Optimization of Magnetic Biochar Preparation Process, Based on Methylene Blue Adsorption
Abstract
1. Introduction
2. Experimental Process and Analysis
2.1. Experimental Condition Design
2.2. P-B Experimental Analysis
2.3. CCD Experimental Analysis
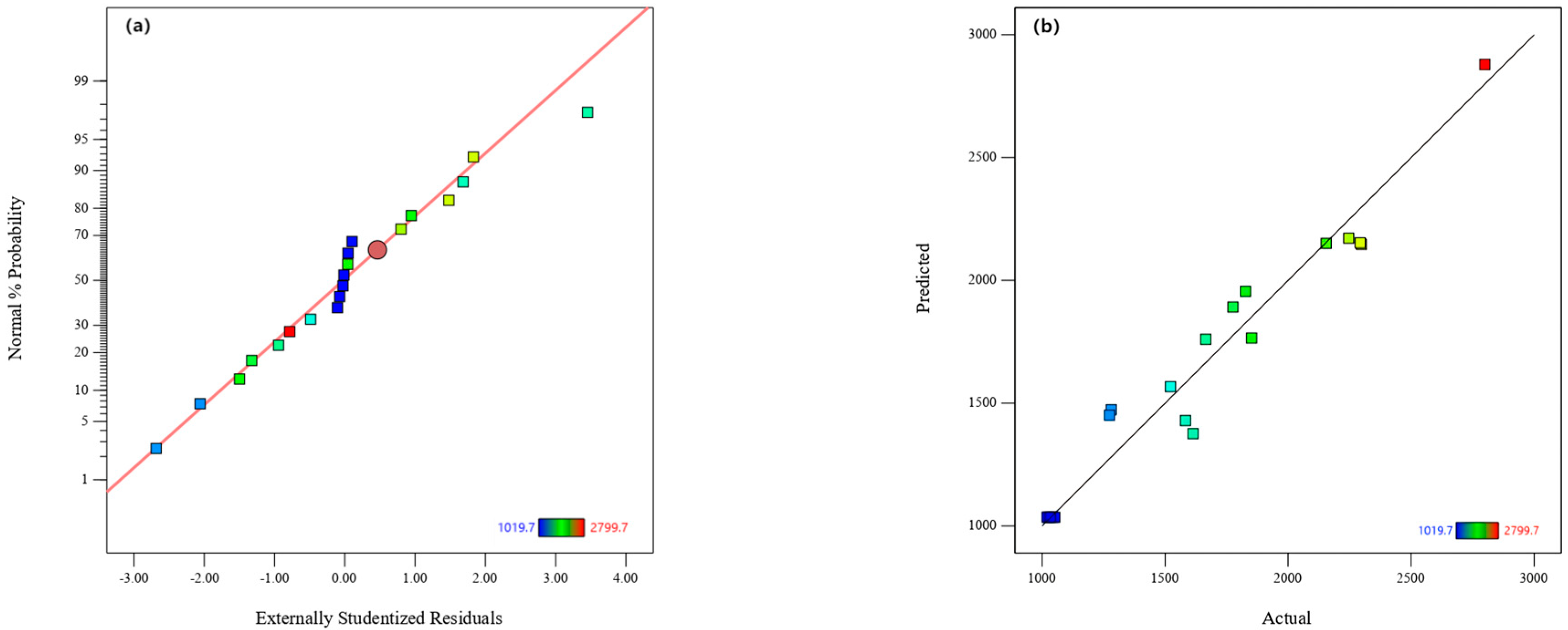
2.3.1. MPOSB Methylene Blue Adsorption Values
2.3.2. MPOSB Yield
2.4. Carbonization Process Optimization Analysis
3. Process Optimization Results
Reusability of the MPOSB
4. Materials and Methods
4.1. Materials
4.2. Preparation of Magnetic Biochar
4.3. Characterization of MPOSB
4.4. Carbonization Equipment
4.5. Adsorption of Methylene Blue
4.6. Reusability Evaluation
5. Conclusions
Author Contributions
Funding
Institutional Review Board Statement
Informed Consent Statement
Data Availability Statement
Conflicts of Interest
References
- Rathschlag, T. Colorants in printing applications. Phys. Sci. Rev. 2022, 7, 163–195. [Google Scholar] [CrossRef]
- Luo, T.; Liang, H.; Chen, D.; Ma, Y.; Yang, W. Highly enhanced adsorption of methyl blue on weakly cross-linked ammonium-functionalized hollow polymer particles. Appl. Surf. Sci. 2020, 505, 144607. [Google Scholar] [CrossRef]
- Tkaczyk, A.; Mitrowska, K.; Posyniak, A. Synthetic organic dyes as contaminants of the aquatic environment and their implications for ecosystems: A review. Sci. Total Environ. 2020, 717, 137222. [Google Scholar] [CrossRef] [PubMed]
- Shah, A.; Shahzad, S.; Munir, A.; Nadagouda, M.N.; Khan, G.S.; Shams, D.F.; Rana, U.A. Micelles as soil and water decontamination agents. Chem. Rev. 2016, 116, 6042–6074. [Google Scholar] [CrossRef]
- Ye, L.; Li, J.; Li, X.; Zhu, P.; Wang, T.; Zhong, Y.; Zhuang, L. Recyclable Flower-like Fe3O4@ SiO2@ NiO Nanoparticles for Rhodamine B Adsorption and Photocatalytic Degradation. ACS Appl. Nano. Mater. 2023, 6, 21695–21706. [Google Scholar] [CrossRef]
- Ahmad, M.; Rajapaksha, A.U.; Lim, J.E.; Zhang, M.; Bolan, N.; Mohan, D.; Ok, Y.S. Biochar as a sorbent for contaminant management in soil and water: A review. Chemosphere 2014, 99, 19–33. [Google Scholar] [CrossRef]
- Yu, S.; Zhang, W.; Dong, X.; Wang, F.; Yang, W.; Liu, C.; Chen, D. A review on recent advances of biochar from agricultural and forestry wastes: Preparation, modification and applications in wastewater treatment. J. Environ. Chem. Eng. 2023, 12, 111638. [Google Scholar] [CrossRef]
- Wijeyawardana, P.; Nanayakkara, N.; Law, D.; Gunasekara, C.; Karunarathna, A.; Pramanik, B.K. Evaluating the performance of cement-modified biochar adsorbent for Cu, Pb and Zn removal from urban stormwater. Process. Saf. Environ. 2024, 186, 1419–1431. [Google Scholar] [CrossRef]
