A Sustainable Solution for the Adsorption of C.I. Direct Black 80, an Azoic Textile Dye with Plant Stems: Zygophyllum gaetulum in an Aqueous Solution
Abstract
1. Introduction
2. Results and Discussion
2.1. Characterization of the Biosorbent
2.1.1. Brunauer–Emmett–Teller (BET) Analysis
2.1.2. Fourier-Transform Infrared Spectroscopy (FTIR)
2.1.3. Thermal Properties
2.1.4. X-ray Diffraction Analysis (XRD)
2.1.5. Morphology
2.1.6. Zero-Charge Point
2.2. Effect of pH of Dye Solution
2.3. Effect of Bioadsorbent Dosage
2.4. Adsorption Kinetics
- h: Initial sorption rate.
- qe: Amount of the dye adsorbed at equilibrium (mg/g).
- k2: Equilibrium rate constant of the pseudo-second-order model (g/mg min).
- qt is the amount of the adsorbate adsorbed at time t.
- α is the initial adsorption rate.
- β is the desorption constant.
- t is the time.
2.5. Adsorption Isotherms
- Qm is the maximum sorption capacity (mg/g).
- KL is the Langmuir constant (L/mg)
- KF: Freundlich constant (mg1−(1/n)(dm3)1/ng−1); n: heterogeneity factor.
- b: adsorption constant (J/mol).
- Kt: Temkin isotherm constant (L/mg).
- Qd is the theoretical maximum isotherm saturation capacity (mg/g).
- Kad is the Dubinin–Radushkevich isotherm constant related to the sorption energy (mol2/J2).
2.6. Thermodynamic Studies
- M is the molecular weight of C.I. Direct Black 80 (g/mol).
- γ is the activity coefficient calculated as a function of ionic strength.
- Cref is the reference molar concentration.
- Kad is the equilibrium constant of adsorption.
- ΔG° is the standard Gibbs free energy (J/mol).
- ΔH° is the standard enthalpy (J/mol).
- ΔS° is the standard entropy (J/K.mol).
- R is the perfect gas constant (8.314 J/K.mol).
- T is the absolute temperature (in Kelvin).

2.7. Desorption Studies
2.8. Morphology after Adsorption
2.9. FTIR after Adsorption
2.10. Comparative Study
3. Materials and Methods
3.1. Materials
3.2. Biosorbent Preparation
3.3. Analysis of Moisture and Ash Content in the Bioadsorbent
3.4. Particle Size Analysis: Granulometric Study
3.5. Characterization
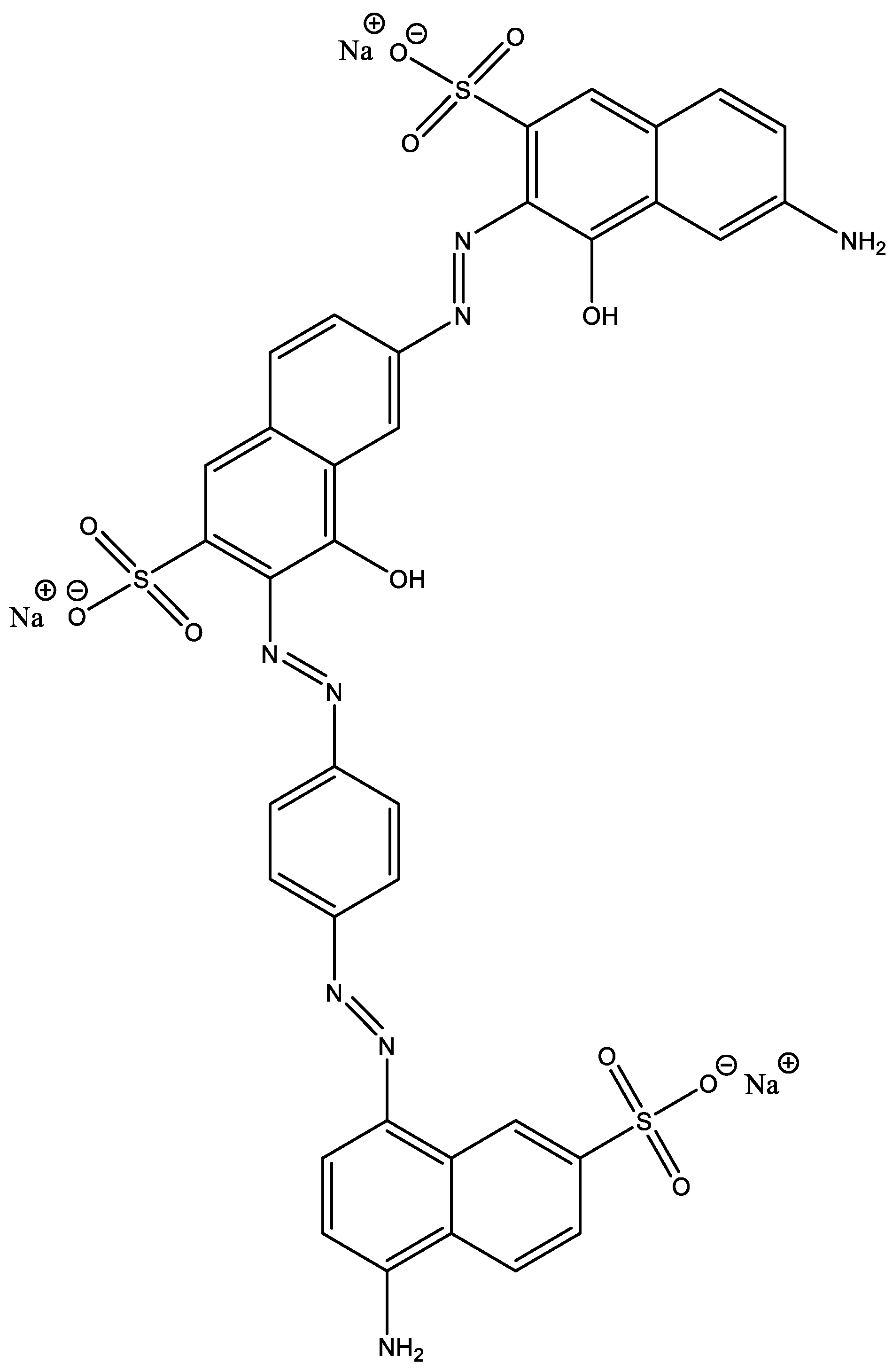
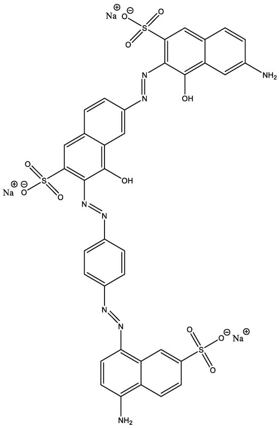
3.6. Dye
3.7. Batch Adsorption Tests
- = the concentration (mg/L) at any time t.
- V (L) = the volume of the solution.
- m (g) = the mass of the adsorbent.
3.8. Desorption Studies
- is the dye concentration in the desorption solution (mg/L).
- is the volume of the desorption solution (L).
- is the amount of dye adsorbed by the adsorbent (mg/g).
- is the mass of adsorbent used (g).
4. Conclusions
Author Contributions
Funding
Institutional Review Board Statement
Informed Consent Statement
Data Availability Statement
Acknowledgments
Conflicts of Interest
References
