NMR Relaxation to Probe Zeolites: Mobility of Adsorbed Molecules, Surface Acidity, Pore Size Distribution and Connectivity
Abstract
1. Introduction
2. Basic NMR Pulse Sequences for Relaxation Measurements
2.1. and Measurements
2.2. Measurements
2.3. Self-Diffusion Measurements
2.4. – Correlation and – Exchange Experiments
3. NMR Relaxation and Diffusometry to Study Molecular Dynamics in Zeolites
3.1. Nuclear Dipole Relaxation and Bloembergen–Purcell–Pound Model
3.2. NMR Diffusometry

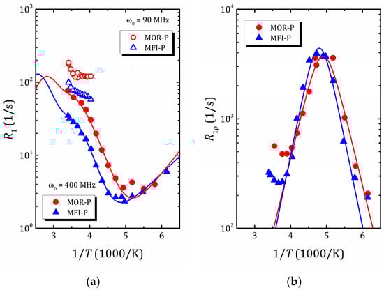
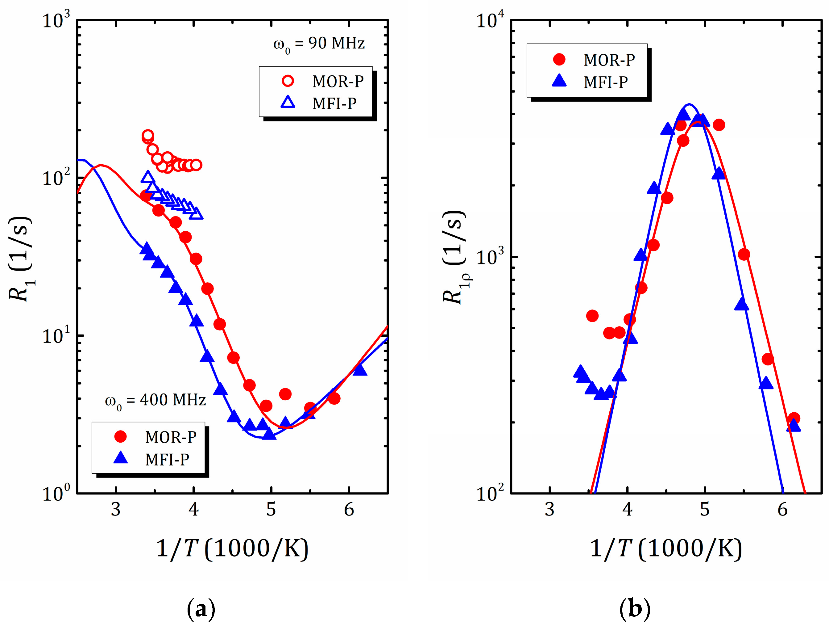
3.3. Water Dynamics in Zeolites
| Zeolite | Si/Al | Micropore Size 1 (Å) | Mesopore Size (Å) | NMR Experiment | Temperature Range (K) | Type of Motion | Ea (kJ/mol) | Ref. |
|---|---|---|---|---|---|---|---|---|
| Natrolite (natural) | 1.5 | 2.5 × 4.1 2.6 × 3.9 | − | 1H T1 | 190–400 | Translational ‖ [001] | 28 | [139] |
| 1H T1ρ | 220–380 | Translational ⊥ [001] | 37.3 | [139] | ||||
| Na,Ca-mordenite (natural) | 5 | 7.0 × 6.5 3.4 × 4.8 | − | 1H T1 | 96–351 | Translational ‖ [001] | 20 | [142] |
| 1H T1ρ | 96–351 | Translational | 30 | [142] | ||||
| 27Al T1 | 200–365 | Translational ‖ [001] | 21.6 | [143] | ||||
| 23Na T1 | 200–365 | Translational ‖ [001] | 22.7 | [143] | ||||
| Na-mordenite | 5.87 | 7.0 × 6.5 | − | 1H SFG | 240–300 | Translational ‖ [001] | 25.6 | [68] |
| Faujasite-NaX | ~1.18 2 | 7.4 × 7.4 | − | 1H PFG | 254–353 | Translational ‖ [111] | 18.7 | [66] |
| Faujasite-HY | 2.39 | 7.4 × 7.4 | − | 1H T1 | 293–873 | Translational ‖ [111] | 25.6 | [144] |
| Mesoporous NaA | NR 3 | 4.1 × 4.1 | 5.0 | 1H PFG | 250–310 | Translational | 56.2 | [66] |
| Pillared mordenite | 8.4 4 | 7.0 × 6.5 | 4.0 | 1H T1 | 173–293 | Translational | 23.6 | [141] |
| 1H T1 | 173–293 | Rotational | 12 | [45] | ||||
| 1H T1 | 173–293 | Freezing | 29 | [45] | ||||
| 1H T1ρ | 173–293 | Freezing | 28.9 | [45] | ||||
| Pillared ZSM-5 | 8.8 4 | 0.55 | 4.4 | 1H T1 | 173–291 | Translational | 26.0 | [45] |
| 1H T1 | 173–291 | Rotational | 9 | [45] | ||||
| 1H T1 | 173–291 | Freezing | 30 | [45] | ||||
| 1H T1ρ | 173–291 | Freezing | 30.7 | [45] |
4. Probe of Acidity: 2D – Correlation Maps
5. NMR Cryoporometry
6. Pore Connectivity: 2D – Exchange Maps
7. Conclusions
Funding
Conflicts of Interest
References
- Baerlocher, C.; McCusker, L.B. Database of Zeolite Structures. Available online: http://www.iza-structure.org/databases/ (accessed on 30 May 2024).
