Enhanced Degradation of Norfloxacin Under Visible Light by S-Scheme Fe2O3/g–C3N4 Heterojunctions
Abstract
1. Introduction
2. Results and Discussion
2.1. Crystal Structures
2.2. Morphology
2.3. XPS Analysis
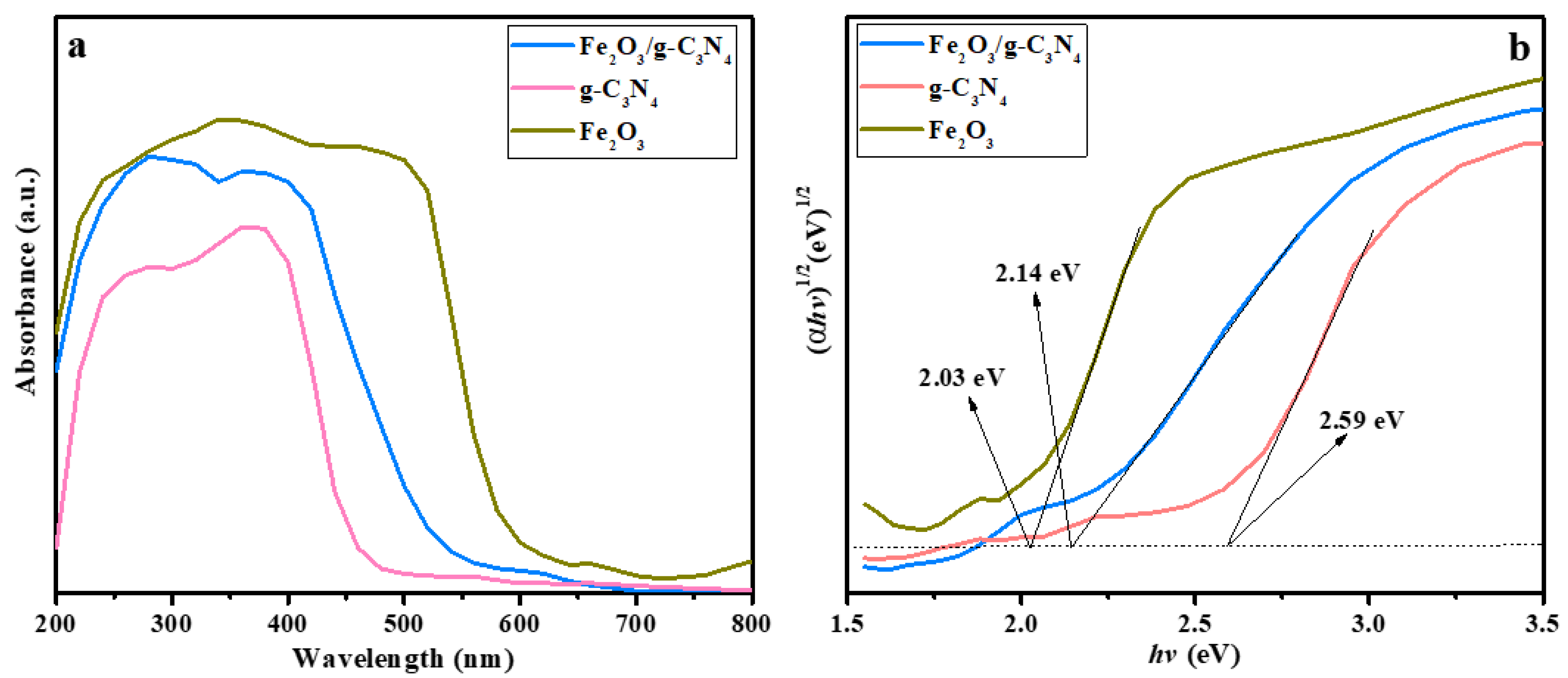
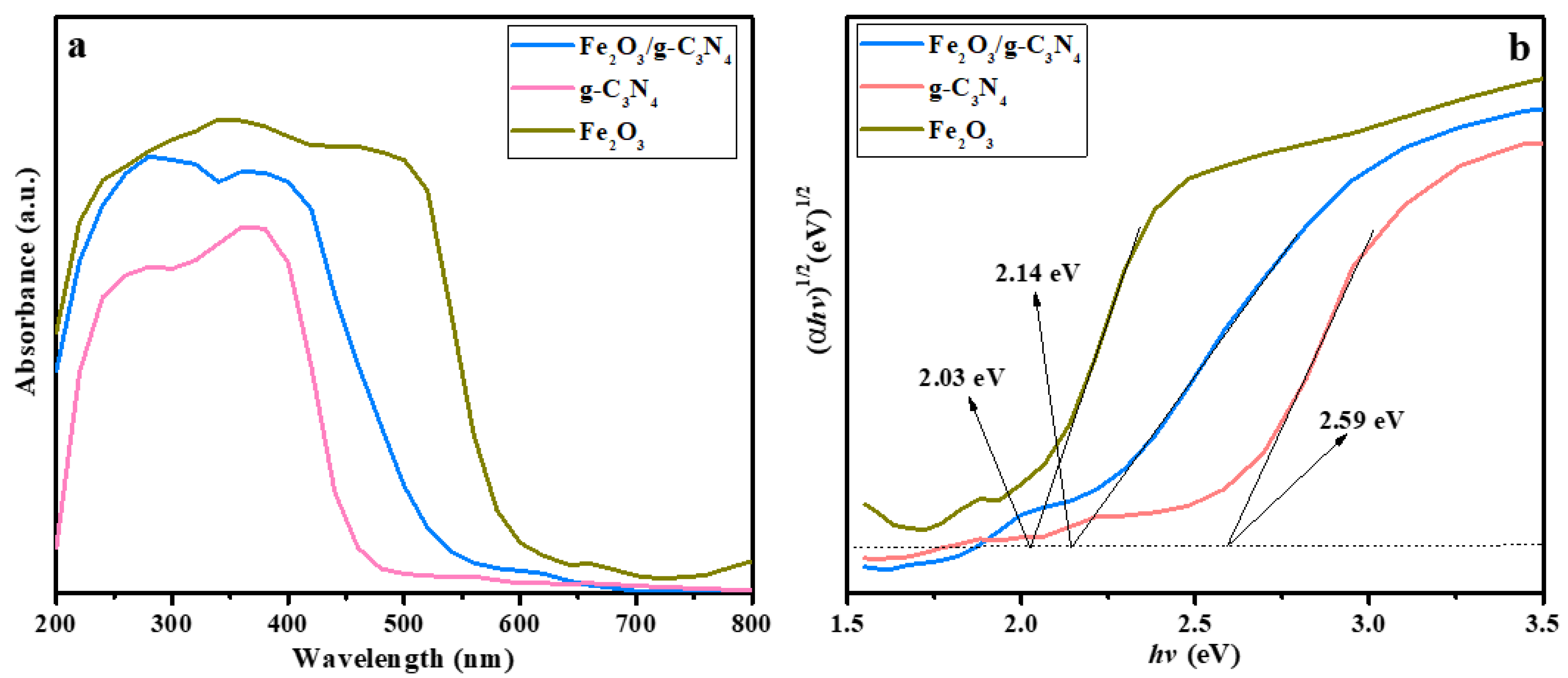
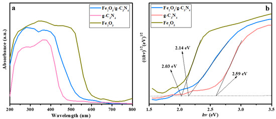
2.4. Optical Properties
2.5. Charge Separation and Transfer
2.6. Photocatalytic Performance
2.7. Photocatalytic Degradation Mechanism
3. Experiment
3.1. Synthesis of Fe2O3/g–C3N4 Composites
3.2. Characterization
3.3. Photocatalytic Experiment
4. Conclusions
Author Contributions
Funding
Institutional Review Board Statement
Informed Consent Statement
Data Availability Statement
Acknowledgments
Conflicts of Interest
References
- Bhandari, G.; Chaudhary, P.; Gangola, S.; Gupta, S.; Gupta, A.; Rafatullah, M.; Chen, S. A review on hospital wastewater treatment technologies: Current management practices and future prospects. J. Water Process. Eng. 2023, 56, 104516. [Google Scholar] [CrossRef]
- Zia, J.; Riaz, U. Photocatalytic degradation of water pollutants using conducting polymer–based nanohybrids: A review on recent trends and future prospects. J. Mol. Liq. 2021, 340, 117162. [Google Scholar] [CrossRef]
- Gracia-Marín, E.; Rico, A.; Fabregat-Safont, D.; López, F.J.; Hernández, F.; Pitarch, E.; Bijlsma, L. Comprehensive study on the potential environmental risk of temporal antibiotic usage through wastewater discharges. Chemosphere 2024, 346, 140587. [Google Scholar] [CrossRef] [PubMed]
- Wei, J.; Hong, Z.; Li, W.; Yang, X.; Fu, Z.; Chen, X.; Hu, J.; Jin, Z.; Long, B.; Chang, X.; et al. Norfloxacin affects inorganic nitrogen compound transformation in tailwater containing Corbicula fluminea. J. Hazard. Mater. 2024, 476, 135116. [Google Scholar] [CrossRef]
- Chandni; Vaseem, H. Investigation of antioxidant defense system, digestive enzymes and histopathological alterations in intestine of catfish, Hetropneustes fossilis exposed to antibiotic norfloxacin. Ecol. Front. 2024, 44, 839–849. [Google Scholar] [CrossRef]