- Kumar, A.; Dixit, U.; Singh, K.; Gupta, S.P.; Beg, M.S.J.; Kumar, A.; Dixit, U.; Singh, K.; Gupta, S.P.; Beg, M.S.J. Structure and Properties of Dyes and Pigments. In Dyes and Pigments—Novel Applications and Waste Treatment; IntechOpen: Rijeka, Croatia, 2021; ISBN 978-1-83968-615-3. [Google Scholar]
- Fareed, A.; Zaffar, H.; Bilal, M.; Hussain, J.; Jackson, C.; Naqvi, T.A. Decolorization of Azo Dyes by a Novel Aerobic Bacterial Strain Bacillus Cereus Strain ROC. PLoS ONE 2022, 17, e0269559. [Google Scholar] [CrossRef] [PubMed]
- Mehra, S.; Singh, M.; Chadha, P. Adverse Impact of Textile Dyes on the Aquatic Environment as Well as on Human Beings. Toxicol. Int. 2021, 28, 165. [Google Scholar] [CrossRef]
- Sakin Omer, O.; Hussein, M.A.; Hussein, B.H.M.; Mgaidi, A. Adsorption Thermodynamics of Cationic Dyes (Methylene Blue and Crystal Violet) to a Natural Clay Mineral from Aqueous Solution between 293.15 and 323.15 K. Arab. J. Chem. 2018, 11, 615–623. [Google Scholar] [CrossRef]
- Manzoor, J.; Sharma, M. Impact of Textile Dyes on Human Health and Environment: In Advances in Human Services and Public Health; Wani, K.A., Jangid, N.K., Bhat, A.R., Eds.; IGI Global: Hershey, PA, USA, 2020; pp. 162–169. ISBN 978-1-79980-311-9. [Google Scholar]
- Alabdraba, W.; Bayati, M. Biodegradation of Azo Dyes a Review. Int. J. Environ. Eng. Nat. Resour. 2014, 1, 179–189. [Google Scholar]
- Valli Nachiyar, C.; Rakshi, A.D.; Sandhya, S.; Britlin Deva Jebasta, N.; Nellore, J. Developments in Treatment Technologies of Dye-Containing Effluent: A Review. Case Stud. Chem. Environ. Eng. 2023, 7, 100339. [Google Scholar] [CrossRef]
- Senthil Kumar, P.; Joshiba, G.J.; Femina, C.C.; Varshini, P.; Priyadharshini, S.; Arun Karthick, M.S.; Jothirani, R. A Critical Review on Recent Developments in the Low-Cost Adsorption of Dyes from Wastewater. DWT 2019, 172, 395–416. [Google Scholar] [CrossRef]
- Chakraborty, S.K. Water: Its Properties, Distribution, and Significance. In Riverine Ecology Volume 1: Eco-Functionality of the Physical Environment of Rivers; Chakraborty, S.K., Ed.; Springer International Publishing: Cham, The Netherlands, 2021; pp. 23–55. ISBN 978-3-030-53897-2. [Google Scholar]
- Elzagheid, M. Water Chemistry, Analysis and Treatment: Pollutants, Microbial Contaminants, Water and Wastewater Treatment; Walter de Gruyter GmbH & Co KG: Berlin, Germany, 2023; ISBN 978-3-11-133246-8. [Google Scholar]
- Mekonnen, M.M.; Hoekstra, A.Y. Four Billion People Facing Severe Water Scarcity. Sci. Adv. 2016, 2, e1500323. [Google Scholar] [CrossRef] [PubMed]
- Tkaczyk, A.; Mitrowska, K.; Posyniak, A. Synthetic Organic Dyes as Contaminants of the Aquatic Environment and Their Implications for Ecosystems: A Review. Sci. Total Environ. 2020, 717, 137222. [Google Scholar] [CrossRef]