- Liu, F.; Wang, S.; Zhao, C.; Hu, B. Constructing coconut shell biochar/MXenes composites through self-assembly strategy to enhance U (VI) and Cs (I) immobilization capability. Biochar 2023, 5, 31. [Google Scholar] [CrossRef]
- Xiao, B.; Jia, J.; Wang, W.; Zhang, B.; Ming, H.; Ma, S.; Zhao, M. A review on magnetic biochar for the removal of heavy metals from contaminated soils: Preparation, application, and microbial response. J. Hazard. Mater. Adv. 2023, 10, 100254. [Google Scholar] [CrossRef]
- Lim, Y.; Kim, B.; Jang, J.; Lee, D.S. Magnetic rice-straw-derived biochar for adsorptive removal of Hg (II) from aqueous solution: Optimization using response surface methodology. J. Environ. Chem. Eng. 2023, 11, 110048. [Google Scholar] [CrossRef]
- Li, Y.; Zimmerman, A.R.; He, F.; Chen, J.; Han, L.; Chen, H.; Gao, B. Solvent-free synthesis of magnetic biochar and activated carbon through ball-mill extrusion with Fe3O4 nanoparticles for enhancing adsorption of methylene blue. Sci. Total. Environ. 2020, 722, 137972. [Google Scholar] [CrossRef] [PubMed]
- Liu, Y.; Zhang, X.; Deng, J.; Liu, Y. A novel CNTs-Fe3O4 synthetized via a ball-milling strategy as efficient fenton-like catalyst for degradation of sulfonamides. Chemosphere 2021, 277, 130305. [Google Scholar] [CrossRef] [PubMed]
- Li, P.; Wang, Q.; He, X.; Yu, R.; He, C.; Shen, D.; Jiao, Y. Investigation on the effect of different additives on anaerobic co-digestion of corn straw and sewage sludge: Comparison of biochar, Fe3O4, and magnetic biochar. Bioresour. Technol. 2022, 345, 126532. [Google Scholar] [CrossRef] [PubMed]
- Han, Y.; Cao, X.; Ouyang, X.; Sohi, S.P.; Chen, J. Adsorption kinetics of magnetic biochar derived from peanut hull on removal of Cr (VI) from aqueous solution: Effects of production conditions and particle size. Chemosphere 2016, 145, 336–341. [Google Scholar] [CrossRef]
- Selvaraj, R.; Nagendran, V.; Murugesan, G.; Goveas, L.C.; Varadavenkatesan, T.; Samanth, A.; Brindhadevi, K. Synthesis of magnetic biochar composite using Vateria indica fruits through in-situ one-pot hydro-carbonization for Fenton-like catalytic dye degradation. Environ. Res. 2024, 250, 118414. [Google Scholar] [CrossRef]
- Juturu, R.; Selvaraj, R.; Murty, V.R. Efficient removal of hexavalent chromium from wastewater using a novel magnetic biochar composite adsorbent. J. Water. Process. Eng. 2024, 66, 105908. [Google Scholar] [CrossRef]
- Lu, C.; Wan, J.; Chen, X.; Zhang, W.; Lin, K.; Peng, C. Removal of decabromodiphenyl ethane (DBDPE) by BC/nZVI in the soil: Kinetics, pathways and mechanisms. J. Environ. Chem. Eng. 2022, 10, 107004. [Google Scholar] [CrossRef]