- Kairigo, P.; Ngumba, E.; Sundberg, L.R.; Gachanja, A.; Tuhkanen, T. Occurrence of antibiotics and risk of antibiotic resistance evolution in selected Kenyan wastewaters, surface waters and sediments. Sci. Total Environ. 2020, 720, 137580. [Google Scholar] [CrossRef]
- Huang, F.; An, Z.; Morand, M.J.; Liu, F. Recognition of typical antibiotic residues in environmental media related to groundwater in China (2009–2019). J. Hazard. Mater. 2020, 399, 122813. [Google Scholar] [CrossRef]
- Som, I.; Roy, M.; Saha, R. Advances in nanomaterial-based water treatment approaches for photocatalytic degradation of water pollutants. ChemCatChem 2020, 12, 3409–3433. [Google Scholar] [CrossRef]
- Velempini, T.; Prabakaran, E.; Pillay, K. Recent developments in the use of metal oxides for photocatalytic degradation of pharmaceutical pollutants in water—A review, Mater. Today Chem. 2021, 19, 100380. [Google Scholar]
- Thang, N.Q.; Sabbah, A.; Chen, L.C.; Chen, K.H.; Thi, C.M.; Van Viet, P. High-efficient photocatalytic degradation of commercial drugs for pharmaceutical wastewater treatment prospects: A case study of Ag/g-C3N4/ZnO nanocomposite materials. Chemosphere 2021, 282, 130971. [Google Scholar] [CrossRef]
- Chen, Z.; Zhang, S.; Liu, Y.; Alharbi, N.S.; Rabah, S.O.; Wang, S.; Wang, X. Synthesis and fabrication of g-C3N4-based materials and their application in elimination of pollutants. Sci. Total Environ. 2020, 731, 139054. [Google Scholar] [CrossRef] [PubMed]
- Shaheen, N.; Waqas, M.; Alazmi, A.; Alkhudhayri, A.A.; Hasan, M.; Shahid, M.; Warsi, M.F.; Alsafari, I.A. Hydrothermal assisted WO3@C nanowires supported g-C3N4 ternary nanocomposites for the removal of colored and colorless organic effluents and bacterial strains. Mater. Chem. Phys. 2022, 292, 126754. [Google Scholar] [CrossRef]
- Shakir, I. Synthesis of Gd doped BiFeO3/g-C3N4 composite: Enhancement of solar mediated photocatalytic performance. Mater. Sci. Eng. B 2024, 302, 117252. [Google Scholar] [CrossRef]
- Van, K.N.; Huu, H.T.; Thi, V.N.N.; Thi, T.L.L.; Truong, D.H.; Truong, T.T.; Dao, N.N.; Vo, V.; Tran, D.L.; Vasseghian, Y. Facile construction of S-scheme SnO2/g-C3N4 photocatalyst for improved photoactivity. Chemosphere 2022, 289, 133120. [Google Scholar] [CrossRef]