- Ibrahim, G.P.S.; Isloor, A.M.; Inamuddin; Asiri, A.M.; Ismail, N.; Ismail, A.F.; Ashraf, G.M. Novel, One-Step Synthesis of Zwitterionic Polymer Nanoparticles via Distillation-Precipitation Polymerization and Its Application for Dye Removal Membrane. Sci. Rep. 2017, 7, 15889. [Google Scholar] [CrossRef]
- Ebrahim, S.E.; Mohammed, T.J.; Oleiwi, H.O. Removal of Acid Blue Dye from Industrial Wastewater by Using Reverse Osmosis Technology. Assoc. Arab Univ. J. Eng. Sci. 2018, 25, 29–40. [Google Scholar]
- Anushree, C.; Philip, J. Efficient Removal of Methylene Blue Dye Using Cellulose Capped Fe3O4 Nanofluids Prepared Using Oxidation-Precipitation Method. Colloids Surf. A Physicochem. Eng. Asp. 2019, 567, 193–204. [Google Scholar] [CrossRef]
- Dutta, S.; Gupta, B.; Srivastava, S.K.; Gupta, A.K. Recent Advances on the Removal of Dyes from Wastewater Using Various Adsorbents: A Critical Review. Mater. Adv. 2021, 2, 4497–4531. [Google Scholar] [CrossRef]
- Yadav, K.; Latelwar, S.R.; Datta, D.; Jana, B. Efficient Removal of MB Dye Using Litchi Leaves Powder Adsorbent: Isotherm and Kinetic Studies. J. Indian Chem. Soc. 2023, 100, 100974. [Google Scholar] [CrossRef]
- Adane, T.; Hailegiorgis, S.M.; Alemayehu, E. Acid-Activated Bentonite Blended with Sugarcane Bagasse Ash as Low-Cost Adsorbents for Removal of Reactive Red 198 Dyes. J. Water Reuse Desalination 2022, 12, 175–190. [Google Scholar] [CrossRef]
- Khan, A.; Ju, P.; Han, Z.; Ni, C. A Comprehensive Review on Adsorptive Removal of Azo Dyes Using Functional Materials. AQUA—Water Infrastruct. Ecosyst. Soc. 2024, 73, 266–285. [Google Scholar] [CrossRef]
- Hassan, W.; Farooq, U.; Ahmad, M.; Athar, M.; Khan, M.A. Potential Biosorbent, Haloxylon Recurvum Plant Stems, for the Removal of Methylene Blue Dye. Arab. J. Chem. 2017, 10, S1512–S1522. [Google Scholar] [CrossRef]
- Poonam; Rani, A.; Sharma, P.K. Biosorption: Principles, and Applications. In Advances in Civil Engineering and Infrastructural Development; Gupta, L.M., Ray, M.R., Labhasetwar, P.K., Eds.; Lecture Notes in Civil Engineering; Springer Singapore: Singapore, 2021; Volome 87, pp. 501–510. ISBN 9789811564628. [Google Scholar]
- Suteu, D.; Blaga, A.C.; Zaharia, C.; Cimpoesu, R.; Puițel, A.C.; Tataru-Farmus, R.-E.; Tanasă, A.M. Polysaccharides Used in Biosorbents Preparation for Organic Dyes Retaining from Aqueous Media. Polymers 2022, 14, 588. [Google Scholar] [CrossRef]
- Davis, T.A.; Volesky, B.; Vieira, R.H.S.F. Sargassum Seaweed as Biosorbent for Heavy Metals. Water Res. 2000, 34, 4270–4278. [Google Scholar] [CrossRef]
- Mondal, M.I.H.; Chandra Chakraborty, S.; Rahman, M.S.; Marjuban, S.M.H.; Ahmed, F.; Zhou, J.L.; Ahmed, M.B.; Zargar, M. Adsorbents from Rice Husk and Shrimp Shell for Effective Removal of Heavy Metals and Reactive Dyes in Water. Environ. Pollut. 2024, 346, 123637. [Google Scholar] [CrossRef]
