Fabrication and Characterization of Biopolymers Using Polyvinyl Alcohol and Cardanol-Based Polyols
Abstract
1. Introduction
2. Results and Discussions
2.1. FT-IR
2.2. XRD
2.3. TGA
2.4. Swelling Test
3. Materials and Methods
3.1. Materials
3.2. Preparation
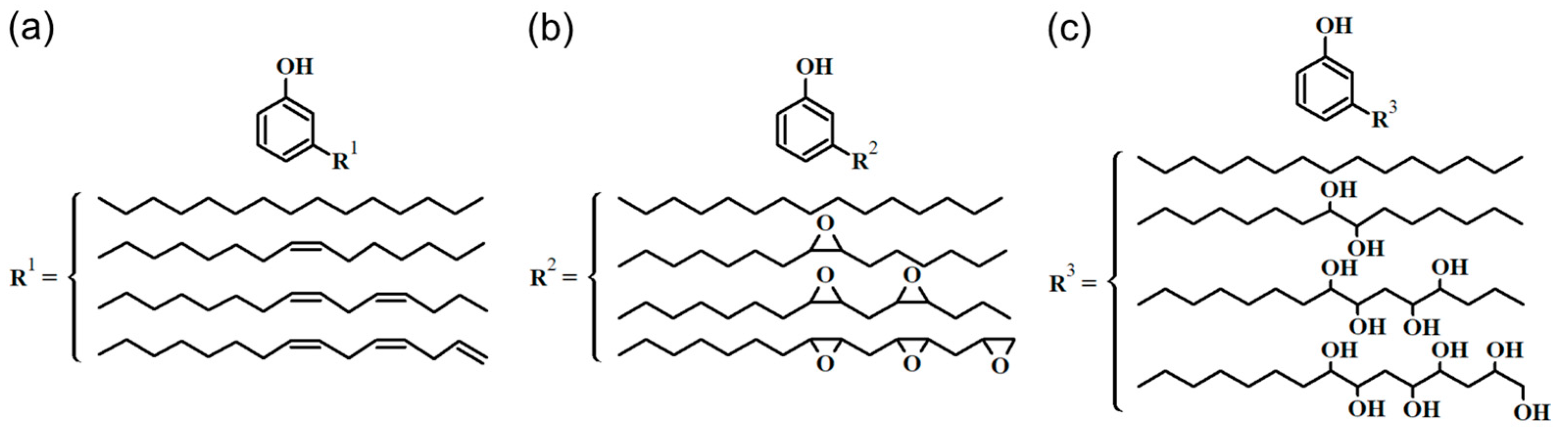
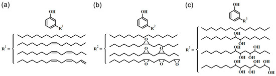
3.2.1. Synthesis of Polyols Derived from Cardanol
3.2.2. Fabrication of Biopolymers
3.3. Characterization
3.3.1. FT-IR
3.3.2. XRD
3.3.3. TGA
3.3.4. Swelling Test
4. Conclusions
Supplementary Materials
Author Contributions
Funding
Institutional Review Board Statement
Informed Consent Statement
Data Availability Statement
Conflicts of Interest
References
- Geyer, R.; Jambeck, J.R.; Law, K.L. Production, Use, and Fate of All Plastics Ever Made. Sci. Adv. 2017, 3, e1700782. [Google Scholar] [CrossRef] [PubMed]
- Nayanathara Thathsarani Pilapitiya, P.G.C.; Ratnayake, A.S. The World of Plastic Waste: A Review. Clean. Mater. 2024, 11, 100220. [Google Scholar] [CrossRef]
- Bin, H.; Wang, S.; Yan, J.; Zhang, H.; Qiu, L.; Liu, W.; Guo, Y.; Shen, J.; Bin, C.; Shi, C.; et al. Review of Waste Plastics Treatment and Utilization: Efficient Conversion and High Value Utilization. Process Saf. Environ. Prot. 2024, 183, 378–398. [Google Scholar] [CrossRef]
- Chen, Z.; Wei, W.; Chen, X.; Liu, Y.; Shen, Y.; Ni, B.-J. Upcycling of Plastic Wastes for Hydrogen Production: Advances and Perspectives. Renew. Sustain. Energy Rev. 2024, 195, 114333. [Google Scholar] [CrossRef]
- Ali, S.S.; Elsamahy, T.; Abdelkarim, E.A.; Al-Tohamy, R.; Kornaros, M.; Ruiz, H.A.; Zhao, T.; Li, F.; Sun, J. Biowastes for Biodegradable Bioplastics Production and End-of-Life Scenarios in Circular Bioeconomy and Biorefinery Concept. Bioresour. Technol. 2022, 363, 127869. [Google Scholar] [CrossRef]
- Belay, M.; Islam, M.M. Review on Physicochemical Modification of Biodegradable Plastic: Focus on Agar and Polyvinyl Alcohol (PVA). Adv. Mater. Sci. Eng. 2023, 2023, 4056020. [Google Scholar] [CrossRef]
- Jayakumar, A.; Radoor, S.; Siengchin, S.; Shin, G.H.; Kim, J.T. Recent Progress of Bioplastics in Their Properties, Standards, Certifications and Regulations: A Review. Sci. Total Environ. 2023, 878, 163156. [Google Scholar] [CrossRef]
- Oun, A.A.; Shin, G.H.; Rhim, J.-W.; Kim, J.T. Recent Advances in Polyvinyl Alcohol-Based Composite Films and Their Applications in Food Packaging. Food Packag. Shelf Life 2022, 34, 100991. [Google Scholar] [CrossRef]
- Rosenboom, J.G.; Langer, R.; Traverso, G. Bioplastics for a Circular Economy. Nat. Rev. Mater. 2022, 7, 117–137. [Google Scholar] [CrossRef]
- Voirin, C.; Caillol, S.; Sadavarte, N.V.; Tawade, B.V.; Boutevin, B.; Wadgaonkar, P.P. Functionalization of Cardanol: Towards Biobased Polymers and Additives. Polym. Chem. 2014, 5, 3142–3162. [Google Scholar] [CrossRef]