- Muthuganesh, A.; Jacob, I.D.; Soundranayagam, J.P.; Surender, S.; Elangovan, P.; Flora, X.H. Fabrication of g-C3N4/CuS heterostructures for efficient visible light-driven photocatalysts. Inorg. Chem. Commun. 2024, 159, 111813. [Google Scholar] [CrossRef]
- Dai, M.; He, Z.; Zhang, P.; Li, X.; Wang, S. ZnWO4-ZnIn2S4 S-scheme heterojunction for enhanced photocatalytic H2 evolution. J. Mater. Sci. Technol. 2022, 122, 231–242. [Google Scholar] [CrossRef]
- Yue, Y.; Zou, J. Oxygen vacancy-suppression strengthened the internal electric field in ZnIn2S4/BiVO4 S-scheme heterojunction to boost photocatalytic removal of aqueous pollutants. J. Environ. Chem. Eng. 2024, 12, 113473. [Google Scholar] [CrossRef]
- Yue, L.; Zhang, J.; Zeng, Z.; Zhao, C.; Hu, X.; Zhao, L.; Zhao, B.; He, Y. In situ fabrication of an S-scheme NaNbO3/Bi2O2CO3 heterojunction for enhanced performance in photocatalytic nitrogen fixation. Langmuir 2023, 39, 13267–13278. [Google Scholar] [CrossRef]
- Chen, C.; Zhang, X.F.; Liu, E.Z.; Xu, J.S.; Sun, J.; Shi, H.X. Biochar decorated Bi4O5Br2/g-C3N4 S-scheme heterojunction with enhanced photocatalytic activity for Norfloxacin degradation. J. Mater. Sci. Technol. 2024, 198, 1–11. [Google Scholar] [CrossRef]
- Xu, F.; Chai, B.; Liu, Y.; Liu, Y.; Fan, G.; Song, G. Superior photo-Fenton activity toward tetracycline degradation by 2D α-Fe2O3 anchored on 2D g-C3N4: S-scheme heterojunction mechanism and accelerated Fe3+/Fe2+ cycle. Colloids Surf. A Physicochem. Eng. Asp. 2022, 652, 129854. [Google Scholar] [CrossRef]
- Sayed, M.; Ren, B.; Ali, A.M.; Al-Anazi, A.; Nadagouda, M.N.; Ismail, A.A.; Dionysiou, D.D. Solar light induced photocatalytic activation of peroxymonosulfate by ultra-thin Ti3+ self-doped Fe2O3/TiO2 nanoflakes for the degradation of naphthalene. Appl. Catal. B 2022, 315, 121532. [Google Scholar] [CrossRef]
- Meng, D.; Hou, J.; Wang, L.; Hu, X.; Gao, D.; Guo, Q. Rational construction of α-Fe2O3/g-C3N4 heterojunction for effective photo-Fenton-like degradation of tetracycline. Mater. Res. Bull. 2023, 168, 112454. [Google Scholar] [CrossRef]