- Hashem, H.M.; El-Maghrabey, M.; El-Shaheny, R. Inclusive Study of Peanut Shells Derived Activated Carbon as an Adsorbent for Removal of Lead and Methylene Blue from Water. Sci. Rep. 2024, 14, 13515. [Google Scholar] [CrossRef]
- Sodkouieh, S.M.; Kalantari, M.; Shamspur, T. Methylene Blue Adsorption by Wheat Straw-Based Adsorbents: Study of Adsorption Kinetics and Isotherms. Korean J. Chem. Eng. 2023, 40, 873–881. [Google Scholar] [CrossRef]
- Sadare, O.O.; Ayeni, A.O.; Daramola, M.O. Evaluation of Adsorption and Kinetics of Neem Leaf Powder (Azadirachta Indica) as a Bio-Sorbent for Desulfurization of Dibenzothiophene (DBT) from Synthetic Diesel. J. Saudi Chem. Soc. 2022, 26, 101433. [Google Scholar] [CrossRef]
- Aktar, M.S.; Shakil, M.S.R.; Tuj-Zohra, F. Potentials of Bio-Adsorbent Prepared from Coconut Fibre in Mitigation of Pollution from Tanning Effluent. Clean. Eng. Technol. 2023, 17, 100687. [Google Scholar] [CrossRef]
- Rose, P.K.; Poonia, V.; Kumar, R.; Kataria, N.; Sharma, P.; Lamba, J.; Bhattacharya, P. Congo Red Dye Removal Using Modified Banana Leaves: Adsorption Equilibrium, Kinetics, and Reusability Analysis. Groundw. Sustain. Dev. 2023, 23, 101005. [Google Scholar] [CrossRef]
- Zhang, L.; Ren, Y.; Xue, Y.; Cui, Z.; Wei, Q.; Han, C.; He, J. Preparation of Biochar by Mango Peel and Its Adsorption Characteristics of Cd(Ii) in Solution. RSC Adv. 2020, 10, 35878–35888. [Google Scholar] [CrossRef] [PubMed]
- Chandana, L.; Krushnamurty, K.; Suryakala, D.; Subrahmanyam, C. Low-Cost Adsorbent Derived from the Coconut Shell for the Removal of Hexavalent Chromium from Aqueous Medium. Mater. Today Proc. 2020, 26, 44–51. [Google Scholar] [CrossRef]
- Dey, S.; Basha, S.R.; Babu, G.V.; Nagendra, T. Characteristic and Biosorption Capacities of Orange Peels Biosorbents for Removal of Ammonia and Nitrate from Contaminated Water. Clean. Mater. 2021, 1, 100001. [Google Scholar] [CrossRef]
- Dong, X.; Chu, Y.; Tong, Z.; Sun, M.; Meng, D.; Yi, X.; Gao, T.; Wang, M.; Duan, J. Mechanisms of Adsorption and Functionalization of Biochar for Pesticides: A Review. Ecotoxicol. Environ. Saf. 2024, 272, 116019. [Google Scholar] [CrossRef]
- Ait El Cadi, M.; Makram, S.; Ansar, M.; Khabbal, Y.; Alaoui, K.; Faouzi, M.A.; Cherrah, Y.; Taoufik, J. Anti-inflammatory activity of aqueous and ethanolic extracts of Zygophyllum gaetulum. Ann. Pharm. Fr. 2012, 70, 113–116. [Google Scholar] [CrossRef]
- El Abdouni Khayari, M.; Benharref, A.; Abbad, A.; Bekkouche, K.; Larhsini, M.; Alaoui Jamali, C.; Markouk, M.; Taourirte, M. Chemical Composition of Essential Oils and Mineral Contents of Zygophyllum gaetulum (Emb. and Maire). J. Essent. Oil Bear. Plants 2017, 20, 1645–1650. [Google Scholar] [CrossRef]