- Breck, D.W. Zeolite Molecular Sieves: Structure, Chemistry, and Use; John Wiley and Sons: Hoboken, NJ, USA, 1974; ISBN 0471099856. [Google Scholar]
- Van Speybroeck, V.; Hemelsoet, K.; Joos, L.; Waroquier, M.; Bell, R.G.; Catlow, C.R.A. Advances in Theory and Their Application within the Field of Zeolite Chemistry. Chem. Soc. Rev. 2015, 44, 7044–7111. [Google Scholar] [CrossRef] [PubMed]
- Rodríguez-iznaga, I.; Shelyapina, M.G.; Petranovskii, V. Ion Exchange in Natural Clinoptilolite: Aspects Related to Its Structure and Applications. Minerals 2022, 12, 1628. [Google Scholar] [CrossRef]
- Sun, Q.; Wang, N.; Yu, J. Advances in Catalytic Applications of Zeolite-Supported Metal Catalysts. Adv. Mater. 2021, 33, 2104442. [Google Scholar] [CrossRef] [PubMed]
- Sánchez-López, P.; Kotolevich, Y.; Yocupicio-Gaxiola, R.I.; Antúnez-García, J.; Chowdari, R.K.; Petranovskii, V.; Fuentes-Moyado, S. Recent Advances in Catalysis Based on Transition Metals Supported on Zeolites. Front. Chem. 2021, 9, 716745. [Google Scholar] [CrossRef] [PubMed]
- Zhukov, Y.M.; Shelyapina, M.G.; Zvereva, I.A.; Efimov, A.Y.; Petranovskii, V. Microwave Assisted versus Convention Cu2+ Exchange in Mordenite. Microporous Mesoporous Mater. 2018, 259, 220–228. [Google Scholar] [CrossRef]
- Shelyapina, M.G.; Gurgul, J.; Łątka, K.; Bogdanov, D.; Kotolevich, Y.; Petranovskii, V.; Fuentes, S.; Sánchez-López, P.; Bogdanov, D.; Kotolevich, Y.; et al. Mechanism of Formation of Framework Fe3+ in Bimetallic Ag-Fe Mordenites—Effective Catalytic Centers for DeNOx Reaction. Microporous Mesoporous Mater. 2019, 299, 109841. [Google Scholar] [CrossRef]
- Antúnez-García, J.; Galván, D.H.; Petranovskii, V.; Murrieta-Rico, F.N.; Yocupicio-Gaxiola, R.I.; Shelyapina, M.G.; Fuentes-Moyado, S. The Effect of Chemical Composition on the Properties of LTA Zeolite: A Theoretical Study. Comput. Mater. Sci. 2021, 196, 110557. [Google Scholar] [CrossRef]
- Valtchev, V.; Majano, G.; Mintova, S.; Pérez-Ramírez, J. Tailored Crystalline Microporous Materials by Post-Synthesis Modification. Chem. Soc. Rev. 2013, 42, 263–290. [Google Scholar] [CrossRef]
- Wheatley, P.S.; Chlubná-Eliášová, P.; Greer, H.; Zhou, W.; Seymour, V.R.; Dawson, D.M.; Ashbrook, S.E.; Pinar, A.B.; McCusker, L.B.; Opanasenko, M.; et al. Zeolites with Continuously Tuneable Porosity. Angew. Chem.-Int. Ed. 2014, 53, 13426–13430. [Google Scholar] [CrossRef]
- Zvereva, I.A.; Shelyapina, M.G.; Chislov, M.; Novakowski, V.; Malygina, E.; Rodríguez-Iznaga, I.; Hernández, M.A.; Petranovskii, V. A Comparative Analysis of Natural Zeolites from Various Cuban and Mexican Deposits: Structure, Composition, Thermal Properties and Hierarchical Porosity. J. Therm. Anal. Calorim. 2022, 147, 6147–6159. [Google Scholar] [CrossRef]
- Barthomeuf, D. Zeolite Acidity Dependence on Structure and Chemical Environment. Correlations with Catalysis. Mater. Chem. Phys. 1987, 17, 49–71. [Google Scholar] [CrossRef]
- Mihályi, R.M.; Lázár, K.; Kollár, M.; Lónyi, F.; Pál-Borbély, G.; Szegedi, Á. Structure, Acidity and Redox Properties of MCM-22 Ferrisilicate. Microporous Mesoporous Mater. 2008, 110, 51–63. [Google Scholar] [CrossRef]
- Catizzone, E.; Migliori, M.; Mineva, T.; Van Daele, S.; Valtchev, V.; Giordano, G. New Synthesis Routes and Catalytic Applications of Ferrierite Crystals. Part 2: The Effect of OSDA Type on Zeolite Properties and Catalysis. Microporous Mesoporous Mater. 2020, 296, 109988. [Google Scholar] [CrossRef]
- Vogt, E.T.C.; Whiting, G.T.; Dutta Chowdhury, A.; Weckhuysen, B.M. Zeolites and Zeotypes for Oil and Gas Conversion. In Advances in Catalysis; Jentoft, F.C., Ed.; Academic Press: Amsterdam, The Netherlands, 2015; Volume 58, pp. 143–314. [Google Scholar]
- Shi, J.; Wang, Y.; Yang, W.; Tang, Y.; Xie, Z. Recent Advances of Pore System Construction in Zeolite-Catalyzed Chemical Industry Processes. Chem. Soc. Rev. 2015, 44, 8877–8903. [Google Scholar] [CrossRef] [PubMed]
- Mohamed, M.M. Catalytic Properties of Fe Ion-Exchanged Mordenite toward the Ethanol Transformation: Influence of the Methods of Preparation. J. Mol. Catal. A Chem. 2003, 200, 301–313. [Google Scholar] [CrossRef]
- Kotolevich, Y.; Zepeda-Partida, T.; Yocupicio-Gaxiola, R.; Antúnez-Garcia, J.; Pelaez, L.; Avalos-Borja, M.; Vázquez-Salas, P.J.; Fuentes-Moyado, S.; Petranovskii, V. Influence of the Valence of Iron on the NO Reduction by CO over Cu-Fe-Mordenite. Catalysts 2023, 13, 484. [Google Scholar] [CrossRef]
- López-Bastidas, C.; Smolentseva, E.; Petranovskii, V.P.; Machorro, R. Plasmon Spectra of Binary Ag-Cu Mixtures Supported in Mordenite. Plasmon. Des. Mater. Fabr. Charact. Appl. XIV 2016, 9921, 992130. [Google Scholar] [CrossRef]
- Giroir-Fendler, A.; Denton, P.; Boreave, A.; Praliaud, H.; Primet, M. The Role of Support Acidity in the Selective Catalytic Reduction of NO by C3H6 under Lean-Burn Conditions. Top. Catal. 2001, 16–17, 237–241. [Google Scholar] [CrossRef]
- Sun, Q.; Wang, N.; Bai, R.; Hui, Y.; Zhang, T.; Do, D.A.; Zhang, P.; Song, L.; Miao, S.; Yu, J. Synergetic Effect of Ultrasmall Metal Clusters and Zeolites Promoting Hydrogen Generation. Adv. Sci. 2019, 6, 1802350. [Google Scholar] [CrossRef]
- Sazama, P.; Moravkova, J.; Sklenak, S.; Vondrova, A.; Tabor, E.; Sadovska, G.; Pilar, R. Effect of the Nuclearity and Coordination of Cu and Fe Sites in β Zeolites on the Oxidation of Hydrocarbons. ACS Catal. 2020, 10, 3984–4002. [Google Scholar] [CrossRef]