- Samanth, A.; Selvaraj, R.; Murugesan, G.; Varadavenkatesan, T.; Vinayagam, R. Efficient adsorptive removal of 2, 4-Dichlorophenoxyacetic acid (2, 4-D) using biomass derived magnetic activated carbon nanocomposite in synthetic and simulated agricultural runoff water. Chemosphere 2024, 361, 142513. [Google Scholar] [CrossRef]
- Zhou, Y.; Liu, G.; Liu, J.; Xiao, Y.; Wang, T.; Xue, Y. Magnetic biochar prepared by electromagnetic induction pyrolysis of cellulose: Biochar characterization, mechanism of magnetization and adsorption removal of chromium (VI) from aqueous solution. Bioresour. Technol. 2021, 337, 125429. [Google Scholar] [CrossRef]
- Sun, M.; Ma, Y.; Yang, Y.; Zhu, X. Effect of iron impregnation ratio on the properties and adsorption of KOH activated biochar for removal of tetracycline and heavy metals. Bioresour. Technol. 2023, 380, 129081. [Google Scholar] [CrossRef] [PubMed]
- Dong, J.; Shen, L.; Shan, S.; Liu, W.; Qi, Z.; Liu, C.; Gao, X. Optimizing magnetic functionalization conditions for efficient preparation of magnetic biochar and adsorption of Pb (II) from aqueous solution. Sci. Total Environ. 2022, 806, 151442. [Google Scholar] [CrossRef] [PubMed]
- Kang, J.K.; Seo, E.J.; Lee, C.G.; Park, S.J. Fe-loaded biochar obtained from food waste for enhanced phosphate adsorption and its adsorption mechanism study via spectroscopic and experimental approach. J. Environ. Chem. Eng. 2021, 9, 105751. [Google Scholar] [CrossRef]
- Gao, X.; Tang, X.; Zhao, K.; Balan, V.; Zhu, Q. Biogas production from anaerobic co-digestion of spent mushroom substrate with different livestock manure. Energies 2021, 14, 570. [Google Scholar] [CrossRef]
- Li, C.; Xu, S. Edible mushroom industry in China: Current state and perspectives. Appl. Microbiol. Biot. 2022, 106, 3949–3955. [Google Scholar] [CrossRef]
- Babu, S.; Rathore, S.S.; Singh, R.; Kumar, S.; Singh, V.K.; Yadav, S.K.; Wani, O.A. Exploring agricultural waste biomass for energy, food and feed production and pollution mitigation: A review. Bioresour. Technol. 2022, 360, 127566. [Google Scholar] [CrossRef]
- Lam, S.S.; Lee, X.Y.; Nam, W.L.; Phang, X.Y.; Liew, R.K.; Yek, P.N.; Rosli, M.H. Microwave vacuum pyrolysis conversion of waste mushroom substrate into biochar for use as growth medium in mushroom cultivation. J. Chem. Technol. Biot. 2019, 94, 1406–1415. [Google Scholar] [CrossRef]
- Lohan, D.; Jain, R.; Srivastava, A.; Dutta, S.; Mohan, D.; Sharma, R.K. Surface engineering approaches for the design of magnetic biochar-composites for removal of heavy metals: A comprehensive review. J. Environ. Chem. Eng. 2023, 11, 111448. [Google Scholar] [CrossRef]