- Li, Z.; Lu, G.; Gu, G.Z.; Li, M.; Han, X.Y.; Wang, X.; Li, W. Preparation of Fe2O3/g-C3N4 Photocatalyst and its degradation mechanism of NOR in Water under Visible Light Irradiation. Processes 2024, 12, 1748. [Google Scholar] [CrossRef]
- Zhu, Z.; Zhou, N.; Li, Y.; Zhang, X.; Zhang, L. Step scheme Fe2O3/S doped g-C3N4 heterojunction photocatalysts for photofenton norfloxacin and tetracycline degradation. Mater. Sci. Semicond. Process. 2023, 160, 107423. [Google Scholar] [CrossRef]
- Yang, H.; He, D.; Liu, C.; Zhang, T.; Qu, J.; Jin, D.; Zhang, K.; Lv, Y.; Zhang, Z.; Zhang, Y. Visible-light-driven photocatalytic disinfection by S-scheme α-Fe2O3/g-C3N4 heterojunction: Bactericidal performance and mechanism insight. Chemosphere 2022, 287, 132072. [Google Scholar] [CrossRef]
- Wang, J.; Wang, G.; Cheng, B.; Yu, J.; Fan, J. Sulfur-doped g-C3N4/TiO2 S-scheme heterojunction photocatalyst for Congo Red photodegradation. Chin. J. Catal. 2020, 42, 56–68. [Google Scholar] [CrossRef]
- Jia, T.; Fu, F.; Li, J.; Deng, Z.; Long, F.; Yu, D.; Cui, Q.; Wang, W. Rational construction of direct Z-scheme SnS/g-C3N4 hybrid photocatalyst for significant enhancement of visible-light photocatalytic activity. Appl. Surf. Sci. 2020, 499, 143941. [Google Scholar] [CrossRef]
- Ni, S.; Fu, Z.; Li, L.; Ma, M.; Liu, Y. Step-scheme heterojunction g-C3N4/TiO2 for efficient photocatalytic degradation of tetracycline hydrochloride under UV light. Colloids Surf. A Physicochem. Eng. Asp. 2022, 649, 129475. [Google Scholar] [CrossRef]
- Zhong, Q.; Lan, H.; Zhang, M.; Zhu, H.; Bu, M. Preparation of heterostructure g-C3N4/ZnO nanorods for high photocatalytic activity on different pollutants (MB, RhB, Cr(VI) and eosin). Ceram. Int. 2020, 46, 12192–12199. [Google Scholar] [CrossRef]
- Fouda, A.; Hassan, S.E.D.; Saied, E.; Azab, M.S. An eco-friendly approach to textile and tannery wastewater treatment using maghemite nanoparticles (γ-Fe2O3-NPs) fabricated by Penicillium expansum strain (K-w). J. Environ. Chem. Eng. 2021, 9, 104693. [Google Scholar] [CrossRef]
- Durai, M.; Ahn, Y.H. Photocatalytic H2 generation under blue and white LEDs by Fe2O3/KTLO/rGO S-scheme composite photocatalyst. J. Alloys Compd. 2023, 965, 171457. [Google Scholar] [CrossRef]