- Lubi, M.C.; Thachil, E.T. Cashew Nut Shell Liquid (CNSL)—A Versatile Monomer for Polymer Synthesis. Des. Monomers Polym. 2012, 3, 123–153. [Google Scholar] [CrossRef]
- Balachandran, V.S.; Jadhav, S.R.; Vemula, P.K.; John, G. Recent Advances in Cardanol Chemistry in a Nutshell: From a Nut to Nanomaterials. Chem. Soc. Rev. 2013, 42, 427–438. [Google Scholar] [CrossRef] [PubMed]
- Kanehashi, S.; Masuda, R.; Yokoyama, K.; Kanamoto, T.; Nakashima, H.; Miyakoshi, T. Development of a Cashew Nut Shell Liquid (CNSL)-Based Polymer for Antibacterial Activity. J. Appl. Polym. Sci. 2015, 132, 42725. [Google Scholar] [CrossRef]
- Li, S.; Yang, X.; Huang, K.; Li, M.; Xia, J. Design, Preparation and Properties of Novel Renewable Uv-Curable Copolymers Based on Cardanol and Dimer Fatty Acids. Prog. Org. Coat. 2014, 77, 388–394. [Google Scholar] [CrossRef]
- Kanehashi, S.; Yokoyama, K.; Masuda, R.; Kidesaki, T.; Nagai, K.; Miyakoshi, T. Preparation and Characterization of Cardanol-Based Epoxy Resin for Coating at Room Temperature Curing. J. Appl. Polym. Sci. 2013, 130, 2468–2478. [Google Scholar] [CrossRef]
- Simón, D.; Borreguero, A.M.; de Lucas, A.; Rodríguez, J.F. Valorization of Crude Glycerol as a Novel Transesterification Agent in the Glycolysis of Polyurethane Foam Waste. Polym. Degrad. Stab. 2015, 121, 126–136. [Google Scholar] [CrossRef]
- Wu, Z.; Li, S.; Liu, M.; Wang, Z.; Liu, X. Liquid Oxygen Compatible Epoxy Resin: Modification and Characterization. RSC Adv. 2015, 5, 11325–11333. [Google Scholar] [CrossRef]
- Shukla, P.; Srivastava, D. Reaction Kinetics of Esterification of Phenol-Cardanol Based Epoxidized Novolac Resins and Methacrylic Acid. Int. J. Plast. Technol. 2014, 18, 1–15. [Google Scholar] [CrossRef]
- Hu, Y.; Shang, Q.; Bo, C.; Jia, P.; Feng, G.; Zhang, F.; Liu, C.; Zhou, Y. Synthesis and Properties of Uv-Curable Polyfunctional Polyurethane Acrylate Resins from Cardanol. ACS Omega 2019, 4, 12505–12511. [Google Scholar] [CrossRef]
- Liu, Z.; Chen, J.; Knothe, G.; Nie, X.; Jiang, J. Synthesis of Epoxidized Cardanol and Its Antioxidative Properties for Vegetable Oils and Biodiesel. ACS Sustain. Chem. Eng. 2016, 4, 901–906. [Google Scholar] [CrossRef]
- Fouquet, T.; Fetzer, L.; Mertz, G.; Puchot, L.; Verge, P. Photoageing of Cardanol: Characterization, Circumvention by Side Chain Methoxylation and Application for Photocrosslinkable Polymers. RSC Adv. 2015, 5, 54899–54912. [Google Scholar] [CrossRef]
- Abral, H.; Atmajaya, A.; Mahardika, M.; Hafizulhaq, F.; Kadriadi; Handayani, D.; Sapuan, S.M.; Ilyas, R.A. Effect of Ultrasonication Duration of Polyvinyl Alcohol (PVA) Gel on Characterizations of PVA Film. J. Mater. Res. Technol. 2020, 9, 2477–2486. [Google Scholar] [CrossRef]
- Yang, F.; Yu, H.; Deng, Y.; Xu, X. Synthesis and Characterization of Different Soybean Oil-Based Polyols with Fatty Alcohol and Aromatic Alcohol. e-Polymers 2021, 21, 491–499. [Google Scholar] [CrossRef]