- Tan, C.; Zhang, X.; Liao, C.; Huang, Y.; Zheng, J.; Chen, H.; He, H. Optimization of fishbone biochar preparation process based on adsorption performance. Sustain. Chem. Pharm. 2023, 32, 101015. [Google Scholar] [CrossRef]
- Saeed, R.; Ahmed, D.; Mushtaq, M. Ultrasound-aided enzyme-assisted efficient extraction of bioactive compounds from Gymnema sylvestre and optimization as per response surface methodology. Sustain. Chem. Pharm. 2022, 29, 100818. [Google Scholar] [CrossRef]
- Griffin, G.J.; Ward, L.P.; Madapusi, S.; Shah, K.V.; Parthasarathy, R. A study of chemical pre-treatment and pyrolysis operating conditions to enhance biochar production from rice straw. J. Anal. Appl. Pyrol. 2022, 163, 105455. [Google Scholar] [CrossRef]
- Kamari, S.; Ghorbani, F.; Sanati, A.M. Adsorptive removal of lead from aqueous solutions by amine–functionalized magMCM-41 as a low–cost nanocomposite prepared from rice husk: Modeling and optimization by response surface methodology. Sustain. Chem. Pharm. 2019, 13, 100153. [Google Scholar] [CrossRef]
- Anderson, D.R.; Burnham, K.P.; Thompson, W.L. Null hypothesis testing: Problems, prevalence, and an alternative. J. Wildl. Manag. 2000, 64, 912–923. [Google Scholar] [CrossRef]
- Tomczyk, A.; Sokołowska, Z.; Boguta, P. Biomass type effect on biochar surface characteristic and adsorption capacity relative to silver and copper. Fuel 2020, 278, 118168. [Google Scholar] [CrossRef]
- Pavlíková Přecechtělová, J.; Bahmann, H.; Kaupp, M.; Ernzerhof, M. Design of exchange-correlation functionals through the correlation factor approach. J. Chem. Phys. 2015, 143, 144102. [Google Scholar] [CrossRef]
- Hu, J.J.; Wang, L.; Zhang, S.P.; Fu, X.H.; Le, Y.Q.; Li, H.R. Enhanced CO2 fixation by a non-photosynthetic microbial community under anaerobic conditions: Optimization of electron donors. Bioresour. Technol. 2011, 102, 3220–3226. [Google Scholar] [CrossRef]
- Straume, M.; Johnson, M.L. [5] Analysis of Residuals: Criteria for determining goodness-of-fit. In Methods in enzymology. Method. Enzymol. 1992, 210, 87–105. [Google Scholar] [CrossRef]
- Xiao, X.; Chen, B.; Chen, Z.; Zhu, L.; Schnoor, J.L. Insight into multiple and multilevel structures of biochars and their potential environmental applications: A critical review. Environ. Sci. Technol. 2018, 52, 5027–5047. [Google Scholar] [CrossRef]
- Bridgwater, A.V.; Meier, D.; Radlein, D. An overview of fast pyrolysis of biomass. Org. Geochem. 1999, 30, 1479–1493. [Google Scholar] [CrossRef]