- de Carvalho, M.C.N.A.; Passos, F.B.; Schmal, M. The Behavior of Cu/ZSM-5 in the Oxide and Reduced Form in the Presence of NO and Methanol. Appl. Catal. A Gen. 2000, 193, 265–276. [Google Scholar] [CrossRef]
- Chen, H.; Malki, E.M.E.; Wang, X.; Sachtler, W.M.H. Mono- and Multinuclear Oxo-Cations in Zeolite Cavities. In Catalysis by Unique Metal Ion Structures in Solid Matrices; Centi, G., Wichterlová, B., Bell, A.T., Eds.; NATO Science Series; Springer: Dordrecht, The Netherlands, 2001; Volume 13, pp. 75–84. [Google Scholar]
- Čapek, L.; Kreibich, V.; Dědeček, J.; Grygar, T.; Wichterlová, B.; Sobalík, Z.; Martens, J.A.; Brosius, R.; Tokarová, V. Analysis of Fe Species in Zeolites by UV-VIS-NIR, IR Spectra and Voltammetry. Effect of Preparation, Fe Loading and Zeolite Type. Microporous Mesoporous Mater. 2005, 80, 279–289. [Google Scholar] [CrossRef]
- Shamzhy, M.; Opanasenko, M.; Concepción, P.; Martínez, A. New Trends in Tailoring Active Sites in Zeolite-Based Catalysts. Chem. Soc. Rev. 2019, 48, 1095–1149. [Google Scholar] [CrossRef] [PubMed]
- Schoonheydt, R.A. Transition Metal Ions in Zeolites: Siting and Energetics of Cu2+. Catal. Rev. Sci. Eng. 1993, 35, 129–168. [Google Scholar] [CrossRef]
- Chal, R.; Gérardin, C.; Bulut, M.; VanDonk, S. Overview and Industrial Assessment of Synthesis Strategies towards Zeolites with Mesopores. ChemCatChem 2011, 3, 67–81. [Google Scholar] [CrossRef]
- Mensah, J.; Yan, P.; Rawal, A.; Lee, A.F.; Wilson, K.; Robinson, N.; Johns, M.L.; Kennedy, E.; Stockenhuber, M. Catalytic Cracking of 1,3,5-Triisopropylbenzene and Low-Density Polyethylene over Hierarchical Y Zeolites and Al-SBA-15. ChemCatChem 2024, 16, e202300884. [Google Scholar] [CrossRef]
- Christensen, C.H.; Johannsen, K.; Schmidt, I.; Christensen, C.H. Catalytic Benzene Alkylation over Mesoporous Zeolite Single Crystals: Improving Activity and Aelectivity with a New Family of Porous Materials. J. Am. Chem. Soc. 2003, 125, 13370–13371. [Google Scholar] [CrossRef]
- Abdulridha, S.; Jiao, Y.; Xu, S.; Zhang, R.; Ren, Z.; Garforth, A.A.; Fan, X. A Comparative Study on Mesoporous Y Zeolites Prepared by Hard-Templating and Post-Synthetic Treatment Methods. Appl. Catal. A Gen. 2021, 612, 117986. [Google Scholar] [CrossRef]
- Chu, N.; Wang, J.; Zhang, Y.; Yang, J.; Lu, J.; Yin, D. Nestlike Hollow Hierarchical MCM-22 Microspheres: Synthesis and Exceptional Catalytic Properties. Chem. Mater. 2010, 22, 2757–2763. [Google Scholar] [CrossRef]
- Milina, M.; Mitchell, S.; Crivelli, P.; Cooke, D.; Pérez-Ramírez, J. Mesopore Quality Determines the Lifetime of Hierarchically Structured Zeolite Catalysts. Nat. Commun. 2014, 5, 3922. [Google Scholar] [CrossRef]
- Grey, C.P. Nuclear Magnetic Resonance Studies of Zeolites. In Handbook of Zeolite Science and Technology; Auerbach, S., Carrado, K., Dutta, P., Eds.; CRC Press: New York, NY, USA, 2003; pp. 267–331. [Google Scholar]
- Klinowski, J. Nuclear Magnetic Resonance Studies of Zeolites. Prog. Nucl. Magn. Reson. Spectrosc. 1984, 16, 237–309. [Google Scholar] [CrossRef]
- Zheng, M.; Chu, Y.; Wang, Q.; Wang, Y.; Xu, J.; Deng, F. Advanced Solid-State NMR Spectroscopy and Its Applications in Zeolite Chemistry. Prog. Nucl. Magn. Reson. Spectrosc. 2024, 140–141, 1–41. [Google Scholar] [CrossRef]
- Shelyapina, M.G.; Yocupicio-Gaxiola, R.I.; Zhelezniak, I.V.; Chislov, M.V.; Antúnez-García, J.; Murrieta-Rico, F.N.; Galván, D.H.; Petranovskii, V.; Fuentes-Moyado, S. Local Structures of Two-Dimensional Zeolites—Mordenite and ZSM-5—Probed by Multinuclear NMR. Molecules 2020, 25, 4678. [Google Scholar] [CrossRef] [PubMed]
- Shelyapina, M.G.; Krylova, E.A.; Mazur, A.S.; Tsyganenko, A.A.; Shergin, Y.V.; Satikova, E.; Petranovskii, V. Active Sites in H-Mordenite Catalysts Probed by NMR and FTIR. Catalysts 2022, 13, 344. [Google Scholar] [CrossRef]
- Klinowski, J. Recent Advances in Solid-State Nmr of Zeolites. Annu. Rev. Mater. Sci. 1988, 18, 189–218. [Google Scholar] [CrossRef]
- Asgar Pour, Z.; Koelewijn, R.; El Hariri El Nokab, M.; van der Wel, P.C.A.; Sebakhy, K.O.; Pescarmona, P.P. Binder-Free Zeolite Beta Beads with Hierarchical Porosity: Synthesis and Application as Heterogeneous Catalysts for Anisole Acylation. ChemCatChem 2022, 14, e202200518. [Google Scholar] [CrossRef]
- Wang, Z.; Jiang, Y.; Lafon, O.; Trébosc, J.; Kim, K.D.; Stampfl, C.; Baiker, A.; Amoureux, J.-P.; Huang, J. Brønsted Acid Sites Based on Penta-Coordinated Aluminum Species. Nat. Commun. 2016, 7, 13820. [Google Scholar] [CrossRef]
- Ravi, M.; Sushkevich, V.L.; van Bokhoven, J.A. Towards a Better Understanding of Lewis Acidic Aluminium in Zeolites. Nat. Mater. 2020, 19, 1047–1056. [Google Scholar] [CrossRef]
- Kanellopoulos, J.; Gottert, C.; Schneider, D.; Knorr, B.; Prager, D.; Ernst, H.; Freude, D. NMR Investigation of Proton Mobility in Zeolites. J. Catal. 2008, 255, 68–78. [Google Scholar] [CrossRef]
- Shelyapina, M.G.; Nefedov, D.Y.; Antonenko, A.O.; Valkovskiy, G.A.; Yocupicio-gaxiola, R.I.; Petranovskii, V. Nanoconfined Water in Pillared Zeolites Probed by 1H Nuclear Magnetic Resonance. Int. J. Mol. Sci. 2023, 24, 15898. [Google Scholar] [CrossRef]
- Bornes, C.; Fischer, M.; Amelse, J.A.; Geraldes, C.F.G.C.; Rocha, J.; Mafra, L. What Is Being Measured with P-Bearing NMR Probe Molecules Adsorbed on Zeolites? J. Am. Chem. Soc. 2021, 143, 13616–13623. [Google Scholar] [CrossRef] [PubMed]