- Sepelevs, I.; Stepanova, V.; Galoburda, R. Encapsulation of Gallic Acid with Acid-Modified Low Dextrose Equivalent Potato Starch Using Spray- and Freeze-Drying Techniques. Pol. J. Food Nutr. Sci. 2018, 68, 273–280. [Google Scholar] [CrossRef]
- Hospodarova, V.; Singovszka, E.; Stevulova, N. Characterization of Cellulosic Fibers by FTIR Spectroscopy for Their Further Implementation to Building Materials. Am. J. Anal. Chem. 2018, 9, 303–310. [Google Scholar] [CrossRef]
- Ding, R.; Wu, H.; Thunga, M.; Bowler, N.; Kessler, M.R. Processing and Characterization of Low-Cost Electrospun Carbon Fibers from Organosolv Lignin/Polyacrylonitrile Blends. Carbon 2016, 100, 126–136. [Google Scholar] [CrossRef]
- Kian, L.K.; Jawaid, M.; Ariffin, H.; Alothman, O.Y. Isolation and Characterization of Microcrystalline Cellulose from Roselle Fibers. Int. J. Biol. Macromol. 2017, 103, 931–940. [Google Scholar] [CrossRef]
- Hu, L.; Fang, X.; Du, M.; Luo, F.; Guo, S. Hemicellulose-Based Polymers Processing and Application. AJPS 2020, 11, 2066–2079. [Google Scholar] [CrossRef]
- Martínez-Smit, C.; Chejne, F.; García-Pérez, M. Novel Strategy to Produce Polyaromatic Compounds at Low Temperature for the Production of Secondary Chars. J. Anal. Appl. Pyrolysis 2023, 174, 106135. [Google Scholar] [CrossRef]
- Escalante, J.; Chen, W.-H.; Tabatabaei, M.; Hoang, A.T.; Kwon, E.E.; Andrew Lin, K.-Y.; Saravanakumar, A. Pyrolysis of Lignocellulosic, Algal, Plastic, and Other Biomass Wastes for Biofuel Production and Circular Bioeconomy: A Review of Thermogravimetric Analysis (TGA) Approach. Renew. Sustain. Energy Rev. 2022, 169, 112914. [Google Scholar] [CrossRef]
- Gong, J.; Li, J.; Xu, J.; Xiang, Z.; Mo, L. Research on Cellulose Nanocrystals Produced from Cellulose Sources with Various Polymorphs. RSC Adv. 2017, 7, 33486–33493. [Google Scholar] [CrossRef]
- Neusatz Guilhen, S.; Watanabe, T.; Tieko Silva, T.; Rovani, S.; Takehiro Marumo, J.; Alberto Soares Tenório, J.; Mašek, O.; Goulart de Araujo, L. Role of Point of Zero Charge in the Adsorption of Cationic Textile Dye on Standard Biochars from Aqueous Solutions: Selection Criteria and Performance Assessment. Recent. Prog. Mater. 2022, 4, 1–30. [Google Scholar] [CrossRef]
- Rápó, E.; Tonk, S. Factors Affecting Synthetic Dye Adsorption; Desorption Studies: A Review of Results from the Last Five Years (2017–2021). Molecules 2021, 26, 5419. [Google Scholar] [CrossRef]
- Ma, C.M.; Hong, G.B.; Wang, Y.K. Performance Evaluation and Optimization of Dyes Removal Using Rice Bran-Based Magnetic Composite Adsorbent. Materials 2020, 13, 2764. [Google Scholar] [CrossRef] [PubMed]