- Sienkiewicz, A.M.; Czub, P. The Unique Activity of Catalyst in the Epoxidation of Soybean Oil and Following Reaction of Epoxidized Product with Bisphenol A. Ind. Crop. Prod. 2016, 83, 755–773. [Google Scholar] [CrossRef]
- Lopera-Valle, A.; Elias, A. Amine Responsive Poly(Lactic Acid) (PLA) and Succinic Anhydride (SAh) Graft-Polymer: Synthesis and Characterization. Polymers 2019, 11, 1466. [Google Scholar] [CrossRef] [PubMed]
- Mansur, H.S.; Sadahira, C.M.; Souza, A.N.; Mansur, A.A.P. Ftir Spectroscopy Characterization of Poly (Vinyl Alcohol) Hydrogel with Different Hydrolysis Degree and Chemically Crosslinked with Glutaraldehyde. Mater. Sci. Eng. C 2008, 28, 539–548. [Google Scholar] [CrossRef]
- Xu, Y.; Xu, Y.; Sun, C.; Zou, L.; He, J. The Preparation and Characterization of Plasticized PVA Fibres by a Novel Glycerol/Pseudo Ionic Liquids System with Melt Spinning Method. Eur. Polym. J. 2020, 133, 109768. [Google Scholar] [CrossRef]
- Wang, H.; Zhang, R.; Zhang, H.; Jiang, S.; Liu, H.; Sun, M.; Jiang, S. Kinetics and Functional Effectiveness of Nisin Loaded Antimicrobial Packaging Film Based on Chitosan/Poly(Vinyl Alcohol). Carbohydr. Polym. 2015, 127, 64–71. [Google Scholar] [CrossRef]
- Xiao, Z.; Xie, Y.; Militz, H.; Mai, C. Effect of Glutaraldehyde on Water Related Properties of Solid Wood. Holzforschung 2010, 64, 483–488. [Google Scholar] [CrossRef]
- Rudra, R.; Kumar, V.; Kundu, P.P. Acid Catalysed Cross-Linking of Poly Vinyl Alcohol (PVA) by Glutaraldehyde: Effect of Crosslink Density on the Characteristics of PVA Membranes Used in Single Chambered Microbial Fuel Cells. RSC Adv. 2015, 5, 83436–83447. [Google Scholar] [CrossRef]
- Pandit, A.H.; Mazumdar, N.; Imtiyaz, K.; Rizvi, M.M.A.; Ahmad, S. Periodate-Modified Gum Arabic Cross-Linked PVA Hydrogels: A Promising Approach toward Photoprotection and Sustained Delivery of Folic Acid. ACS Omega 2019, 4, 16026–16036. [Google Scholar] [CrossRef] [PubMed]
- Abral, H.; Hartono, A.; Hafizulhaq, F.; Handayani, D.; Sugiarti, E.; Pradipta, O. Characterization of PVA/Cassava Starch Biocomposites Fabricated with and without Sonication Using Bacterial Cellulose Fiber Loadings. Carbohydr. Polym. 2019, 206, 593–601. [Google Scholar] [CrossRef]
- Meng, W.; Zhang, X.; Zhang, Y.; Zhang, X.; Zhu, W.; Huang, H.; Han, X.; Liu, Y.; Xu, C. Poly(Vinyl Alcohol)/Sodium Alginate Polymer Membranes as Eco-Friendly and Biodegradable Coatings for Slow Release Fertilizers. J. Sci. Food Agric. 2023, 103, 3592–3601. [Google Scholar] [CrossRef] [PubMed]
- Freire, T.F.; Quinaz, T.; Fertuzinhos, A.; Quyen, N.T.; de Moura, M.; Martins, M.; Zille, A.; Dourado, N. Thermal, Mechanical and Chemical Analysis of Poly(Vinyl Alcohol) Multifilament and Braided Yarns. Polymers 2021, 13, 3644. [Google Scholar] [CrossRef] [PubMed]
- Aydin, A.A.; Ilberg, V. Effect of Different Polyol-Based Plasticizers on Thermal Properties of Polyvinyl Alcohol: Starch Blends. Carbohydr. Polym. 2016, 136, 441–448. [Google Scholar] [CrossRef]