- Bornes, C.; Sardo, M.; Lin, Z.; Amelse, J.; Fernandes, A.; Ribeiro, M.F.; Geraldes, C.; Rocha, J.; Mafra, L. 1H-31P HETCOR NMR Elucidates the Nature of Acid Sites in Zeolite HZSM-5 Probed with Trimethylphosphine Oxide. Chem. Commun. 2019, 55, 12635–12638. [Google Scholar] [CrossRef] [PubMed]
- Lewis, J.D.; Ha, M.; Luo, H.; Faucher, A.; Michaelis, V.K.; Román-Leshkov, Y. Distinguishing Active Site Identity in Sn-Beta Zeolites Using 31P MAS NMR of Adsorbed Trimethylphosphine Oxide. ACS Catal. 2018, 8, 3076–3086. [Google Scholar] [CrossRef]
- Zasukhin, D.S.; Kasyanov, I.A.; Kolyagin, Y.G.; Bulygina, A.I.; Kharas, K.C.; Ivanova, I.I. Evaluation of Zeolite Acidity by 31P MAS NMR Spectroscopy of Aadsorbed Phosphine Oxides: Quantitative or Not? ACS Omega 2022, 7, 12318–12328. [Google Scholar] [CrossRef] [PubMed]
- Gunther, W.R.; Michaelis, V.K.; Griffin, R.G.; Roman-Leshkov, Y. Interrogating the Lewis Acidity of Metal Sites in Beta Zeolites with 15N Pyridine Adsorption Coupled with MAS NMR Spectroscopy. J. Phys. Chem. C 2016, 120, 28533–28544. [Google Scholar] [CrossRef] [PubMed]
- Wang, C.; Dai, W.; Wu, G.; Guan, N.; Li, L. Application of Ammonia Probe-Assisted Solid-State NMR Technique in Zeolites and Catalysis. Magn. Reson. Lett. 2022, 2, 28–37. [Google Scholar] [CrossRef]
- Biaglow, A.I.; Gorte, R.J.; Kokotailo, G.T.; White, D. A Probe of Brønsted Site Acidity in Zeolites: 13C Chemical Shift of Acetone. J. Catal. 1994, 148, 779–786. [Google Scholar] [CrossRef]
- Yu, Z.; Wang, Q.; Chen, L.; Deng, F. Brønsted/Lewis Acid Sites Synergy in H-MCM-22 Zeolite Studied by 1H and 27Al DQ-MAS NMR Spectroscopy. Cuihua Xuebao/Chin. J. Catal. 2012, 33, 129–139. [Google Scholar] [CrossRef]
- Yakimov, A.V.; Sushkevich, V.L.; van Bokhoven, J.A.; Copéret, C. Probing Acid Sites in MOR Zeolite Using Low-Temperature 13C Solid-State NMR Spectroscopy of Adsorbed Carbon Monoxide. J. Phys. Chem. C 2022, 126, 3681–3687. [Google Scholar] [CrossRef]
- Bonardet, J.L.; Gédéon, A.; Springuel-Huet, M.A.; Fraissard, J. NMR of Physisorbed 129Xe Used as a Probe to Investigate Molecular Sieves. Mol. Sieves–Sci. Technol. 2006, 5, 155–248. [Google Scholar] [CrossRef]
- Weiland, E.; Springuel-Huet, M.A.; Nossov, A.; Gédéon, A. 129Xenon NMR: Review of Recent Insights into Porous Materials. Microporous Mesoporous Mater. 2016, 225, 41–65. [Google Scholar] [CrossRef]
- Boventi, M.; Mauri, M.; Simonutti, R. 129Xe: A Wide-Ranging NMR Probe for Multiscale Structures. Appl. Sci. 2022, 12, 3152. [Google Scholar] [CrossRef]
- Driehuys, B.; Cates, G.D.; Miron, E.; Sauer, K.; Walter, D.K.; Happer, W. High-Volume Production of Laser-Polarized 129Xe. Appl. Phys. Lett. 1996, 69, 1668–1670. [Google Scholar] [CrossRef]
- Walker, T.G.; Happer, W. Spin-Exchange Optical Pumping of Noble-Gas Nuclei. Rev. Mod. Phys. 1997, 69, 629–642. [Google Scholar] [CrossRef]
- Comment, A.; Jannin, S.; Hyacinthe, J.N.; Miéville, P.; Sarkar, R.; Ahuja, P.; Vasos, P.R.; Montet, X.; Lazeyras, F.; Vallée, J.P.; et al. Hyperpolarizing Gases via Dynamic Nuclear Polarization and Sublimation. Phys. Rev. Lett. 2010, 105, 018104. [Google Scholar] [CrossRef]
- Krjukov, E.V.; O’Neill, J.D.; Owers-Bradley, J.R. Brute Force Polarization of 129Xe. J. Low Temp. Phys. 2005, 140, 397–408. [Google Scholar] [CrossRef]
- Barskiy, D.A.; Tayler, M.C.D.; Marco-Rius, I.; Kurhanewicz, J.; Vigneron, D.B.; Cikrikci, S.; Aydogdu, A.; Reh, M.; Pravdivtsev, A.N.; Hövener, J.B.; et al. Zero-Field Nuclear Magnetic Resonance of Chemically Exchanging Systems. Nat. Commun. 2019, 10, 3002. [Google Scholar] [CrossRef]
- Burueva, D.B.; Eills, J.; Blanchard, J.W.; Garcon, A.; Picazo-Frutos, R.; Kovtunov, K.V.; Koptyug, I.V.; Budker, D. Chemical Reaction Monitoring Using Zero-Field Nuclear Magnetic Resonance Enables Study of Heterogeneous Samples in Metal Containers. Angew. Chem.-Int. Ed. 2020, 59, 17026–17032. [Google Scholar] [CrossRef]
- Tayler, M.C.D.; Ward-Williams, J.; Gladden, L.F. NMR Relaxation in Porous Materials at Zero and Ultralow Magnetic Fields. J. Magn. Reson. 2018, 297, 1–8. [Google Scholar] [CrossRef]
- Tayler, M.C.D.; Ward-Williams, J.; Gladden, L.F. Ultralow-Field Nuclear Magnetic Resonance of Liquids Confined in Ferromagnetic and Paramagnetic Materials. Appl. Phys. Lett. 2019, 115, 072409. [Google Scholar] [CrossRef]
- Valiullin, R.; Kärger, J.; Cho, K.; Choi, M.; Ryoo, R. Dynamics of Water Diffusion in Mesoporous Zeolites. Microporous Mesoporous Mater. 2011, 142, 236–244. [Google Scholar] [CrossRef]
- Mehlhorn, D.; Valiullin, R.; Kärger, J.; Cho, K.; Ryoo, R. Exploring the Hierarchy of Transport Phenomena in Hierarchical Pore Systems by NMR Diffusion Measurement. Microporous Mesoporous Mater. 2012, 164, 273–279. [Google Scholar] [CrossRef]
- Krylova, E.A.; Shelyapina, M.G.; Nowak, P.; Harańczyk, H.; Chislov, M.; Zvereva, I.A.; Privalov, A.F.; Becker, M.; Vogel, M.; Petranovskii, V. Mobility of Water Molecules in Sodium- and Copper-Exchanged Mordenites: Thermal Analysis and 1H NMR. Microporous Mesoporous Mater. 2018, 265, 132–142. [Google Scholar] [CrossRef]
- Mantle, M.D.; Ainte, M.; York, A.P.E.; Bentley, M.; Gladden, L.F. A Simple 1H PFG NMR Method to Determine Intracrystalline Molecular Self-Diffusivities for Weakly Adsorbing Hydrocarbon Gases in Microporous Materials. Catal. Today 2024, 431, 114561. [Google Scholar] [CrossRef]
- Mitchell, J.; Broche, L.M.; Chandrasekera, T.C.; Lurie, D.J.; Gladden, L.F. Exploring Surface Interactions in Catalysts Using Low-Field Nuclear Magnetic Resonance. J. Phys. Chem. C 2013, 117, 17699–17706. [Google Scholar] [CrossRef]
