CrossRef]
- Sousa, E.O.; Colares, A.V.; Rodrigues, F.F.G.; Campos, A.R.; Lima, S.G.; Costa, J.G.M. Effect of Collection Time on Essential Oil Composition of Lantana camara Linn (Verbenaceae) Growing in Brazil Northeastern. Rec. Nat. Prod. 2010, 4, 31–37. [Google Scholar]
- Singh, R.K.; Tiwari, B.; Sharma, U.; Singh, S.P. Chemical Composition of Lantana camara Fruit Essential Oil. Asian J. Chem. 2012, 24, 5955–5956. [Google Scholar]
- Liambila, R.; Wesonga, J.; Ngamau, C.; Wallyambillah, W. Chemical composition and bioactivity of Lantana camara L. essential oils from diverse climatic zones of Kenya against leaf miner (Tuta absoluta Meyrick). Afr. J. Agric. Res. 2021, 17, 1198–1208. [Google Scholar] [CrossRef]
- Mamadaliev, A.N.; Kushiev, K.K.; Abdullaeva, Z.R. Determination of Flavonoids in Different Oils of Cannabis sativa L (Cannabaceae) and Evaluation of Physico-chemical Indicators. Austrian J. Tech. Nat. Sci. 2022, 5–6, 3. [Google Scholar] [CrossRef]
- Semeniuc, C.A.; Socaciu, M.-I.; Socaci, S.A.; Mureșan, V.; Fogarasi, M.; Rotar, A.M. Chemometric Comparison and Classification of Some Essential Oils Extracted from Plants Belonging to Apiaceae and Lamiaceae Families Based on Their Chemical Composition and Biological Activities. Molecules 2018, 23, 2261. [Google Scholar] [CrossRef] [PubMed]
- Shraim, A.M.; Ahmed, T.A.; Rahman, M.; Hijji, Y.M. Determination of total flavonoid content by aluminum chloride assay: A critical evaluation. LWT 2021, 150, 111932. [Google Scholar] [CrossRef]
- Zhang, K.; Zuo, Y.J. GC-MS Determination of Flavonoids and Phenolic and Benzoic Acids in Human Plasma after Consumption of Cranberry Juice. J. Agric. Food Chem. 2004, 52, 222–227. [Google Scholar] [CrossRef]
- Al Snafi, A.E. Chemical Constituents and Pharmacological Activities of Lantana Camara—A Review. Asian J. Pharm. Clin. Res. 2019, 12, 10–20. [Google Scholar] [CrossRef]
- Kapali, J.; Sharma, K.R. Estimation of phytochemicals, antioxidant, antidiabetic and brine shrimp lethality activities of some medicinal plants growing in Nepal. J. Med. Plants 2021, 20, 102–116. [Google Scholar] [CrossRef]
- Li, M.; Paré, P.W.; Zhang, J.; Kang, T.; Zhang, Z.; Yang, D.; Wang, K.; Xing, H. Antioxidant Capacity Connection with Phenolic and Flavonoid Content in Chinese Medicinal Herbs. Rec. Nat. Prod. 2018, 12, 239–250. [Google Scholar] [CrossRef]
- El Baroty, G.S.; Goda, H.M.; Khalifa, E.A.; Abd El Baky, H.H. Antimicrobial and antioxidant activities of leaves and flowers essential oils of Egyptian Lantana camara L. Der Pharma Chem. 2014, 6, 246–255. [Google Scholar]
- Sajid, A.; Manzoor, Q.; Imran, M.; Aslam, F.; Gondal, T.A.; Ahmad, R.S.; Hussain, G.; Imran, M.; Aslam, F.; Arshad, M.; et al. Essential Oil and Leaves from Lantana camara Significantly Ameliorate Different Cancer Cell Lines by Suppressing the NF-κB Pathway. Sains Malays. 2021, 50, 2923–2936. [Google Scholar] [CrossRef]
- Mahdi-Pour, B.; Jothy, S.L.; Latha, L.Y.; Chen, Y.; Sasidharan, S. Antioxidant activity of methanol extracts of different parts of Lantana camara. Asian Pac. J. Trop. Biomed. 2012, 2, 960–965. [Google Scholar] [CrossRef]
- Annaz, H.; El Fakhouri, K.; Ben Bakrim, W.; Mahdi, I.; El Bouhssini, M.; Sobeh, M. Bergamotenes: A comprehensive compile of their natural occurrence, biosynthesis, toxicity, therapeutic merits and agricultural applications. Crit. Rev. Food Sci. Nutr. 2024, 64, 7343–7362. [Google Scholar] [CrossRef] [PubMed]
- Radice, M.; Durofil, A.; Buzzi, R.; Baldini, E.; Martínez, A.P.; Scalvenzi, L.; Manfredini, S. Alpha-Phellandrene and Alpha-Phellandrene-Rich Essential Oils: A Systematic Review of Biological Activities, Pharmaceutical and Food Applications. Life 2022, 12, 1602. [Google Scholar] [CrossRef] [PubMed]