- Wang, B.; Zhai, Y.; Hu, T.; Niu, Q.; Li, S.; Liu, X.; Xu, M. Green quaternary ammonium nitrogen functionalized mesoporous biochar for sustainable electro-adsorption of perchlorate. Chem. Eng. J. 2021, 419, 129585. [Google Scholar] [CrossRef]
- Ghosh, P.; Mukherji, S. Optimization of media composition for enhancing carbazole degradation by Pseudomonas aeruginosa RS1. J. Environ. Chem. Eng. 2018, 6, 2881–2891. [Google Scholar] [CrossRef]
- Bartolome, L.; Imran, M.; Lee, K.G.; Sangalang, A.; Ahn, J.K. Superparamagnetic γ-Fe2O3 nanoparticles as an easily recoverable catalyst for the chemical recycling of PET. Green Chem. 2014, 16, 279–286. [Google Scholar] [CrossRef]







| Conditional | Parameter |
|---|---|
| Carbonization power (w) | 700 |
| Carbonization temperature (°C) | 400–600 |
| Biomass | Pleurotus ostreatus substrate |
| Material particle size (mm) | 0.1–1 |
| Sample weight (g) | 5 |
| Carrier gas | N2 |
| Carrier gas flow rate (mL/min) | 200 |
| Code | Response Variable | Low Level (−1) | High Level (+1) |
|---|---|---|---|
| A | Carbonization temperature (°C) | 400 | 600 |
| B | Carbonization retention time (h) | 1 | 2 |
| C | m(Fe3+):m(POS) | 0.1 | 0.2 |
| D | Material particle size (mm) | 0.1–0.45 | 0.45–1 |
| Response Variable | Code | Level | ||
|---|---|---|---|---|
| −1 | 0 | +1 | ||
| Carbonization temperature (°C) | A | 400 | 500 | 600 |
| Carbonization retention time (h) | B | 1 | 1.5 | 2 |
| M(Fe3+):m(POS) | C | 0.1 | 0.15 | 0.2 |
| Run | A | B | C | D | E | F | G | H | J | K | L | Y1/% | S1/μg/g |
|---|---|---|---|---|---|---|---|---|---|---|---|---|---|
| 1 | 1 | −1 | 1 | 1 | −1 | 1 | 1 | 1 | −1 | −1 | −1 | 43.1 | 1108.0 |
| 2 | 1 | 1 | −1 | 1 | 1 | 1 | −1 | −1 | −1 | 1 | −1 | 40.2 | 1170.2 |
| 3 | 1 | 1 | 1 | −1 | −1 | −1 | 1 | −1 | 1 | 1 | −1 | 42.1 | 1806.5 |
| 4 | −1 | −1 | −1 | −1 | −1 | −1 | −1 | −1 | −1 | −1 | −1 | 48.2 | 1833.9 |
| 5 | 1 | 1 | −1 | −1 | −1 | 1 | −1 | 1 | 1 | −1 | 1 | 40.7 | 2079.6 |
| 6 | −1 | 1 | 1 | 1 | −1 | −1 | −1 | 1 | −1 | 1 | 1 | 47.9 | 577.5 |
| 7 | −1 | −1 | 1 | −1 | 1 | 1 | −1 | 1 | 1 | 1 | −1 | 50.0 | 1585.8 |
| 8 | 1 | −1 | 1 | 1 | 1 | −1 | −1 | −1 | 1 | −1 | 1 | 43.2 | 1125.9 |
| 9 | −1 | −1 | −1 | 1 | −1 | 1 | 1 | −1 | 1 | 1 | 1 | 48.0 | 980.6 |
| 10 | −1 | 1 | −1 | 1 | 1 | −1 | 1 | 1 | 1 | −1 | −1 | 46.3 | 822.7 |
| 11 | −1 | 1 | 1 | −1 | 1 | 1 | 1 | −1 | −1 | −1 | 1 | 48.5 | 1411.0 |
| 12 | 1 | −1 | −1 | −1 | 1 | −1 | 1 | 1 | −1 | 1 | 1 | 42.0 | 2227.1 |
| Response Value | Response Variable | Bias Regression Coefficient | Standard Error | F-Value | p-Value |
|---|---|---|---|---|---|
| Yield | A | −3.13 | 0.0333 | 8836.00 | <0.0001 |