- Robinson, N.; Bräuer, P.; York, A.P.E.; D’Agostino, C. Nuclear Spin Relaxation as a Probe of Zeolite Acidity: A Combined NMR and TPD Investigation of Pyridine in HZSM-5. Phys. Chem. Chem. Phys. 2021, 23, 17752–17760. [Google Scholar] [CrossRef] [PubMed]
- D’Agostino, C.; Bräuer, P.; Zheng, J.; Robinson, N.; York, A.P.E.; Song, L.; Fan, X. Adsorbate/Adsorbent Interactions in Microporous Zeolites: Mechanistic Insights from NMR Relaxation and DFT Calculations. Mater. Today Chem. 2023, 29, 101443. [Google Scholar] [CrossRef]
- Webber, J.B.W.; Livadaris, V.; Andreev, A.S. USY Zeolite Mesoporosity Probed by NMR Cryoporometry. Microporous Mesoporous Mater. 2020, 306, 110404. [Google Scholar] [CrossRef]
- Fleury, M.; Pirngruber, G.; Jolimaitre, E. Probing Diffusional Exchange in Mesoporous Zeolite by NMR Diffusion and Relaxation Methods. Microporous Mesoporous Mater. 2023, 355, 112575. [Google Scholar] [CrossRef]
- Burduhos Nergis, D.D.; Vizureanu, P.; Ardelean, I.; Sandu, A.V.; Corbu, O.C.; Matei, E. Revealing the Influence of Microparticles on Geopolymers’ Synthesis and Porosity. Materials 2020, 13, 3211. [Google Scholar] [CrossRef]
- Bernin, D.; Topgaard, D. NMR Diffusion and Relaxation Correlation Methods: New Insights in Heterogeneous Materials. Curr. Opin. Colloid Interface Sci. 2013, 18, 166–172. [Google Scholar] [CrossRef]
- Chizhik, V.I.; Chernyshev, Y.S.; Donets, A.V.; Frolov, V.V.; Komolkin, A.V.; Shelyapina, M.G. Magnetic Resonance and Its Applications; Springer International Publishing: Cham, Switzerland, 2014; ISBN 9783319052984. [Google Scholar]
- Freeman, R.; Hill, H.D.W. Fourier Transform Study of NMR Spin-Lattice Relaxation by “Progressive Saturation”. J. Chem. Phys. 1971, 54, 3367–3377. [Google Scholar] [CrossRef]
- Wei, R.; Dickson, C.L.; Uhrín, D.; Lloyd-Jones, G.C. Rapid Estimation of T1 for Quantitative NMR. J. Org. Chem. 2021, 86, 9023–9029. [Google Scholar] [CrossRef] [PubMed]
- Kingsley, P.B. Methods of Measuring Spin-Lattice (T1) Relaxation Times: An Annotated Bibliography. Concepts Magn. Reson. 1999, 11, 243–276. [Google Scholar] [CrossRef]
- Fujara, F.; Kruk, D.; Privalov, A.F. Solid State Field-Cycling NMR Relaxometry: Instrumental Improvements and New Applications. Prog. Nucl. Magn. Reson. Spectrosc. 2014, 82, 39–69. [Google Scholar] [CrossRef]
- Hahn, E.L. Spin Echoes. Phys. Rev. 1950, 80, 580–594. [Google Scholar] [CrossRef]
- Carr, H.Y.; Purcell, E.M. Effects of Diffusion on Free Precession in Nuclear Magnetic Resonance Experiments. Phys. Rev. 1954, 94, 630–638. [Google Scholar] [CrossRef]
- Meiboom, S.; Gill, D. Modified Spin-Echo Method for Measuring Nuclear Relaxation Times. Rev. Sci. Instrum. 1958, 29, 688–691. [Google Scholar] [CrossRef]
- Stejskal, E.O.; Tanner, J.E. Spin Diffusion Measurements: Spin Echoes in the Presence of a Time-dependent Field Gradient. J. Chem. Phys. 1965, 42, 288–292. [Google Scholar] [CrossRef]
- Gibbs, S.J.; Johnson, C.S. A PFG NMR Experiment for Accurate Diffusion and Flow Studies in the Presence of Eddy Currents. J. Magn. Reson. 1991, 93, 395–402. [Google Scholar] [CrossRef]
- Wu, D.H.; Chen, A.; Johnson, C.S. An Improved Diffusion-Ordered Spectroscopy Experiment Incorporating Bipolar-Gradient Pulses. J. Magn. Reson. Ser. A 1995, 115, 260–264. [Google Scholar] [CrossRef]
- Morris, G.A. Diffusion-Ordered Spectroscopy. eMagRes 2009, 2009, 1–13. [Google Scholar] [CrossRef]
- Chang, I.; Fujara, F.; Geil, B.; Hinze, G.; Sillescu, H.; Tölle, A. New Perspectives of NMR in Ultrahigh Static Magnetic Field Gradients. J. Non. Cryst. Solids 1994, 172, 674–681. [Google Scholar] [CrossRef]
- Velasco, M.I.; Franzoni, M.B.; Chávez, F.V.; Acosta, R.H. Characterization of Structure and Functionality of Porous Materials. J. Magn. Reson. Open 2023, 14–15, 100099. [Google Scholar] [CrossRef]
- Song, Y.Q.; Venkataramanan, L.; Hürlimann, M.D.; Flaum, M.; Frulla, P.; Straley, C. T1-T2 Correlation Spectra Obtained Using a Fast Two-Dimensional Laplace Inversion. J. Magn. Reson. 2002, 154, 261–268. [Google Scholar] [CrossRef] [PubMed]
- Mitchell, J.; Gladden, L.F.; Chandrasekera, T.C.; Fordham, E.J. Low-Field Permanent Magnets for Industrial Process and Quality Control. Prog. Nucl. Magn. Reson. Spectrosc. 2014, 76, 1–60. [Google Scholar] [CrossRef] [PubMed]
- Washburn, K.E.; Callaghan, P.T. Tracking Pore to Pore Exchange Using Relaxation Exchange Spectroscopy. Phys. Rev. Lett. 2006, 97, 25–28. [Google Scholar] [CrossRef]
- Fleury, M.; Soualem, J. Quantitative Analysis of Diffusional Pore Coupling from T2-Store-T2 NMR Experiments. J. Colloid Interface Sci. 2009, 336, 250–259. [Google Scholar] [CrossRef]
- Mitchell, J.; Griffith, J.D.; Collins, J.H.P.; Sederman, A.J.; Gladden, L.F.; Johns, M.L. Validation of NMR Relaxation Exchange Time Measurements in Porous Media. J. Chem. Phys. 2007, 127, 234701. [Google Scholar] [CrossRef]
- Gao, Y.; Blümich, B. Analysis of Three-Site T2-T2 Exchange NMR. J. Magn. Reson. 2020, 315, 106740. [Google Scholar] [CrossRef]
- Jeener, J.; Broekaert, P. Nuclear Magnetic Resonance in Solids: Thermodynamic Effects of a Pair of Rf Pulses. Phys. Rev. 1967, 157, 232–240. [Google Scholar] [CrossRef]
- Spiess, H.W. Deuteron Spin Alignment: A Probe for Studying Ultraslow Motions in Solids and Solid Polymers. J. Chem. Phys. 1980, 72, 6755–6762. [Google Scholar] [CrossRef]