- Ivanescu, B.; Miron, A.; Corciova, A.J. Sesquiterpene Lactones from Artemisia Genus: Biological Activities and Methods of Analysis. J. Anal. Methods Chem. 2015, 2015, 247685. [Google Scholar] [CrossRef] [PubMed]
- Karak, P. Biological Activities of Flavonoids: An Overview. Int. J. Pharm. Sci. Res. 2019, 10, 1567–1574. [Google Scholar] [CrossRef]
- Guesmi, F.; Tyagi, A.K.; Prasad, S.; Landoulsi, A. Terpenes from essential oils and hydrolate of Teucrium alopecurus triggered apoptotic events dependent on caspases activation and PARP cleavage in human colon cancer cells through decreased protein expressions. Oncotarget 2018, 9, 32305–32320. [Google Scholar] [CrossRef]
- Montalvão, M.M.; Felix, F.B.; Propheta dos Santos, E.W.; Santos, J.F.; de Lucca Júnior, W.; Farias, A.S.; de Souza Ribeiro, A.; Cavaleiro, C.; Machado, S.M.F.; Scher, R.; et al. Cytotoxic activity of essential oil from Leaves of Myrcia splendens against A549 Lung Cancer cells. BMC Complement. Med. Ther. 2023, 23, 139. [Google Scholar] [CrossRef]
- Pereira, R.P.; Fachinetto, R.; de Souza Prestes, A.; Puntel, R.L.; Santos da Silva, G.N.; Heinzmann, B.M.; Boschetti, T.K.; Athayde, M.L.; Bürger, M.E.; Morel, A.F.; et al. Antioxidant Effects of Different Extracts from Melissa officinalis, Matricaria recutita and Cymbopogon citratus. Neurochem. Res. 2009, 34, 973–983. [Google Scholar] [CrossRef]
- San Miguel-Chávez, R. Phenolic Antioxidant Capacity: A Review of the State of the Art. In Phenolic Compounds; Soto-Hernandez, M., Palma-Tenango, M., Garcia-Mateos, M., Eds.; IntechOpen: London, UK, 2017. [Google Scholar]
- Jaber, A.; Soukariyeh, R.; Khalil, A.; Abdel-Sater, F.; Cheble, E. Biological Activities of Total Oligomeric Flavonoids Enriched Extracts of Nicotiana tabacum from Eight Lebanese Regions. Int. J. Pharm. Sci. Rev. Res. 2020, 61, 70–77. [Google Scholar]
- Barreca, D.; Laganà, G.; Leuzzi, U.; Smeriglio, A.; Trombetta, D.; Bellocco, E. Evaluation of the nutraceutical, antioxidant and cytoprotective properties of ripe pistachio (Pistacia vera L., variety Bronte) hulls. Food Chem. 2016, 196, 493–502. [Google Scholar] [CrossRef]
- Singleton, V.L.; Orthofer, R.; Lamuela-Raventós, R.M. [14] Analysis of total phenols and other oxidation substrates and antioxidants by means of folin-ciocalteu reagent. Methods Enzymol. 1999, 299, 152–178. [Google Scholar] [CrossRef]
- Awada, N.; Ayoub, A.; Jaber, A.; Ibrahim, F.; El Ghotmi, N.; Cheble, E. Evaluation of the Anticancer, Anti-Inflammatory, and Antioxidant Properties of Various Extracts of Annona squamosa L. Pharm. Sci. 2023, 29, 384–394. [Google Scholar] [CrossRef]
- Oyaizu, M. Studies on Products of Browning Reactions: Antioxidative Activities of Product of Browning Reaction Prepared from Glucosamine. Jpn. J. Nutr. Diet. 1986, 44, 307–315. [Google Scholar] [CrossRef]
- Balouiri, M.; Sadiki, M.; Ibnsouda, S.K. Methods for in vitro evaluating antimicrobial activity: A review. J. Pharm. Anal. 2016, 6, 71–79. [Google Scholar] [CrossRef] [PubMed]
- Semaan, J.; El-Hakim, S.; Ibrahim, J.-N.; Safi, R.; Elnar, A.; El Boustany, C. Comparative effect of sodium butyrate and sodium propionate on proliferation, cell cycle and apoptosis in human breast cancer cells MCF-7. Breast Cancer 2020, 27, 696–705. [Google Scholar] [CrossRef]
- Ibrahim, J.-N.; El-Hakim, S.; Semaan, J.; Ghosn, S.; El Ayoubi, H.; Elnar, A.A.; Tohme, N.; El Boustany, C. Sodium Butyrate (NaB) and Sodium Propionate (NaP) Reduce Cyclin A2 Expression, Inducing Cell Cycle Arrest and Proliferation Inhibition of Different Breast Cancer Subtypes, Leading to Apoptosis. Biomedicines 2024, 12, 1779. [Google Scholar] [CrossRef]