| B | −0.7333 | 0.0333 | 484.00 | <0.0001 | |
| C | 0.7833 | 0.0333 | 525.25 | <0.0001 | |
| D | −0.2333 | 0.0333 | 49.00 | 0.0002 | |
| Adsorption value | A | 192.15 | 4.77 | 1623.63 | <0.0001 |
| B | −82.82 | 4.77 | 301.61 | <0.0001 | |
| C | −124.95 | 4.77 | 686.56 | <0.0001 | |
| D | −429.92 | 4.77 | 8127.81 | <0.0001 |
| Ordinal | Code | Actual Value | Y2/% | S2/μg/g | ||||
|---|---|---|---|---|---|---|---|---|
| A | B | C | X1 | X2 | X3 | |||
| 1 | −1 | −1 | −1 | 400 | 1 | 0.1 | 48.9 | 1851.9 |
| 2 | 1 | −1 | −1 | 600 | 1 | 0.1 | 42.5 | 2297.0 |
| 3 | −1 | 1 | −1 | 400 | 2 | 0.1 | 49.4 | 1775.3 |
| 4 | 1 | 1 | −1 | 600 | 2 | 0.1 | 39.3 | 2155.0 |
| 5 | −1 | −1 | 1 | 400 | 1 | 0.2 | 51.4 | 1521.4 |
| 6 | 1 | −1 | 1 | 600 | 1 | 0.2 | 42.6 | 2246.0 |
| 7 | −1 | 1 | 1 | 400 | 2 | 0.2 | 50.1 | 1281.4 |
| 8 | 1 | 1 | 1 | 600 | 2 | 0.2 | 41.2 | 1826.5 |
| 9 | −1.68179 | 0 | 0 | 331.82 | 1.5 | 0.15 | 55.1 | 2292.4 |
| 10 | 1.68179 | 0 | 0 | 668.18 | 1.5 | 0.15 | 40.9 | 2799.7 |
| 11 | 0 | −1.68179 | 0 | 500 | 0.66 | 0.15 | 45.3 | 1273.5 |
| 12 | 0 | 1.68179 | 0 | 500 | 2.34 | 0.15 | 45.0 | 1613.1 |
| 13 | 0 | 0 | −1.68179 | 500 | 1.5 | 0.066 | 39.4 | 1665.7 |
| 14 | 0 | 0 | 1.68179 | 500 | 1.5 | 0.234 | 47.9 | 1583.2 |
| 15 | 0 | 0 | 0 | 500 | 1.5 | 0.15 | 45.4 | 1031.5 |
| 16 | 0 | 0 | 0 | 500 | 1.5 | 0.15 | 45.3 | 1042.7 |
| 17 | 0 | 0 | 0 | 500 | 1.5 | 0.15 | 45.1 | 1051.3 |
| 18 | 0 | 0 | 0 | 500 | 1.5 | 0.15 | 45.8 | 1024.5 |
| 19 | 0 | 0 | 0 | 500 | 1.5 | 0.15 | 45.6 | 1019.7 |
| 20 | 0 | 0 | 0 | 500 | 1.5 | 0.15 | 45.1 | 1033.6 |
| Source | Sum of Squares | Degree of Freedom | Mean Square | F-Value | p-Value |
|---|---|---|---|---|---|
| Model | 5.159 × 106 | 9 | 5.732 × 106 | 22.77 | <0.0001 |
| A | 6.362 × 105 | 1 | 6.362 × 105 | 25.27 | 0.0005 |
| B | 6899.57 | 1 | 6899.57 | 0.2741 | 0.6120 |
| C | 1.32 × 105 | 1 | 1.32 × 105 | 5.24 | 0.0450 |
| AB | 7497.0 | 1 | 7497.0 | 0.2978 | 0.5972 |
| AC | 24,742.0 | 1 | 24,742.0 | 0.9829 | 0.3449 |
| BC | 24,299.1 | 1 | 24,299.1 | 0.9635 | 0.3490 |
| A2 | 3.949 × 106 | 1 | 3.949 × 106 | 156.89 | <0.0001 |
| B2 | 2.573 × 105 | 1 | 2.573 × 105 | 10.22 | 0.0095 |
| C2 | 5.631 × 105 | 1 | 5.631 × 105 | 22.37 | 0.0008 |
| Residual | 2.517 × 105 | 9 | 25,110.68 |
| Source | Sum of Squares | Degree of Freedom | Mean Square | F-Value | p-Value |
|---|---|---|---|---|---|
| Model | 292.2 | 9 | 33.24 | 22.4 | <0.0001 |
| A | 247.02 | 1 | 247.02 | 166.42 | <0.0001 |
| B | 2.55 | 1 | 2.55 | 1.72 | 0.219 |
| C | 27.83 | 1 | 27.83 | 18.75 | 0.0015 |
| AB | 1.81 | 1 | 1.81 | 1.22 | 0.296 |
| AC | 0.18 | 1 | 0.18 | 0.1213 | 0.7349 |