- Al-Harby, N.F.; Albahly, E.F.; Mohamed, N.A. Kinetics, Isotherm and Thermodynamic Studies for Efficient Adsorption of Congo Red Dye from Aqueous Solution onto Novel Cyanoguanidine-Modified Chitosan Adsorbent. Polymers 2021, 13, 4446. [Google Scholar] [CrossRef]
- Jaramillo-Fierro, X.; Cuenca, G. Enhancing Methylene Blue Removal through Adsorption and Photocatalysis—A Study on the GO/ZnTiO3/TiO2 Composite. Int. J. Mol. Sci. 2024, 25, 4367. [Google Scholar] [CrossRef] [PubMed]
- Oladipo, B.; Govender-Opitz, E.; Ojumu, T.V. Kinetics, Thermodynamics, and Mechanism of Cu(II) Ion Sorption by Biogenic Iron Precipitate: Using the Lens of Wastewater Treatment to Diagnose a Typical Biohydrometallurgical Problem. ACS Omega 2021, 6, 27984–27993. [Google Scholar] [CrossRef]
- Kalam, S.; Abu-Khamsin, S.A.; Kamal, M.S.; Patil, S. Surfactant Adsorption Isotherms: A Review. ACS Omega 2021, 6, 32342–32348. [Google Scholar] [CrossRef] [PubMed]
- Serafin, J.; Dziejarski, B. Application of Isotherms Models and Error Functions in Activated Carbon CO2 Sorption Processes. Microporous Mesoporous Mater. 2023, 354, 112513. [Google Scholar] [CrossRef]
- Staroń, P.; Chwastowski, J. Yeast-Based Magnetic Biocomposite for Efficient Sorption of Organic Pollutants. Appl. Sci. 2024, 14, 655. [Google Scholar] [CrossRef]
- Hu, Q.; Zhang, Z. Application of Dubinin–Radushkevich Isotherm Model at the Solid/Solution Interface: A Theoretical Analysis. J. Mol. Liq. 2019, 277, 646–648. [Google Scholar] [CrossRef]
- Enache, A.-C.; Cojocaru, C.; Samoila, P.; Ciornea, V.; Apolzan, R.; Predeanu, G.; Harabagiu, V. Adsorption of Brilliant Green Dye onto a Mercerized Biosorbent: Kinetic, Thermodynamic, and Molecular Docking Studies. Molecules 2023, 28, 4129. [Google Scholar] [CrossRef]
- Ghosal, P.S.; Gupta, A.K. Determination of Thermodynamic Parameters from Langmuir Isotherm Constant-Revisited. J. Mol. Liq. 2017, 225, 137–146. [Google Scholar] [CrossRef]
- Wujcicki, Ł.; Kluczka, J. Recovery of Phosphate(V) Ions from Water and Wastewater Using Chitosan-Based Sorbents Modified—A Literature Review. Int. J. Mol. Sci. 2023, 24, 12060. [Google Scholar] [CrossRef] [PubMed]
- Monteiro, M.S.; de Farias, R.F.; Chaves, J.A.P.; Santana, S.A.; Silva, H.A.S.; Bezerra, C.W.B. Wood (Bagassa Guianensis Aubl) and Green Coconut Mesocarp (Cocos nucifera) Residues as Textile Dye Removers (Remazol Red and Remazol Brilliant Violet). J. Environ. Manag. 2017, 204, 23–30. [Google Scholar] [CrossRef] [PubMed]
- Saleh, M.; Yalvaç, M.; Arslan, H. Optimization of Remazol Brilliant Blue R Adsorption onto Xanthium Italicum Using the Response Surface Method. Karbala Int. J. Mod. Sci. 2019, 5, 8. [Google Scholar] [CrossRef]