- Sousa, E.O.; Barreto, F.S.; Rodrigues, F.F.; Campos, A.R.; Costa, J.G. Chemical composition of the essential oils of Lantana camara L. and Lantana montevidensis Briq. and their synergistic antibiotic effects on aminoglycosides. J. Essent. Oil Res. 2012, 24, 447–452. [Google Scholar] [CrossRef]
- Walden, A.B.; Haber, W.A.; Setzer, W.N. Essential Oil Compositions of Three Lantana Species from Monteverde, Costa Rica. Nat. Prod. Commun. 2008, 4, 1934578X0900400123. [Google Scholar] [CrossRef]
- Khan, M.; Mahmood, A.; Alkhathlan, H.Z. Characterization of leaves and flowers volatile constituents of Lantana camara growing in central region of Saudi Arabia. Arab. J. Chem. 2016, 9, 764–774. [Google Scholar] [CrossRef]





| Sample | TFC (mg of RE/g of Extract) | TPC (mg of GAE/g of Extract) | IC50 (mg/mL) 1 |
|---|---|---|---|
| EO1 | 2.41 | 16.80 | 4.64 |
| EO2 | 2.93 | 24.63 | 2.79 |
| EO3 | 5.12 | 26.71 | 1.21 |
| Cell Line | Time (h) | IC50 (g.mL−1) | ||
|---|---|---|---|---|
| EO1 | EO2 | EO3 | ||
| MCF-7 (BC) | 24 | 0.3061 ± 0.091 | 0.3630 ± 0.057 | 0.5927 ± 0.03 |
| 48 | 0.3021 ± 0.043 | 0.4101 ± 0.109 | 0.3937 ± 0.09 | |
| 72 | 0.3179 ± 0.002 | 0.4144 ± 0.09 | 0.3397 ± 0.027 | |
| MDA-MB-231 (BC) | 24 | 0.3099 ± 0.001 | 0.7398 ± 0.012 | 0.6473 ± 0.005 |
| 48 | 0.2820 ± 0.022 | 0.4015 ± 0.01 | 0.4150 ± 0.06 | |
| 72 | 0.2800 ± 0.023 | 0.3931 ± 0.058 | 0.3951 ± 0.08 | |
| MCF-10A (normal) | 24 | >1 | >1 | >1 |
| 48 | >1 | >1 | >1 | |
| 72 | >1 | >1 | >1 | |
| TFC | TPC | DPPH | MCF-7 | MDA-MB-231 * | |
|---|---|---|---|---|---|
| TFC | 1 | ||||
| TPC | 0.7869 | 1 | |||
| DPPH | −0.9260 | −0.9617 | 1 | ||
| MCF-7 | 0.99997 | 0.7913 | −0.9286 | 1 | |
| MDA-MB-231 | 0.4790 | 0.9186 | −0.7750 | 0.4853 | 1 |
Disclaimer/Publisher’s Note: The statements, opinions and data contained in all publications are solely those of the individual author(s) and contributor(s) and not of MDPI and/or the editor(s). MDPI and/or the editor(s) disclaim responsibility for any injury to people or property resulting from any ideas, methods, instructions or products referred to in the content. |
© 2024 by the authors. Licensee MDPI, Basel, Switzerland. This article is an open access article distributed under the terms and conditions of the Creative Commons Attribution (CC BY) license (https://creativecommons.org/licenses/by/4.0/).
Share and Cite
El Hajj, J.; Karam, L.; Jaber, A.; Cheble, E.; Akoury, E.; Kobeissy, P.H.; Ibrahim, J.-N.; Yassin, A. Evaluation of Antiproliferative Potentials Associated with the Volatile Compounds of Lantana camara Flowers: Selective In Vitro Activity. Molecules 2024, 29, 5431. https://doi.org/10.3390/molecules29225431
El Hajj J, Karam L, Jaber A, Cheble E, Akoury E, Kobeissy PH, Ibrahim J-N, Yassin A. Evaluation of Antiproliferative Potentials Associated with the Volatile Compounds of Lantana camara Flowers: Selective In Vitro Activity. Molecules. 2024; 29(22):5431. https://doi.org/10.3390/molecules29225431
Chicago/Turabian StyleEl Hajj, Jennifer, Louna Karam, Ali Jaber, Edmond Cheble, Elias Akoury, Philippe Hussein Kobeissy, José-Noel Ibrahim, and Ali Yassin. 2024. "Evaluation of Antiproliferative Potentials Associated with the Volatile Compounds of Lantana camara Flowers: Selective In Vitro Activity" Molecules 29, no. 22: 5431. https://doi.org/10.3390/molecules29225431
APA StyleEl Hajj, J., Karam, L., Jaber, A., Cheble, E., Akoury, E., Kobeissy, P. H., Ibrahim, J.-N., & Yassin, A. (2024). Evaluation of Antiproliferative Potentials Associated with the Volatile Compounds of Lantana camara Flowers: Selective In Vitro Activity. Molecules, 29(22), 5431. https://doi.org/10.3390/molecules29225431