- Lisar, S.H.; Karimi, G. Halloysite nanotubes (MHNTs) modified S-scheme g-C3N4/γ-Fe2O3 photocatalyst for enhancing charge separation and photocatalytic activity. J. Alloys Compd. 2024, 977, 173429. [Google Scholar] [CrossRef]
- Kumaravel, S.; Avula, B.; Chandrasatheesh, C.; Niyitanga, T.; Saranya, R.; Hasan, I.; Abisheik, T.; Rai, R.S.; Pandiyan, V.; Balu, K. Rational construction of MOF derived α-Fe2O3/g-C3N4 composite for effective photocatalytic degradation of organic pollutants and electrocatalytic oxygen evolution reaction. Spectrochim. Acta Part A 2024, 310, 123972. [Google Scholar] [CrossRef] [PubMed]
- Lisar, S.H.; Karimi, G. Synthesis of novel maghemite (γ-Fe2O3)-decorated g-C3N4 nano-tubes (g-C3N4 NTs/γ-Fe2O3) photocatalytic nano-composite for ultrafast degradation of organics in wastewater: Insight into the mechanism of photoexcited charge separation. Appl. Surf. Sci. Adv. 2023, 18, 100515. [Google Scholar] [CrossRef]
- Liu, J.; Liang, H.; Li, C.; Bai, J. Fe2O3/C3N4 composite nanotubular photocatalyst with Z-scheme heterojunction. Mater. Sci. Semicon. Proc. 2023, 162, 107478. [Google Scholar] [CrossRef]
- Ghane, N.; Sadrnezhaad, S.K.; Hosseini, S.M. Combustion synthesis of g-C3N4/Fe2O3 nanocomposite for superior photoelectrochemical catalytic performance. Appl. Surf. Sci. 2020, 534, 147563. [Google Scholar] [CrossRef]
- Zhang, J.W.; Xu, H.Y.; Zheng, Y.G.; Shen, Y.; Mu, C.Q.; Wang, Y.; Niyazi, A.; He, Z.X.; Zhang, Z.Q.; Zhang, L.; et al. Visible light photocatalytic degradation of oxytetracycline hydrochloride using chitosan-loaded Z-scheme heterostructured material BiOCOOH/O-gC3N4. Int. J. Macromal. 2004, 275, 133373. [Google Scholar] [CrossRef]
- Shan, Z.L.; Ma, F.; You, S.J.; Shan, L.B.; Kong, D.Y.; Guo, H.J.; Cui, C.W. Enhanced visible light photo-Fenton catalysis by lanthanum-doping BiFeO3 for norfloxacin degradation. Environ. Res. 2023, 216, 114588. [Google Scholar] [CrossRef]
- Zhang, L.Y.; Meng, Y.; Dai, T.T.; Yao, Y.Y.; Shen, H.; Xie, B.; Ni, Z.M.; Xia, S.J. Fabrication of a coated BiVO4@LDHs Z-scheme heterojunction and photocatalytic degradation of norfloxacin. Appl. Clay Sci. 2022, 219, 106435. [Google Scholar] [CrossRef]