- Bloembergen, N.; Purcell, E.M.; Pound, R.V. Relaxation Effects in Nuclear Magnetic Resonance Absorption. Phys. Rev. 1948, 73, 679–712. [Google Scholar] [CrossRef]
- McCall, D.W.; Douglass, D.C.; Anderson, E.W. Molecular Motion in Polyethylene. II. J. Chem. Phys. 1959, 30, 1272–1275. [Google Scholar] [CrossRef]
- Pfeifer, H. Nuclear Magnetic Resonance and Relaxation of Molecules Adsorbed on Solids. In NMR—Basic Principles and Progress; Diehl, P., Fluck, E., Kosfeld, R., Eds.; Springer: Berlin/Heidelberg, Germany, 1972; pp. 53–153. ISBN 978-3-642-65312-4. [Google Scholar]
- Skripov, A.V.; Shelyapina, M.G. Nuclear Magnetic Resonance. In Neutron Scattering and Other Nuclear Techniques for Hydrogen in Materials; Fritzsche, H., Huot, J., Fruchart, D., Eds.; Springer International Publishing: Cham, Switzerland, 2016; pp. 337–376. ISBN 978-3-319-22792-4. [Google Scholar]
- Zimmerman, J.R.; Brittin, W.E. Nuclear Magnetic Resonance Studies in Multiple Phase Systems: Lifetime of a Water Molecule in an Adsorbing Phase on Silica Gel. J. Phys. Chem. 1957, 61, 1328–1333. [Google Scholar] [CrossRef]
- Chizhik, V.I.; Rykov, I.A.; Shelyapina, M.G.; Fruchart, D. Proton Relaxation and Hydrogen Mobility in Ti-V-Cr Alloys: Improved Exchange Model. Int. J. Hydrogen Energy 2014, 39, 17416–17421. [Google Scholar] [CrossRef]
- Lalowicz, Z.T.; Birczyński, A.; Krzyziak, A. Translational and Rotational Dynamics of Molecules Confined in Zeolite Nanocages by Means of Deuteron NMR. J. Phys. Chem. C 2017, 121, 26472–26482. [Google Scholar] [CrossRef]
- Kuhn, A.; Kunze, M.; Sreeraj, P.; Wiemhöfer, H.D.; Thangadurai, V.; Wilkening, M.; Heitjans, P. NMR Relaxometry as a Versatile Tool to Study Li Ion Dynamics in Potential Battery Materials. Solid State Nucl. Magn. Reson. 2012, 42, 2–8. [Google Scholar] [CrossRef]
- Habasaki, J.; Len, C.; Ngai, K.L. Dynamics of Glassy, Crystalline and Liquid Ionic Conductors. Experiment, Theories, Simulations; Springer: Cham, Switzerland, 2017; Volume 132, ISBN 978-3-319-42389-0. [Google Scholar]
- Shelyapina, M.G.; Nefedov, D.Y.; Kostromin, A.V.; Silyukov, O.I.; Zvereva, I.A. Proton Mobility in Ruddlesden–Popper Phase H2La2Ti3O10 Studied by 1H NMR. Ceram. Int. 2019, 45, 5788–5795. [Google Scholar] [CrossRef]
- Slichter, C.P. Principles of Magnetic Resonance; Springer: Berlin/Heidelberg, Germany, 1990; ISBN 978-3-662-09441-9. [Google Scholar]
- Callaghan, P.T.; Jolley, K.W.; Lelievre, J. Diffusion of Water in the Endosperm Tissue of Wheat Grains as Studied by Pulsed Field Gradient Nuclear Magnetic Resonance. Biophys. J. 1979, 28, 133–142. [Google Scholar] [CrossRef]
- Nowak, A.K.; Den Ouden, C.J.J.; Pickett, S.D.; Smit, B.; Cheetham, A.K.; Post, M.F.M.; Thomas, J.M. Mobility of Adsorbed Species in Zeolites: Methane, Ethane, and Propane Diffusivities. J. Phys. Chem. 1991, 95, 848–854. [Google Scholar] [CrossRef]
- Prodinger, S.; Berdiell, I.C.; Cordero-Lanzac, T.; Bygdnes, O.R.; Solemsli, B.G.; Kvande, K.; Arstad, B.; Beato, P.; Olsbye, U.; Svelle, S. Cation-Induced Speciation of Port-Size during Mordenite Zeolite Synthesis. J. Mater. Chem. A 2023, 11, 21884–21894. [Google Scholar] [CrossRef] [PubMed]
- Shelyapina, M.G.; Zvereva, I.A.; Yafarova, L.V.; Bogdanov, D.S.; Sukharzhevskii, S.M.; Zhukov, Y.M.; Petranovskii, V. Thermal Analysis and EPR Study of Copper Species in Mordenites Prepared by Conventional and Microwave-Assisted Methods. J. Therm. Anal. Calorim. 2018, 134, 71–79. [Google Scholar] [CrossRef]
- Egorov, A.V.; Egorova, M.I.; Mizyulin, D.A.; Shelyapina, M.G. Water Structure and Dynamics in Microporous Mordenite from Molecular Dynamics Simulation. Appl. Magn. Reson. 2024, 55, 805–818. [Google Scholar] [CrossRef]
- Mitra, P.P.; Sen, P.N.; Schwartz, L.M. Short-Time Behavior of the Diffusion Coefficient as a Geometrical Probe of Porous Media. Phys. Rev. B 1993, 47, 8565–8574. [Google Scholar] [CrossRef]
- Valiullin, R.; Skirda, V. Time Dependent Self-Diffusion Coefficient of Molecules in Porous Media. J. Chem. Phys. 2001, 114, 452–458. [Google Scholar] [CrossRef]
- Sen, P.N. Time-Dependent Diffusion Coefficient as a Probe of Permeability of the Pore Wall. J. Chem. Phys. 2003, 120, 9871–9876. [Google Scholar] [CrossRef]
- Vyvodtceva, A.V.; Shelyapina, M.G.; Privalov, A.F.; Chernyshev, Y.S.; Fruchart, D. 1H NMR Study of Hydrogen Self-Diffusion in Ternary Ti-V-Cr Alloys. J. Alloys Compd. 2014, 614, 364–367. [Google Scholar] [CrossRef]
- Shelyapina, M.G.; Dost, A.V.; Skryabina, N.E.; Privalov, A.F.; Vogel, M.; Fruchart, D. Effect of Zr7Ni10 Additive on Hydrogen Mobility in (TiCr1.8)1-xVx (x = 0.2, 0.4, 0.6, 0.8): An 1H NMR SFG Study. Int. J. Hydrogen Energy 2020, 45, 7929–7937. [Google Scholar] [CrossRef]
- Callaghan, P.T. Translational Dynamics and Magnetic Resonance. Principles of Pulsed Gradient Spin Echo NMR; Oxford University Press: Oxford, UK, 2011; ISBN 9780199556984. [Google Scholar]
- Hagslätt, H.; Jönsson, B.; Nydén, M.; Söderman, O. Predictions of Pulsed Field Gradient NMR Echo-Decays for Molecules Diffusing in Various Restrictive Geometries. Simulations of Diffusion Propagators Based on a Finite Element Method. J. Magn. Reson. 2003, 161, 138–147. [Google Scholar] [CrossRef]
- Sen, P.N. Time-Dependent Diffusion Coefficient as a Probe of Geometry. Concepts Magn. Reson. Part A Bridg. Educ. Res. 2004, 23, 1–21. [Google Scholar] [CrossRef]
- Price, W.S. NMR Studies of Translational Motion: Principles and Applications; Cambridge University Press: Cambridge, UK, 2009; ISBN 9780511770487. [Google Scholar]