| BC | 5.684 × 10−14 | 1 | 5.684 × 10−14 | 3.83 × 10−14 | 1 |
| A2 | 12.68 | 1 | 12.68 | 8.55 | 0.0152 |
| B2 | 0.0695 | 1 | 0.0695 | 0.0468 | 0.833 |
| C2 | 5.18 | 1 | 5.18 | 3.49 | 0.0912 |
| Residual | 14084 | 1.0 |
| Code | Target | Validation | Experimental Conditions | Y/% | S/μg/g | Desirability | ||
|---|---|---|---|---|---|---|---|---|
| Carbonization Temperature (°C) | Retention Time (h) | m(Fe3+):m(POS) | ||||||
| a | Adsorption | Model | 600 | 1 | 0.2 | 43.582 | 2171.711 | 1 |
| Experiment | 600 | 1 | 0.2 | 42.6 | 2246.0 | |||
| b | Yield | Model | 400 | 1 | 0.2 | 51.438 | 1567.584 | 1 |
| Experiment | 400 | 1 | 0.2 | 51.42 | 1521.4 | |||
| c | X1 | Model | 600 | 1 | 0.1 | 41.027 | 2146.887 | 1 |
| Experiment | 600 | 1 | 0.1 | 42.54 | 2297.04 | |||
| d | X2 | Model | 400 | 1 | 0.1 | 48.283 | 1765.210 | 1 |
| Experiment | 400 | 1 | 0.1 | 48.86 | 1851.96 |
| Samples in Table 9 | a | b | c | d |
|---|---|---|---|---|
| Specific surface area (m2/g) | 7.073 | 8.5819 | 37.170 | 4.5655 |
| Total pore volume (cm3/g) | 0.0147 | 0.0097 | 0.0304 | 0.0027 |
| Average pore size (nm) | 8.313 | 4.521 | 3.2715 | 2.3656 |
Disclaimer/Publisher’s Note: The statements, opinions and data contained in all publications are solely those of the individual author(s) and contributor(s) and not of MDPI and/or the editor(s). MDPI and/or the editor(s) disclaim responsibility for any injury to people or property resulting from any ideas, methods, instructions or products referred to in the content. |
© 2024 by the authors. Licensee MDPI, Basel, Switzerland. This article is an open access article distributed under the terms and conditions of the Creative Commons Attribution (CC BY) license (https://creativecommons.org/licenses/by/4.0/).
Share and Cite
Liu, B.; Wu, Y.; Xing, Z.; Zhang, J.; Xue, Y. Optimization of Magnetic Biochar Preparation Process, Based on Methylene Blue Adsorption. Molecules 2024, 29, 5213. https://doi.org/10.3390/molecules29215213
Liu B, Wu Y, Xing Z, Zhang J, Xue Y. Optimization of Magnetic Biochar Preparation Process, Based on Methylene Blue Adsorption. Molecules. 2024; 29(21):5213. https://doi.org/10.3390/molecules29215213
Chicago/Turabian StyleLiu, Bin, Yixuan Wu, Zebing Xing, Ji Zhang, and Yuxin Xue. 2024. "Optimization of Magnetic Biochar Preparation Process, Based on Methylene Blue Adsorption" Molecules 29, no. 21: 5213. https://doi.org/10.3390/molecules29215213
APA StyleLiu, B., Wu, Y., Xing, Z., Zhang, J., & Xue, Y. (2024). Optimization of Magnetic Biochar Preparation Process, Based on Methylene Blue Adsorption. Molecules, 29(21), 5213. https://doi.org/10.3390/molecules29215213