- Liu, Z.; Lu, G.; Yang, R.; Li, Z.; Wang, F. Fabrication of Z-Scheme CeVO4/BiVO4 Heterojunction and Its Enhanced Photocatalytic Degradation of NFX. Processes 2024, 12, 1614. [Google Scholar] [CrossRef]










| Photocatalyst | Degradation Efficiency (%) | Degradation Rate Constant | Reference |
|---|---|---|---|
| Fe2O3/g–C3N4 | 94.7% | 0.6631 h−1 | This work |
| BiOCOOH/O–gC3N4/CTS | 82.1% | 0.02543 min−1 | [37] |
| La–BiFeO3 | 84.94% | 0.01638 min−1 | [38] |
| BiVO4@LDHs | 90.3% | 0.02078 min−1 | [39] |
| CeVO4/BiVO4 | 84.8% | 0.3618 h−1 | [40] |
Disclaimer/Publisher’s Note: The statements, opinions and data contained in all publications are solely those of the individual author(s) and contributor(s) and not of MDPI and/or the editor(s). MDPI and/or the editor(s) disclaim responsibility for any injury to people or property resulting from any ideas, methods, instructions or products referred to in the content. |
© 2024 by the authors. Licensee MDPI, Basel, Switzerland. This article is an open access article distributed under the terms and conditions of the Creative Commons Attribution (CC BY) license (https://creativecommons.org/licenses/by/4.0/).
Share and Cite
Lu, G.; Li, W.; Li, Z.; Gu, G.; Han, Q.; Liang, J.; Chen, Z. Enhanced Degradation of Norfloxacin Under Visible Light by S-Scheme Fe2O3/g–C3N4 Heterojunctions. Molecules 2024, 29, 5212. https://doi.org/10.3390/molecules29215212
Lu G, Li W, Li Z, Gu G, Han Q, Liang J, Chen Z. Enhanced Degradation of Norfloxacin Under Visible Light by S-Scheme Fe2O3/g–C3N4 Heterojunctions. Molecules. 2024; 29(21):5212. https://doi.org/10.3390/molecules29215212
Chicago/Turabian StyleLu, Guang, Wei Li, Zheng Li, Guizhou Gu, Qiuju Han, Jiling Liang, and Zhen Chen. 2024. "Enhanced Degradation of Norfloxacin Under Visible Light by S-Scheme Fe2O3/g–C3N4 Heterojunctions" Molecules 29, no. 21: 5212. https://doi.org/10.3390/molecules29215212
APA StyleLu, G., Li, W., Li, Z., Gu, G., Han, Q., Liang, J., & Chen, Z. (2024). Enhanced Degradation of Norfloxacin Under Visible Light by S-Scheme Fe2O3/g–C3N4 Heterojunctions. Molecules, 29(21), 5212. https://doi.org/10.3390/molecules29215212