- Shelyapina, M.G.; Vyvodtceva, A.V.; Klyukin, K.A.; Bavrina, O.O.; Chernyshev, Y.S.S.; Privalov, A.F.; Fruchart, D. Hydrogen Diffusion in Metal-Hydrogen Systems via NMR and DFT. Int. J. Hydrogen Energy 2015, 40, 17038–17050. [Google Scholar] [CrossRef]
- Suh, K.J.; Hong, Y.S.; Skirda, V.D.; Volkov, V.I.; Lee, C.Y.; Lee, C.H. Water Self-Diffusion Behavior in Yeast Cells Studied by Pulsed Field Gradient NMR. Biophys. Chem. 2003, 104, 121–130. [Google Scholar] [CrossRef] [PubMed]
- Beckert, S.; Stallmach, F.; Toufar, H.; Freude, D.; Kärger, J.; Haase, J. Tracing Water and Cation Diffusion in Hydrated Zeolites of Type Li-LSX by Pulsed Field Gradient NMR. J. Phys. Chem. C 2013, 117, 24866–24872. [Google Scholar] [CrossRef]
- Tsutsumi, K.; Kawai, T.; Yanagihara, T. Adsorption Characteristics of Hydrophobic Zeolites. Stud. Surf. Sci. Catal. 1994, 83, 217–224. [Google Scholar] [CrossRef]
- Kawai, T.; Tsutsumi, K. Evaluation of Hydrophilic-Hydrophobic Character of Zeolites by Measurements of Their Immersional Heats in Water. Colloid Polym. Sci. 1992, 270, 711–715. [Google Scholar] [CrossRef]
- Catuzo, G.L.; Santilli, C.V.; Martins, L. Hydrophobic-Hydrophilic Balance of ZSM-5 Zeolites on the Two-Phase Ketalization of Glycerol with Acetone. Catal. Today 2021, 381, 215–223. [Google Scholar] [CrossRef]
- Pissis, P.; Daoukaki-Diamanti, D. Dielectric Studies of Molecular Mobility in Hydrated Zeolites. J. Phys. Chem. Solids 1993, 54, 701–709. [Google Scholar] [CrossRef]
- Higgins, F.M.; De Leeuw, H.; Parker, S.C. Modelling the Effect of Water on Cation Exchange in Zeolite A. J. Mater. Chem. 2002, 12, 124–131. [Google Scholar] [CrossRef]
- Maurin, G.; Bell, R.G.; Devautour, S.; Henn, F.; Giuntini, J.C. Modeling the Effect of Hydration in Zeolite Na+-Mordenite. J. Phys. Chem. B 2004, 108, 3739–3745. [Google Scholar] [CrossRef]
- Buntkowsky, G.; Breitzke, H.; Adamczyk, A.; Roelofs, F.; Emmler, T.; Gedat, E.; Gru, B.; Limbach, H.; Shenderovich, I.; Vyalikh, A.; et al. Structural and Dynamical Properties of Guest Molecules Confined in Mesoporous Silica Materials Revealed by NMR. Phys. Chem. Chem. Phys. 2007, 9, 4843–4853. [Google Scholar] [CrossRef] [PubMed]
- Hansen, E.W.; Sto, M.; Schmidt, R. Low-Temperature Phase Transition of Water Confined in Mesopores Probed by NMR. Influence on Pore Size Distribution. J. Phys. Chem. 1996, 100, 2195–2200. [Google Scholar] [CrossRef]
- Alba-Simionesco, C.; Coasne, B.; Dosseh, G.; Dudziak, G.; Gubbins, K.E.; Radhakrishnan, R.; Sliwinska-Bartkowiak, M. Effects of Confinement on Freezing and Melting. J. Phys. Condens. Matter 2006, 18, R15–R68. [Google Scholar] [CrossRef] [PubMed]
- Waugh, J.; Fedin, E. Determination of Hindered Rotation Barriers in Solids. Sov. Phys. Solid State 1963, 4, 1633–1636. [Google Scholar]
- Leherte, L.; Andre, J.-M.; Derouane, E.G.; Vercauteren, D.P. What Does Zeolitic Water Look like?: Modelization by Molecular Dynamics Simulations. Int. J. Quantum Chem. 1992, 42, 1291–1326. [Google Scholar] [CrossRef]
- Porter, A.J.; McHugh, S.L.; Omojola, T.; Silverwood, I.P.; O’Malley, A.J. The Effect of Si/Al Ratio on Local and Nanoscale Water Diffusion in H-ZSM-5: A Quasielastic Neutron Scattering and Molecular Dynamics Simulation Study. Microporous Mesoporous Mater. 2023, 348, 112391. [Google Scholar] [CrossRef]
- Paczwa, M.; Sapiga, A.A.; Olszewski, M.; Sergeev, N.A.; Sapiga, A.V. Spin-Lattice Relaxations Study of Water Mobility in Natural Natrolite. J. Struct. Chem. 2016, 57, 319–324. [Google Scholar] [CrossRef]
- Kasperovich, V.S.; Shelyapina, M.G.; Khar’Kov, B.; Rykov, I.; Osipov, V.; Kurenkova, E.; Ievlev, A.V.; Skryabina, N.E.; Fruchart, D.; Miraglia, S.; et al. NMR Study of Metal-Hydrogen Systems for Hydrogen Storage. J. Alloys Compd. 2011, 509, S804–S808. [Google Scholar] [CrossRef]
- Shelyapina, M.G.; Nefedov, D.Y.; Antonenko, A.O.; Hmok, H.; Egorov, A.V.; Egorova, M.I.; Ievlev, A.V.; Yocupicio-Gaxiola, R.I.; Petranovskii, V.; Antúnez-García, J.; et al. Dynamics of Guest Water Molecules in Pillared Mordenite Studied by 1H NMR Relaxation. Appl. Magn. Reson. 2023, 54, 915–928. [Google Scholar] [CrossRef]
- Panich, A.M.; Sergeev, N.A.; Paczwa, M.; Olszewski, M. 1H NMR Study of Water Molecules Confined in Nanochannels of Mordenite. Solid State Nucl. Magn. Reson. 2016, 76, 24–28. [Google Scholar] [CrossRef]
- Sergeev, N.A.; Paczwa, M.; Olszewski, M.; Panich, A.M. 23Na and 27Al NMR Study of Structure and Dynamics in Mordenite. Appl. Magn. Reson. 2017, 48, 115–124. [Google Scholar] [CrossRef] [PubMed]
- Katsiotis, M.S.; Fardis, M.; Al Wahedi, Y.; Stephen, S.; Tzitzios, V.; Boukos, N.; Kim, H.J.; Alhassan, S.M.; Papavassiliou, G. Water Coordination, Proton Mobility, and Lewis Acidity in HY Nanozeolites: A High-Temperature 1H and 27Al NMR Study. J. Phys. Chem. C 2015, 119, 3428–3438. [Google Scholar] [CrossRef]
- Godefroy, S.; Korb, J.P.; Fleury, M.; Bryant, R.G. Surface Nuclear Magnetic Relaxation and Dynamics of Water and Oil in Macroporous Media. Phys. Rev. E—Stat. Phys. Plasmas Fluids Relat. Interdiscip. Top. 2001, 64, 021605. [Google Scholar] [CrossRef] [PubMed]
- Mitchell, J.; Webber, J.B.W.; Strange, J.H. Nuclear Magnetic Resonance Cryoporometry. Phys. Rep. 2008, 461, 1–36. [Google Scholar] [CrossRef]
- Korb, J.P. Nuclear Magnetic Relaxation of Liquids in Porous Media. New J. Phys. 2011, 13, 035016. [Google Scholar] [CrossRef]