- Mat Lazim, Z.; Mazuin, E.; Hadibarata, T.; Yusop, Z. The Removal of Methylene Blue and Remazol Brilliant Blue R Dyes by Using Orange Peel and Spent Tea Leaves. J. Teknol. 2015, 74. [Google Scholar] [CrossRef][Green Version]
- LEE, H.-J.; ONG, S.-T. Immobilization of Rambutan (Nephelium Lappaceum) Peel as a Sorbent for Basic Fuchsin Removal. Environ. Protect. Eng. 2017, 43, 169–181. [Google Scholar] [CrossRef]
- Bretanha, M.S.; Rochefort, M.C.; Dotto, G.L.; Lima, E.C.; Dias, S.L.P.; Pavan, F.A. Punica Granatum Husk (PGH), a Powdered Biowaste Material for the Adsorption of Methylene Blue Dye from Aqueous Solution. Desalination Water Treat. 2016, 57, 3194–3204. [Google Scholar] [CrossRef]
- Raji, Z.; Karim, A.; Karam, A.; Khalloufi, S. Adsorption of Heavy Metals: Mechanisms, Kinetics, and Applications of Various Adsorbents in Wastewater Remediation—A Review. Waste 2023, 1, 775–805. [Google Scholar] [CrossRef]
- Luo, Y.; Chen, J.; Wu, C.; Zhang, J.; Tang, J.; Shang, J.; Liao, Q. Effect of Particle Size on Adsorption of Norfloxacin and Tetracycline onto Suspended Particulate Matter in Lake. Environ. Pollut. 2019, 244, 549–559. [Google Scholar] [CrossRef]














| Surface Area | |
|---|---|
| Single-point surface area at p/p° = 0.299756172 | 1.57 m2/g |
| BET surface area | 1.71 m2/g |
| Langmuir surface area | 2.33 m2/g |
| t-Plot external surface area | 2.10 m2/g |
| BJH adsorption 1 | 1.68 m2/g |
| BJH desorption 1 | 1.87 m2/g |
| D-H adsorption 1 | 1.65 m2/g |
| D-H desorption 1 | 1.69 m2/g |
| Models | Parameter | Value |
|---|---|---|
| Pseudo-first-order | Qe (exp) (mg.g−1) | 97.61 |
| Qe (cal) (mg.g−1) | 95.47 ± 2.84 | |
| K1 (min−1) | 0.01303 ± 0.00135 | |
| R2 | 0.999 | |
| SSE | 174.69 | |
| RMSE | 4.18 | |
| Pseudo-second-order | Qe (exp) (mg.g−1) | 97.61 |
| Qe (cal) (mg.g−1) | 116.08 ± 3.41 | |
| K1 (min−1) | 0.000125 ± 0.000015 | |
| R2 | 0.993 | |
| SSE | 91.56 | |
| RMSE | 3.03 | |
| Elovich | α (mg.g−1 min−1) | 2.5253 ± 0.0478 |
| β (g.mg−1) | 0.0338 ± 0.0003 | |
| R2 | 0.972 | |
| SSE | 15,875.12 | |
| RMSE | 3.99 |
| Isotherm | Parameter | Value |
|---|---|---|
| Langmuir | Qm (mg.g−1) | 163.23 ± 7.55 |
| KL (L.mg−1) | 0.013 ± 0.002 | |
| R2 | 0.98 | |
| SSE | 304.42 | |
| RSME | 5.52 | |
| Freundlich | KF (mg.g−1) | 9.8072 ± 2.9379 |
| 1/n | 0.4678 ± 0.0269 | |
| R2 | 0.94 | |
| SSE | 1587.43 | |
| RSME | 12.62 | |
| Dubinin–Radushkevich | Kad (mol2/kJ2) | 1379.53 ± 32.58 |
| qd (mg/g) | 121.20 ± 0.47 | |
| R2 | 0.89 | |
| SSE | 114,201.21 | |
| RSME | 10.67 | |
| Temkin | KT (L.g−1) | 0.1989 ± 0.0064 |
| B (J.mol−1) | 0.2018 ± 0.0024 | |
| R2 | 0.91 | |
| SSE | 94,873.78 | |
| RSME | 9.76 |
| Dye | T (K) | ΔG° (kJ/mol) | ΔH° (kJ/mol) | ΔS° (J/mol) | R2 |
|---|---|---|---|---|---|
| C.I. Direct Black 80 | 300 | −20.117 | −2.619 | 58.330 | 0.997 |