- Yang, J.M.; Yang, J.H.; Tsou, S.C.; Ding, C.H.; Hsu, C.C.; Yang, K.C.; Yang, C.C.; Chen, K.S.; Chen, S.W.; Wang, J.S. Cell Proliferation on PVA/Sodium Alginate and PVA/Poly(Gamma-Glutamic Acid) Electrospun Fiber. Mater. Sci. Eng. C 2016, 66, 170–177. [Google Scholar] [CrossRef] [PubMed]
- Rodrigues FH, A.; Souza JR, R.; França FC, F.; Ricardo, N.M.; Feitosa, J.P. Thermal Oligomerisation of Cardanol. e-Polymers 2006, 6, 081. [Google Scholar] [CrossRef]
- Figueiredo, K.C.S.; Alves, T.L.M.; Borges, C.P. Poly(Vinyl Alcohol) Films Crosslinked by Glutaraldehyde under Mild Conditions. J. Appl. Polym. Sci. 2008, 111, 3074–3080. [Google Scholar] [CrossRef]
- Mehrotra, T.; Zaman, M.N.; Prasad, B.B.; Shukla, A.; Aggarwal, S.; Singh, R. Rapid Immobilization of Viable Bacillus Pseudomycoides in Polyvinyl Alcohol/Glutaraldehyde Hydrogel for Biological Treatment of Municipal Wastewater. Environ. Sci. Pollut. Res. Int. 2020, 27, 9167–9180. [Google Scholar] [CrossRef]
- Afshar, M.; Dini, G.; Vaezifar, S.; Mehdikhani, M.; Movahedi, B. Preparation and Characterization of Sodium Alginate/Polyvinyl Alcohol Hydrogel Containing Drug-Loaded Chitosan Nanoparticles as a Drug Delivery System. J. Drug Deliv. Sci. Technol. 2020, 56, 101530. [Google Scholar] [CrossRef]










Disclaimer/Publisher’s Note: The statements, opinions and data contained in all publications are solely those of the individual author(s) and contributor(s) and not of MDPI and/or the editor(s). MDPI and/or the editor(s) disclaim responsibility for any injury to people or property resulting from any ideas, methods, instructions or products referred to in the content. |
© 2024 by the authors. Licensee MDPI, Basel, Switzerland. This article is an open access article distributed under the terms and conditions of the Creative Commons Attribution (CC BY) license (https://creativecommons.org/licenses/by/4.0/).
Share and Cite
Lee, D.H.; Song, Y.H.; Ahn, H.J.; Lee, J.; Woo, H.C. Fabrication and Characterization of Biopolymers Using Polyvinyl Alcohol and Cardanol-Based Polyols. Molecules 2024, 29, 4807. https://doi.org/10.3390/molecules29204807
Lee DH, Song YH, Ahn HJ, Lee J, Woo HC. Fabrication and Characterization of Biopolymers Using Polyvinyl Alcohol and Cardanol-Based Polyols. Molecules. 2024; 29(20):4807. https://doi.org/10.3390/molecules29204807
Chicago/Turabian StyleLee, Da Hae, Yun Ha Song, Hee Ju Ahn, Jaekyoung Lee, and Hee Chul Woo. 2024. "Fabrication and Characterization of Biopolymers Using Polyvinyl Alcohol and Cardanol-Based Polyols" Molecules 29, no. 20: 4807. https://doi.org/10.3390/molecules29204807
APA StyleLee, D. H., Song, Y. H., Ahn, H. J., Lee, J., & Woo, H. C. (2024). Fabrication and Characterization of Biopolymers Using Polyvinyl Alcohol and Cardanol-Based Polyols. Molecules, 29(20), 4807. https://doi.org/10.3390/molecules29204807