- Stallmach, F.; Pusch, A.K.; Splith, T.; Horch, C.; Merker, S. NMR Relaxation and Diffusion Studies of Methane and Carbon Dioxide in Nanoporous ZIF-8 and ZSM-58. Microporous Mesoporous Mater. 2015, 205, 36–39. [Google Scholar] [CrossRef]
- D’Agostino, C.; York, A.P.E.; Bräuer, P. Host-Guest Interactions and Confinement Effects in HZSM-5 and Chabazite Zeolites Studied by Low-Field NMR Spin Relaxation. Mater. Today Chem. 2022, 24, 100901. [Google Scholar] [CrossRef]
- Zou, R.; Chansai, S.; Xu, S.; An, B.; Zainal, S.; Zhou, Y.; Xin, R.; Gao, P.; Hou, G.; D’Agostino, C.; et al. Pt Nanoparticles on Beta Zeolites for Catalytic Toluene Oxidation: Effect of the Hydroxyl Groups of Beta Zeolite. ChemCatChem 2023, 15, e202300811. [Google Scholar] [CrossRef]
- Forster, L.; Kashbor, M.M.M.; Railton, J.; Chansai, S.; Hardacre, C. Low-Field 2D NMR Relaxation and DRIFTS Studies of Glucose Isomerization in Zeolite Y: New Insights into Adsorption Effects on Catalytic Performance. J. Catal. 2023, 425, 269–285. [Google Scholar] [CrossRef]
- Zhang, P.; Lu, S.; Li, J.; Chang, X. 1D and 2D Nuclear Magnetic Resonance (NMR) Relaxation Behaviors of Protons in Clay, Kerogen and Oil-Bearing Shale Rocks. Mar. Pet. Geol. 2020, 114, 104210. [Google Scholar] [CrossRef]
- Ridwan, M.G.; Kamil, M.I.; Sanmurjana, M.; Dehgati, A.M.; Permadi, P.; Marhaendrajana, T.; Hakiki, F. Low Salinity Waterflooding: Surface Roughening and Pore Size Alteration Implications. J. Pet. Sci. Eng. 2020, 195, 107868. [Google Scholar] [CrossRef]
- Mukhametdinova, A.; Habina-Skrzyniarz, I.; Kazak, A.; Krzyżak, A. NMR Relaxometry Interpretation of Source Rock Liquid Saturation—A Holistic Approach. Mar. Pet. Geol. 2021, 132, 105165. [Google Scholar] [CrossRef]
- Yuan, Y.; Rezaee, R. Comparative Porosity and Pore Structure Assessment in Shales: Measurement Techniques, Influencing Factors and Implications for Reservoir Characterization. Energies 2019, 12, 2094. [Google Scholar] [CrossRef]
- Petrov, O.V.; Furó, I. NMR Cryoporometry: Principles, Applications and Potential. Prog. Nucl. Magn. Reson. Spectrosc. 2009, 54, 97–122. [Google Scholar] [CrossRef]
- Jackson, C.L.; McKenna, G.B. The Melting Behavior of Organic Materials Confined in Porous Solids. J. Chem. Phys. 1990, 93, 9002–9011. [Google Scholar] [CrossRef]
- Strange, J.H.; Rahman, M.; Smith, E.G. Characterization of Porous Solids by NMR. Phys. Rev. Lett. 1993, 71, 3589–3591. [Google Scholar] [CrossRef]
- Jehng, J.-Y.; Sprague, D.T.; Halperin, W.P. Pore Structure of Hydrating Cement Paste by Magnetic Resonance Relaxation Analysis and Freezing. Magn. Reson. Imaging 1996, 14, 785–791. [Google Scholar] [CrossRef]
- McConnell, H.M. Reaction Rates by Nuclear Magnetic Resonance. J. Chem. Phys. 1958, 28, 430–431. [Google Scholar] [CrossRef]
- Monteilhet, L.; Korb, J.P.; Mitchell, J.; McDonald, P.J. Observation of Exchange of Micropore Water in Cement Pastes by Two-Dimensional T2—T2 Nuclear Magnetic Resonance Relaxometry. Phys. Rev. E-Stat. Nonlinear Soft Matter Phys. 2006, 74, 061404. [Google Scholar] [CrossRef]
- Robinson, N.; Xiao, G.; Connolly, P.R.J.; Ling, N.N.A.; Fridjonsson, E.O.; May, E.F.; Johns, M.L. Low-Field NMR Relaxation-Exchange Measurements for the Study of Gas Admission in Microporous Solids. Phys. Chem. Chem. Phys. 2020, 22, 13689–13697. [Google Scholar] [CrossRef]
- Elgersma, S.V.; Sederman, A.J.; Mantle, M.D.; Gladden, L.F. Measuring the Liquid-Solid Mass Transfer Coefficient in Packed Beds Using T2-T2 Relaxation Exchange NMR. Chem. Eng. Sci. 2022, 248, 117229. [Google Scholar] [CrossRef]
- Elgersma, S.V.; Zheng, Q.; Avrantinis, N.; Sederman, A.J.; Mantle, M.D.; Gladden, L.F. Quantifying Liquid-Solid Mass Transfer in a Trickle Bed Using T2-T2 Relaxation Exchange NMR. Appl. Magn. Reson. 2023, 54, 1423–1443. [Google Scholar] [CrossRef]













| Pore Shape | ||
|---|---|---|
| Sphere | ||
| Cylinder | ||
| Slit |
Disclaimer/Publisher’s Note: The statements, opinions and data contained in all publications are solely those of the individual author(s) and contributor(s) and not of MDPI and/or the editor(s). MDPI and/or the editor(s) disclaim responsibility for any injury to people or property resulting from any ideas, methods, instructions or products referred to in the content. |
© 2024 by the author. Licensee MDPI, Basel, Switzerland. This article is an open access article distributed under the terms and conditions of the Creative Commons Attribution (CC BY) license (https://creativecommons.org/licenses/by/4.0/).
Share and Cite
Shelyapina, M.G. NMR Relaxation to Probe Zeolites: Mobility of Adsorbed Molecules, Surface Acidity, Pore Size Distribution and Connectivity. Molecules 2024, 29, 5432. https://doi.org/10.3390/molecules29225432
Shelyapina MG. NMR Relaxation to Probe Zeolites: Mobility of Adsorbed Molecules, Surface Acidity, Pore Size Distribution and Connectivity. Molecules. 2024; 29(22):5432. https://doi.org/10.3390/molecules29225432
Chicago/Turabian StyleShelyapina, Marina G. 2024. "NMR Relaxation to Probe Zeolites: Mobility of Adsorbed Molecules, Surface Acidity, Pore Size Distribution and Connectivity" Molecules 29, no. 22: 5432. https://doi.org/10.3390/molecules29225432
APA StyleShelyapina, M. G. (2024). NMR Relaxation to Probe Zeolites: Mobility of Adsorbed Molecules, Surface Acidity, Pore Size Distribution and Connectivity. Molecules, 29(22), 5432. https://doi.org/10.3390/molecules29225432