| 310 | −20.704 | ||||
| 320 | −21.286 | ||||
| 330 | −21.867 |
| No | Biosorbent | Plant Part | Removal% | qe (mg/g) | Reference |
|---|---|---|---|---|---|
| 1 | Bagassa guianensis Aubl | Stem | 85 | 0.71 | [57] |
| 2 | Xanthium italicum | Leaf | 95 | 1.59 | [58] |
| 3 | Citrus sinensis | Peel | 14.92 | 1.49 | [59] |
| 4 | Nephelium lappaceum L. | Peel | 80 | 108.69 | [60] |
| 5 | Punica granatum | Peel | 81.35 | 68.40 | [61] |
| 6 | Cocos nucifera L. | Mesocarp | 85 | 7.28 | [57] |
| 7 | Zygophyllum gaetulum | Stem | 97.08 | 97.61 | Current study |
| Dye | Class | Family | Chemical Formula | Molar Mass (g/mol) | λmax (nm) |
|---|---|---|---|---|---|
| C.I. Direct Black 80 | Direct dye | Azoic | 97.08 | 908.8 | 599.8 |
Disclaimer/Publisher’s Note: The statements, opinions and data contained in all publications are solely those of the individual author(s) and contributor(s) and not of MDPI and/or the editor(s). MDPI and/or the editor(s) disclaim responsibility for any injury to people or property resulting from any ideas, methods, instructions or products referred to in the content. |
© 2024 by the authors. Licensee MDPI, Basel, Switzerland. This article is an open access article distributed under the terms and conditions of the Creative Commons Attribution (CC BY) license (https://creativecommons.org/licenses/by/4.0/).
Share and Cite
Haoufazane, C.; Zaaboul, F.; El Monfalouti, H.; Sebbar, N.K.; Hefnawy, M.; El Hourch, A.; Kartah, B.E. A Sustainable Solution for the Adsorption of C.I. Direct Black 80, an Azoic Textile Dye with Plant Stems: Zygophyllum gaetulum in an Aqueous Solution. Molecules 2024, 29, 4806. https://doi.org/10.3390/molecules29204806
Haoufazane C, Zaaboul F, El Monfalouti H, Sebbar NK, Hefnawy M, El Hourch A, Kartah BE. A Sustainable Solution for the Adsorption of C.I. Direct Black 80, an Azoic Textile Dye with Plant Stems: Zygophyllum gaetulum in an Aqueous Solution. Molecules. 2024; 29(20):4806. https://doi.org/10.3390/molecules29204806
Chicago/Turabian StyleHaoufazane, Chaimaa, Fatima Zaaboul, Hanae El Monfalouti, Nada Kheira Sebbar, Mohamed Hefnawy, Abderrahim El Hourch, and Badr Eddine Kartah. 2024. "A Sustainable Solution for the Adsorption of C.I. Direct Black 80, an Azoic Textile Dye with Plant Stems: Zygophyllum gaetulum in an Aqueous Solution" Molecules 29, no. 20: 4806. https://doi.org/10.3390/molecules29204806
APA StyleHaoufazane, C., Zaaboul, F., El Monfalouti, H., Sebbar, N. K., Hefnawy, M., El Hourch, A., & Kartah, B. E. (2024). A Sustainable Solution for the Adsorption of C.I. Direct Black 80, an Azoic Textile Dye with Plant Stems: Zygophyllum gaetulum in an Aqueous Solution. Molecules, 29(20), 4806. https://doi.org/10.3390/molecules29204806

